当前位置:首页>文档>2020年青海省中考化学试卷(省卷)(含解析版)_中考真题_5.化学中考真题2015-2024年_地区卷_青海化学10-21

2020年青海省中考化学试卷(省卷)(含解析版)_中考真题_5.化学中考真题2015-2024年_地区卷_青海化学10-21

  • 2026-03-24 01:32:23 2026-02-22 00:36:43

文档预览

2020年青海省中考化学试卷(省卷)(含解析版)_中考真题_5.化学中考真题2015-2024年_地区卷_青海化学10-21
2020年青海省中考化学试卷(省卷)(含解析版)_中考真题_5.化学中考真题2015-2024年_地区卷_青海化学10-21
2020年青海省中考化学试卷(省卷)(含解析版)_中考真题_5.化学中考真题2015-2024年_地区卷_青海化学10-21
2020年青海省中考化学试卷(省卷)(含解析版)_中考真题_5.化学中考真题2015-2024年_地区卷_青海化学10-21
2020年青海省中考化学试卷(省卷)(含解析版)_中考真题_5.化学中考真题2015-2024年_地区卷_青海化学10-21
2020年青海省中考化学试卷(省卷)(含解析版)_中考真题_5.化学中考真题2015-2024年_地区卷_青海化学10-21
2020年青海省中考化学试卷(省卷)(含解析版)_中考真题_5.化学中考真题2015-2024年_地区卷_青海化学10-21
2020年青海省中考化学试卷(省卷)(含解析版)_中考真题_5.化学中考真题2015-2024年_地区卷_青海化学10-21
2020年青海省中考化学试卷(省卷)(含解析版)_中考真题_5.化学中考真题2015-2024年_地区卷_青海化学10-21
2020年青海省中考化学试卷(省卷)(含解析版)_中考真题_5.化学中考真题2015-2024年_地区卷_青海化学10-21
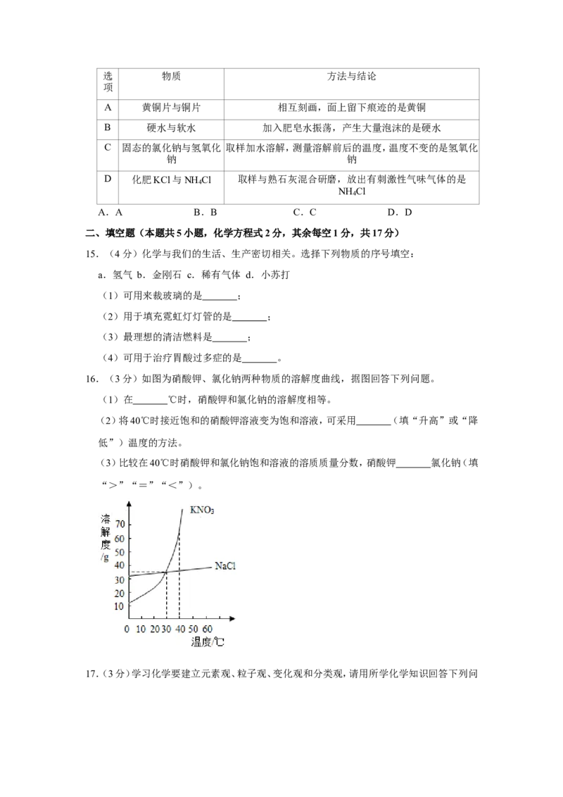
2020年青海省中考化学试卷(省卷)(含解析版)_中考真题_5.化学中考真题2015-2024年_地区卷_青海化学10-21
2020年青海省中考化学试卷(省卷)(含解析版)_中考真题_5.化学中考真题2015-2024年_地区卷_青海化学10-21
2020年青海省中考化学试卷(省卷)(含解析版)_中考真题_5.化学中考真题2015-2024年_地区卷_青海化学10-21
2020年青海省中考化学试卷(省卷)(含解析版)_中考真题_5.化学中考真题2015-2024年_地区卷_青海化学10-21
2020年青海省中考化学试卷(省卷)(含解析版)_中考真题_5.化学中考真题2015-2024年_地区卷_青海化学10-21
2020年青海省中考化学试卷(省卷)(含解析版)_中考真题_5.化学中考真题2015-2024年_地区卷_青海化学10-21
2020年青海省中考化学试卷(省卷)(含解析版)_中考真题_5.化学中考真题2015-2024年_地区卷_青海化学10-21
2020年青海省中考化学试卷(省卷)(含解析版)_中考真题_5.化学中考真题2015-2024年_地区卷_青海化学10-21
2020年青海省中考化学试卷(省卷)(含解析版)_中考真题_5.化学中考真题2015-2024年_地区卷_青海化学10-21
2020年青海省中考化学试卷(省卷)(含解析版)_中考真题_5.化学中考真题2015-2024年_地区卷_青海化学10-21
2020年青海省中考化学试卷(省卷)(含解析版)_中考真题_5.化学中考真题2015-2024年_地区卷_青海化学10-21
2020年青海省中考化学试卷(省卷)(含解析版)_中考真题_5.化学中考真题2015-2024年_地区卷_青海化学10-21

文档信息

文档格式
doc
文档大小
0.230 MB
文档页数
22 页
上传时间
2026-02-22 00:36:43

文档内容

2020年青海省中考化学试卷 一、单项选择题(本题共14小题,1-8题每题1分,9-14题每题2分,共20分。) 1.(1分)下列过程中,只发生物理变化的是( ) A.青稞酿酒 B.滴水成冰 C.铁钉生锈 D.红磷燃烧 2.(1分)空气中含量最多且化学性质不活泼的气体是( ) A.O B.CO C.N D.Ne 2 2 2 3.(1分)下列属于复合肥料的是( ) A.KNO B.NH HCO C.Ca(H PO ) D.K SO 3 4 3 2 4 2 2 4 4.(1分)下列生活用品中属于有机合成材料的是( ) A.纯棉毛巾 B.塑料袋 C.蚕丝被 D.不锈钢餐具 5.(1分)2020年6月,袁隆平科研团队首次在青藏高原柴达木盆地试种海水稻。稻谷中富含 的淀粉属于哪种营养素?( ) A.油脂 B.维生素 C.糖类 D.蛋白质 6.(1分)下列实验操作不正确的是( ) A. 熄灭酒精灯 B. 读取液体体积 C. 稀释浓硫酸 D. 过滤 7.(1分)下列对河水的净化操作中,净化程度最高的是( ) A.蒸馏 B.过滤 C.加入活性炭 D.静置沉淀 8.(1分)葡萄糖[C H O ]是为人体组织提供营养的重要物质。下列相应的计算方法不正确 6 12 6 的是( ) A.葡萄糖分子中碳、氢、氧原子的个数比:6:12:6 B.葡萄糖的相对分子质量:12×6+1×12+16×6 C.葡萄糖中碳氢、氧元素的质量比:(12×6):(1×12):(16×6)D.葡萄糖中氧元素的质量分数: ×100% 9.(2分)氢气与四氯化硅反应制取硅的化学方程式为:2H +SiCl Si+4X,其中X的 2 4 化学式是( ) A.Cl B.H O C.HCl D.SiH 2 2 4 10.(2分)在一定条件下,某反应的微观示意图如图,下列说法正确的是( ) A.该反应属于分解反应 B.反应前后各元素的化合价都未发生改变 C.反应前后分子的种类和个数没变 D.该反应的化学方程式为:N +3H 2NH 2 2 3 11.(2分)下表中对部分知识的归纳有错误的一组是( ) A.化学与生活 B.安全常识 人体缺乏维生素C容易患坏血病 油锅着火,用锅盖盖灭 高钙牛奶中的“钙”指钙元素 家用电器着火,立即用水浇灭 ① ① ② C.化学与环境 ② D.物质的分类 垃圾分类有利于环境保护和资源再利用 纯碱不是碱 生活污水任意排放导致环境污染 生铁不是纯净物 ① ① A.A② B.B C.C ② D.D 12.(2分)除去下列物质中的杂质,所选方法正确的是( ) A.除去CO 气体中混有少量的CO,让气体通过氢氧化钠溶液 2 B.除去FeCl 溶液中混有少量的CuCl ,加入过量的铁粉、过滤 2 2 C.除去NaCl溶液中混有少量的Na CO ,加入适量稀硫酸、蒸发结晶 2 3 D.除去BaCl 固体中混有少量的KCl,加水溶解、过滤 2 13.(2分)在pH=3的溶液中,下列离子可以大量共存的是( ) A.Cu2+ K+ NO ﹣ B.Ag+ Na+ Cl﹣ 3 C.Na+ Ba2+ OH﹣ D.K+ Ba2+ SO 2﹣ 4 14.(2分)下列各组物质的鉴别方法与结论均正确的是( )选 物质 方法与结论 项 A 黄铜片与铜片 相互刻画,面上留下痕迹的是黄铜 B 硬水与软水 加入肥皂水振荡,产生大量泡沫的是硬水 C 固态的氯化钠与氢氧化 取样加水溶解,测量溶解前后的温度,温度不变的是氢氧化 钠 钠 D 化肥KCl与NH Cl 取样与熟石灰混合研磨,放出有刺激性气味气体的是 4 NH Cl 4 A.A B.B C.C D.D 二、填空题(本题共5小题,化学方程式2分,其余每空1分,共17分) 15.(4分)化学与我们的生活、生产密切相关。选择下列物质的序号填空: a.氢气 b.金刚石 c.稀有气体 d.小苏打 (1)可用来裁玻璃的是 ; (2)用于填充霓虹灯灯管的是 ; (3)最理想的清洁燃料是 ; (4)可用于治疗胃酸过多症的是 。 16.(3分)如图为硝酸钾、氯化钠两种物质的溶解度曲线,据图回答下列问题。 (1)在 ℃时,硝酸钾和氯化钠的溶解度相等。 (2)将40℃时接近饱和的硝酸钾溶液变为饱和溶液,可采用 (填“升高”或“降 低”)温度的方法。 (3)比较在40℃时硝酸钾和氯化钠饱和溶液的溶质质量分数,硝酸钾 氯化钠(填 “>”“=”“<”)。 17.(3分)学习化学要建立元素观、粒子观、变化观和分类观,请用所学化学知识回答下列问题: (1)从图A中可知,金的相对原子质量为 。 (2)B、C、D、E所示粒子共表示 种元素,其中 (填序号)与E化学性质相似。 18.(4分)2020年,新冠病毒肺炎疫情在全球爆发,一定浓度的乙醇、过氧化氢和次氯酸钠溶 液能有效杀灭病毒。 (1)在这三种物质中,属于有机物的是 。 (2)若将50mL质量分数为30%(密度为1.1g/cm3)的过氧化氢溶液稀释成质量分数为3% (该溶液的密度和水的密度均为1.0g/cm3)的医用溶液,需要加水 mL。 (3)将氯气(Cl )通入氢氧化钠溶液中可得到次氯酸钠(NaClO),同时生成氯化钠和水。 2 写出反应的化学方程式 。 19.(3分)A、B、C、D、E是初中化学常见的五种物质,A是石灰石的主要成分,E是能与血红 蛋白结合的有毒气体,“→”表示转化关系,部分反应条件未注明。回答下列问题: (1)写出物质B的化学式 ; (2)写出C与D反应转化为A的化学方程式 。 三、实验题(本题共2小题,化学方程式2分,其余每空1分,共19分) 20.(10分)请结合如图实验装置,回答问题: (1)写出标号 仪器的名称 。 (2)写出实验室①用高锰酸钾制取氧气的化学方程式 ,可选择装置 (填序号)作为气体发生装置,但在该装置中还需要补充的是 。 (3)实验室常用大理石和稀盐酸制取二氧化碳气体,写出反应的化学方程式 ,收 集气体应选用装置 (填序号);若将收集到的二氧化碳气体,沿烧杯内壁慢慢倒入 装置F中,可以观察到的现象是 ,说明二氧化碳具有 的物理性质。 21.(9分)陈东同学在做“盐酸中和氢氧化钠”的实验时,实验前忘记向氢氧化钠溶液中滴 加酚酞溶液,导致无法判断中和反应进行的程度,于是他对反应后溶液的酸碱性进行了探 究。 【探究目的】确定反应后溶液的酸碱性 【猜想与假设】反应后溶液可能呈碱性,也可能呈 ,也可能呈 。 【实验验证】 实验操作 实验现象 实验结论 取反应后溶液少许,滴加几滴酚酞溶液 溶液呈酸性或中性 【继续验证】可以设计多种方案进行验证 实验操作 实验现象 实验结论 方案1:取反应后溶液少许,加入少若粉末部分或全部溶解,溶溶液呈 量氧化铜粉末 液变为蓝色 若粉末不溶解,溶液不变色溶液呈 方案2:取反应后溶液少许,加入少若有气体放出,溶液变为浅溶液呈酸性,反应的化 量 绿色 学方程式是 若 溶液呈中性 四、计算题(本题共1小题,共4分) 22.(4分)某NaCl样品中只含有杂质CaCl ,为测定样品中CaCl 质量分数,取样品20g完全 2 2 溶解于水中,并向其中加入过量的Na CO 溶液,生成沉淀的质量是2g。计算样品中CaCl 2 3 2 的质量分数。2020年青海省中考化学试卷 参考答案与试题解析 一、单项选择题(本题共14小题,1-8题每题1分,9-14题每题2分,共20分。) 1.(1分)下列过程中,只发生物理变化的是( ) A.青稞酿酒 B.滴水成冰 C.铁钉生锈 D.红磷燃烧 【考点】E3:化学变化和物理变化的判别. 菁优网版权所有 【专题】512:物质的变化与性质. 【分析】有新物质生成的变化叫化学变化,青稞酿酒、铁钉生锈、红磷燃烧都属于化学变化; 没有新物质生成的变化叫物理变化。化学变化的特征是:有新物质生成。判断物理变化和 化学变化的依据是:是否有新物质生成。 【解答】解:A、青稞酿酒,酒精是新物质,属于化学变化;故选项错误; B、滴水成冰没有新物质生成,属于物理变化;故选项正确; C、铁钉生锈,铁锈是新物质,属于化学变化;故选项错误; D、红磷燃烧生成五氧化二磷,属于化学变化;故选项错误; 故选:B。 【点评】本考点考查了物理变化和化学变化的区别,基础性比较强,只要抓住关键点:是否 有新物质生成,问题就很容易解决。本考点主要出现在选择题和填空题中。 2.(1分)空气中含量最多且化学性质不活泼的气体是( ) A.O B.CO C.N D.Ne 2 2 2 【考点】61:空气的成分及各成分的体积分数. 菁优网版权所有 【专题】521:空气与水. 【分析】根据空气中各成分及体积分数和它们的性质来回答本题,严格按照题目中所给的 信息:“含量较多且化学性质不活泼” 【解答】解:空气中各成分及体积分数为:氮气:78%、氧气:21%、稀有气体:0.94%、二氧化 碳0.03%、水蒸气和杂质:0.03%.氮气在空气中含量最多且化学性质不活泼。 故选:C。 【点评】熟记空气中各成分及体积分数,知道空气中的主要气体,哪种气体最多,哪种气体 最少,掌握它们的化学性质,是解题的关键。 3.(1分)下列属于复合肥料的是( )A.KNO B.NH HCO C.Ca(H PO ) D.K SO 3 4 3 2 4 2 2 4 【考点】9J:常见化肥的种类和作用. 菁优网版权所有 【专题】527:常见的盐 化学肥料. 【分析】含有氮元素的肥料称为氮肥,含有磷元素的肥料称为磷肥,含有钾元素的肥料称 为钾肥,同时含有氮、磷、钾三种元素中的两种或两种以上的肥料称为复合肥。 【解答】解:A、KNO 中含有钾元素和氮元素,属于复合肥,故选项正确。 3 B、NH HCO 中含有氮元素,属于氮肥,故选项错误。 4 3 C、Ca(H PO ) 中含有磷元素,属于磷肥,故选项错误。 2 4 2 D、K SO 中含有钾元素,属于钾肥,故选项错误。 2 4 故选:A。 【点评】本题难度不大,主要考查化肥的分类方面的知识,确定化肥中营养元素的种类、化 肥的分类方法是正确解答此类题的关键。 4.(1分)下列生活用品中属于有机合成材料的是( ) A.纯棉毛巾 B.塑料袋 C.蚕丝被 D.不锈钢餐具 【考点】I7:合成材料的使用及其对人和环境的影响. 菁优网版权所有 【专题】528:化学与生活. 【分析】有机合成材料简称合成材料,要判断是否属于合成材料,可抓住三个特征:有机物、 合成、高分子化合物,据此常见材料的分类进行分析判断。 【解答】解:A、纯棉毛巾是用纯棉制成的,属于天然材料,故选项错误。 B、塑料袋是用塑料制成的,塑料属于三大合成材料之一,故选项正确。 C、蚕丝被是用蚕丝制成的,属于天然材料,故选项错误。 D、不锈钢餐具是用不锈钢制成的,是铁的合金,属于金属材料,故选项错误。 故选:B。 【点评】本题难度不大,掌握合成材料的三大特征(有机物、合成、高分子化合物)、分类是 正确解答此类题的关键所在。 5.(1分)2020年6月,袁隆平科研团队首次在青藏高原柴达木盆地试种海水稻。稻谷中富含 的淀粉属于哪种营养素?( ) A.油脂 B.维生素 C.糖类 D.蛋白质 【考点】J2:生命活动与六大营养素. 菁优网版权所有 【专题】528:化学与生活. 【分析】根据人体所需六大营养素的种类、食物来源,结合题中所给的食物判断所含的营养素,进行分析判断。 【解答】解:稻谷中富含淀粉,淀粉属于糖类。 故选:C。 【点评】本题难度不大,掌握各种营养素的生理功能、食物来源等是正确解答此类题的关 键。 6.(1分)下列实验操作不正确的是( ) A. 熄灭酒精灯 B. 读取液体体积 C. 稀释浓硫酸 D. 过滤 【考点】42:测量容器﹣量筒;44:加热器皿﹣酒精灯;4D:浓硫酸的性质及浓硫酸的稀释; 4G:过滤的原理、方法及其应用. 菁优网版权所有 【专题】531:常见仪器及化学实验基本操作. 【分析】A、使用酒精灯时要注意“两查、两禁、一不可”。 B、根据量筒读数时视线要与凹液面的最低处保持水平进行分析判断。 C、根据浓硫酸的稀释方法(酸入水,沿器壁,慢慢倒,不断搅)进行分析判断。 D、过滤液体时,注意“一贴、二低、三靠”的原则。 【解答】解:A、使用酒精灯时要注意“两查、两禁、一不可”,熄灭酒精灯时,不能用嘴吹 灭酒精灯,应用灯帽盖灭,图中所示操作正确。 B、量筒读数时视线要与量筒内液体的凹液面的最低处保持水平,图中所示操作正确。 C、稀释浓硫酸时,要把浓硫酸缓缓地沿器壁注入水中,同时用玻璃棒不断搅拌,以使热量 及时的扩散;一定不能把水注入浓硫酸中;图中所示操作错误。 D、过滤液体时,要注意“一贴、二低、三靠”的原则,图中所示操作正确。 故选:C。 【点评】本题难度不大,熟悉各种仪器的用途及使用注意事项、常见化学实验基本操作的注意事项是解答此类试题的关键。 7.(1分)下列对河水的净化操作中,净化程度最高的是( ) A.蒸馏 B.过滤 C.加入活性炭 D.静置沉淀 【考点】75:水的净化. 菁优网版权所有 【专题】521:空气与水. 【分析】A、根据蒸馏得到的水是纯水分析。 B、根据过滤操作的原理进行分析。 C、根据活性炭具有吸附性分析。 D、根据静置沉淀会除去颗粒较大的杂质进行分析; 【解答】解:A、蒸馏得到的水是纯水,是净化程度最高的,故A符合题意。 B、过滤只能除去不可溶性的杂质,还含有可溶性的杂质,故B不符合题意。 C、加入活性炭,只能除去色素和异味等,得到的水中还含有杂质,故C不符合题意。 D、静置沉淀只能除去颗粒较大的杂质,得到的水中还含有较多的杂质,故C不符合题意。 故选:A。 【点评】在解此类题时,首先分析各种操作的净水效果,然后结合具体的情况进行分析。根 据吸附会除去异味和杂质进行分析。 8.(1分)葡萄糖[C H O ]是为人体组织提供营养的重要物质。下列相应的计算方法不正确 6 12 6 的是( ) A.葡萄糖分子中碳、氢、氧原子的个数比:6:12:6 B.葡萄糖的相对分子质量:12×6+1×12+16×6 C.葡萄糖中碳氢、氧元素的质量比:(12×6):(1×12):(16×6) D.葡萄糖中氧元素的质量分数: ×100% 【考点】D1:化学式的书写及意义;D8:相对分子质量的概念及其计算;D9:元素质量比的 计算;DA:元素的质量分数计算. 菁优网版权所有 【专题】513:化学用语和质量守恒定律. 【分析】A、根据1个葡萄糖分子的构成,进行分析判断。 B、根据相对分子质量为构成分子的各原子的相对原子质量之和,进行分析判断。 C、根据化合物中各元素质量比=各原子的相对原子质量×原子个数之比,进行分析判断。 D、根据化合物中元素的质量分数= ×100%,进行分析判断。 【解答】解:A、一个葡萄糖分子是由6个碳原子、12个氢原子和6个氧原子构成的,则葡萄糖分子中碳、氢、氧原子的个数比为6:12:6=1:2:1,故选项说法正确。 B、葡萄糖的相对分子质量为12×6+1×12+16×6,故选项说法正确。 C、葡萄糖中碳氢、氧元素的质量比:(12×6):(1×12):(16×6),故选项说法正确。 D、葡萄糖中氧元素的质量分数为 ×100%,故选项说法错误。 故选:D。 【点评】本题难度不大,考查同学们结合新信息、灵活运用化学式的含义与有关计算等进 行分析问题、解决问题的能力。 9.(2分)氢气与四氯化硅反应制取硅的化学方程式为:2H +SiCl Si+4X,其中X的 2 4 化学式是( ) A.Cl B.H O C.HCl D.SiH 2 2 4 【考点】G1:质量守恒定律及其应用. 菁优网版权所有 【专题】513:化学用语和质量守恒定律. 【分析】由质量守恒定律:反应前后,原子种类、数目均不变,据此由反应的化学方程式推 断生成物X的化学式。 【解答】解:由质量守恒定律:反应前后,原子种类、数目均不变,由反应的化学方程式,反 应前氢、硅、氯原子个数分别为4、1、4,反应后的生成物中氢、硅、氯原子个数分别为0、1、 0,根据反应前后原子种类、数目不变,则4X分子中含有4个氢原子和4个氯原子,则每个 X分子由1个氢原子和1个氯原子构成,则物质X的化学式为HCl。 故选:C。 【点评】本题难度不大,掌握化学反应前后原子守恒是正确解答此类题的关键。 10.(2分)在一定条件下,某反应的微观示意图如图,下列说法正确的是( ) A.该反应属于分解反应 B.反应前后各元素的化合价都未发生改变 C.反应前后分子的种类和个数没变 D.该反应的化学方程式为:N +3H 2NH 2 2 3【考点】B3:微粒观点及模型图的应用;FA:反应类型的判定. 菁优网版权所有 【专题】132:化学反应模拟图型. 【分析】根据反应的微观示意图,分析反应物生成物及反应的条件,写出反应的化学方程 式。根据方程式的意义、微粒的变化及化合价原则分析判断有关的说法。 【解答】解:由反应的微观示意图可知,该反应的方程式是:N +3H 2NH 。 2 2 3 A、该反应由两种物质生成了一种物质,属于化合反应,不属于分解反应,故A说法不正确。 B、该反应有两种单质参加反应,反应前后各元素的化合价都发生改变,故B说法不正确。 C、由微粒的变化可知,反应前后分子的种类和个数都发生了改变,故C说法不正确。 D、由上述分析可知,该反应的方程式是:N +3H 2NH ,故D说法正确。 2 2 3 故选:D。 【点评】根据变化微观示意图及粒子构成模拟图,利用分子由原子构成等特点,明确反应 前后分子的构成、种类及个数,判断与反应相关信息的正误,能够考查学生的观察能力和 对基本概念的理解与运用能力。 11.(2分)下表中对部分知识的归纳有错误的一组是( ) A.化学与生活 B.安全常识 人体缺乏维生素C容易患坏血病 油锅着火,用锅盖盖灭 高钙牛奶中的“钙”指钙元素 家用电器着火,立即用水浇灭 ① ① ② C.化学与环境 ② D.物质的分类 垃圾分类有利于环境保护和资源再利用 纯碱不是碱 生活污水任意排放导致环境污染 生铁不是纯净物 ① ① A.A② B.B C.C ② D.D 【考点】79:水资源的污染与防治;A5:纯净物和混合物的判别;A9:常见的氧化物、酸、碱 和盐的判别;H4:灭火的原理和方法;JE:微量元素、维生素与健康的关系及摄取方法. 菁优网版权所有 【专题】213:化学与能源;521:空气与水;528:化学与生活. 【分析】A.根据物质的组成、化学物质与人体健康的关系来分析; B.根据灭火的方法与原理来分析; C.根据环境污染的原因与防治措施来分析; D.根据物质的分类来分析。 【解答】解:A. 人体缺乏维生素C容易患坏血病,说法正确; 高钙牛奶中的“钙”指 钙元素,说法正①确,不合题意; ②B.家用电器着火,不能用水浇灭,以免发生触电,说法错误,符合题意; C. 垃圾分类有利于环境保护和资源再利用,说法正确; 生活污水任意排放导致环境 污染①,说法正确,不合题意; ② D. 纯碱不是碱,纯碱是碳酸钠的俗称,是由钠离子与碳酸根离子构成的化合物,属于盐, 说法①正确; 生铁是含碳量在2%~4.3%之间的铁合金,属于混合物,不是纯净物,说法正 确,不合题②意。 故选:B。 【点评】本题考查的知识点全面,难度不大,加强对课本基础知识的掌握是正确解答的关 键。 12.(2分)除去下列物质中的杂质,所选方法正确的是( ) A.除去CO 气体中混有少量的CO,让气体通过氢氧化钠溶液 2 B.除去FeCl 溶液中混有少量的CuCl ,加入过量的铁粉、过滤 2 2 C.除去NaCl溶液中混有少量的Na CO ,加入适量稀硫酸、蒸发结晶 2 3 D.除去BaCl 固体中混有少量的KCl,加水溶解、过滤 2 【考点】2H:物质除杂或净化的探究. 菁优网版权所有 【专题】167:物质的分离和提纯;533:物质的分离、除杂、提纯与共存问题. 【分析】根据原物质和杂质的性质选择适当的除杂剂和分离方法,所谓除杂(提纯),是指 除去杂质,同时被提纯物质不得改变。除杂质至少要满足两个条件: 一般加入的试剂只 能与杂质反应,不能与原物质反应; 反应后不能引入新的杂质。① 【解答】解:A、CO 2 能与氢氧化钠溶液②反应生成碳酸钠和水,CO不与氢氧化钠溶液反应, 反而会把原物质除去,不符合除杂原则,故选项所采取的方法错误。 B、过量的铁粉能与CuCl 溶液反应生成氯化亚铁溶液和铜,再过滤,能除去杂质且没有引 2 入新的杂质,符合除杂原则,故选项所采取的方法正确。 C、Na CO 能与适量稀硫酸反应生成硫酸钠、水和二氧化碳,能除去杂质但引入了新的杂 2 3 质硫酸钠,不符合除杂原则,故选项所采取的方法错误。 D、氯化钾和氯化钡均易溶于水,用加水溶解、过滤不能除去杂质,不符合除杂原则,故选 项所采取的方法错误。 故选:B。 【点评】物质的分离与除杂是中考的重点,也是难点,解决除杂问题时,抓住除杂质的必需 条件(加入的试剂一般只与杂质反应,反应后不能引入新的杂质)是正确解题的关键。 13.(2分)在pH=3的溶液中,下列离子可以大量共存的是( )A.Cu2+ K+ NO ﹣ B.Ag+ Na+ Cl﹣ 3 C.Na+ Ba2+ OH﹣ D.K+ Ba2+ SO 2﹣ 4 【考点】99:溶液的酸碱性与pH的关系;9R:离子或物质的共存问题. 菁优网版权所有 【专题】533:物质的分离、除杂、提纯与共存问题. 【分析】pH为3的水溶液显酸性,水溶液中含有大量的H+.根据复分解反应的条件,离子 间若能互相结合成沉淀、气体或水,则离子不能大量共存,进行分析判断。 【解答】解:pH为3的水溶液显酸性,水溶液中含有大量的H+。 A、四种离子间不能结合成沉淀、气体或水,能在酸性溶液中大量共存,故选项正确。 B、Ag+、Cl﹣在溶液中能结合生成不溶于酸的氯化银沉淀,不能在酸性溶液中大量共存,故 选项错误。 C、OH﹣和H+在溶液中能结合生成水,不能在酸性溶液中大量共存,故选项错误。 D、Ba2+、SO 2﹣在溶液中能结合生成不溶于酸的硫酸钡沉淀,不能在酸性溶液中大量共存, 4 故选项错误。 故选:A。 【点评】本题考查了离子共存的问题,判断各离子在溶液中能否共存,主要看溶液中的各 离子之间能否发生反应生成沉淀、气体、水;还要注意是在酸性溶液中共存。 14.(2分)下列各组物质的鉴别方法与结论均正确的是( ) 选 物质 方法与结论 项 A 黄铜片与铜片 相互刻画,面上留下痕迹的是黄铜 B 硬水与软水 加入肥皂水振荡,产生大量泡沫的是硬水 C 固态的氯化钠与氢氧化 取样加水溶解,测量溶解前后的温度,温度不变的是氢氧化 钠 钠 D 化肥KCl与NH Cl 取样与熟石灰混合研磨,放出有刺激性气味气体的是 4 NH Cl 4 A.A B.B C.C D.D 【考点】AE:物质的鉴别、推断. 菁优网版权所有 【专题】182:物质的鉴别题. 【分析】A、根据合金的性能分析; B、根据硬水与软水区别方法分析; C、根据氯化钠与氢氧化钠溶于水时溶液温度的变化分析; D、根据铵盐的性质分析。 【解答】解:A、由于合金的硬度一般大于纯金属,相互刻画,留下痕迹的是铜片,故选项说法错误。 B、在区别硬水和软水时,加入肥皂水振荡,产生大量泡沫的是软水,故选项说法错误。 C、氢氧化钠溶于水时放出大量的热,氯化钠溶于水温度几乎无变化,取样加水溶解,测量 溶解前后的温度,温度不变的是氯化钠,故选项说法错误。 D、区别化肥KCl与NH Cl时,取样与熟石灰混合研磨,放出有刺激性气味气体的是 4 NH Cl,故选项说法正确。 4 故选:D。 【点评】本题有一定难度,在解决鉴别物质题时,判断的依据是:所选试剂需要与待鉴别的 物质反应并出现明显不同的现象。 二、填空题(本题共5小题,化学方程式2分,其余每空1分,共17分) 15.(4分)化学与我们的生活、生产密切相关。选择下列物质的序号填空: a.氢气 b.金刚石 c.稀有气体 d.小苏打 (1)可用来裁玻璃的是 b ; (2)用于填充霓虹灯灯管的是 c ; (3)最理想的清洁燃料是 a ; (4)可用于治疗胃酸过多症的是 d 。 【考点】6K:常见气体的用途;9G:常用盐的用途;C6:碳单质的物理性质及用途;HN:氢 气的用途和氢能的优缺点. 菁优网版权所有 【专题】144:物质的性质与用途. 【分析】(1)根据可用来裁玻璃的物质应具有硬度大的性质,进行分析判断。 (2)根据稀有气体通电时它们会发出不同颜色的有色光,进行分析解答。 (3)根据氢气燃烧产物是水,进行分析解答。 (4)可用于治疗胃酸过多症的物质,应能与盐酸反应,进行分析解答。 【解答】解:(1)金刚石的硬度大,可用来裁玻璃。 (2)稀有气体通电时它们会发出不同颜色的有色光,可用于填充霓虹灯灯管。 (3)氢气燃烧产物是水,无污染,是最理想的清洁燃料。 (4)小苏打是碳酸氢钠的俗称,能与盐酸反应,可用于治疗胃酸过多症。 故答案为: (1)b; (2)c; (3)a;(4)d。 【点评】本题难度不大,物质的性质决定物质的用途,掌握常见化学物质的性质和用途是 正确解答此类题的关键。 16.(3分)如图为硝酸钾、氯化钠两种物质的溶解度曲线,据图回答下列问题。 (1)在 3 0 ℃时,硝酸钾和氯化钠的溶解度相等。 (2)将40℃时接近饱和的硝酸钾溶液变为饱和溶液,可采用 降低 (填“升高”或“降 低”)温度的方法。 (3)比较在40℃时硝酸钾和氯化钠饱和溶液的溶质质量分数,硝酸钾 > 氯化钠(填 “>”“=”“<”)。 【考点】7J:饱和溶液和不饱和溶液相互转变的方法;7N:固体溶解度曲线及其作用;7T: 溶质的质量分数、溶解性和溶解度的关系. 菁优网版权所有 【专题】515:溶液、浊液与溶解度. 【分析】根据物质的溶解度曲线可以判断某一温度时物质的溶解度大小比较; 根据物质的溶解度曲线可以判断随着温度的变化,物质的溶解度变化情况; 饱和溶液和不饱和溶液之间可以相互转化; 饱和溶液的溶质质量分数= ×100%。 【解答】解:(1)在30℃时,硝酸钾和氯化钠的溶解度相等。 故填:30。 (2)硝酸钾溶解度随着温度升高而增大,将40℃时接近饱和的硝酸钾溶液变为饱和溶液, 可采用降低温度的方法。 故填:降低。 (3)在40℃时硝酸钾溶解度大于氯化钠溶解度,因此饱和硝酸钾溶液的质量分数大于氯 化钠饱和溶液的溶质质量分数。故填:>。 【点评】溶解度曲线能定量地表示出溶解度变化的规律,从溶解度曲线可以看出:同一溶 质在不同温度下的溶解度不同;同一温度下,不同溶质的溶解度可能相同,也可能不同; 温度对不同物质的溶解度影响不同。 17.(3分)学习化学要建立元素观、粒子观、变化观和分类观,请用所学化学知识回答下列问 题: (1)从图A中可知,金的相对原子质量为 197. 0 。 (2)B、C、D、E所示粒子共表示 三 种元素,其中 B (填序号)与E化学性质相似。 【考点】B8:原子结构示意图与离子结构示意图;C5:元素周期表的特点及其应用. 菁优网版权所有 【专题】513:化学用语和质量守恒定律. 【分析】(1)根据元素周期表小方格信息分析; (2)根据元素定义、原子结构示意图分析; 【解答】解:(1)元素周期表小方格汉字下方数字表示相对原子质量,从图A中可知,金的 相对原子质量为197.0。 (2)元素是具有相同质子数一类原子总称,B、C、D、E所示粒子中BC质子数都为9,属于 同种元素,故共表示三种元素,原子的最外层电子数相同,化学性质相似,B与E原子最外 层都有7个电子,化学性质相似。 故答案为:(1)197.0; (2)三; B。 【点评】明确元素周期表信息、原子结构示意图含义是解答本题关键。 18.(4分)2020年,新冠病毒肺炎疫情在全球爆发,一定浓度的乙醇、过氧化氢和次氯酸钠溶 液能有效杀灭病毒。 (1)在这三种物质中,属于有机物的是 乙醇 。 (2)若将50mL质量分数为30%(密度为1.1g/cm3)的过氧化氢溶液稀释成质量分数为3% (该溶液的密度和水的密度均为1.0g/cm3)的医用溶液,需要加水 44 5 mL。 (3)将氯气(Cl )通入氢氧化钠溶液中可得到次氯酸钠(NaClO),同时生成氯化钠和水。 2写出反应的化学方程式 2NaOH+C l = NaCl+NaClO+H O 。 2 2 【考点】7S:用水稀释改变浓度的方法;AC:有机物与无机物的区别;G5:书写化学方程式、 文字表达式、电离方程式. 菁优网版权所有 【专题】192:溶液的组成及溶质质量分数的计算;513:化学用语和质量守恒定律;516:物 质的分类. 【分析】(1)有机物是含碳元素的化合物,但不包括碳的氧化物、碳酸、碳酸盐等; (2)根据溶液稀释过程中,溶质的质量不变来分析; (3)根据化学反应的原理来分析。 【解答】解:(1)乙醇是一种含碳元素的化合物,属于有机物;故填:乙醇; (2)设需要加水的体积为v,则: 50mL×1.1g/cm3×30%=(v×1.0g/cm3+50mL×1.1g/cm3)×3% v=445mL 故填:445; (3)将氯气(Cl )通入氢氧化钠溶液中可得到次氯酸钠(NaClO),同时生成氯化钠和水, 2 反应的化学方程式为: 2NaOH+Cl =NaCl+NaClO+H O;故填:2NaOH+Cl = 2 2 2 NaCl+NaClO+H O。 2 【点评】本题考查了有机物与无机物的判断、溶液的稀释、化学方程式的写法,难度不大。 19.(3分)A、B、C、D、E是初中化学常见的五种物质,A是石灰石的主要成分,E是能与血红 蛋白结合的有毒气体,“→”表示转化关系,部分反应条件未注明。回答下列问题: (1)写出物质B的化学式 CaO ; (2)写出C与D反应转化为A的化学方程式 CO +Ca ( OH ) = CaCO ↓ +H O 。 2 2 3 2 【考点】AE:物质的鉴别、推断. 菁优网版权所有 【专题】115:框图型推断题. 【分析】根据题意可知,A是石灰石的主要成分,A为碳酸钙,E是能与血红蛋白结合的有 毒气体,E为一氧化碳。碳酸钙在高温时能分解生成了氧化钙和二氧化碳,二氧化碳能与 碳反应生成了一氧化碳,所以B为氧化钙,C为二氧化碳。一氧化碳和氧气反应生成了二 氧化碳,氧化钙能与水化合生成了氢氧化钙,氢氧化钙能与二氧化碳反应生成了碳酸钙和水,所以D为氢氧化钙,据此分析回答有关的问题。 【解答】解:由题意可知,A是石灰石的主要成分,则A为碳酸钙,E是能与血红蛋白结合 的有毒气体,则E为一氧化碳。碳酸钙在高温时能分解生成了氧化钙和二氧化碳,二氧化 碳能与碳反应生成了一氧化碳,所以B为氧化钙,C为二氧化碳。一氧化碳和氧气反应生 成了二氧化碳,氧化钙能与水化合生成了氢氧化钙,氢氧化钙能与二氧化碳反应生成了碳 酸钙和水,所以D为氢氧化钙。 (1)由上述分析可知,物质B是氧化钙,化学式是:CaO; (2)C与D反应转化为A的反应是二氧化碳和氢氧化钙反应生成了碳酸钙和水,化学方 程式是:CO +Ca(OH) =CaCO ↓+H O。 2 2 3 2 故答案为:(1)CaO。 (2)CO +Ca(OH) =CaCO ↓+H O。 2 2 3 2 【点评】本题的难度不大,了解碳的单质和化合物的性质、相互转化的知识是解答本题的 基础。 三、实验题(本题共2小题,化学方程式2分,其余每空1分,共19分) 20.(10分)请结合如图实验装置,回答问题: (1)写出标号 仪器的名称 集气瓶 。 ① ( 2 ) 写 出 实 验 室 用 高 锰 酸 钾 制 取 氧 气 的 化 学 方 程 式 2KMnO 4 K MnO +MnO +O ↑ ,可选择装置 A (填序号)作为气体发生装置,但在该装置中还 2 4 2 2 需要补充的是 在试管口塞一团棉花 。 (3)实验室常用大理石和稀盐酸制取二氧化碳气体,写出反应的化学方程式 CaCO +2HCl ═ CaCl +H O+CO ↑ ,收集气体应选用装置 D (填序号);若将收集到 3 2 2 2 的二氧化碳气体,沿烧杯内壁慢慢倒入装置F中,可以观察到的现象是 蜡烛由下而上依 次熄灭 ,说明二氧化碳具有 密度比空气大,不能燃烧,不支持燃烧 的物理性质。 【考点】4O:常用气体的发生装置和收集装置与选取方法;6P:二氧化碳的物理性质;6Q:二氧化碳的化学性质. 菁优网版权所有 【专题】534:常见气体的实验室制法、检验、干燥与净化. 【分析】(1)要熟悉各种仪器的名称、用途和使用方法; (2)高锰酸钾受热时能够分解生成锰酸钾、二氧化锰和氧气; 为了防止高锰酸钾进入导管,通常在试管口塞一团棉花; (3)实验室通常用大理石或石灰石和稀盐酸反应制取二氧化碳,反应不需要加热,大理石 和石灰石的主要成分是碳酸钙,能和稀盐酸反应生成氯化钙、水和二氧化碳; 二氧化碳能够溶于水,密度比空气大,不能燃烧,不支持燃烧。 【解答】解:(1)标号 仪器的名称是集气瓶。 故填:集气瓶。 ① (2)实验室用高锰酸钾制取氧气的化学方程式:2KMnO K MnO +MnO +O ↑, 4 2 4 2 2 反应物是固体,需要加热,可选择装置A作为气体发生装置,但在该装置中还需要补充的 是:在试管口塞一团棉花。 故填:2KMnO K MnO +MnO +O ↑;A;在试管口塞一团棉花。 4 2 4 2 2 (3)实验室用大理石和稀盐酸制取二氧化碳气体,反应的化学方程式: CaCO +2HCl═CaCl +H O+CO ↑; 3 2 2 2 二氧化碳能够溶于水,不能用排水法收集,密度比空气大,可以用向上排空气法收集,即 用D装置收集; 若将收集到的二氧化碳气体,沿烧杯内壁慢慢倒入装置F中,可以观察到的现象是,说明 二氧化碳密度比空气大,不能燃烧,不支持燃烧。 故填:CaCO +2HCl═CaCl +H O+CO ↑;D;密度比空气大,不能燃烧,不支持燃烧。 3 2 2 2 【点评】合理设计实验,科学地进行实验、分析实验,是得出正确实验结论的前提,因此要 学会设计实验、进行实验、分析实验,为学好化学知识奠定基础。 21.(9分)陈东同学在做“盐酸中和氢氧化钠”的实验时,实验前忘记向氢氧化钠溶液中滴 加酚酞溶液,导致无法判断中和反应进行的程度,于是他对反应后溶液的酸碱性进行了探 究。 【探究目的】确定反应后溶液的酸碱性 【猜想与假设】反应后溶液可能呈碱性,也可能呈 酸性 ,也可能呈 中性 。 【实验验证】 实验操作 实验现象 实验结论取反应后溶液少许,滴加几滴酚酞溶液 溶液不变 溶液呈酸性或中性 色 【继续验证】可以设计多种方案进行验证 实验操作 实验现象 实验结论 方案1:取反应后溶液少许,加入少若粉末部分或全部溶解,溶溶液呈 酸性 量氧化铜粉末 液变为蓝色 若粉末不溶解,溶液不变色溶液呈 中性 方案2:取反应后溶液少许,加入少若有气体放出,溶液变为浅溶液呈酸性,反应的化 量 铁粉 绿色 学方程式是 Fe+2HC l = FeC l +H ↑ 2 2 若 无明显变化 溶液呈中性 【考点】9A:溶液的酸碱性测定. 菁优网版权所有 【专题】537:科学探究. 【分析】【猜想与假设】氢氧化钠溶液与稀盐酸反应生成氯化钠和水,可能恰好完全反应, 也可能是稀盐酸有剩余,也可能是氢氧化钠有剩余,进行分析解答; 【实验验证】根据无色酚酞溶液遇酸性溶液不变色,遇碱性溶液变红,进行分析解答; 【继续验证】根据酸的化学性质及其检验方法来分析。 【解答】解:【猜想与假设】氢氧化钠溶液与稀盐酸反应生成氯化钠和水,可能恰好完全反 应,也可能是稀盐酸有剩余,也可能是氢氧化钠有剩余,故可假设可能呈酸性后中性;故 答案为:酸性;中性; 【实验验证】向反应后的溶液中滴加无色酚酞溶液,实验结论是显碱性,则无色酚酞溶液 变红色;无色酚酞溶液不变色,说明溶液显酸性或中性;故答案为: 实验操作 实验现象 实验结论 取反应后溶液少许,滴加几滴酚酞溶液 溶液不变色 溶液呈酸性或中性 【继续验证】方案1:氯化钠与氧化铜不反应,而盐酸与氧化铜反应生成氯化铜和水,氯化 铜溶液是蓝色的。所以取反应后溶液少许,加入少量氧化铜粉末,若粉末部分或全部溶解, 溶液变为蓝色,证明溶液中含有氯化氢,显酸性;若粉末不溶解,溶液不变色,证明溶液中 不含氯化氢,呈中性;故答案为:加入少量氧化铜粉末,若粉末部分或全部溶解,溶液变为 蓝色,证明溶液中含有氯化氢,显酸性;若粉末不溶解,溶液不变色,证明溶液中不含氯化 氢,呈中性; 方案2:氯化钠与铁不反应,而盐酸能与铁反应生成氯化亚铁和氢气,化学方程式为 Fe+2HCl=FeCl +H ↑,氯化亚铁溶液是浅绿色的。所以取反应后溶液少许,加入少量铁 2 2粉,若有气体放出,溶液变为浅绿色,说明溶液中含有氯化氢,显酸性;若无明显变化,则 证明溶液中不含氯化氢,呈中性;故答案为: 实验操作 实验现象 实验结论 方案1:取反应后溶液少许,加入少若粉末部分或全部溶解,溶溶液呈 酸性 量氧化铜粉末 液变为蓝色 若粉末不溶解,溶液不变色溶液呈 中性 方案2:取反应后溶液少许,加入少若有气体放出,溶液变为浅溶液呈酸性,反应的化 量 铁粉 绿色 学方程式是 Fe+2HCl= FeCl +H ↑ 2 2 若 无明显变化 溶液呈中性 【点评】本题难度不是很大,掌握酸的化学性质、中和反应的反应原理、化学方程式的书写 方法、酸碱性的检验方法等并能灵活运用是正确解答本题的关键。 四、计算题(本题共1小题,共4分) 22.(4分)某NaCl样品中只含有杂质CaCl ,为测定样品中CaCl 质量分数,取样品20g完全 2 2 溶解于水中,并向其中加入过量的Na CO 溶液,生成沉淀的质量是2g。计算样品中CaCl 2 3 2 的质量分数。 【考点】G6:根据化学反应方程式的计算. 菁优网版权所有 【专题】193:有关化学方程式的计算. 【分析】根据碳酸钙的质量是2g和化学方程式计算参加反应的氯化钙的质量,然后根据样 品中CaCl 的质量分数= 进行计算。 2 【解答】解:设生成2g碳酸钙需要氯化钙的质量为x。 Na CO +CaCl =2NaCl+CaCO ↓ 2 3 2 3 111 100 x 2g x=2.22g 样品中CaCl 的质量分数为: 2 =11.1% 答:样品中CaCl 的质量分数为11.1%。 2 【点评】根据化学方程式计算时,第一要正确书写化学方程式,第二要使用正确的数据,第三计算过程要完整。 声明:试题解析著作权属菁优网所有,未经书面同意,不得复制发布 日期:2020/8/9 10:20:23;用户:星光;邮箱:orFmNt9Sl5o9zVVGxqq8R8Yve1Uc@weixin.jyeoo.com;学号:24989655