当前位置:首页>文档>2023年高考化学真题(辽宁自主命题)(原卷版)_全国卷+地方卷_5.化学_1.化学高考真题试卷_2023年高考-化学_2023年辽宁自主命题

2023年高考化学真题(辽宁自主命题)(原卷版)_全国卷+地方卷_5.化学_1.化学高考真题试卷_2023年高考-化学_2023年辽宁自主命题

  • 2026-04-07 19:32:38 2026-03-06 23:19:32

文档预览

2023年高考化学真题(辽宁自主命题)(原卷版)_全国卷+地方卷_5.化学_1.化学高考真题试卷_2023年高考-化学_2023年辽宁自主命题
2023年高考化学真题(辽宁自主命题)(原卷版)_全国卷+地方卷_5.化学_1.化学高考真题试卷_2023年高考-化学_2023年辽宁自主命题
2023年高考化学真题(辽宁自主命题)(原卷版)_全国卷+地方卷_5.化学_1.化学高考真题试卷_2023年高考-化学_2023年辽宁自主命题
2023年高考化学真题(辽宁自主命题)(原卷版)_全国卷+地方卷_5.化学_1.化学高考真题试卷_2023年高考-化学_2023年辽宁自主命题
2023年高考化学真题(辽宁自主命题)(原卷版)_全国卷+地方卷_5.化学_1.化学高考真题试卷_2023年高考-化学_2023年辽宁自主命题
2023年高考化学真题(辽宁自主命题)(原卷版)_全国卷+地方卷_5.化学_1.化学高考真题试卷_2023年高考-化学_2023年辽宁自主命题
2023年高考化学真题(辽宁自主命题)(原卷版)_全国卷+地方卷_5.化学_1.化学高考真题试卷_2023年高考-化学_2023年辽宁自主命题
2023年高考化学真题(辽宁自主命题)(原卷版)_全国卷+地方卷_5.化学_1.化学高考真题试卷_2023年高考-化学_2023年辽宁自主命题
2023年高考化学真题(辽宁自主命题)(原卷版)_全国卷+地方卷_5.化学_1.化学高考真题试卷_2023年高考-化学_2023年辽宁自主命题
2023年高考化学真题(辽宁自主命题)(原卷版)_全国卷+地方卷_5.化学_1.化学高考真题试卷_2023年高考-化学_2023年辽宁自主命题

文档信息

文档格式
docx
文档大小
1.158 MB
文档页数
10 页
上传时间
2026-03-06 23:19:32

文档内容

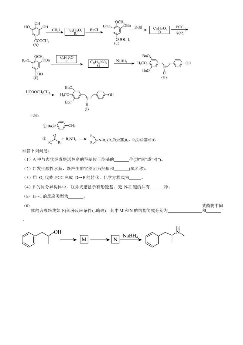
辽宁省 2023 年普通高等学校招生选择性考试(化学) 本试卷满分 100 分,考试时间 75 分钟。 可能用到的相对原子质量:H-1 B-11 C-12 N-14 O-16 Na-23 S-32 Fe-56 一、选择题:本题共 15 小题,每小题 3 分,共 45 分。在每小题给出的四个选项中,只有一 项符合题目要求。 1. 科技是第一生产力,我国科学家在诸多领域取得新突破,下列说法错误的是 A. 利用 CO 合成了脂肪酸:实现了无机小分子向有机高分子的转变 2 B. 发现了月壤中的“嫦娥石[(Ca Y)Fe(PO)]”:其成分属于无机盐 8 4 7 C. 研制了高效率钙钛矿太阳能电池,其能量转化形式:太阳能→电能 D. 革新了海水原位电解制氢工艺:其关键材料多孔聚四氟乙烯耐腐蚀 2. 下列化学用语或表述正确的是 A.BeCl 的空间结构:V 形 B. P 中的共价键类型:非极性键 2 4 C. 基态 Ni 原子价电子排布式:3d10 D. 顺—2—丁烯的结构简式: 3. 下列有关物质的工业制备反应错误的是 A 合成氨:N+3H 2NH B. 制 HCl:H+Cl 2HCl 2 2 3 2 2 C. 制粗硅:SiO+2C Si+2CO D. 冶炼镁:2MgO(熔融) 2Mg+O↑ 2 2 4. 下列鉴别或检验不能达到实验目的的是 A. 用石灰水鉴别 NaCO 与 NaHCO 2 3 3 B. 用 KSCN 溶液检验 FeSO 是否变质 4 C. 用盐酸酸化的 BaCl 溶液检验 NaSO 是否被氧化 2 2 3 D. 加热条件下用银氨溶液检验乙醇中是否混有乙醛 5. 我国古代四大发明之一黑火药的爆炸反应为: 。设 为阿伏 加德罗常数的值,下列说法正确的是 A. 含 键数目为 B. 每生成 转移电子数目为 C. 晶体中含离子数目为 D. 溶液中含 数目为 6. 在光照下,螺呲喃发生开、闭环转换而变色,过程如下。下列关于开、闭环螺呲喃说法正确的是A. 均有手性 B. 互为同分异构体 C. N 原子杂化方式相同 D. 闭环螺吡喃亲水性更好 7. 某无隔膜流动海水电解法制 装置如下图所示,其中高选择性催化剂 可抑制 产生。下列说法 正确的是 A.b 端电势高于 a 端电势 B. 理论上转移 生成 C. 电解后海水 下降 D. 阳极发生: 8. 冠醚因分子结构形如皇冠而得名,某冠醚分子 c 可识别 ,其合成方法如下。下列说法错误的是 A. 该反应为取代反应 B. a、b 均可与 溶液反应 C. c 核磁共振氢谱有 3 组峰 D. c 可增加 在苯中的溶解度 9. 某种镁盐具有良好 电化学性能,其阴离子结构如下图所示。W、X、Y、Z、Q 是核电荷数依次增大的 短周期元素,W、Y 原子序数之和等于 Z,Y 原子价电子数是 Q 原子价电子数的 2 倍。下列说法错误的 是 A.W 与 X 的化合物为极性分子 B. 第一电离能 C. Q 的氧化物是两性氧化物 D. 该阴离子中含有配位键10. 某工厂采用如下工艺制备 ,已知焙烧后 元素以 价形式存在,下列说法错误的是 A.“焙烧”中产生 B. 滤渣的主要成分为 C. 滤液①中 元素的主要存在形式为 D. 淀粉水解液中的葡萄糖起还原作用 11. 某低成本储能电池原理如下图所示。下列说法正确的是 A. 放电时负极质量减小 B. 储能过程中电能转变为化学能 C. 放电时右侧 通过质子交换膜移向左侧 D. 充电总反应: 12. 一定条件下,酸性 溶液与 发生反应, (Ⅱ)起催化作用,过程中不同价态含 粒 子的浓度随时间变化如下图所示。下列说法正确的是 A. (Ⅲ)不能氧化 B. 随着反应物浓度的减小,反应速率逐渐减小 C. 该条件下, (Ⅱ)和 (Ⅶ)不能大量共存D. 总反应为: 13. 某小组进行实验,向 蒸馏水中加入 ,充分振荡,溶液呈浅棕色,再加入 锌粒,溶液 颜色加深;最终紫黑色晶体消失,溶液褪色。已知 为棕色,下列关于颜色变化的解释错误的是 选项 颜色变化 解释 A 溶液呈浅棕色 在水中溶解度较小 B 溶液颜色加深 发生了反应: ( )的消耗使溶解平衡 C 紫黑色晶体消失 右移 与有色物质发生了置换 D 溶液褪色 反应 A. A B. B C. C D. D 14. 晶体结构的缺陷美与对称美同样受关注。某富锂超离子导体的晶胞是立方体(图 1),进行镁离子取代及 卤素共掺杂后,可获得高性能固体电解质材料(图 2)。下列说法错误的是 A. 图 1 晶体密度为 g∙cm-3 B. 图 1 中 O 原子的配位数为 6 C. 图 2 表示的化学式为 D. 取代产生的空位有利于 传导 15. 某废水处理过程中始终保持 HS 饱和,即 ,通过调节 pH 使 和 形成硫 2 化物而分离,体系中 与 关系如下图所示,c 为 和 的浓度,单位为 。 已知 ,下列说法正确的是A. B. ③为 与 的关系曲线 D. C. 二、非选择题:本题共 4 小题,共 55 分。 16. 某工厂采用如下工艺处理镍钴矿硫酸浸取液含( 和 )。实现镍、 钴、镁元素的回收。 已知: 物质 回答下列问题: (1)用硫酸浸取镍钴矿时,提高浸取速率的方法为 (答出一条即可)。 (2) “氧化”中,混合气在金属离子的催化作用下产生具有强氧化性的过一硫酸 , 中过氧键的数目为 。 (3) “氧化”中,用石灰乳调节 , 被 氧化为 ,该反应的离子方程式为 (的电离第一步完全,第二步微弱);滤渣 的成分为 、 (填化学式)。(4) “氧化”中 保持空气通入速率不变, (Ⅱ)氧化率与时间的关系如下。 体积分数为 时, (Ⅱ)氧化速率最大;继续增大 体积分数时, (Ⅱ)氧化速率减小的原因是 。 (5) “沉钴 镍”中得到 (Ⅱ)在空气中可被氧化成 ,该反应的化学方程式为 。 (6) “沉镁”中为使 沉淀完全 , 需控制 不低于 (精确至 0.1)。 17.2—噻吩乙醇( )是抗血栓药物氯吡格雷的重要中间体,其制备方法如下: Ⅰ.制钠砂。向烧瓶中加入 液体A 和 金属钠,加热至钠熔化后,盖紧塞子,振荡至大量微小 钠珠出现。 Ⅱ.制噻吩钠。降温至 ,加入 噻吩,反应至钠砂消失。 Ⅲ.制噻吩乙醇钠。降温至 ,加入稍过量的环氧乙烷的四氢呋喃溶液,反应 。 Ⅳ.水解。恢复室温,加入 水,搅拌 ;加盐酸调 至 4~6,继续反应 ,分液;用水洗 涤有机相,二次分液。 Ⅴ.分离。向有机相中加入无水 ,静置,过滤,对滤液进行蒸馏,蒸出四氢呋喃、噻吩和液体 A 后,得到产品 。 回答下列问题: (1)步骤Ⅰ中液体 A 可以选择 。 a.乙醇 b.水 c.甲苯 d.液氨(2)噻吩沸点低于吡咯( )的原因是 。 (3)步骤Ⅱ的化学方程式为 。 (4)步骤Ⅲ中反应放热,为防止温度过高引发副反应,加入环氧乙烷溶液的方法是 。 (5)步骤Ⅳ中用盐酸调节 的目的是 。 (6)下列仪器在步骤Ⅴ中无需使用的是 (填名称):无水 的作用为 。 (7)产品的产率为 (用 计算,精确至 0.1%)。 18. 硫酸工业 国民经济中占有重要地位。 (1)我国古籍记载了硫酸的制备方法——“炼石胆(CuSO ·5H O)取精华法”。借助现代仪器分析,该制备过 4 2 程中 CuSO ·5H O 分解的 TG 曲线(热重)及 DSC 曲线(反映体系热量变化情况,数值已省略)如下图所示。 4 2 700 ℃左右有两个吸热峰,则此时分解生成的氧化物有 SO 、 和 (填化学式)。 2 (2)铅室法使用了大容积铅室制备硫酸(76%以下),副产物为亚硝基硫酸,主要反应如下: NO +SO+H O=NO+H SO 2 2 2 2 4 2NO+O =2NO 2 2 (i) 上述过程中 NO 的作用为 。 2 (ii) 为了适应化工生产的需求,铅室法最终被接触法所代替,其主要原因是 (答出两点即可)。 (3)接触法制硫酸的关键反应为 SO 的催化氧化: 2 SO (g)+ O(g) SO (g) ΔH=-98.9kJ·mol-1 2 2 3(i) 为寻求固定投料比下不同反应阶段的最佳生产温度,绘制相应转化率(α)下反应速率(数值已略去)与温度 的关系如下图所示,下列说法正确的是 。 a.温度越高,反应速率越大 b. α=0.88 的曲线代表平衡转化率 c.α越大,反应速率最大值对应温度越低 d.可根据不同 下的最大速率,选择最佳生产温度 (ii) 为提高钒催化剂的综合性能,我国科学家对其进行了改良。不同催化剂下,温度和转化率关系如下图所 示,催化性能最佳的是 (填标号)。 (iii) 设O 的平衡分压为p,SO 的平衡转化率为α,用含p 和α 的代数式表示上述催化氧化反应的K = 2 2 e e p (用平衡分压代替平衡浓度计算)。 19. 加兰他敏是一种天然生物碱,可作为阿尔茨海默症的药物,其中间体的合成路线如下。回答下列问题: (1)A 中与卤代烃成醚活性高的羟基位于酯基的 位(填“间”或“对”)。 (2)C 发生酸性水解,新产生的官能团为羟基和 (填名称)。 (3)用 O 代替 PCC 完成 D→E 的转化,化学方程式为 。 2 (4)F 的同分异构体中,红外光谱显示有酚羟基、无 N-H 键的共有 种。 (5)H→I 的反应类型为 。 (6) 某药物中间 体的合成路线如下(部分反应条件已略去),其中M 和N 的结构简式分别为 和 。