当前位置:首页>文档>2025届雅礼中学高三上学期11月月考(三)化学答案(雅礼3次)_2024-2025高三(6-6月题库)_2024年11月试卷_1111湖南省长沙市雅礼中学2024-2025学年高三上学期月考(三)

2025届雅礼中学高三上学期11月月考(三)化学答案(雅礼3次)_2024-2025高三(6-6月题库)_2024年11月试卷_1111湖南省长沙市雅礼中学2024-2025学年高三上学期月考(三)

  • 2026-03-29 09:17:01 2026-02-17 21:43:47

文档预览

2025届雅礼中学高三上学期11月月考(三)化学答案(雅礼3次)_2024-2025高三(6-6月题库)_2024年11月试卷_1111湖南省长沙市雅礼中学2024-2025学年高三上学期月考(三)
2025届雅礼中学高三上学期11月月考(三)化学答案(雅礼3次)_2024-2025高三(6-6月题库)_2024年11月试卷_1111湖南省长沙市雅礼中学2024-2025学年高三上学期月考(三)
2025届雅礼中学高三上学期11月月考(三)化学答案(雅礼3次)_2024-2025高三(6-6月题库)_2024年11月试卷_1111湖南省长沙市雅礼中学2024-2025学年高三上学期月考(三)
2025届雅礼中学高三上学期11月月考(三)化学答案(雅礼3次)_2024-2025高三(6-6月题库)_2024年11月试卷_1111湖南省长沙市雅礼中学2024-2025学年高三上学期月考(三)

文档信息

文档格式
pdf
文档大小
3.303 MB
文档页数
4 页
上传时间
2026-02-17 21:43:47

文档内容

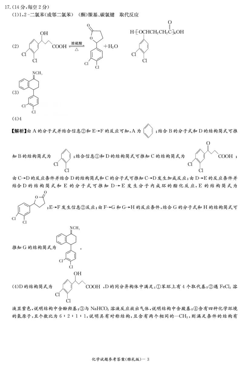
{#{QQABDYqAoggoAAJAAQhCEQVACkEQkgCACQgGQEAMoAIByAFABAA=}#}{#{QQABDYqAoggoAAJAAQhCEQVACkEQkgCACQgGQEAMoAIByAFABAA=}#}{#{QQABDYqAoggoAAJAAQhCEQVACkEQkgCACQgGQEAMoAIByAFABAA=}#}{#{QQABDYqAoggoAAJAAQhCEQVACkEQkgCACQgGQEAMoAIByAFABAA=}#}