当前位置:首页>文档>江苏省扬州中学2024-2025学年高三上学期10月月考试题政治Word版含解析_2024-2026高三(6-6月题库)_2024年10月试卷_1017江苏省扬州中学2024-2025学年高三上学期10月月考

江苏省扬州中学2024-2025学年高三上学期10月月考试题政治Word版含解析_2024-2026高三(6-6月题库)_2024年10月试卷_1017江苏省扬州中学2024-2025学年高三上学期10月月考

  • 2026-03-22 23:05:52 2026-02-19 15:59:26

文档预览

江苏省扬州中学2024-2025学年高三上学期10月月考试题政治Word版含解析_2024-2026高三(6-6月题库)_2024年10月试卷_1017江苏省扬州中学2024-2025学年高三上学期10月月考
江苏省扬州中学2024-2025学年高三上学期10月月考试题政治Word版含解析_2024-2026高三(6-6月题库)_2024年10月试卷_1017江苏省扬州中学2024-2025学年高三上学期10月月考
江苏省扬州中学2024-2025学年高三上学期10月月考试题政治Word版含解析_2024-2026高三(6-6月题库)_2024年10月试卷_1017江苏省扬州中学2024-2025学年高三上学期10月月考
江苏省扬州中学2024-2025学年高三上学期10月月考试题政治Word版含解析_2024-2026高三(6-6月题库)_2024年10月试卷_1017江苏省扬州中学2024-2025学年高三上学期10月月考
江苏省扬州中学2024-2025学年高三上学期10月月考试题政治Word版含解析_2024-2026高三(6-6月题库)_2024年10月试卷_1017江苏省扬州中学2024-2025学年高三上学期10月月考
江苏省扬州中学2024-2025学年高三上学期10月月考试题政治Word版含解析_2024-2026高三(6-6月题库)_2024年10月试卷_1017江苏省扬州中学2024-2025学年高三上学期10月月考
江苏省扬州中学2024-2025学年高三上学期10月月考试题政治Word版含解析_2024-2026高三(6-6月题库)_2024年10月试卷_1017江苏省扬州中学2024-2025学年高三上学期10月月考
江苏省扬州中学2024-2025学年高三上学期10月月考试题政治Word版含解析_2024-2026高三(6-6月题库)_2024年10月试卷_1017江苏省扬州中学2024-2025学年高三上学期10月月考
江苏省扬州中学2024-2025学年高三上学期10月月考试题政治Word版含解析_2024-2026高三(6-6月题库)_2024年10月试卷_1017江苏省扬州中学2024-2025学年高三上学期10月月考
江苏省扬州中学2024-2025学年高三上学期10月月考试题政治Word版含解析_2024-2026高三(6-6月题库)_2024年10月试卷_1017江苏省扬州中学2024-2025学年高三上学期10月月考

文档信息

文档格式
docx
文档大小
0.072 MB
文档页数
10 页
上传时间
2026-02-19 15:59:26

文档内容

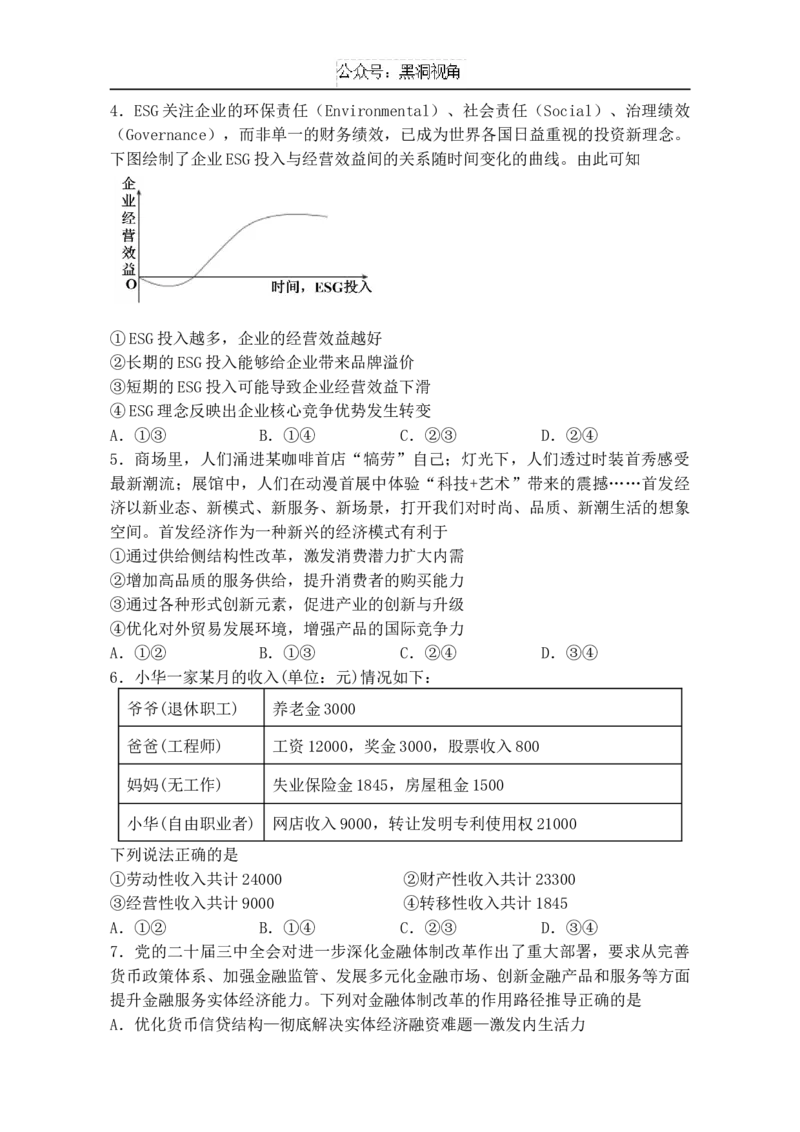
江苏省扬州中学2024-2025学年度第一学期10月考试题 高三政治 2024.10 注意事项: 1.作答前,请将自己的姓名、考试证号等写在答题卡上并贴上条形码。 2.将选择题答案填涂在答题卡的指定位置上,非选择题一律在答题卡上作答,在试卷上答题无 效。 3.考试结束后,请将答题卡交监考人员。 第 I 卷(选择题共 48 分) 一、单项选择题:本大题共16小题,每小题3分,共48分。在每题给出的四个选 项中,只有一项是最符合题意的。 1.2024年7月26日,国务院国资委财管运行局负责人表示,未来五年,中央企业 预计安排大规模设备更新改造总投资超3万亿元。国资委将加大出资人政策支持力 度,指导中央企业在本轮大规模设备更新中发挥表率引领作用。同时,要求中央企 业在采购设备时对各类企业一视同仁,让质价双优的装备供应商脱颖而出。这将有 利于 ①推动技术变革和产业升级 ②促进废旧装备再造利用,发展循环经济 ③撬动投资,发挥其对拉动经济增长的关键性作用 ④实现公有制和非公有制经济在国民经济中的地位平等 A.①② B.①③ C.②④ D.③④ 2.算力券是政府免费发放给企业的一种创新型消费券。2024年以来,全国不少地 方以发放算力券的方式,帮助某些有需要的中小微企业解决算力使用难题,倡导和 鼓励更多的企业加强算力投入,推动算力及人工智能产业发展。政府发放算力券 ①能促进算力市场供需关系有效对接 ②将增加中小微企业的算力成本投入 ③是数据要素市场化配置改革的表现 ④能促进中小微企业发展动能的转变 A.①③ B.①④ C.②③ D.②④ 3.2024年6月,国家卫生健康委等多部门联合发布的《关于进一步健全机制推动 城市医疗资源向县级医院和城乡基层下沉的通知》提出,要深化城市医院支援县级 医院工作,组织城市医院支援社区卫生服务中心,部署县级以上医院支援乡镇卫生 院和村卫生室。此举能够 A.扩大基本医疗保障范围,促进城乡医疗资源均衡发展 B.推动紧密型县域医共体建设,提高医疗资源配置效率 C.促进城乡医院、卫生院合并,满足人民群众就医需求 D.引导优质医疗资源下沉基层,建立健全社会保障制度4.ESG关注企业的环保责任(Environmental)、社会责任(Social)、治理绩效 (Governance),而非单一的财务绩效,已成为世界各国日益重视的投资新理念。 下图绘制了企业ESG投入与经营效益间的关系随时间变化的曲线。由此可知 ①ESG投入越多,企业的经营效益越好 ②长期的ESG投入能够给企业带来品牌溢价 ③短期的ESG投入可能导致企业经营效益下滑 ④ESG理念反映出企业核心竞争优势发生转变 A.①③ B.①④ C.②③ D.②④ 5.商场里,人们涌进某咖啡首店“犒劳”自己;灯光下,人们透过时装首秀感受 最新潮流;展馆中,人们在动漫首展中体验“科技+艺术”带来的震撼……首发经 济以新业态、新模式、新服务、新场景,打开我们对时尚、品质、新潮生活的想象 空间。首发经济作为一种新兴的经济模式有利于 ①通过供给侧结构性改革,激发消费潜力扩大内需 ②增加高品质的服务供给,提升消费者的购买能力 ③通过各种形式创新元素,促进产业的创新与升级 ④优化对外贸易发展环境,增强产品的国际竞争力 A.①② B.①③ C.②④ D.③④ 6.小华一家某月的收入(单位:元)情况如下: 爷爷(退休职工) 养老金3000 爸爸(工程师) 工资12000,奖金3000,股票收入800 妈妈(无工作) 失业保险金1845,房屋租金1500 小华(自由职业者) 网店收入9000,转让发明专利使用权21000 下列说法正确的是 ①劳动性收入共计24000 ②财产性收入共计23300 ③经营性收入共计9000 ④转移性收入共计1845 A.①② B.①④ C.②③ D.③④ 7.党的二十届三中全会对进一步深化金融体制改革作出了重大部署,要求从完善 货币政策体系、加强金融监管、发展多元化金融市场、创新金融产品和服务等方面 提升金融服务实体经济能力。下列对金融体制改革的作用路径推导正确的是 A.优化货币信贷结构—彻底解决实体经济融资难题—激发内生活力B.整顿规范金融活动—健全消费者保护机制—完善金融监管体系 C.促进跨境融资便利化—提高金融开放水平—降低国际金融风险 D.发展绿色金融产品—助力低碳技术创新—培育绿色发展新动能 8.针对“罐车运输食用植物油乱象问题”,国务院高度重视,成立联合调查组彻 查。相关部门依法严惩违法企业和相关责任人,并组织开展食用油风险隐患专项排 查,推动整个行业全面提升治理水平,确保食用植物油安全。由此可见 A.政府加强市场监管,引导行业健康发展 B.激烈的竞争是导致行业乱象的主要原因 C.企业经营者应坚持社会责任为首要目标 D.提高市场准入门槛能提升行业发展质量 9.我国科学家利用冷冻电镜技术解析了小白鼠TAAR9受体在4种不同配体结合条 件下与Gs/Golf嗅觉特异性蛋白三聚体复合物的结构,进一步结合药理学分析揭示 了mTAAR9感知配体后被激活的分子机制,同时阐明了Ⅱ类嗅觉受体独特的激活方 式。这表明 ①抽象思维与存在具有同一性 ②真理性认识源自于科学探索 ③要在联系的多样性中把握事物 ④科研的进步离不开哲学世界观的指导 A.①② B.①③ C.②④ D.③④ 10.折耳根,又名鱼腥草,除具有食用价值外,鱼腥草入药具有清热解毒、消痈排 脓、利尿通淋的作用,在我国传统医学中具有较为广泛的应用。而关于鱼腥草的味 道评价,各地人都有不同的看法。有的人认为它清爽可口,有的人认为它腥味太重 难以下咽。上述材料启示我们 ①折耳根这一事物是各种观念的集合 ②人们可以透过事物的表象看到本质 ③意识对事物的反映具有自觉选择性 ④要以发挥主观能动性为前提认识事物 A.①② B.①④ C.②③ D.③④ 11.聪明的唯心主义者,即伟大的唯心主义哲学家,在哲学上的最大贡献并不是提 出了唯心主义世界观,而是在唯心主义体系下强调了被机械唯物主义和庸俗唯物主 义所轻视的人的精神的重要作用。这段话告诉我们,唯心主义哲学的贡献是①强调 了意识是客观物质世界的本原 ②对人们认识的发展具有借鉴意义 ③在客观上也推动了哲学的不断发展 ④克服了唯物主义哲学派别的局限性 A.①③ B.①④ C.②③ D.②④ 12.每次降水前后,田间的蛙总是不停地鸣叫。古人由此认为降雨是因为天上的龙 王听到了蛙鸣的缘故,并逐渐对蛙产生敬意,期待能够得到蛙神的庇佑。现在人们 知道这是因为气压低,蛙类呼吸急促,故而不停鸣叫。这是因为 A.任何真理都是具体的有条件的 B.人的认识具有反复性的特点 C.感性认识与理性认识相互渗透 D.事物之间的联系具有多样性 13.2024年以来,国产电动三轮车的海外订单持续增长。作为一款多用途车,电 动三轮车既能载人又可拉货,与欧洲城市狭窄的街道和欧美农村地区的大农场有着 很强的适配度。与欧美农场常用的皮卡车相比,用途相同的中国产电动三轮车,操作更加简便,产品性价比更高。从哲学角度看,国产电动三轮车走红海外的秘诀在 于 ①立足实际情况,把握海外市场需求 ②着眼事物整体,统筹要素优化组合 ③抓牢主要矛盾,不断降低产品价格 ④发挥意识作用,根据需要建立联系 A.①② B.①④ C.②③ D.③④ 14.2024年6月30日,深中通道正式通车试运营,该通道跨越伶仃洋,集“桥、 岛、隧、水下互通”于一体,让“深莞惠”与“珠中江”两大城市群实现了跨海直 连。它拥有世界最长、最宽的海底隧道,世界最大跨径全离岸海中钢箱梁悬索桥, 世界首例水下高速公路枢纽互通立交……创下多项“世界之最”。这表明 ①实践水平提升,促使人为事物的联系更复杂多样 ②事物属性不断变化,才能更好地满足主体的需要 ③人类创新能力增强,为创造新价值提供有利条件 ④创新要敢于打破常规,不断超越客观条件的制约 A.①② B.①③ C.②④ D.③④ 15.许多同学在学习中会出现“高原现象” (学习在进入一定高度后出现停滞不前的现 象),但只要能够突破这一现象,成绩又会 继续上升。下列做法能有效应对这一现象的 是 ①放弃难题,专攻基础 ②精益求精,追求完美 ③分解目标,逐步攻克 ④乐观面对,坚持不懈 A.①② B.①③ C.②④ D.③④ 16.恩格斯指出,在满足全体社会成员物质消费和储备的同时,使每个人都有闲暇 时间去获得历史上遗留下来的文化中一切真正有价值的东西;并且不仅是去获得, 而且还要把这一切从统治阶级的独占品变成全社会的共同财富并加以进一步发展。 对于这一论述,下列分析正确的是 ①物质消费和储备活动是人类社会存在和发展的基础 ②人的自由全面发展需要以物质需要充分满足为前提 ③共同富裕构成人类社会发展的唯一目标与不懈追求 ④精神富裕为实现共同富裕提供精神动力和智慧源泉 A.①② B.①③ C.②④ D.③④第 II 卷(主观题共 52 分) 二、非选择题:本大题5小题,共计52分。紧扣材料,结合所学知识回答问题。 17.党的二十届三中全会提出,加快完善落实绿水青山就是金山银山理念的体制机 制。生态产品价值实现是拓展“两山”转化路径的关键之举。 在过去很长一段时间里,S村靠着丰富的矿产资源和竹林资源,大力开矿、土 法造纸,对生态环境无休止的破坏,留下开采后的矿坑残山,溪流也成了污水黑水。 2017年,当地以壮士断腕的决心,封闭了矿洞,保护起竹林,开展系统治理及生 态修复,复垦土地5.4万平方米,充分发挥湿地竹乡资源优势,推行“小微湿地 +民宿康养”等商业开放模式,发展竹加工业等产业。如今当地绿化率达到90%以 上,木本植物覆盖率65%,河流水质从劣Ⅴ类变为Ⅱ类,村集体收入由2017年的 41万元增长至2023年的334万元。昔日矿山集聚的竹海逐步恢复了竹林、山势、 小溪、梯田、水塘和谐共生的自然面貌。在经历了从“靠山吃山”到“爱山护山” 的巨大转变后,该地实现了矿山向生态示范的成功转变,破解了生态产品价值实现 “变现难”的问题。 结合材料,运用《经济与社会》的知识,分析S村成功破解生态产品价值实现“变 现难”问题的成功经验。(8分) 18.新时代以来,市场准入制度改革稳步推进,其中负面清单制度建设是重要抓手。 负面清单即“非禁即入”,清单以外的行业、领域、业务等,各类经营主体皆可依 法平等进入,政府不再审批。我国的负面清单制度起步于外资准入管理,后被引入 国内经济治理,4省市先行试点后,2018年全国统一的市场准入负面清单上线。负 面清单的制定,坚持破“旧法”与立“新法”并重,推行清单的同时,全面清理涉 及市场准入、投资经营的法律法规等,该修改的修改,该废止的废止,从而带动了 相关审批、投资、监管等一系列制度的改革,有力促进了国家治理体系和治理能力 现代化。 结合材料,从“把握世界的规律”角度,说明我国是如何进行负面清单制度建设的。 (12分) 19.党的二十届三中全会审议通过的《中共中央关于进一步全面深化改革、推进中 国式现代化的决定》对“健全现代化基础设施建设体制机制”作出系统部署,其中 专门提到“发展通用航空和低空经济”。 材料一 空中“飞的”、外卖“飞送”、电力“飞检”……作为全球竞逐的战 略性新兴产业,低空经济正在将科幻场景接入现实生活。随着市场火热升温,多地 将低空经济写进政府工作报告,政策助力,全力抢占新赛道、培育新质生产力。 当前,我国无人机、通航飞机等低空经济相关产品的研发和生产能力不断增强, 在无人机、电动垂直起降航空器等领域已经拥有相对完整的产业链。据预测,到 “十四五”末,我国低空经济对国民经济的综合贡献值将达到3至5万亿元。 (1)结合材料一,运用经济与社会的相关知识,分析说明我国低空经济发展的驱 动因素。(8分)材料二 乘着科技进步和政策利好的东风,我国低空经济正在快速发展,低空 空域将成为新的经济增长极。低空经济从“起飞”到“腾飞”,也对相关法律法规、 空域管理、安全保障体系等提出了新的需求。 (2)结合材料二,从经济基础与上层建筑的关系角度,为国家助推低空经济从 “起飞”到“腾飞”出谋划策。(8分) 20.阅读材料,完成下列要求。 实现国民健康长寿,是国家富强、民族振兴的重要标志,也是全国各族人民的 共同愿望。党的十九大报告将“实施健康中国战略”作为国家发展基本方略中的重 要内容,回应了人民的健康需要。党的二十大报告提出,推进健康中国建设,把保 障人民健康放在优先发展的战略位置。为推动健康产业高质量发展,国家多部门加 强跨学科、跨领域合作,推动物联网、大数据、云计算等信息技术在健康及养老领 域的集成创新和融合应用,提升健康养老产品及服务的智慧化水平。数字化转型成 为行业升级的关键,健康管理 APP、远程医疗服务、健康大数探分析等技术应用广 泛,提升了大健康行业服务效率和用户体验。随着人们生活水平的提高和消费升级, 医疗保健需求也日益旺盛,2024年我国大健康产业的市场规模达到约13.4万亿元。 结合材料,运用社会主义市场经济的知识,分析大健康产业为什么能高质量发展。 (8分) 21.阅读材料,完成下列要求。 党的二十届三中全会《决定》提出:“在发展中保障和改善民生是中国式现代 化的重大任务。”现代化的本质是人的现代化。中国梦,归根到底是老百姓的“幸 福梦”。“国之大者”,也是群众“小事”,老百姓的需求从来都是实在的、具体 的。在全局上擘画,在细微处推进,一大一小间,彰显“把发展成果不断转化为生 活品质”的为民担当。 从1940年陕甘宁边区延安自然科学院引入苹果苗木,到如今苹果产业成为延 安全市覆盖面最广、持续效益最好、对农民增收贡献最大的特色产业,火红的苹果, 见证了现代化道路上梦想到梦圆的跋涉,也映照着一个百年大党人民至上的价值追 求。更好的日子,体现在顶层设计中,是幼有所育、学有所教、劳有所得、病有所 医、老有所养、住有所居、弱有所扶;落实到日常生活里,是一日三餐的柴米油盐、 社区学校的琅琅书声、开在家门口的老年食堂、拎包就能入住的长租公寓…… 结合材料,运用“社会历史的主体”的相关知识,以“百年大党坚持以人民至上的 价值追求”为主题,撰写一篇研学报告。(8分) 要求:①围绕主题,观点明确;②论证充分,逻辑清晰;③学科术语使用规范, 250字以内。江苏省扬州中学2024-2025学年度第一学期10月考 高三政治答案 2024.10 一、单项选择题 1.【答案】B。【详解】①③:中央企业大规模设备更新改造总投资超3万亿元, 有利于推动技术变革和产业升级,同时也会撬动投资,发挥其对拉动经济增长的关 键性作用,①③正确。②:材料未涉及废旧装备再造利用,②不符合题意。④:说 法错误,公有制经在国民经济中居主体地位,非公有制经济是社会主义市场经济的 重要组成部分,二者在国民经济中的地位不是平等的,④排除。 2.【答案】B。【详解】①:2024年以来,全国不少地方以发放算力券的方式,帮 助某些有需要的中小微企业解决算力使用难题,政府发放算力券能促进算力市场供 需关系有效对接,①正确。②:政府发放算力券将减少中小微企业的算力成本投入, 而不是增加,②错误。③:数据要素市场化配置改革与题意无关,③不符合题意。 ④:算力券帮助某些有需要的中小微企业解决算力使用难题,倡导和鼓励更多的企 业加强算力投入,推动算力及人工智能产业发展,有利于促进中小微企业发展动能 的转变,④正确。 3.【答案】B。【详解】B:要深化城市医院支援县级医院工作,组织城市医院支援 社区卫生服务中心,部署县级以上医院支援乡镇卫生院和村卫生室。此举能够推动 紧密型县域医共体建设,提高医疗资源配置效率。 A:该举措并不能扩大基本医 疗保障范围,A与题意不符。 C:此举有利于提升基层医疗卫生服务能力,满足 人民群众就医需求,但并不是要促进城乡医院、卫生院合并。C错误。D:我国的 社会保障体系包括社会保险、社会福利、社会优抚、社会救助等,题干举措是为了 提升基层医疗服务水平,与建立健全社会保障制度无关,D排除。 4.【答案】C。【详解】①③:企业的经营与发展由图可知,在最初阶段,随着 ESG投入增加,企业的经营效益不断减少,说明短期的 ESG投入可能导致企业经营 效益下滑,但达到一定程度后,随着ESG投入持续增加,企业的经营效益不断增加, 说明长期的ESG投入会带来企业经营效益的提升,③正确,①错误。②品牌溢价是 指消费者愿意为某个品牌支付超出同类产品标准价格的额外费用,长期的 ESG投入 会提升企业的经营效益,也就意味着能够给该企业带来品牌溢价,②正确。④: ESG理念关注环保责任、社会责任和治理绩效,而非单一的财务绩效,但并没有体 现企业核心竞争优势发生转变,④错误。 5.【答案】B。【详解】①③:首发经济以新业态、新模式、新服务、新场景,打 开我们对时尚、品质、新潮生活的想象空间,有利于通过供给侧结构性改革,激发 消费潜力扩大内需,通过各种形式创新元素,促进产业的创新与升级,①③正确。 ②:收入是影响消费的基础,增加高品质的服务供给不能提升消费者的购买能力, ②错误。 ④:材料不涉及优化对外贸易发展环境,④排除。公众号:高中试卷君 6.【答案】C。【详解】①:劳动性收入,是指通过劳动所获得的收入,包括工资、 奖金、津贴等。小华一家某月的收入中劳动性收入共计15000元,排除①。 ②:财产性收入,是指通过自己所拥有的各类财产获得的收入,包括银行存款所得的利 息、房屋 出租所得 的租金等。小 华一家某月的收入中 财产性收入是 800+1500+21000,共计23300,②正确。 ③:经营性收入指通过生产经营活动所 获得的收入。网店收入9000属于经营性收入,③正确。 ④:转移性收入指国家、 单位、社会团体对住户的各种经常性转移支付和住户之间的经常性收入转移,包括 养老金、社会救济和补助、政策性生产补贴、政策性生活补贴、救灾款等。养老金 3000,失业保险金1845均是转移性收入,④错误。公众号:高中试卷君 7.【答案】D。【详解】A:优化货币信贷结构可以缓解实体经济融资难题,但无法 彻底解决,A错误。 B:完善金融监管体系从而整顿规范金融活动,B传导错误。 C:提高金融开放水平不一定降低国际金融风险,C错误。 D:发展绿色金融产品, 助力低碳技术创新,有利于培育绿色发展新动能,D正确。 8.【答案】A。【详解】A:“罐车运输食用植物油乱象问题”危及食品安全,国务 院此举是在履行政府市场监管职责,治理行业乱象,故A符合题意。 B:市场的 自发性是导致行业乱象的主要原因,有序的市场竞争不会造成该现象,故 B表述错 误。 C:企业经营者首要目标是盈利,但在追求盈利的过程中也需要承担社会责 任,应故C不符合题意。 D:材料并没有体现提高市场准入门槛,提高市场准入 门槛也不必然提升提升发展质量,D表述错误。 9.【答案】B。【详解】①③:我国科学家利用冷冻电镜技术,结合药理学分析揭 示了mTAAR9感知配体后被激活的分子机制,同时阐明了Ⅱ类嗅觉受体独特的激活 方式。这表明抽象思维与存在具有同一性,要在联系的多样性中把握事物,①③正 确。 ②:真理性认识源自于实践,而不是科学探索,②错误。 ④:科研的进步 离不开正确的哲学世界观的指导,④错误。 10.【答案】C。【详解】①:折耳根是客观事物,不是观念的集合,①错误。 ②: 人们认识到折耳根除具有食用价值外,入药具有清热解毒、消痈排脓、利尿通淋的 作用,在我国传统医学中具有较为广泛的应用,表明人们可以透过事物的表象看到 本质,②正确。 ③:关于鱼腥草的味道评价,各地人都有不同的看法。有的人认 为它清爽可口,有的人认为它腥味太重难以下咽,这说明意识对事物的反映具有自 觉选择性,③正确。 ④:尊重客观规律是发挥主观能动性的前提,④错误。 11.【答案】C。【详解】①:材料表明,唯心主义哲学的最大贡献是强调了人的精 神的重要作用,而不是强调意识是客观物质世界的本原,①不选。 ④:唯心主义 哲学克服了机械唯物主义和庸俗唯物主义轻视的人的精神的重要左右这一局限性, 而不是克服了唯物主义哲学派别的局限性,④不选。 ②③:聪明的唯心主义者, 在唯心主义体系下强调了被机械唯物主义和庸俗唯物主义所轻视的人的精神的重要 作用,故唯心主义哲学对人们认识的发展具有借鉴意义,在客观上也推动了哲学的 不断发展,②③符合题意。 12.【答案】B。【详解】A:材料强调认识的反复性,不涉及真理是具体的有条件 的,A排除。B:古人由此认为降雨是因为天上的龙王听到了蛙鸣的缘故,并逐渐 对蛙产生敬意,期待能够得到蛙神的庇佑。现在人们知道这是因为气压低,蛙类呼吸急促,故而不停鸣叫,说明人的认识具有反复性的特点,B正确。CD:材料强调 认识的反复性,不涉及感性认识与理性认识的相互渗透、联系的多样性,CD排除。 13.【答案】A。【详解】①:电动三轮车与欧洲城市狭窄的街道和欧美农村地区的 大农场有着很强的适配度,说明国产电动车走红海外的秘诀在于立足实际情况,把 握海外市场需求,①符合题意。②:我国国产电动三轮车是一款多用途车,统筹考 虑了载人、拉货、操作、性价比等多方面因素进行生产,具有竞争优势,因而走红 海外,②符合题意。③:材料没有体现抓牢主要矛盾,且不断降低产品价格与实际 不符,也并非国产电动三轮车走红海外的秘诀,③排除。④:联系具有客观性,我 们可以根据事物的固有联系建立新的联系,而不是根据需要,④说法错误。 14.【答案】B。【详解】①③:深中通道集“桥、岛、隧、水下互通”于一体,让 “深莞惠”与“珠中江”两大城市群实现了跨海直连,创下多项“世界之最”,这 表明实践水平提升,促使人为事物的联系更复杂多样,人类创新能力增强,为创造 新价值提供有利条件,①③正确。②:事物的属性是客观的,不会随着人的需要而 变化,②错误。④:创新要敢于打破常规,但不能超越客观条件的制约,④错误。 15.【答案】D。【详解】①:“高原现象”往往出现在学习达到一定高度后,此时 放弃难题可能不利于进一步提升,①不符合题意。 ②:“追求完美”说法绝对化, ②说法错误。 ③:“分解目标,逐步攻克”建议将大目标分解为小目标,逐一实 现,有助于克服学习中的挫败感,③符合题意。 ④:“乐观面对,坚持不懈”强 调了积极的心态和持续的努力对于突破“高原现象”的重要性,④符合题意。 16.【答案】C。【详解】①:物质资料的生产活动是人类社会存在和发展的基础, ①表述错误。 ②:由“在满足全体社会成员物质消费和储备的同时,使每个人都 有闲暇时间去获得历史上遗留下来的文化中一切真正有价值的东西”可以得出,人 的自由全面发展需要以物质需要充分满足为前提,②正确。 ③:共同富裕构成人 类社会发展的目标与追求,但不是唯一的,③表述错误。 ④:由“不仅是去获得, 而且还要把这一切从统治阶级的独占品变成全社会的共同财富并加以进一步发展” 可以得出,精神富裕为实现共同富裕提供精神动力和智慧源泉,④正确。 二、非选择题 17.答:①坚持绿色发展理念,践行“两山”理念,注重经济发展与环境保护相协 调,实现人与自然和谐共生。(2分)②推动产业结构优化升级,大力发展生态产 业,创新运用商业开发模式,促进村集体经济发展。(2分)③合理利用自然资源, 因地制宜发展经济,充分发挥湿地竹乡资源优势,发展竹加工业等产业。(2分) ④坚持以人民为中心的发展理念,加快转变经济发展方式,实现乡村产业振兴。 (2分) 18.答:答:①我国坚持矛盾普遍性与特殊性的统一,负面清单制度从外资准入管 理起步,经过试点,在国内经济治理中不断推广;(3分)②负面清单制度改革坚 持系统优化方法,立足整体,以全局观念谋划推进,把清单的设立与审批、投资、 监管制度改革等要素联系起来考察,促进国家治理体系和治理能力现代化。(3 分)③我国坚持具体问题具体分析原则,在推行负面清单制度过程中,对于不合时宜的法律法规,该修改的修改,该废止的废止;(3分)④我国坚持辩证否定观, 在推行负面清单制度过程中坚持“破旧立新”。(3分) 19.(1)答:①低空市场潜力巨大,刺激低空产品和服务的有效供给。(2分)② 政府出台相关产业政策支持低空经济发展。(2分)③坚持创新发展理念,为低空 经济发展提供技术支撑,增强研发和生产能力。(2分)④拥有相对完整的产业链, 产业前景广阔、带动性强。(2分) (2)①经济基础决定上层建筑,上层建筑对经济基础具有反作用。当上层建筑适 应经济基础状况时,它就促进经济基础的巩固和完善;当上层建筑为先进的经济基 础服务时,它就促进生产力的发展,推动社会进步。(4分)②国家要健全相关法 律法规,完善安全监管体系,优化政策环境,规范低空市场秩序,推动低空经济从 “起飞”到“腾飞”。(4分) 20.答:①党的领导是社会主义市场经济体制的重要特征。党的战略部署为大健康 产业发展做了顶层规划。(2分)②市场在资源配置中起决定作用,随着人们生活 水平的提高和消费升级,医疗保健需求日益旺盛,大健康产业市场前景广阔。(2 分)③政府科学的宏观调控、有效的治理,国家加强跨学科、跨领域合作,推动新 技术应用,促进健康产业高质量发展。(2分)④大健康产业利用数字化技术积极 转型升级,提升服务效率和用户体验,更好满足消费者对大健康产品的需求。(2 分) 21.答:人民群众是社会历史的主体,要坚持群众观点和群众路线。(2分)中国 共产党自成立以来,坚持群众观点,相信人民群众,调动人民群众的积极性,陕甘 宁边区打造苹果特色产业,让人民稳步走在现代化的道路上。(1分)群众路线是 无产阶级政党的根本领导方法和工作方法,是我们党的生命线和根本工作路线。 (2分)中国共产党坚持一切为了群众,一切依靠群众,从群众中来,到群众中去 的群众路线。(2分)坚持以人民为中心,维护人民群众的合法权益,从一日三餐 的柴米油盐到拎包就能入住的长租公寓,满足老百姓的需求,致力于实现老百姓的 “幸福梦”。(1分)