当前位置:首页>文档>第25套:2024年2月圆梦杯第四届AB卷参考答案与选填解析(1)_2024年4月_01按日期_6号_2024届新结构高考数学合集_新高考19题(九省联考模式)数学合集140套_2024年2月“圆梦杯”模拟考试(四)

第25套:2024年2月圆梦杯第四届AB卷参考答案与选填解析(1)_2024年4月_01按日期_6号_2024届新结构高考数学合集_新高考19题(九省联考模式)数学合集140套_2024年2月“圆梦杯”模拟考试(四)

  • 2026-03-21 21:00:57 2026-02-18 04:55:52

文档预览

第25套:2024年2月圆梦杯第四届AB卷参考答案与选填解析(1)_2024年4月_01按日期_6号_2024届新结构高考数学合集_新高考19题(九省联考模式)数学合集140套_2024年2月“圆梦杯”模拟考试(四)
第25套:2024年2月圆梦杯第四届AB卷参考答案与选填解析(1)_2024年4月_01按日期_6号_2024届新结构高考数学合集_新高考19题(九省联考模式)数学合集140套_2024年2月“圆梦杯”模拟考试(四)
第25套:2024年2月圆梦杯第四届AB卷参考答案与选填解析(1)_2024年4月_01按日期_6号_2024届新结构高考数学合集_新高考19题(九省联考模式)数学合集140套_2024年2月“圆梦杯”模拟考试(四)
第25套:2024年2月圆梦杯第四届AB卷参考答案与选填解析(1)_2024年4月_01按日期_6号_2024届新结构高考数学合集_新高考19题(九省联考模式)数学合集140套_2024年2月“圆梦杯”模拟考试(四)
第25套:2024年2月圆梦杯第四届AB卷参考答案与选填解析(1)_2024年4月_01按日期_6号_2024届新结构高考数学合集_新高考19题(九省联考模式)数学合集140套_2024年2月“圆梦杯”模拟考试(四)
第25套:2024年2月圆梦杯第四届AB卷参考答案与选填解析(1)_2024年4月_01按日期_6号_2024届新结构高考数学合集_新高考19题(九省联考模式)数学合集140套_2024年2月“圆梦杯”模拟考试(四)
第25套:2024年2月圆梦杯第四届AB卷参考答案与选填解析(1)_2024年4月_01按日期_6号_2024届新结构高考数学合集_新高考19题(九省联考模式)数学合集140套_2024年2月“圆梦杯”模拟考试(四)
第25套:2024年2月圆梦杯第四届AB卷参考答案与选填解析(1)_2024年4月_01按日期_6号_2024届新结构高考数学合集_新高考19题(九省联考模式)数学合集140套_2024年2月“圆梦杯”模拟考试(四)
第25套:2024年2月圆梦杯第四届AB卷参考答案与选填解析(1)_2024年4月_01按日期_6号_2024届新结构高考数学合集_新高考19题(九省联考模式)数学合集140套_2024年2月“圆梦杯”模拟考试(四)
第25套:2024年2月圆梦杯第四届AB卷参考答案与选填解析(1)_2024年4月_01按日期_6号_2024届新结构高考数学合集_新高考19题(九省联考模式)数学合集140套_2024年2月“圆梦杯”模拟考试(四)
第25套:2024年2月圆梦杯第四届AB卷参考答案与选填解析(1)_2024年4月_01按日期_6号_2024届新结构高考数学合集_新高考19题(九省联考模式)数学合集140套_2024年2月“圆梦杯”模拟考试(四)
第25套:2024年2月圆梦杯第四届AB卷参考答案与选填解析(1)_2024年4月_01按日期_6号_2024届新结构高考数学合集_新高考19题(九省联考模式)数学合集140套_2024年2月“圆梦杯”模拟考试(四)

文档信息

文档格式
pdf
文档大小
3.911 MB
文档页数
12 页
上传时间
2026-02-18 04:55:52

文档内容

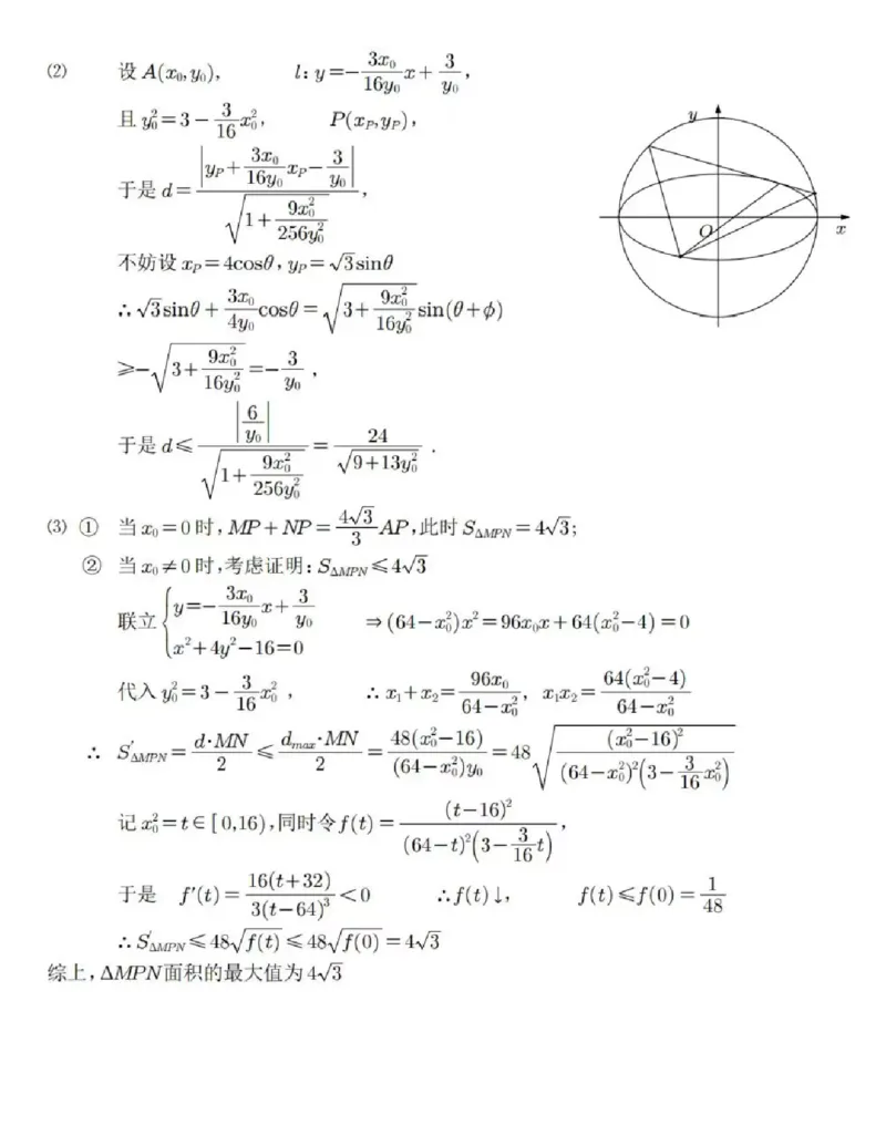
2024 年普通高等学校招生“圆梦杯”统一考试 B卷参考答案 一、单选题 1. D 2. A 3. C 4. B 5. C 6. C 7. D 8. B 二、多选题 9. AC 10. ACD 11. BCD 三、填空题 2 2 12. 4 13. 2 2- 6; 3 14. -2 四、解答题 15.解: AB⊥BB ⑴ 1 AB⊥BC  ⟹AB⊥面BBC C⇒AB⊥B C, 1 1 又BC ⊥B C⇒B C⊥面ABC ,∴AC ⊥B C. 1 1 1 1 1 1 ⑵ ∠B BC=120° ,建立如图所示的空间直角坐标系, 1 则有B0,0,0  ,C 0,1, 3 1  ,C0,2,0  ,A2,0,0  ,  BA=2,0,0   ,AC =-2,1, 3 1   ,C C =0,1,- 3 1  ,  m=0,- 3,1   ,n= 3, 3,1  , 1-3 cosθ=  z B 1 C 1 A 1 B C y x A 7 42 = , sinθ= 1-cos2θ= 2 7 7 7 16.解: a a a ⑴ n+2 ≥ n+1, 设 n+1 =q ∴ q ≤q ≤⋯≤q , a a a n 1 2 n n+1 n n ∵ a =3, ∴q =3, a =a ∙q ∙q ⋯q ≥a ∙qn-1=3n-1 2 1 n 1 1 2 n-1 1 1⑵  而 n≥10时,q ≥q ≥⋯≥q =2 n n-1 9 ∴ a ≥a ∙qn-1=2n-1 n 1 1 1∙1- 1 1 1 2n ∴ + +⋯+ ≤ a a a 1 2 n  1 =21- 1 2n 1- 2  <2 17.解: ⑴ f'x  =-1+axa-1 ① a≤0, f'x  <0,fx  ↘ 1 1 ② a>0,x = a-1 , 0 a i  a>1,fx  1 1 在0, a-1 a  1 1 ↘, a-1,+∞ a  ↗. ii  01时,ϕa  >-1,a<1时,ϕa  <-1, 即 ua  =lna-a+1≤0, 而u'a  1 = -1 a 显然ua  在 0,1  ↗,1,+∞  ↘,∴ ua  ≤u1  =0成立! 综上,x 随a的增大而增大. 0 18.解: ⑴ X 的可能取值为0,1,2,3, 3 PX=0  1 = 2  3 1 = , PX=1 8  1 =C1∙ 3 2  1 1 ∙ 2  2 3 = , 8 PX=2  1 =C2∙ 3 2  2 1 ∙ 2  1 3 = , PX=3 8  1 =C3∙ 3 2  a =a ∙q ∙q ⋯q =512≥q ∙q ∙q 3∙a , ∴ q ∙q ⋯q ≤8 10 1 1 2 9 1 2 3 1 1 2 9 ∴ a 最大值为8,当且仅当q ∙q ∙q =q ∙q ∙q =q ∙q ∙q 时取等号。 4 1 2 3 4 5 6 7 8 9 而 q ≤q ≤⋯≤q , ∴q =q =⋯=q =2 1 2 n 1 2 9 3 1 = , 8 X 的分布列为 3 X 0 1 2 3 3 1 3 3 1 P 8 8 8 8EX 3  1 3 3 1 3 =0× +1× +2× +3× = . 8 8 8 8 2 EX i  1 i =i∙ = . 2 2 ⑵ 可以将奇数次抽奖和偶数次抽奖看作两个独立的二项分布 且 Y=X -i-X i i i  =2X -i i i+1 i-1 ①当i为奇数时,第奇数次抽奖共进行 次,第偶数次抽奖共进行 次,、 2 2 i+1 1 Y ∼B , i+1 2 2 2  i-1 2 , Z ∼B , i-1 2 3 2  而奇数次抽奖和偶数次抽奖相互独立, ∴DY i  =D2X -i i  =4DX i  =4 DY i+1 2  +DZ i-1 2      i+1 1 1 = 4 ∙ ∙1- 2 2 2  i-1 2 2 + ∙ ∙1- 2 3 3      17i+1 = 18 ②当n为偶数时, DY i  =4DX i  =4 DY i 2  +DZ i 2      i 1 1 = 4 ∙ ×1- 2 2 2  i 2 2 + × 1- 2 3 3      17 = i 18 19.解: ⑴ 2x2-y2=2, ∴4x2=8 ⟹x=± 2 2x2+y2=6, 由 x2=2 ⟹y=± 2 ∴ AB=BC=CD=DA且AB⊥BC, ∴ABCD为正方形 ⑵ 2(x-m)2+y2+n2-6=2yn ⇒[2(x-m)2+y2+n2-6]2=4y2n2 将 y2=2x2-2代入,由“公式”知 x +x +x +x =2m  1 2 2 4  x x +x x +x x +x x +x x +x x =2m2-4 1 2 1 3 1 4 2 3 2 4 3 4 OA2+OB2+OC2+OD2=x2+x2+x2+x2+y2+y2+y2+y2 1 2 3 4 1 2 3 4 =3(x2+x2+x2+x2)-8 3 4 =3 4m2-22m2-4    =3[(x +x +x +x )2-2(x x +x x +x x +x x +x x +x x )]A 1 2 3 4 1 2 1 3 1 4 2 3 2 4 3 4 -8 θ -8=16 θ 1 O 4 D B θ ⑶ 记OA=a, OB=b, OC=c, OD=d θ 3 2 ① 当O在内部时, C1 S = (absinθ +bcsinθ +cdsinθ +adsinθ ) 2 1 2 3 4 ≤ 2 1 a2+b2 b2+c2 c2+d2 d2+a2 ≤  + + + 2 2 2 2 2  (a=b=c=d) 1 = (a2+b2+c2+d2)=8 2 当且仅当四边形ABCD为正方形(m=n=0)取等 ② 当O在外部时, 1 S = absinα+bcsinβ+cdsinγ-ad α+β+γ 2   sin  1 (ab+bc+cd+ad)(θ =θ =θ =θ =90°) 1 2 3 4 O γ α β D A 1 < (ab+bc+cd+ad)≤8. 2 B C 综上,四边形ABCD面积最大值为8数学试题评分参考 第1页(共7页)注:对称中心为什么可以用 f''(x )=0 0 大家可以自行推广一下 同时也可以思考一个 little question:f''(x0)=0,是 f(x)关于(x ,f(x ))对称的什么条件 0 0 数学试题评分参考 第2页(共7页)第七题是一个经典的构型,共焦点模型,但是设计的却可以规避绝大部分共焦点结 论,回归最朴素的想法:基本量思想 给谁设谁还是求谁设谁? 目标思想还是正面强推? 这是永恒的话题,这种思想不仅体现在此题中,也可以体现在数列存在性问题,不 等式中判别式法思想,值得我们反复揣摩 第八题,从简单的几何意义入手命制,考察对于三角函数图像的基本认知,麻雀虽 小,五脏俱全 数学试题评分参考 第3页(共7页)数学试题评分参考 第4页(共7页)第九题回归基本概念,直方图是不是最熟悉的陌生人第十题从找基友结构入手,导 出了经典的双数列递推问题,双数列和交错数列这些老朋友会不会继续在以后的 大题里闪光呢?我们拭目以待第十一题,最关键的就是对于角的理解,圆梦杯对于 角的刻画一直是比较别出心裁的,角度本身也是比较难刻画的量之一,一般三角形 的内心你会刻画吗,给定两直线让你求角平分线方程你熟练吗?一个基本量有多 少种等价转化方式,我们到底应该如何抉择,这是解析几何里很重要的事情 数学试题评分参考 第5页(共7页)数学试题评分参考 第6页(共7页)数学试题评分参考 第7页(共7页)