当前位置:首页>文档>福建省漳州市2024-2025学年高一上学期1月期末考试历史Word版含答案_2024-2025高一(7-7月题库)_2025年03月试卷_0310福建省漳州市2024-2025学年高一上学期1月期末考试

福建省漳州市2024-2025学年高一上学期1月期末考试历史Word版含答案_2024-2025高一(7-7月题库)_2025年03月试卷_0310福建省漳州市2024-2025学年高一上学期1月期末考试

  • 2026-03-22 10:57:56 2026-02-16 06:36:45

文档预览

福建省漳州市2024-2025学年高一上学期1月期末考试历史Word版含答案_2024-2025高一(7-7月题库)_2025年03月试卷_0310福建省漳州市2024-2025学年高一上学期1月期末考试
福建省漳州市2024-2025学年高一上学期1月期末考试历史Word版含答案_2024-2025高一(7-7月题库)_2025年03月试卷_0310福建省漳州市2024-2025学年高一上学期1月期末考试
福建省漳州市2024-2025学年高一上学期1月期末考试历史Word版含答案_2024-2025高一(7-7月题库)_2025年03月试卷_0310福建省漳州市2024-2025学年高一上学期1月期末考试
福建省漳州市2024-2025学年高一上学期1月期末考试历史Word版含答案_2024-2025高一(7-7月题库)_2025年03月试卷_0310福建省漳州市2024-2025学年高一上学期1月期末考试
福建省漳州市2024-2025学年高一上学期1月期末考试历史Word版含答案_2024-2025高一(7-7月题库)_2025年03月试卷_0310福建省漳州市2024-2025学年高一上学期1月期末考试
福建省漳州市2024-2025学年高一上学期1月期末考试历史Word版含答案_2024-2025高一(7-7月题库)_2025年03月试卷_0310福建省漳州市2024-2025学年高一上学期1月期末考试
福建省漳州市2024-2025学年高一上学期1月期末考试历史Word版含答案_2024-2025高一(7-7月题库)_2025年03月试卷_0310福建省漳州市2024-2025学年高一上学期1月期末考试

文档信息

文档格式
docx
文档大小
3.828 MB
文档页数
7 页
上传时间
2026-02-16 06:36:45

文档内容

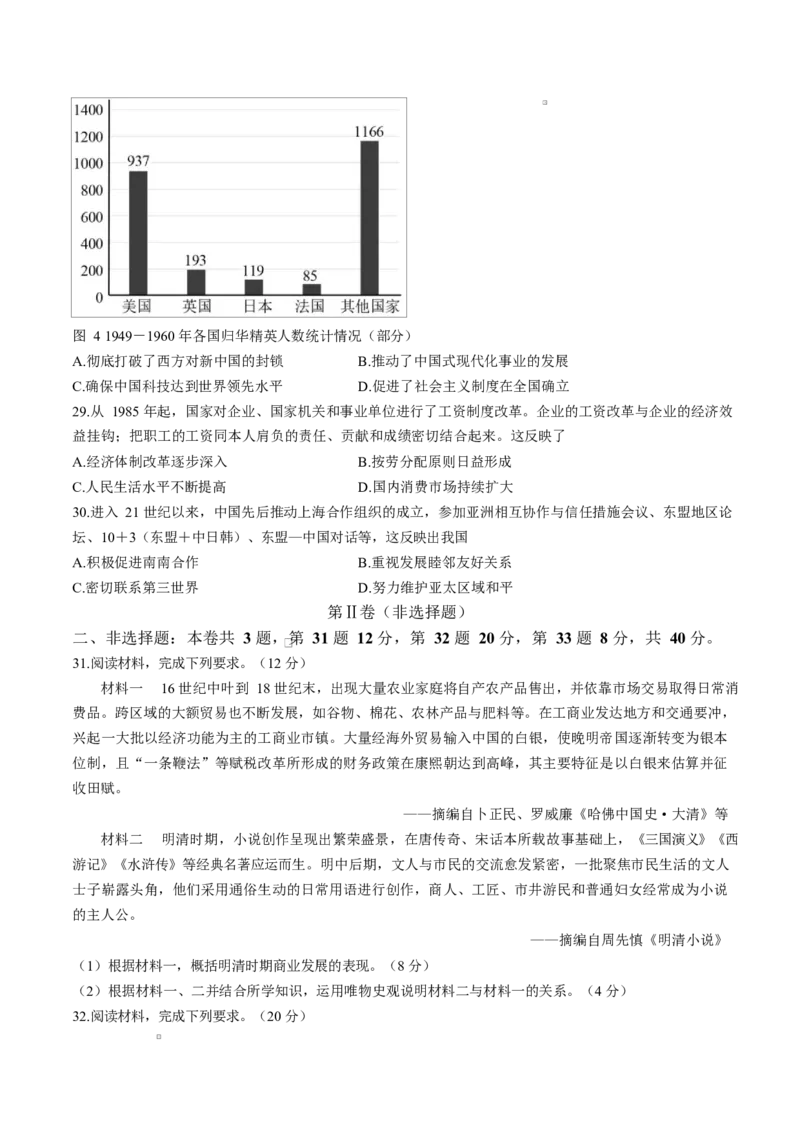
漳州市 2024-2025 学年(上)期末高中教学质量检测 高一历史(中外历史纲要上)试题 本试卷分第Ⅰ卷(选择题)和第Ⅱ卷(非选择题)两部分。满分 100 分,考试时间 75 分钟。 第Ⅰ卷每小题选出答案后,用 2B 铅笔把答题卡上对应题目的答案标号涂黑,如需改动,用像 皮擦擦干净后,再选涂其他答案标号。第Ⅱ卷用黑色字迹签字笔在答题卡上作答。在试题卷上 作答,答案无效。 第Ⅰ卷(选择题) 一、选择题:本卷共 30 题,每题 2 分,共 60 分。在每小题的四个选项中,只有一项符合题 目要求。 1.考古发现,良渚古城(距今约 5000 年)已呈现公共权力强化的趋势。这一论断的主要依据应是该遗址出 土了 A.大量炭化稻谷堆积 B.庞大宫殿与城墙 C.大型手工业作坊区 D.各式石器与陶器 2.春秋之前,诸侯国之间的边界较为模糊,存在大量的荒地作为各诸侯国的缓冲区;春秋战国时期,诸侯国 之间的界限逐渐清晰。这一变化根源于 A.大一统趋势加强 B.兼并战争日趋激烈 C.井田制逐步瓦解 D.铁犁牛耕技术使用 3.老子是春秋时期著名的道家学者。下列能体现其治国方略的主张是 A.“治大国如烹小鲜” B.“起法正以治之,重刑罚以禁之” C.“兼相爱,交相利” D.“道之以德,齐之以礼,有耻且格” 4.汉文帝的霸陵考古发现,其陵墓地表无封土,外藏坑出土的器皿以陶制为主,与文帝“欲为省,毋烦民” 的遗诏相吻合。这可以用来佐证汉文帝 A.强化中央集权 B.倡导勤俭治国 C.推行移风易俗 D.践行轻徭薄赋 5.康有为指出:“孔学行于天下,自汉武始……(汉武帝)当享配文庙,以报其大功”。“大功”意指汉武帝 A.打击豪强,抑制兼并 B.改革币制,盐铁官营 C.尊崇儒术,任用儒生 D.休养生息,发展农业 6.曹魏后期,统治者鼓励无地或少地的农民通过开垦荒地获得一定量的土地,并“以户口率其垦田之多少” 作为官员政绩的考核标准。上述举措 A.保障了均田制的实施 B.促进了北方经济的恢复发展 C.改变了赋役征发标准 D.体现了休养生息的治国理念 7.北魏孝文帝时形成了结合本民族传统和汉制的新官方礼制体系,要求“党里之内,推贤而长者,教其里人 ,父慈、子孝、兄友、弟顺、夫和、妻柔。”这说明北魏 A.汉族高门控制了政权 B.借礼制维系统治秩序 C.积极地回归汉晋体制 D.确立理学为正统思想 8.南北朝之前,“川”字只有“水道、河流”之意,而《魏书》所载宁川、敕勒川等地名中的“川”有了新 的义项,即鲜卑语“荒野、荒滩草原”的意思。这表明 学科网(北京)股份有限公司A.江南开发缩小了南北差距 B.文化交流奠定了统一基础 C.民族交融丰富了文化内涵 D.民族内迁拓展了文学题材 9.唐代进士科考试由礼部侍郞主持,应试者与侍郞有亲戚故旧关系的,由考功员外郎主试;宋代规定应试者 有亲戚在本州为官或为主试官时,由各路转运司主试。这一规定 A.扩大了封建统治基础 B.提高了官员文化素质 C.体现了公平公正原则 D.改变了社会阶层结构 10.欧阳修《归田录》里讲了一则轶事:一位余杭昆姓少卿喜欢吃螃蟹,曾请求到外地当个知州。有人问他 希望到哪个州上任,他说“但得有蟹、无通判处,则可矣”,成为一时之笑谈。昆姓少卿不喜通判是由于通 判 A.掌握地方军权 B.控制地方财政 C.负责官员考核 D.制约知州权力 11.《金史·地理志》中曾记载,金朝都城会宁府宫殿庙宇众多,殿宇名字有“明德”“武德”“泰和”等, 城中有五重建筑基址整齐地排列在南北中轴线上。这反映出 A.民族隔阂的消除 B.宗法观念的强化 C.建筑风格的独特 D.中原文化的扩展 12.1393 年,明朝开始实行“金牌信符制”,通过发放金牌信符,定期与边疆地区以马易茶,茶 50 万斤可换 马 1 万多匹。据此可知,这一制度 A.推动了民族经济交流 B.传播了中原农耕技术 C.解决了明朝边患问题 D.丰富了内地物资种类 13.起居注是古代由近侍臣工负责记录帝王言行的档册,名义上连皇帝本人都不得索阅。康熙帝曾要求起居 注官给自己保留一点私人空间,后直接裁撤起居注衙门。这反映当时 A.中枢权力机构异化 B.专制皇权空前强化 C.君主忽视治史传统 D.君臣之间矛盾尖锐 14.康熙年间,朝廷首次对台湾、西藏进行实地测绘,并绘制《皇舆全览图》;乾隆平准之后,继续对新疆、 西藏进行测绘,最终制成更为完整、详细的全国性地图。此举旨在 A.彰显大一统疆域辽阔 B.传播西方测绘技术 C.推进军事战略的部署 D.精准征收地方赋税 15.徐继畲认为西方并非“但知贸易,无他技能”,而是科学昌明、繁荣富强且自有一套良法美意、文明有序 的教化之国,西方不仅经济繁荣,且文教制度完备。这表明他 A.全面接受西方文明 B.认识洋务运动不足 C.改变传统华夷观念 D.主张变革政治制度 16.《南京条约》中开放通商的“五口”,是英国人基于“广州是传统的外贸口岸;福州靠近盛产红茶的武夷 山;上海地处长江入海口附近,且临近富饶的江浙”等理由精心选择的结果。这种选择意在 A.扩大在华势力范围 B.破坏中国贸易主权 C.传播西方宗教文化 D.倾销商品掠夺原料 17.1863 年清廷共设 8 个总督,15 个巡抚,其中湘军集团竟占了 5 个总督 9 个巡抚。湘军集团不仅拥有军事 大权,而且掌握了地方政权和财权。这一局面的形成源于 A.鸦片战争 B.太平天国运动 C.洋务运动 D.甲午中日战争 18.图 1 为某研究性学习小组选用的一幅地图。据图判断,他们的研究主题是 学科网(北京)股份有限公司图 1 A.清末“新政”的开始 B.晚清自救运动的实施 C.早期军事工业的发展 D.列强经济侵略的深入 19.甲午战后,部分仁人志士纷纷提出救国主张。严复认为“国之强弱贫富治乱者,其民力、民智、民德三 者之验证也”;梁启超提出“民弱者国弱,民强者国强”,改造“国民性”,造就“新民”。两者都强调了 A.教化大众与民智启迪的重要性 B.塑造新民与国家命运的关联性 C.国家救亡与经济发展的互补性 D.普及教育与民族觉醒的必要性 20.南京临时政府在中央设立实业部,管理农、工、商、矿等业,要求各省设立实业司,鼓励民间兴办实业, 并颁布了一系列相关的法律法规,如《商业注册章程》《商业银行条例》等。这些措施 A.促进了民族资本主义初步发展 B.推动了法律体系的不断完善 C.加剧了官僚资本主义恶性膨胀 D.为民族工业发展创造了条件 21.表 1 中数据的变化表明 表 1 《新青年》关于“社会主义”一词的统计数据(节选) 时间 次数 1919 年之前 34 1919 年 104 1921—1922 年 685 A.马克思主义与工人运动紧密结合 B.五四运动促进马克思主义传播 C.社会主义成为当时中国主流思想 D.中国共产党诞生具备思想基础 22.1924 年,孙中山在支持工人运动的同时,下令广东革命政府控制区的“田租在百分之五十者减成百分之 二十五”,他还派出军队支持广宁县农民的减租运动。孙中山的这些举措 A.践行新三民主义纲领 B.推动北伐战争进程 C.打击军阀混战的局面 D.保障农民经济权益 23.土地革命时期,鄂豫皖根据地用标语口号、传单漫画、报刊书籍为主的文学艺术作品和歌谣、戏剧、舞 蹈为主的群众文化活动等方式做宣传动员工作。这些做法旨在 学科网(北京)股份有限公司A.丰富人民精神生活 B.激发群众革命热情 C.宣传减租减息政策 D.传播先进革命理念 24.抗战期间,以陈嘉庚等人为代表的侨胞在西南积极投资工矿、垦殖、医药等产业,所获利润成为国民政 府财政的重要补充。同时,海外侨胞向各国积极宣传抗日决心并恳请各国援助,获得很好反响。这表明 A.政府财政依靠海外捐助 B.华侨推动国际援助抗日 C.中华民族意识空前觉醒 D.海外力量支持中国抗战 25.历史图示是对客观历史进程直观而简明的反映。图 2 呈现的是 图 2 A.土地革命 B.国民大革命 C.抗日战争 D.人民解放战争 26.新中国成立初期,党和政府做出了土地改革、稳定物价、剿匪镇反、抗美援朝等一系列重大决策。这些 举措旨在 A.调整国民经济 B.建立民主制度 C.巩固人民政权 D.缓和阶级矛盾 27.读图 3 图 3 顾生岳《拖拉机到咱社来代耕了》(1955 年) 该作品反映了中国农村 A.开始走上人民公社化道路 B.农业机械化得到了普及 C.生产关系正发生重大变革 D.实现集体农庄自主经营 28.1949-1960 年,以钱学森、邓稼先、华罗庚等为代表的大批科学家和留学生放弃了国外的优越条件、历 经坎坷回到祖国,相关统计数据如图 4 所示。这些精英的回归 学科网(北京)股份有限公司图 4 1949-1960 年各国归华精英人数统计情况(部分) A.彻底打破了西方对新中国的封锁 B.推动了中国式现代化事业的发展 C.确保中国科技达到世界领先水平 D.促进了社会主义制度在全国确立 29.从 1985 年起,国家对企业、国家机关和事业单位进行了工资制度改革。企业的工资改革与企业的经济效 益挂钩;把职工的工资同本人肩负的责任、贡献和成绩密切结合起来。这反映了 A.经济体制改革逐步深入 B.按劳分配原则日益形成 C.人民生活水平不断提高 D.国内消费市场持续扩大 30.进入 21 世纪以来,中国先后推动上海合作组织的成立,参加亚洲相互协作与信任措施会议、东盟地区论 坛、10+3(东盟+中日韩)、东盟—中国对话等,这反映出我国 A.积极促进南南合作 B.重视发展睦邻友好关系 C.密切联系第三世界 D.努力维护亚太区域和平 第Ⅱ卷(非选择题) 二、非选择题:本卷共 3 题,第 31 题 12 分,第 32 题 20 分,第 33 题 8 分,共 40 分。 31.阅读材料,完成下列要求。(12 分) 材料一 16 世纪中叶到 18 世纪末,出现大量农业家庭将自产农产品售出,并依靠市场交易取得日常消 费品。跨区域的大额贸易也不断发展,如谷物、棉花、农林产品与肥料等。在工商业发达地方和交通要冲, 兴起一大批以经济功能为主的工商业市镇。大量经海外贸易输入中国的白银,使晚明帝国逐渐转变为银本 位制,且“一条鞭法”等赋税改革所形成的财务政策在康熙朝达到高峰,其主要特征是以白银来估算并征 收田赋。 ——摘编自卜正民、罗威廉《哈佛中国史·大清》等 材料二 明清时期,小说创作呈现出繁荣盛景,在唐传奇、宋话本所载故事基础上,《三国演义》《西 游记》《水浒传》等经典名著应运而生。明中后期,文人与市民的交流愈发紧密,一批聚焦市民生活的文人 士子崭露头角,他们采用通俗生动的日常用语进行创作,商人、工匠、市井游民和普通妇女经常成为小说 的主人公。 ——摘编自周先慎《明清小说》 (1)根据材料一,概括明清时期商业发展的表现。(8 分) (2)根据材料一、二并结合所学知识,运用唯物史观说明材料二与材料一的关系。(4 分) 32.阅读材料,完成下列要求。(20 分) 学科网(北京)股份有限公司材料一 在两次鸦片战争的冲击下,19 世纪 60 年代,晚清政府海军近代化改造和近代海军的建设正式 提上议程。李鸿章等官员根据西方海洋战略理论,提出了海疆自守策略。中法战争后,清廷再次讨论海军 发展事宜,决心“大治水师”,并调整其发展计划,积极向英国、德国购买军舰、火炮,还改变了以往水师 分散管理的局面,设海军衙门统一管理海军事务,重视海军人才培养和舰队建设。 ——摘编自郭渊《海疆危机与近代中国的国家构建》等 材料二 新中国成立之初,毛泽东提出要“有计划地逐步建设一支强大的海军”。改革开放后,我国海 军防御范围逐渐从近岸领域转移到利益攸关的近海领域。1979 年,邓小平提出要建立一支“真正现代化” 的海军。21 世纪以来,中国海军力量实现了现代化升级,一批新型驱逐舰、护卫舰、航母舰陆续入列。我 国先后派出多批海军舰艇编队赴亚丁湾、索马里海域执行护航任务。中国海军已经建成海陆空潜、岸基海 基相结合、多兵种合成的海上综合作战体系。 ——摘编自周于兰《新中国成立以来中国海军战略转型研究》等 (1)根据材料一并结合所学知识,指出晚清政府关于海军建设态度的变化并分析其历史背景。(10 分) (2)根据材料并结合所学知识,概括新中国海军建设的成就,说明影响中国海军建设的主要因素。(10 分) 33.体育口号作为体育文化的一种特殊载体,伴随着时代的发展,表述内容也不断地发生变化。阅读材料, 完成下列要求。(8 分) 图 5 新中国体育口号的演进 ——摘编自高慧妮等《新中国体育口号演变及其功能研究》 根据材料并结合所学知识,从图 5 中任选一个时期,分析体育口号所折射出的时代背景。 学科网(北京)股份有限公司漳州市 2024-2025 学年(上)期末高中教学质量检测 高一历史(中外历史纲要上)参考答案 一、选择题:共 30 题,每题 2 分,共 60 分。 题号 1 2 3 4 5 6 7 8 9 10 11 12 13 14 15 答案 B D A B C B B C C D D A B A C 题号 16 17 18 19 20 21 22 23 24 25 26 27 28 29 30 答案 D B B B D B A B C D C C B A B 二、非选择题:本卷共 3 题,第 31 题 12 分,第 32 题 20 分,第 33 题 8 分,共 40 分。 31.(12 分) (1)农产品商品化;长途贩运、大额贸易发展;工商业市镇兴盛;白银货币化。(8 分) (2)一定时期的文化是一定时期政治经济的反映。材料二中的文学世俗化表现,体现了材料一明清时期商 品经济发展的社会现实。(4 分) 32.(20 分) (1)变化:由被动转向主动。(2 分) 历史背景:近代海战失败的教训;民族危机加剧;西方海权思想的影响;洋务运动和民族资本主义经济的 发展;有识之士的倡导。(任答四点,8 分) (2)成就:实施近海防御战略,扩大了海军防御范围;海军科技实力、现代化作战能力增强;实施远洋护 卫,提高了中国海军国际影响力;建成海上综合作战体系。(任答三点,6 分) 主要因素:国家战略需求;经济实力发展;科技水平和创新能力提升;国际环境变化。(任答两点,4 分) 33.(8 分) 示例一:1949-1960 年:新中国成立后,应对复杂的国际环境(抗美援朝战争爆发);巩固新生的人民政权 ;一化三改,社会主义制度的确立;建设社会主义,为建设新中国而强身健体。 示例二:1980-2000 年:改革开放;重视精神文明建设;中国国际地位不断提高;社会主义市场经济体制 目标的确立及深化;经济迅速发展,人民生活水平提高。 示例三:2001 年至今:21 世纪,全球化背景下世界联系紧密;中国加入世贸组织,中国社会主义市场经济 体制确立;国家综合实力大幅提升(科技实力、国防实力显著增强);倡导构建人类命运共同体;政府重视 民生,追求健康成为潮流(持续深化改革开放,全面建设小康社会);政府倡导可持续发展理念。