当前位置:首页>文档>数学试卷—教师版_2024-2025高三(6-6月题库)_2024年08月试卷_0807湖南省长沙市雅礼中学2024-2025学年高三上学期入学考试数学试题

数学试卷—教师版_2024-2025高三(6-6月题库)_2024年08月试卷_0807湖南省长沙市雅礼中学2024-2025学年高三上学期入学考试数学试题

  • 2026-03-22 07:22:27 2026-02-18 18:29:06

文档预览

数学试卷—教师版_2024-2025高三(6-6月题库)_2024年08月试卷_0807湖南省长沙市雅礼中学2024-2025学年高三上学期入学考试数学试题
数学试卷—教师版_2024-2025高三(6-6月题库)_2024年08月试卷_0807湖南省长沙市雅礼中学2024-2025学年高三上学期入学考试数学试题
数学试卷—教师版_2024-2025高三(6-6月题库)_2024年08月试卷_0807湖南省长沙市雅礼中学2024-2025学年高三上学期入学考试数学试题
数学试卷—教师版_2024-2025高三(6-6月题库)_2024年08月试卷_0807湖南省长沙市雅礼中学2024-2025学年高三上学期入学考试数学试题
数学试卷—教师版_2024-2025高三(6-6月题库)_2024年08月试卷_0807湖南省长沙市雅礼中学2024-2025学年高三上学期入学考试数学试题
数学试卷—教师版_2024-2025高三(6-6月题库)_2024年08月试卷_0807湖南省长沙市雅礼中学2024-2025学年高三上学期入学考试数学试题
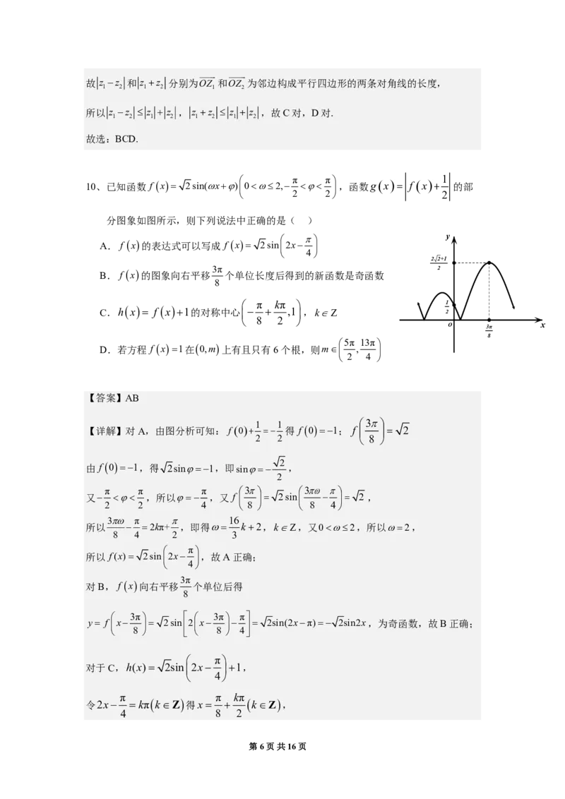
数学试卷—教师版_2024-2025高三(6-6月题库)_2024年08月试卷_0807湖南省长沙市雅礼中学2024-2025学年高三上学期入学考试数学试题
数学试卷—教师版_2024-2025高三(6-6月题库)_2024年08月试卷_0807湖南省长沙市雅礼中学2024-2025学年高三上学期入学考试数学试题
数学试卷—教师版_2024-2025高三(6-6月题库)_2024年08月试卷_0807湖南省长沙市雅礼中学2024-2025学年高三上学期入学考试数学试题
数学试卷—教师版_2024-2025高三(6-6月题库)_2024年08月试卷_0807湖南省长沙市雅礼中学2024-2025学年高三上学期入学考试数学试题
数学试卷—教师版_2024-2025高三(6-6月题库)_2024年08月试卷_0807湖南省长沙市雅礼中学2024-2025学年高三上学期入学考试数学试题
数学试卷—教师版_2024-2025高三(6-6月题库)_2024年08月试卷_0807湖南省长沙市雅礼中学2024-2025学年高三上学期入学考试数学试题
数学试卷—教师版_2024-2025高三(6-6月题库)_2024年08月试卷_0807湖南省长沙市雅礼中学2024-2025学年高三上学期入学考试数学试题
数学试卷—教师版_2024-2025高三(6-6月题库)_2024年08月试卷_0807湖南省长沙市雅礼中学2024-2025学年高三上学期入学考试数学试题
数学试卷—教师版_2024-2025高三(6-6月题库)_2024年08月试卷_0807湖南省长沙市雅礼中学2024-2025学年高三上学期入学考试数学试题
数学试卷—教师版_2024-2025高三(6-6月题库)_2024年08月试卷_0807湖南省长沙市雅礼中学2024-2025学年高三上学期入学考试数学试题

文档信息

文档格式
pdf
文档大小
0.611 MB
文档页数
16 页
上传时间
2026-02-18 18:29:06

文档内容

雅礼中学 2025 届高三上学期入学考试试卷 数 学 时量:120分钟 分值:150分 一、选择题:本题共8小题,每小题5分,共 40分.在每小题给出的四个选项 中,只有一项是符合题目要求的.   1、 已知集合A x x2 2x40 ,则AN( ) A.0 B.0,1 C.0,1,2 D.1,2 【答案】C 【分析】先确定集合A,再求交集AN.     【详解】根据题意,A x x2 2x40  x  2x2 2 ,所以AN0,1,2. 故选:C 2、 已知圆锥的底面半径为 2,其侧面展开图为一个半圆,则该圆锥的体积为( ) 6 2 6 4 6 8 6 A. π B. π C. π D. π 3 3 3 3 【答案】B 【分析】由侧面展开图求得母线长后求得圆锥的高,再由体积公式计算. 【详解】设圆锥母线长为l,高为h,底面半径为r 2, 则由2π 2 πl,得l2 2,所以h l2 r2  6, 1 1 2 2 6 所以V  πr2h π 2  6  π.故选:B. 3 3 3 3、 (暑假作业原题)若正数x,y满足 x²xy20,则xy的最小值是( ) A.2 2 B.2 3 C.4 D.6 【答案】C 【分析】根据已知条件及基本不等式即可求解. 第 1 页 共 16 页 {#{QQABIQaUogCgAIJAABgCUQGaCAKQkAGAAagGwBAIMAABwRNABAA=}#}2 【详解】由题设及x²xy20,可得 yx . x 2  1 1 所以x y xx 2x 4 x 4, x  x x 1 当且仅当x ,即x1时,等号成立,此时y30符合题意. x 所以xy的最小值为4. 故选:C. x2 y2 4、 过椭圆C:  1的中心作直线l交椭圆于P,Q两点,F 是C的一个焦点,则 16 9 △PFQ周长的最小值为( ) A.16 B.14 C.12 D.10 【答案】B 【分析】利用椭圆的定义和对称性,转化△PFQ的周长,即可求解. 【详解】设C的另一个焦点为F,根据椭圆的对称性知 PF  QF , 所以△PFQ的周长为 PF  QF  PQ  QF  QF  PQ 8 PQ , 当线段PQ为椭圆短轴时, PQ 有最小值6,所以△PFQ的周长的最小值为14. 故选:B 5、 已知圆C 的方程为x2 (y2)2 a,则“a  2”是“函数y x 的图象与圆C 有四个公 共点”的( ) A.充分不必要条件 B.必要不充分条件 C.充要条件 D.既不充分也不必要条件 【答案】B 第 2 页 共 16 页 {#{QQABIQaUogCgAIJAABgCUQGaCAKQkAGAAagGwBAIMAABwRNABAA=}#}【详解】由圆C 的方程为x2 (y2)2 a可得圆心0,2,半径r  a , 20 若圆与函数y  x相交,则圆心到直线y  x的距离d   2 a,即a  2, 2 若函数y x 的图象与圆C 有四个公共点,则原点在圆的外部, 即02(02)2 a,解得a4, 综上函数y x 的图象与圆C 有四个公共点则2 a  4, 所以“a  2”是“函数y x 的图象与圆C 有四个公共点”的必要不充分条件,故选:B 6、 (暑假作业原题)如图是一块高尔顿板的示意图,在一块木板上钉着若干排相互平行 但相互错开的圆柱形小木钉,小木钉之间留有适当的空隙作为通道,前面挡有一块玻 璃.将小球从顶端放入,小球下落的过程中,每次碰到小木钉后都等可能地向左或向 右落下,最后落入底部的格子中.记格子从左到右的编号分别为0,1,2,,10, 用 X 表示小球最后落入格子的号码,若 P(X k)P(X k ) ,则 k ( ) 0 0 A.4 B.5 C.6 D.7 【分析】小球在下落过程中,共10次等可能向左或向右落下,则小球落入格子的号码X服 1 1 从二项分布,且落入格子的号码即向右次数,即X ~ B(10, ),则P(X k)Ck ( )10(k 0, 2 10 2 1,2...,10) ,然后由二项式系数对称性即可得解. 【解答】解:小球在下落过程中,共10次等可能向左或向右落下, 则小球落入格子的号码X服从二项分布, 1 且落入格子的号码即向右次数,即X ~ B(10, ), 2 1 1 1 所以P(X k)Ck ( )k(1 )10k Ck ( )10(k 0,1,2...,10) , 10 2 2 10 2 第 3 页 共 16 页 {#{QQABIQaUogCgAIJAABgCUQGaCAKQkAGAAagGwBAIMAABwRNABAA=}#}由二项式系数对称性知,当k  5 时,Ck 最大,故k 5. 10 0 故选:B. 【点评】本题考查了二项分布及二项式系数的性质的应用,属于中档题. 7、 (教材原题)以正方体的顶点为顶点的三棱锥的个数是( ) A.70 B.64 C.60 D.58 【分析】从 8 个顶点中选 4 个,共有C4种结果,在这些结果中,有四点共面的情况,6 个 8 表面有6个四点共面,6个对角面有6个四点共面,用所有的结果减去不合题意的结果, 得到结论. 【解答】解:首先从8个顶点中选4个,共有C4种结果, 8 在这些结果中,有四点共面的情况,6个表面有 6个四点共面,6个对角面有 6个四点共面, 满足条件的结果有C4 66C4 1258. 8 8 故选:D. 【点评】本题是一个排列问题同立体几何问题结合的题目,是一个综合题,这种问题实际 上是以排列为载体考查正方体的结构特征. 8、 (暑假作业原题)已知定义域为 R 的函数 f(x) ,其导函数为 f(x) ,且满足 , ,则 f(x)2f(x)0 f(0)1 ( ) A.e2f(1)1 B. f 1e2 C. f( 1 )e D. f(1)ef( 1 ) 2 2 f(x) 【分析】构造函数g(x) ,由 f(x)2f(x)0得g(x)0,进而判断函数g(x)的单调 e2x 性,判断各选项不等式. f(x) f(x)e2x 2f(x)e2x f(x)2f(x) 【解答】解:g(x) ,则g(x)  , e2x (e2x)2 e2x 因为 f(x)2f(x)0在R 上恒成立, 所以g(x)0在R 上恒成立,故g(x)在R 上单调递减, f(1) f(0) 所以g(1) g(0), e2f(1) 1,故A不正确; e2 e0 所以g (1)g(0),即 f(1)  f(0) ,即 f (1)e2f(0)e2,故B 不正确; e2 e0 第 4 页 共 16 页 {#{QQABIQaUogCgAIJAABgCUQGaCAKQkAGAAagGwBAIMAABwRNABAA=}#}1 f( ) g( 1 ) g(0),即 2  f(0) 1,即 f( 1 )e,故C 不正确; 2 e1 e0 2 1 f( ) g( 1 ) g(1),即 2  f(1) ,即 f(1)ef( 1 ),故D正确. 2 e1 e2 2 故选:D. 【点评】本题考查了利用导数研究函数的单调性,考查了函数思想,属中档题. 二、选择题:本题共3小题,每小题6分,共 18分.在每小题给出的选项中,有 多项符合题目要求.全部选对的得6分,部分选对的得部分分,有选错的得0分. 9、 已知复数z ,z ,下列说法正确的是( ) 1 2 A.若 z  z ,则z2  z2 B. z z  z z 1 2 1 2 1 2 1 2 C. z z  z  z D. z z  z  z 1 2 1 2 1 2 1 2 【答案】BCD 【分析】举出反例即可判断A;根据复数的乘法运算及复数的模的公式即可判断B;根据 复数加减法的几何意义及坐标表示即可判断CD. 【详解】对于A,设z 12i,z 2i,显然 z  z , 1 2 1 2 但z2 34i z2 34i,故A错; 1 2 对于B,设z abi,z cdi, 1 2 则z z acbdadbci, 1 2 z z  acbd2adbc2  a2c2a2d2b2c2d2d2 , 1 2 z z  a2b2  c2d2  a2c2a2d2b2c2d2d2 , 1 2 所以 z z  z z ,故B对; 1 2 1 2  对于CD,根据复数的几何意义可知,复数z 在复平面内对应向量OZ , 1 1  复数z 对应向量OZ ,复数加减法对应向量加减法, 2 2 第 5 页 共 16 页 {#{QQABIQaUogCgAIJAABgCUQGaCAKQkAGAAagGwBAIMAABwRNABAA=}#}  故 z z 和 z z 分别为OZ 和OZ 为邻边构成平行四边形的两条对角线的长度, 1 2 1 2 1 2 所以 z z  z  z , z z  z  z ,故C对,D对. 1 2 1 2 1 2 1 2 故选:BCD. 10、 已知函数 f x 2sin(x)  02, π  π ,函数gx f x 1 的部  2 2 2 分图象如图所示,则下列说法中正确的是( )   y A. f x的表达式可以写成 f x 2sin2x   4 2 2+1 3π 2 B. f x的图象向右平移 个单位长度后得到的新函数是奇函数 8  π kπ  1 C.hx f x1的对称中心   ,1 ,kZ 2  8 2  O 3π x 8 5π 13π D.若方程 f x1在0,m上有且只有6个根,则m ,   2 4  【答案】AB 1 1 3 【详解】对A,由图分析可知: f0  得 f 01; f      2 2 2  8  由 f 01,得 2sin1,即sin 2 , 2 π π π 3 3  又  ,所以 ,又 f     2sin     2, 2 2 4  8   8 4 3 π  16 所以  2kπ+ ,即得 k2,kZ,又02,所以2, 8 4 2 3  π 所以 f(x) 2sin2x ,故A正确;  4 3π 对B, f x向右平移 个单位后得 8  3π   3π π y f x  2sin  2x    2sin(2xπ) 2sin2x,为奇函数,故B正确;  8    8  4  π 对于C,h(x) 2sin  2x  1,  4 π π kπ 令2x kπkZ得x  kZ, 4 8 2 第 6 页 共 16 页 {#{QQABIQaUogCgAIJAABgCUQGaCAKQkAGAAagGwBAIMAABwRNABAA=}#}π kπ  所以对称中心  ,1 ,kZ,故C不正确; 8 2   π 2 对于D,由 f x1, 得sin2x  ,  4 2 π  π π 因为x(0,m),所以2x  ,2m , 4  4 4 π π 3π 9π 11π 17π 19π π π 5π 3π 9π 5π 令2m  , , , , , ,解得m , , , , , . 4 4 4 4 4 4 4 4 2 4 2 4 2 π π 5π 3π 9π 5π 又在0,m上有6个根,则根从小到大为 , , , , , , 4 2 4 2 4 2 π 25π 13π 13π 5π 13π 再令2m  ,解得m ,则第7个根为 ,m ,  ,故D错误. 4 4 4 4  2 4  故选:ABC. 11、 如图,过点C(a ,0)(a0)的直线AB交抛物线 y2 2px(p0)于A,B 两点,连接 AO、BO,并延长,分别交直线xa于M ,N两点,则下列结论中一定成立的有 ( ) A.BM //AN B.以AB为直径的圆与直线xa相切 C.S S AOB MON D.S2 4S S MCN ANC BCM 【分析】设出直线与抛物线联立,利用韦达定理及斜率公式,结合三角形的面积公式及直 线与圆的位置关系的判断方法即可求解. 【解答】解:对于A,令直线AB:xmya,A(x ,y ),B(x ,y ), 1 1 2 2 xmya 联立 ,消x可得y2 2pmy2pa0, y2 2px 则△(2pm)2 8pa0,y y 2pa,y  y 2pm, 1 2 1 2 则x x m(y  y )2a2pm2 2a, 1 2 1 2 y y ay 则k  1,则直线OA:y 1 x,M(a , 1), OA x x x 1 1 1 第 7 页 共 16 页 {#{QQABIQaUogCgAIJAABgCUQGaCAKQkAGAAagGwBAIMAABwRNABAA=}#}ay 2pa y  1 y  2 x 2 y y y 2pa 故k  1  1  1 2 0, BM x a x a y (x a) 2 2 1 2 同理k 0,BM //AN ,故A正确; AN x x y  y 对于B,如图,设AB中点Q( 1 2 , 1 2),即Q(pm2 a,pa), 2 2 则Q到直线xa的距离d  pm2 2a, |AB| 1 以AB为直径的圆的半径  1m2 | y  y | p2m4  p2m2 2pam2 2pa , 2 2 1 2 |AB|2 所以d2  (p2a)(2a p)m2, 4 p p 当a 时相切,当a 时不相切,故B错误; 2 2 对于C,设xa与x轴交于P,S S ,S S , PON AOC MOP BOC 则S S S S ,则S S ,故C正确; PON MOP AOC BOC AOB MON 1 1 对于D,S  (x a)y ,S  (x a)y , ANC 2 1 1 BCM 2 2 2 1 1 则S S  (x a)(x a)y y  (my 2a)(my 2a)y y ANC BCM 4 1 2 1 2 4 1 2 1 2 1  [m2y y 2am(y  y )4a2]y y 4 1 2 1 2 1 2 1  [m2(2pa)2am(2pm)4a2](2pa) pa2(pm2 2a), 4 1 而S S S  2a| y  y |a|y  y |, MCN MPC NPC 2 1 2 1 2 所以S2 a2(y  y )2 a2[(y  y )2 4y y ]4pa2(pm2 2a)4S S ,故D正确. MCN 1 2 1 2 1 2 ANC BCM 故选:ACD. 【点评】本题考查了已知两点求斜率,由斜率判断两条直线平行,判断直线与圆的位置关 第 8 页 共 16 页 {#{QQABIQaUogCgAIJAABgCUQGaCAKQkAGAAagGwBAIMAABwRNABAA=}#}系,根据韦达定理求参数,属于中档题. 三、填空题:本题共3小题,每小题5分,共 15分. 12、 已知随机变量X 服从正态分布N  5,2 ,若P(5X 6)0.27,则P(X 4) . 23 【答案】0.23/ 100 【分析】根据正态分布的概率性质求解即可. 【详解】随机变量X 服从正态分布N  5,2 ,则P(X 5)0.5 又P(5X 6)0.27,则P(4X 5)0.27,则P(X 4)P(X 5)P(4 X 5)0.23. 故答案为: 0.23.     13、 已知向量asin,cos,b3,1,若a∥b,则sin2sin2的值为 . 3 【答案】 2 sin22sincos 【分析】根据题目条件可得sin3cos,代入sin2sin2 化简即 sin2cos2 可.     【详解】已知向量asin,cos,b3,1,若a∥b,则有sin3cos, sin22sincos 9cos26cos2 15 3 ∴sin2sin2    . sin2cos2 9cos2cos2 10 2 3 故答案为: 2 14、 设k>0,若存在正实数x,使得不等式log xk2kx10成立,则k的最大值 4 为 . 1 【答案】 eln2 【分析】由题意可得log (x)(2k)x,可令2k a,则log xax成立,由yax和ylog x互 2k a a 为反函数,可得图象关于直线yx对称,可得xax log x有解,通过取对数和构造函数 a 法,求得导数,单调性和最值,即可得到k的最大值. 第 9 页 共 16 页 {#{QQABIQaUogCgAIJAABgCUQGaCAKQkAGAAagGwBAIMAABwRNABAA=}#}1 1 【详解】不等式log xk2kx10,所以 log x k2kx0, 4 2 2 2 1 即为 log x2kx,即有log (x)(2k)x,可令2k a,则log xax成立, k 2 2k a 由yax和ylog x互为反函数,可得图象关于直线yx对称, a lnx 可得xax log x有解,则lnxxlna,即lna , a x lnx 1lnx 可得y ,导数为y , x x2 可得xe时,函数y递减,0xe时,函数y递增, lnx 1 则xe时,y 取得最大值 , x e 1 1 1 1 可得即有lna ,所以ln2k ,可得k ,即k的最大值为 .【点睛】关键点睛: e e eln2 eln2 解答本题有两个关键,其一,是得到有log (x)(2k)x,想到令2k a换元,则log xax成 2k a lnx 立,;其二,通过转化得到lna 有解,再利用导数解答. x 四、解答题:本题共6小题,共70分.解答应写出文字说明、证明过程或演算步 骤. 15、 (13分)平面多边形中,三角形具有稳定性,而四边形不具有这一性质.如图所示, 四边形ABCD的顶点在同一平面上,已知ABBCCD2,AD2 3. (1)当BD长度变化时, 3cosAcosC是否为一个定值?若是,求出这个定值;若否, 说明理由. (2)记△ABD与△BCD的面积分别为S 和S ,请求出S2S2的最大值. 1 2 1 2 【答案】(1) 3cosAcosC为定值,定值为1 (2)14 第 10 页 共 16 页 {#{QQABIQaUogCgAIJAABgCUQGaCAKQkAGAAagGwBAIMAABwRNABAA=}#}AD2AB2BD2 【详解】(1)法一:在△ABD中,由余弦定理cosA , 2ADAB (2 3)222BD2 16BD2 得cosA ,即 3cosA ①, 22 32 8 2222BD2 8BD2 同理,在△BCD中,cosC ,即cosC ②, 222 8 ①②得 3cosAcosC1, 所以当BD长度变化时, 3cosAcosC为定值,定值为1; 法二:在△ABD中,由余弦定理BD2  AD2AB22ADABcosA 得BD2 (2 3)22222 32cosA,即BD2 168 3cosA, 同理,在△BCD中,BD2 CD2CB22CDCBcosC 88cosC, 所以168 3cosA88cosC,化简得 3cosA1cosC,即 3cosAcosC1, 所以当BD长度变化时, 3cosAcosC为定值,定值为1; 1 1 (2)S2S2  AB2AD2sin2A BC2CD2sin2C 1 2 4 4 12sin2A4sin2C 12sin2A44cos2C 12sin2A44( 3cosA1)2 24cos2A8 3cosA12, 2  3 令cosAt,t1,1,所以y24t28 3t1224t  14, 6   3 3 所以t ,即cosA 时, S2S2有最大值为14. 1 2 6 6 16、 (15分)(暑假作业原题)函数 f(x)ex 4sinx2的图象在x0处的切线为 yaxa3,aR. (1)求的值; (2)求 f(x)在(0,)上零点的个数. 解析【小问1详解】 因为 f(x)ex 4sinx2, f(x)ex 4cosx, 所以 f(0)4,所以切线斜率为4,即a4, 所切线方程为y 4x1 又 f(0)1,所以切点坐标为(0,1),代入得 则11,解得1. 第 11 页 共 16 页 {#{QQABIQaUogCgAIJAABgCUQGaCAKQkAGAAagGwBAIMAABwRNABAA=}#}【小问2详解】 由(1)得 f(x)ex 4sinx1, f(x)ex 4cosx, 令gx f(x)ex 4cosx,则gxex 4sinx, 当x π时, f(x)ex 4cosx0恒成立,所以 f(x)在 π, 上递增, 所以 f(x) f(π)eπ 4sinx1eπ 50, 因此 f(x)在[π,)无零点; 当0 xπ时,gxex 4sinx0恒成立,所以 f x 单调递增, 又 f(0)30, f(π)eπ 40, 所以 f x 在(0,π)上存在唯一的零点x , 0 当x0,x , f(x)0, f(x)单调递减; 0 当xx ,π, f (x)  0, f (x)单调递增; 0 又 f(0)0, f x  f(0)0, f(π)eπ 10, 0 因此 f(x)在(0,π)上仅有1个零点; 综上, f(x)在(0,)上仅有1个零点. 17、 (15分)如图,四面体ABCD中,ADCD,ADCD,ADBBDC,E为AC的中 点. (1)证明:平面BED平面ACD; (2)设ABBD2,ACB60,点F在BD上,当△AFC的面积最小时,求CF与平 面ABD所成的角的正弦值. 【详解】(1)因为ADCD,E为AC的中点,所以ACDE; 在△ABD和△CBD中,因为ADCD,ADBCDB,DBDB, 所以△ABD≌△CBD,所以ABCB,又因为E为AC的中点,所以ACBE; 又因为DE,BE平面BED,DEBEE,所以AC平面BED, 因为AC平面ACD,所以平面BED平面ACD. (2)连接EF ,由(1)知,AC平面BED,因为EF 平面BED, 1 所以AC EF,所以S = ACEF, △AFC 2 第 12 页 共 16 页 {#{QQABIQaUogCgAIJAABgCUQGaCAKQkAGAAagGwBAIMAABwRNABAA=}#}当EF BD时,EF 最小,即△AFC的面积最小. 因为△ABD≌△CBD,所以CB AB2, 又因为ACB60,所以ABC是等边三角形,因为E为AC的中点,所以AEEC 1, 1 BE 3,因为ADCD,所以DE  AC 1, 2 在DEB中,DE2BE2 BD2,所以BEDE. 以E为坐标原点建立如图所示的空间直角坐标系Exyz, 则A1,0,0,B  0, 3,0  ,D0,0,1,所以   AD1,0,1,AB  1, 3,0  ,  设平面ABD的一个法向量为nx,y,z,   nADxz0 则  ,取y 3,则 nABx 3y0    n 3, 3,3 ,  3 3   3 3 又因为C1,0,0,F0, , ,所以CF 1, , ,     4 4 4 4         nCF 6 4 3 cos n,CF      所以 n CF 7 7 , 21 4   设CF与平面ABD所成的角的正弦值为0 ,  2   4 3 4 3 所以sin cos n,CF  ,所以CF与平面ABD所成的角的正弦值为 . 7 7 x2 y2 3 18、 (17分)已知双曲线C:  1a0,b0的渐近线方程为y x,过点 a2 b2 2 4,0的直线l交双曲线C于M ,N 两点,且当lx轴时, MN 6. (1)求C的方程; (2)记双曲线C的左右顶点分别为A,A ,直线AM ,A N的斜率分别为k ,k ,求 1 2 1 2 1 2 k 1 的值. k 2 (3)探究圆E:x2y24x4y10上是否存在点S,使得过S作双曲线的两条切线 第 13 页 共 16 页 {#{QQABIQaUogCgAIJAABgCUQGaCAKQkAGAAagGwBAIMAABwRNABAA=}#}l ,l 互相垂直. 1 2 x2 y2 1 【答案】(1)  1; (2) ; (3)存在. 4 3 3 b 3  a  2 a2 【详解】(1)由对称性知,双曲线C过点(4,3),则 ,解得 , 16 9 b 3  1 a2 b2 x2 y2 所以双曲线C的方程为  1. 4 3 (2)由(1)得A(2,0),A (2,0),设Mx,y ,Nx ,y , 1 2 1 1 2 2 显然直线MN不垂直于y轴,设直线MN的方程为xmy4, xmy4 由 消去x得(3m24)y224my360, 3x24y2 12 24m 36 显然3m240,144(m24)0,y  y  ,y y  , 1 2 3m24 1 2 3m24 2m 3 则y  y  y y ,即my y  y  y , 1 2 3 1 2 1 2 2 1 2 y 3 所以 k 1  x 1  1 2  y 1 x 2 2  y 1 my 2 2  my 1 y 2 2y 1   2 y 1 y 2 2y 1  1 . k y x 2y y my 6 my y 6y 3 3 2 2 1 2 2 2 1 2 2  y y 6y x 2 2 1 2 2 2 (3)圆E:x2 y24x4y10上存在点S,使得过S作双曲线的两条切线互相垂直. 若双曲线的两条切线有交点,则两条切线的斜率存在且不为0, 设双曲线的两条切线分别为yk xn,yk xn , 1 1 2 2 将ykxn代入 x2  y2 1消去y得:(34k2)8knx4n2120, 4 3 由0得64k2n24  34k2 4n212  0,解得n2 4k23, 因此n2 4k23,n2 4k23,设两条切线的交点坐标为x ,y , 1 1 2 2 0 0 y k x n 则 0 1 0 1 ,即有y k x 2 4k23,且y k x 2 4k23, y k x n 0 1 0 1 0 2 0 2 0 2 0 2 第 14 页 共 16 页 {#{QQABIQaUogCgAIJAABgCUQGaCAKQkAGAAagGwBAIMAABwRNABAA=}#}即  x24  k22x y k  y230,  x24  k22x y k  y230, 0 1 0 0 1 0 0 2 0 0 2 0 于是k ,k 是方程  x 24  k22x y k y 230的两根, 1 2 0 0 0 0 y23 而kk 1,则 0 1,即x2y2 1,从而两条切线们交点的轨迹为圆x2 y2 1, 1 2 x24 0 0 0 而x2 y2 1的圆心为O(0,0),半径为1,圆E:(x2)2(y2)2 32的圆心E(2,2),半径为 3,显然|OE| 2222 2 2,满足31|OE|31,即圆O与圆E相交, 所以圆E:x2 y24x4y10上存在点S,使得过S作双曲线的两条切线互相垂直. 19、 (17分)对于数列a ,如果存在等差数列b 和等比数列c ,使得 n n n a b c  nN ,则称数列a 是“优分解”的. n n n n (1)证明:如果a 是等差数列,则a 是“优分解”的. n n (2)记Δa a a,Δ2a Δa Δa  nN* ,证明:如果数列a 是“优分解”的, n n1 n n n1 n n 则Δ2a 0  nN* 或数列  Δ2a  是等比数列. n n (3)设数列a 的前n项和为S ,如果a 和S 都是“优分解”的,并且 n n n n a 3,a 4,a 6,求a 的通项公式. 1 2 3 n 【答案】(1)证明见解析 (2)证明见解析 (3)a 22n1 n 【详解】(1)a n 是等差数列,设a n a 1 n1d   a 1 1n1d  1, 令b a 1n1d,c 1, n 1 n 则b 是等差数列,c 是等比数列,所以数列a 是“优分解”的. n n n (2)因为数列a 是“优分解”的,设a b c  nN* , n n n n 其中b b n1d,c cqn1c 0,q0, n 1 n 1 1 则Δa a a dcqn1q1,Δ2a Δa Δa cqn1(q1)2. n n1 n 1 n n1 n 1 当q1时,Δ2a 0  nN*; n 第 15 页 共 16 页 {#{QQABIQaUogCgAIJAABgCUQGaCAKQkAGAAagGwBAIMAABwRNABAA=}#}当q1时,  Δ2a  是首项为c(q1)2,公比为 q 的等比数列. n 1 (3)一方面,数列S 是“优分解”的,设S B C  nN* , n n n n 其中B B n1D,C CQn1C 0,Q0,由(2)知Δ2S CQn1(Q1)2 n 1 n 1 1 n 1 因为ΔS S S a 4,ΔS S S a 6,所以Δ2S ΔS ΔS 2. 1 2 1 2 2 3 2 3 1 2 1 C (Q1)2 2,Q1,  Δ2S  是首项为2,公比为QQ1的等比数列. 1 n 另一方面,因为a 是“优分解”的,设a b c  nN* , n n n n 其中b b n1d,c cqn1c 0,q0, n 1 n 1 1 ΔS S S a ,Δ2S ΔS ΔS a a dcqnq1 n n1 n n1 n n1 n n2 n1 1   Δ2S  是首项为2,公比为QQ1的等比数列, n q0,q1,且 Δ2S 2   Δ2S    Δ2S , 2 1 3 dcq2q1 2 dcqq1dcq3q1  1   1   1  化简得cdq(q1)3 0,c 0,q0,q1,d 0,Δa a a cqn1q1, 1 1 n n1 n 1 即数列Δa 是首项Δa a a 1,公比为 q 的等比数列. n 1 2 1 又Δa a a 2,q2, 2 3 2 又Δ2S 2,dcqq12,d 0,q2,解得c 1,b a c 312, 1 1 1 1 1 1 综上所述,a b n1dcqn1 22n1. n 1 1 第 16 页 共 16 页 {#{QQABIQaUogCgAIJAABgCUQGaCAKQkAGAAagGwBAIMAABwRNABAA=}#}