当前位置:首页>文档>01卷第二章函数概念与基本初等函数Ⅰ《过关检测卷》-2022年高考一轮数学单元复习一遍过(新高考专用)(解析版)_新高考复习资料_2022年新高考资料_第02章 函数概念与基本初等函数Ⅰ

01卷第二章函数概念与基本初等函数Ⅰ《过关检测卷》-2022年高考一轮数学单元复习一遍过(新高考专用)(解析版)_新高考复习资料_2022年新高考资料_第02章 函数概念与基本初等函数Ⅰ

  • 2026-04-17 15:07:38 2026-04-17 14:57:27

文档预览

01卷第二章函数概念与基本初等函数Ⅰ《过关检测卷》-2022年高考一轮数学单元复习一遍过(新高考专用)(解析版)_新高考复习资料_2022年新高考资料_第02章 函数概念与基本初等函数Ⅰ
01卷第二章函数概念与基本初等函数Ⅰ《过关检测卷》-2022年高考一轮数学单元复习一遍过(新高考专用)(解析版)_新高考复习资料_2022年新高考资料_第02章 函数概念与基本初等函数Ⅰ
01卷第二章函数概念与基本初等函数Ⅰ《过关检测卷》-2022年高考一轮数学单元复习一遍过(新高考专用)(解析版)_新高考复习资料_2022年新高考资料_第02章 函数概念与基本初等函数Ⅰ
01卷第二章函数概念与基本初等函数Ⅰ《过关检测卷》-2022年高考一轮数学单元复习一遍过(新高考专用)(解析版)_新高考复习资料_2022年新高考资料_第02章 函数概念与基本初等函数Ⅰ
01卷第二章函数概念与基本初等函数Ⅰ《过关检测卷》-2022年高考一轮数学单元复习一遍过(新高考专用)(解析版)_新高考复习资料_2022年新高考资料_第02章 函数概念与基本初等函数Ⅰ
01卷第二章函数概念与基本初等函数Ⅰ《过关检测卷》-2022年高考一轮数学单元复习一遍过(新高考专用)(解析版)_新高考复习资料_2022年新高考资料_第02章 函数概念与基本初等函数Ⅰ
01卷第二章函数概念与基本初等函数Ⅰ《过关检测卷》-2022年高考一轮数学单元复习一遍过(新高考专用)(解析版)_新高考复习资料_2022年新高考资料_第02章 函数概念与基本初等函数Ⅰ
01卷第二章函数概念与基本初等函数Ⅰ《过关检测卷》-2022年高考一轮数学单元复习一遍过(新高考专用)(解析版)_新高考复习资料_2022年新高考资料_第02章 函数概念与基本初等函数Ⅰ
01卷第二章函数概念与基本初等函数Ⅰ《过关检测卷》-2022年高考一轮数学单元复习一遍过(新高考专用)(解析版)_新高考复习资料_2022年新高考资料_第02章 函数概念与基本初等函数Ⅰ
01卷第二章函数概念与基本初等函数Ⅰ《过关检测卷》-2022年高考一轮数学单元复习一遍过(新高考专用)(解析版)_新高考复习资料_2022年新高考资料_第02章 函数概念与基本初等函数Ⅰ
01卷第二章函数概念与基本初等函数Ⅰ《过关检测卷》-2022年高考一轮数学单元复习一遍过(新高考专用)(解析版)_新高考复习资料_2022年新高考资料_第02章 函数概念与基本初等函数Ⅰ
01卷第二章函数概念与基本初等函数Ⅰ《过关检测卷》-2022年高考一轮数学单元复习一遍过(新高考专用)(解析版)_新高考复习资料_2022年新高考资料_第02章 函数概念与基本初等函数Ⅰ
01卷第二章函数概念与基本初等函数Ⅰ《过关检测卷》-2022年高考一轮数学单元复习一遍过(新高考专用)(解析版)_新高考复习资料_2022年新高考资料_第02章 函数概念与基本初等函数Ⅰ
01卷第二章函数概念与基本初等函数Ⅰ《过关检测卷》-2022年高考一轮数学单元复习一遍过(新高考专用)(解析版)_新高考复习资料_2022年新高考资料_第02章 函数概念与基本初等函数Ⅰ
01卷第二章函数概念与基本初等函数Ⅰ《过关检测卷》-2022年高考一轮数学单元复习一遍过(新高考专用)(解析版)_新高考复习资料_2022年新高考资料_第02章 函数概念与基本初等函数Ⅰ
01卷第二章函数概念与基本初等函数Ⅰ《过关检测卷》-2022年高考一轮数学单元复习一遍过(新高考专用)(解析版)_新高考复习资料_2022年新高考资料_第02章 函数概念与基本初等函数Ⅰ
01卷第二章函数概念与基本初等函数Ⅰ《过关检测卷》-2022年高考一轮数学单元复习一遍过(新高考专用)(解析版)_新高考复习资料_2022年新高考资料_第02章 函数概念与基本初等函数Ⅰ
01卷第二章函数概念与基本初等函数Ⅰ《过关检测卷》-2022年高考一轮数学单元复习一遍过(新高考专用)(解析版)_新高考复习资料_2022年新高考资料_第02章 函数概念与基本初等函数Ⅰ
01卷第二章函数概念与基本初等函数Ⅰ《过关检测卷》-2022年高考一轮数学单元复习一遍过(新高考专用)(解析版)_新高考复习资料_2022年新高考资料_第02章 函数概念与基本初等函数Ⅰ
01卷第二章函数概念与基本初等函数Ⅰ《过关检测卷》-2022年高考一轮数学单元复习一遍过(新高考专用)(解析版)_新高考复习资料_2022年新高考资料_第02章 函数概念与基本初等函数Ⅰ
01卷第二章函数概念与基本初等函数Ⅰ《过关检测卷》-2022年高考一轮数学单元复习一遍过(新高考专用)(解析版)_新高考复习资料_2022年新高考资料_第02章 函数概念与基本初等函数Ⅰ
01卷第二章函数概念与基本初等函数Ⅰ《过关检测卷》-2022年高考一轮数学单元复习一遍过(新高考专用)(解析版)_新高考复习资料_2022年新高考资料_第02章 函数概念与基本初等函数Ⅰ
01卷第二章函数概念与基本初等函数Ⅰ《过关检测卷》-2022年高考一轮数学单元复习一遍过(新高考专用)(解析版)_新高考复习资料_2022年新高考资料_第02章 函数概念与基本初等函数Ⅰ
01卷第二章函数概念与基本初等函数Ⅰ《过关检测卷》-2022年高考一轮数学单元复习一遍过(新高考专用)(解析版)_新高考复习资料_2022年新高考资料_第02章 函数概念与基本初等函数Ⅰ
01卷第二章函数概念与基本初等函数Ⅰ《过关检测卷》-2022年高考一轮数学单元复习一遍过(新高考专用)(解析版)_新高考复习资料_2022年新高考资料_第02章 函数概念与基本初等函数Ⅰ
01卷第二章函数概念与基本初等函数Ⅰ《过关检测卷》-2022年高考一轮数学单元复习一遍过(新高考专用)(解析版)_新高考复习资料_2022年新高考资料_第02章 函数概念与基本初等函数Ⅰ
01卷第二章函数概念与基本初等函数Ⅰ《过关检测卷》-2022年高考一轮数学单元复习一遍过(新高考专用)(解析版)_新高考复习资料_2022年新高考资料_第02章 函数概念与基本初等函数Ⅰ
01卷第二章函数概念与基本初等函数Ⅰ《过关检测卷》-2022年高考一轮数学单元复习一遍过(新高考专用)(解析版)_新高考复习资料_2022年新高考资料_第02章 函数概念与基本初等函数Ⅰ
01卷第二章函数概念与基本初等函数Ⅰ《过关检测卷》-2022年高考一轮数学单元复习一遍过(新高考专用)(解析版)_新高考复习资料_2022年新高考资料_第02章 函数概念与基本初等函数Ⅰ
01卷第二章函数概念与基本初等函数Ⅰ《过关检测卷》-2022年高考一轮数学单元复习一遍过(新高考专用)(解析版)_新高考复习资料_2022年新高考资料_第02章 函数概念与基本初等函数Ⅰ
01卷第二章函数概念与基本初等函数Ⅰ《过关检测卷》-2022年高考一轮数学单元复习一遍过(新高考专用)(解析版)_新高考复习资料_2022年新高考资料_第02章 函数概念与基本初等函数Ⅰ
01卷第二章函数概念与基本初等函数Ⅰ《过关检测卷》-2022年高考一轮数学单元复习一遍过(新高考专用)(解析版)_新高考复习资料_2022年新高考资料_第02章 函数概念与基本初等函数Ⅰ
01卷第二章函数概念与基本初等函数Ⅰ《过关检测卷》-2022年高考一轮数学单元复习一遍过(新高考专用)(解析版)_新高考复习资料_2022年新高考资料_第02章 函数概念与基本初等函数Ⅰ
01卷第二章函数概念与基本初等函数Ⅰ《过关检测卷》-2022年高考一轮数学单元复习一遍过(新高考专用)(解析版)_新高考复习资料_2022年新高考资料_第02章 函数概念与基本初等函数Ⅰ
01卷第二章函数概念与基本初等函数Ⅰ《过关检测卷》-2022年高考一轮数学单元复习一遍过(新高考专用)(解析版)_新高考复习资料_2022年新高考资料_第02章 函数概念与基本初等函数Ⅰ
01卷第二章函数概念与基本初等函数Ⅰ《过关检测卷》-2022年高考一轮数学单元复习一遍过(新高考专用)(解析版)_新高考复习资料_2022年新高考资料_第02章 函数概念与基本初等函数Ⅰ
01卷第二章函数概念与基本初等函数Ⅰ《过关检测卷》-2022年高考一轮数学单元复习一遍过(新高考专用)(解析版)_新高考复习资料_2022年新高考资料_第02章 函数概念与基本初等函数Ⅰ
01卷第二章函数概念与基本初等函数Ⅰ《过关检测卷》-2022年高考一轮数学单元复习一遍过(新高考专用)(解析版)_新高考复习资料_2022年新高考资料_第02章 函数概念与基本初等函数Ⅰ
01卷第二章函数概念与基本初等函数Ⅰ《过关检测卷》-2022年高考一轮数学单元复习一遍过(新高考专用)(解析版)_新高考复习资料_2022年新高考资料_第02章 函数概念与基本初等函数Ⅰ
01卷第二章函数概念与基本初等函数Ⅰ《过关检测卷》-2022年高考一轮数学单元复习一遍过(新高考专用)(解析版)_新高考复习资料_2022年新高考资料_第02章 函数概念与基本初等函数Ⅰ
01卷第二章函数概念与基本初等函数Ⅰ《过关检测卷》-2022年高考一轮数学单元复习一遍过(新高考专用)(解析版)_新高考复习资料_2022年新高考资料_第02章 函数概念与基本初等函数Ⅰ
01卷第二章函数概念与基本初等函数Ⅰ《过关检测卷》-2022年高考一轮数学单元复习一遍过(新高考专用)(解析版)_新高考复习资料_2022年新高考资料_第02章 函数概念与基本初等函数Ⅰ
01卷第二章函数概念与基本初等函数Ⅰ《过关检测卷》-2022年高考一轮数学单元复习一遍过(新高考专用)(解析版)_新高考复习资料_2022年新高考资料_第02章 函数概念与基本初等函数Ⅰ
01卷第二章函数概念与基本初等函数Ⅰ《过关检测卷》-2022年高考一轮数学单元复习一遍过(新高考专用)(解析版)_新高考复习资料_2022年新高考资料_第02章 函数概念与基本初等函数Ⅰ
01卷第二章函数概念与基本初等函数Ⅰ《过关检测卷》-2022年高考一轮数学单元复习一遍过(新高考专用)(解析版)_新高考复习资料_2022年新高考资料_第02章 函数概念与基本初等函数Ⅰ
01卷第二章函数概念与基本初等函数Ⅰ《过关检测卷》-2022年高考一轮数学单元复习一遍过(新高考专用)(解析版)_新高考复习资料_2022年新高考资料_第02章 函数概念与基本初等函数Ⅰ
01卷第二章函数概念与基本初等函数Ⅰ《过关检测卷》-2022年高考一轮数学单元复习一遍过(新高考专用)(解析版)_新高考复习资料_2022年新高考资料_第02章 函数概念与基本初等函数Ⅰ
01卷第二章函数概念与基本初等函数Ⅰ《过关检测卷》-2022年高考一轮数学单元复习一遍过(新高考专用)(解析版)_新高考复习资料_2022年新高考资料_第02章 函数概念与基本初等函数Ⅰ
01卷第二章函数概念与基本初等函数Ⅰ《过关检测卷》-2022年高考一轮数学单元复习一遍过(新高考专用)(解析版)_新高考复习资料_2022年新高考资料_第02章 函数概念与基本初等函数Ⅰ
01卷第二章函数概念与基本初等函数Ⅰ《过关检测卷》-2022年高考一轮数学单元复习一遍过(新高考专用)(解析版)_新高考复习资料_2022年新高考资料_第02章 函数概念与基本初等函数Ⅰ
01卷第二章函数概念与基本初等函数Ⅰ《过关检测卷》-2022年高考一轮数学单元复习一遍过(新高考专用)(解析版)_新高考复习资料_2022年新高考资料_第02章 函数概念与基本初等函数Ⅰ
01卷第二章函数概念与基本初等函数Ⅰ《过关检测卷》-2022年高考一轮数学单元复习一遍过(新高考专用)(解析版)_新高考复习资料_2022年新高考资料_第02章 函数概念与基本初等函数Ⅰ
01卷第二章函数概念与基本初等函数Ⅰ《过关检测卷》-2022年高考一轮数学单元复习一遍过(新高考专用)(解析版)_新高考复习资料_2022年新高考资料_第02章 函数概念与基本初等函数Ⅰ
01卷第二章函数概念与基本初等函数Ⅰ《过关检测卷》-2022年高考一轮数学单元复习一遍过(新高考专用)(解析版)_新高考复习资料_2022年新高考资料_第02章 函数概念与基本初等函数Ⅰ
01卷第二章函数概念与基本初等函数Ⅰ《过关检测卷》-2022年高考一轮数学单元复习一遍过(新高考专用)(解析版)_新高考复习资料_2022年新高考资料_第02章 函数概念与基本初等函数Ⅰ
01卷第二章函数概念与基本初等函数Ⅰ《过关检测卷》-2022年高考一轮数学单元复习一遍过(新高考专用)(解析版)_新高考复习资料_2022年新高考资料_第02章 函数概念与基本初等函数Ⅰ
01卷第二章函数概念与基本初等函数Ⅰ《过关检测卷》-2022年高考一轮数学单元复习一遍过(新高考专用)(解析版)_新高考复习资料_2022年新高考资料_第02章 函数概念与基本初等函数Ⅰ
01卷第二章函数概念与基本初等函数Ⅰ《过关检测卷》-2022年高考一轮数学单元复习一遍过(新高考专用)(解析版)_新高考复习资料_2022年新高考资料_第02章 函数概念与基本初等函数Ⅰ
01卷第二章函数概念与基本初等函数Ⅰ《过关检测卷》-2022年高考一轮数学单元复习一遍过(新高考专用)(解析版)_新高考复习资料_2022年新高考资料_第02章 函数概念与基本初等函数Ⅰ
01卷第二章函数概念与基本初等函数Ⅰ《过关检测卷》-2022年高考一轮数学单元复习一遍过(新高考专用)(解析版)_新高考复习资料_2022年新高考资料_第02章 函数概念与基本初等函数Ⅰ
01卷第二章函数概念与基本初等函数Ⅰ《过关检测卷》-2022年高考一轮数学单元复习一遍过(新高考专用)(解析版)_新高考复习资料_2022年新高考资料_第02章 函数概念与基本初等函数Ⅰ
01卷第二章函数概念与基本初等函数Ⅰ《过关检测卷》-2022年高考一轮数学单元复习一遍过(新高考专用)(解析版)_新高考复习资料_2022年新高考资料_第02章 函数概念与基本初等函数Ⅰ
01卷第二章函数概念与基本初等函数Ⅰ《过关检测卷》-2022年高考一轮数学单元复习一遍过(新高考专用)(解析版)_新高考复习资料_2022年新高考资料_第02章 函数概念与基本初等函数Ⅰ
01卷第二章函数概念与基本初等函数Ⅰ《过关检测卷》-2022年高考一轮数学单元复习一遍过(新高考专用)(解析版)_新高考复习资料_2022年新高考资料_第02章 函数概念与基本初等函数Ⅰ
01卷第二章函数概念与基本初等函数Ⅰ《过关检测卷》-2022年高考一轮数学单元复习一遍过(新高考专用)(解析版)_新高考复习资料_2022年新高考资料_第02章 函数概念与基本初等函数Ⅰ
01卷第二章函数概念与基本初等函数Ⅰ《过关检测卷》-2022年高考一轮数学单元复习一遍过(新高考专用)(解析版)_新高考复习资料_2022年新高考资料_第02章 函数概念与基本初等函数Ⅰ
01卷第二章函数概念与基本初等函数Ⅰ《过关检测卷》-2022年高考一轮数学单元复习一遍过(新高考专用)(解析版)_新高考复习资料_2022年新高考资料_第02章 函数概念与基本初等函数Ⅰ
01卷第二章函数概念与基本初等函数Ⅰ《过关检测卷》-2022年高考一轮数学单元复习一遍过(新高考专用)(解析版)_新高考复习资料_2022年新高考资料_第02章 函数概念与基本初等函数Ⅰ
01卷第二章函数概念与基本初等函数Ⅰ《过关检测卷》-2022年高考一轮数学单元复习一遍过(新高考专用)(解析版)_新高考复习资料_2022年新高考资料_第02章 函数概念与基本初等函数Ⅰ
01卷第二章函数概念与基本初等函数Ⅰ《过关检测卷》-2022年高考一轮数学单元复习一遍过(新高考专用)(解析版)_新高考复习资料_2022年新高考资料_第02章 函数概念与基本初等函数Ⅰ
01卷第二章函数概念与基本初等函数Ⅰ《过关检测卷》-2022年高考一轮数学单元复习一遍过(新高考专用)(解析版)_新高考复习资料_2022年新高考资料_第02章 函数概念与基本初等函数Ⅰ
01卷第二章函数概念与基本初等函数Ⅰ《过关检测卷》-2022年高考一轮数学单元复习一遍过(新高考专用)(解析版)_新高考复习资料_2022年新高考资料_第02章 函数概念与基本初等函数Ⅰ
01卷第二章函数概念与基本初等函数Ⅰ《过关检测卷》-2022年高考一轮数学单元复习一遍过(新高考专用)(解析版)_新高考复习资料_2022年新高考资料_第02章 函数概念与基本初等函数Ⅰ
01卷第二章函数概念与基本初等函数Ⅰ《过关检测卷》-2022年高考一轮数学单元复习一遍过(新高考专用)(解析版)_新高考复习资料_2022年新高考资料_第02章 函数概念与基本初等函数Ⅰ
01卷第二章函数概念与基本初等函数Ⅰ《过关检测卷》-2022年高考一轮数学单元复习一遍过(新高考专用)(解析版)_新高考复习资料_2022年新高考资料_第02章 函数概念与基本初等函数Ⅰ
01卷第二章函数概念与基本初等函数Ⅰ《过关检测卷》-2022年高考一轮数学单元复习一遍过(新高考专用)(解析版)_新高考复习资料_2022年新高考资料_第02章 函数概念与基本初等函数Ⅰ

文档信息

文档格式
doc
文档大小
5.032 MB
文档页数
72 页
上传时间
2026-04-17 14:57:27

文档内容

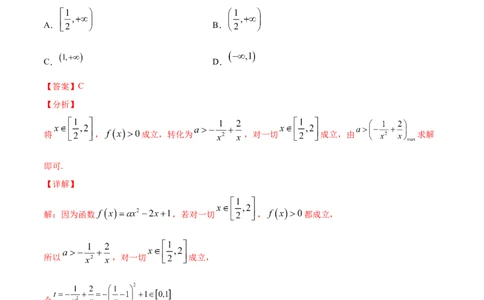
01卷 第二章 函数概念与基本初等函数Ⅰ《过关检测卷》 -2022年高考一轮数学单元复习 第I卷(选择题) 一、单选题 1.已知函数 ,若对一切 , 都成立,则实数a的取值范围为( ) A. B. C. D. 【答案】C 【分析】 将 , 成立,转化为 ,对一切 成立,由 求解 即可. 【详解】 解:因为函数 ,若对一切 , 都成立, 所以 ,对一切 成立, 令 , 所以 , 故选:C 【点睛】 方法点睛:恒(能)成立问题的解法: 若 在区间D上有最值,则(1)恒成立: ; ; (2)能成立: ; . 若能分离常数,即将问题转化为: (或 ),则 (1)恒成立: ; ; (2)能成立: ; . 2.对于定义在 上的函数 ,若存在正常数 、 ,使得 对一切 均成立, 则称 是“控制增长函数”.在以下四个函数中:① ;② ;③ ; ④ .是“控制增长函数”的有( )个 A.1 B.2 C.3 D.4 【答案】C 【分析】 对于①,即 对一切 恒成立,不存在满足条件的正常数 、 ,所以,函数 不 是“控制增长函数”; 对于②, 对一切 恒成立,当 时,不等式恒成立,所以,函数 为“控制增长函数”; 对于③,当 且 为任意正实数时, 恒成立,所以,函数 是“控 制增长函数”; 对于④, 恒成立,即 ,所以,函数 是“控制增长函 数”. 【详解】对于①, 可化为 , 即 对一切 恒成立, 由函数 的定义域为 可知,不存在满足条件的正常数 、 , 所以,函数 不是“控制增长函数”; 对于②,若函数 为“控制增长函数”, 则 可化为 , ∴ 对一切 恒成立, 又 ,若 成立,则 ,显然,当 时,不等式恒成 立,所以,函数 为“控制增长函数”; 对于③,∵ ,∴ , 当 且 为任意正实数时, 恒成立, 所以,函数 是“控制增长函数”; 对于④,若函数 是“控制增长函数”,则 恒成立, ∵ ,若 ,即 , 所以,函数 是“控制增长函数”. 因此,是“控制增长函数”的序号是②③④. 故选:C 【点睛】 方法点睛:类似这种存在性问题的判断,常用的方法有:(1)特例说明存在性;(2)证明它不存在;(3)证明它存在.要根据已知条件灵活选择方法解答. 3.函数 在 单调递减,且为奇函数.若 ,则满足 的 的取值范围 是( ). A. B. C. D. 【答案】D 【分析】 由已知中函数的单调性及奇偶性,可将不等式 化为 ,解得答案. 【详解】 解:由函数 为奇函数,得 , 不等式 即为 , 又 在 单调递减,所以得 ,即 , 故选:D. 4.已知定义在 上的偶函数 ,且当 时, 单调递减,则关于x的不等式 的解集是( ) A. B. C. D. 【答案】D 【分析】 根据具有奇偶性的定义域关于原点对称,求得 的值,把不等式 转化为 ,根据单调性和定义域,得出相应的不等式组,即可求解. 【详解】 由题意,定义在 上的偶函数 ,可得 ,解得 ,即函数 的定义域为 , 又由函数当 时, 单调递减, 则不等式 可化为 , 可得不等式组 ,解得 ,即不等式的解集为 . 故选:D. 【点睛】 求解函数不等式的方法: 1、解函数不等式的依据是函数的单调性的定义, 具体步骤:①将函数不等式转化为 的形式;②根据函数 的单调性去掉对应法则“ ”转化为形如:“ ”或“ ”的常规不等式,从而得解. 2、利用函数的图象研究不等式,当不等式问题不能用代数法求解但其与函数有关时,常将不等式问题转 化为两函数的图象上、下关系问题,从而利用数形结合求解. 5.已知函数 ,函数 ,对于任意 ,总存在 ,使得 成立,则实数a的取值范围是( ) A. B. C. D. 【答案】C 【分析】 先求得 的值域,根据题意可得 的值域为[1,2]是 在 上值域的子集,分 两种情况讨论,根据 的单调性及集合的包含关系,即可求得答案. 【详解】 因为 , 所以 ,即 的值域为[1,2], 因为对于任意 ,总存在 ,使得 成立, 所以 的值域为[1,2]是 在 上值域的子集, 当 时, 在 上为增函数,所以 ,所以 , 所以 ,解得 , 当 时, 在 上为减函数,所以 ,所以 所以 ,解得 , 综上实数a的取值范围是 , 故选:C 【点睛】 解题的关键是将题干条件转化为两函数值域的包含关系问题,再求解,考查分析理解的能力,属中档题. 6.已知函数 的定义域为 ,则 的定义域是( ) A. B. C. D. 【答案】C 【分析】 由 计算出 的取值范围,由此可计算出函数 的定义域. 【详解】对于函数 , ,可得 , 因此,函数 的定义域是 . 故选:C. 7.已知 ,则 的值为( ) A.15 B.7 C.31 D.17 【答案】C 【分析】 利用换元法求得 ,代入即可得解. 【详解】 令 ,则 ,所以 即 , 所以 . 故选:C. 8.《中华人民共和国个人所得税法》规定,公民全月工资、薪金所得不超过5000元的部分不必纳税,超过 5000元的部分为全月应纳税所得额,此项税款按下表分段累计计算: 全月应纳税所得额 税率 不超过3000元的部分 3% 超过3000元至12000元的部分 10% 超过12000元至25000元的部分 20% 有一职工八月份收入12000元,该职工八月份应缴纳个税为( )元 A.1200 B.1040 C.490 D.400 【答案】C 【分析】 根据表格中的数据,分别计算12000中的每部分的纳税额,再求八月份应缴纳的个税. 【详解】元,其中有3000元应纳税3%, 元应纳税10%,所以一共纳税 元. 故选:C 【点睛】 本题考查分段函数的应用,重点考查读懂题意,属于基础题型. 9.函数 的图象是圆心在原点的单位圆的两段弧(如图),则不等式 的解集 为( ) A. 或 B. 或 C. 或 D. 【答案】A 【分析】 根据函数 的图象得到函数是奇函数,然后将不等式 转化为 ,利用 数形结合法求解.【详解】 由函数 的图象知:函数是奇函数, 所以不等式 等价于 , 如图所示: 函数 与 的图象的交点是 , 所以 的解集为: 或 , 故选:A 【点睛】 本题主要考查不等式的解法以及函数奇偶性的应用,还考查了数形结合的思想方法,属于基础题. 10.已知函数 在 上满足:对任意 ,都有 ,则实数 的 取值范围是( ) A. B. C. D. 【答案】C 【分析】 根据题意,得到 在 上单调递减,进而可求出结果. 【详解】由题意,得到 在 上单调递减, 因此只需 ,解得 . 故选:C. 【点睛】 本题主要考查由分段函数单调性求参数,属于基础题型. 11.设 为定义在 上的奇函数,且满足 , ,则 ( ) A. B. C.0 D.1 【答案】B 【分析】 先利用奇偶性和周期性求出 和 ,即得结果. 【详解】 解: 是定义在 上的奇函数, ,满足 , ,又 , . 故选:B. 【点睛】 本题考查了利用奇偶性和周期性求函数值,属于基础题. 12.若函数 的定义域为 ,则实数 的取值范围是( ) A. B. C. D. 【答案】D 【分析】 根据函数的定义域为R,得到不等式 恒成立,分 和 两种情况讨论,结合二次 函数图象的特征得到不等关系求得结果. 【详解】由题意可知:当 时,不等式 恒成立. 当 时, 显然成立,故 符合题意; 当 时,要想当 时,不等式 恒成立, 只需满足 且 成立即可,解得: , 综上所述:实数a的取值范围是 . 故选:D 【点睛】 该题考查的是有关函数的问题,涉及到的知识点有根据函数的定义域为R,求参数的取值范围,在解题的 过程中,一定不要忘记 的情况,属于简单题目. 13.已知函数 ,其中 表示不超过x的最大整数.设 ,定义函 数 ,则下列说法正确的有( )个. ① 的定义域为 ; ②设 , ,则 ; ③ ; ④ ,则M中至少含有8个元素. A.1个 B.2个 C.3个 D.4个 【答案】D 【分析】 先对 分两段 和 化简 ,再对各项分析判断正误:对①,由 ,分段解不等式,求得函数的定义域,判断正误; 对②,由题中的对应法则,求出集合 ,判断正误; 对③,计算 得到其周期性,计算得到 ,判断正误; 对④,综合①②③的分析,判断正误. 【详解】 当 时, ;当 时, , 则 对①,有 ,则 或 ,得 , 即定义域为 ,故①正确; 对②,当 时, 成立; 当 时, 成立; 当 时, 成立, 所以 故②项正确。 对③, , , ,一般地 即有 故③正确。 对④,由①可知, 所以 则 所以 , 由②知, 对 恒有 所以 则 , 由③知 ,对 恒有 所以 综上所述, ,所以 中至少含有8个元素,故④正确。 故选:D. 【点睛】 本题考查了函数的概念及性质的应用,考查了新定义函数的理解与应用,考查了学生分析理解能力,逻辑 推理能力,难度较大. 14.已知函数f(x)的定义域为(0,+∞),且 ,则f(x)=( ) A. B. C. D. 【答案】B 【分析】 在原等式中把 与 互换后用解方程组的方法求得 . 【详解】∵ ,① , ∴ ,② ①②联立方程组可解得 ( ). 故选:B. 【点睛】 本题考查求函数解析式,解题方法是方程组法. 15.已知函数 是幂函数,对任意的 且 ,满足 ,若 ,则 的值( ) A.恒大于0 B.恒小于0 C.等于0 D.无法判断 【答案】B 【分析】 根据函数为幂函数以及函数在 的单调性,可得 ,然后可得函数的奇偶性,结合函数的单调性以 及奇偶性,可得结果. 【详解】 由题可知:函数 是幂函数 则 或 又对任意的 且 ,满足 所以函数 为 的增函数,故 所以 ,又 ,所以 为 单调递增的奇函数 由 ,则 ,所以 则 故选:B 【点睛】 本题考查幂函数的概念以及函数性质的应用,熟悉函数单调递增的几种表示,比如 ,属中档题. 二、多选题 16.若函数 满足:对任意一个三角形,只要它的三边长 都在函数 的定义域内,就有函数 值 , , 也是某个三角形的三边长,则称函数 为“保三角形函数”,下面四 个函数中保三角形函数有( ) A. B. C. D. 【答案】BC 【分析】 欲判断函数 是不是“保三角形函数”,只需要任给三角形,设它的三边长分别为 ,则 , 不妨设 , ,判断 , , 是否满足任意两数之和大于第三个数,即任意两边之和 大于第三边即可. 【详解】 解:任给三角形,设它的三边长分别为 ,则 ,不妨假设 , ,对于 , 可作为一个三角形的三边长,但 , 所以不存在三角形以 为三边长,故A不是“保三角形函数”; 对于 , 由于 所以B是“保三角形函数”; 对于 , , ,所以C 是“保三角形函数”; 对于 ,若 , 由 , 所以D不是“保三角形函数”. 故选:BC. 17.设y=f(x)是定义在R上的偶函数,满足f(x+1)=﹣f(x),且在[﹣1,0]上是增函数,给出下列关于函数 y=f(x)的判断正确的是( ) A.y=f(x)是周期为2的函数 B.y=f(x)的图象关于直线x=1对称 C.y=f(x)在[0,1]上是增函数 D. 【答案】ABD 【分析】 利用周期性判断A选项的正确性,利用对称性判断B选项的正确性,利用偶函数的性质判断C选项的正确 性,通过计算判断D选项的正确性. 【详解】 因为y=f(x)是定义在R上的偶函数,满足 ,所以函数 的周期T=2,所以A正确, 因为f(﹣x)=f(x),所以f(﹣x)=f(x+2),所以对称轴x 1,即关于x=1对称,所以B正确; 由函数f(x)为偶函数关于y轴对称,又在[﹣1,0]上是增函数,所以在[0,1]上单调递减,故C不正确; 因为f(x+1)=﹣f(x),令x 可得f( )=﹣f( )可得f( )=﹣f( ),所以f( )=0,所以D正确. 故选:ABD 18.已知 是定义在 上的奇函数,且满足 .若 ,记 , ,则下列结论正确的是( ) A. B. C. D. 【答案】ABCD 【分析】 根据函数奇偶性,以及 ,判断函数以 为周期,求出 , , ,利用周 期性,逐项求解,即可得出结果. 【详解】 因为 是定义在 上的奇函数,且满足 , , 所以 , ,则 , , 所以 , , 则 是以 为周期的函数;则 , 所以 ,故A正确; ,故B正确; ,故C正确;,故D正确. 故选:ABCD. 【点睛】 思路点睛: 利用函数的基本性质求解函数值(或函数值之和时),一般需要根据题中所给条件,判断函数的奇偶性、 对称性、周期性等,再由所得性质,即可求解. 19.函数 是定义在R上的奇函数,下列说法正确的是( ) A. B.若 在 上有最小值 ,则 在 上有最大值1 C.若 在 上单调递增,则 在 上单调递减 D.若 时, ,则 时, 【答案】ABD 【分析】 根据奇函数定义判断A正确;根据奇函数对称性判断B正确;根据奇函数单调性判断C不正确;根据奇函 数定义求解析式,即得D正确, 【详解】 因为函数是定义在R上的奇函数,所以 ,所以A正确; 奇函数关于原点对称,所以由 在 上有最小值 ,得 在 上有最大值1,所以B正 确; 奇函数在对称区间的单调性相同,所以由 在 上为增函数得 在 上为增函数;所以 C不正确; 当 时, ,根据奇函数的性质 ,所以D正确. 故选:ABD. 【点睛】本题考查奇函数定义、对称性、单调性以及解析式,考查基本分析判断与求解能力,属中档题. 20.已知函数 对任意 都有 ,若 的图象关于直线 对称,且对任意的 , ,且 ,都有 ,则下列结论正确的是( ). A. 是偶函数 B. 的周期 C. D. 在 单调递减 【答案】ABC 【分析】 由 的图象关于直线 对称,则 ,即 ,故 是 偶函数,可判断A的正误;由 ,令 ,可得 ,则 ,得到 的周期,可判断B的正误;又 在 递增,结合奇偶性,周期性,再 判断CD是否正确. 【详解】 由 的图象关于直线 对称,则 , 即 ,故 是偶函数,A正确; 由 ,令 ,可得 ,则 , 则 的周期 ,B正确; ,故C正确; 又 在 递增,则 递减,由周期 ,则 在 单调递增, 故D错误. 故答案为:ABC【点睛】 本题考查了抽象函数的性质,综合考查了函数的对称性,奇偶性,周期性,单调性,属于中档题. 21.给出定义:若 (其中 为整数), 叫做实数 最近的整数,记作 ,即 .给出下列关于函数 的四个命题,其中真命题为( ) A.函数 的定义域是 ,值域是 B.函数 的图像关于直线 对称 C.函数 是周期函数,最小正周期是1 D.函数 在 上单调递增 【答案】BC 【分析】 根据函数新定义,作出函数图象,然后判断各选项. 【详解】 由新定义 时, 不存在,定义域不可能是 ,A错; 由题意 时, , 时, , , 时, , , 时, , ,时, , , 由此作出函数 的图象,如图, 由图可知,函数图象的对称轴是 ,B正确; 是周期函数,周期是1,C正确, 由图象知函数图象关于 对称,在 上不是单调函数,D错. 故选:BC. 【点睛】 本题考查新定义函数,解题关键是理解新定义,把定义函数转化为分段函数,作出函数图象后可得其性质. 22.定义在R上的奇函数f(x)为增函数,偶函数g(x)在区间[0,+∞)上的图象与f(x)的图象重合,设 a>b>0,则下列不等式正确的是( ) A.f(b)-f(-a)>g(a)-g(-b) B.f(b)-f(-a)g(b)-g(-a) D.f(a)-f(-b)b>0, ∴f(a)>f(b)>f(0)=0,g(a)>g(b)>0, 且f(a)=g(a),f(b)=g(b), f(b)-f(-a)=f(b)+f(a)=g(b)+g(a)>g(a)-g(b)=g(a)-g(-b), ∴A正确,B不正确. 又g(b)-g(-a)=g(b)-g(a)<0, 而f(a)-f(-b)=f(a)+f(b)>0, ∴C正确,D不正确. 故选: . 【点睛】 本题考查函数单调性和奇偶性的应用,属综合基础题.. 23.有下列几个命题,其中正确的是( ) A.函数y=2x2+x+1在(0,+∞)上是增函数 B.函数y= 在(-∞,-1)∪(-1,+∞)上是减函数 C.函数y= 的单调区间是[-2,+∞) D.已知函数g(x)= 是奇函数,则f(x)=2x+3 【答案】AD 【分析】 根据简单函数的单调性,复合函数的单调性,以及由函数奇偶性求函数解析式,即可容易判断和选择. 【详解】 由y=2x2+x+1=2 在 上递增知, 函数y=2x2+x+1在(0,+∞)上是增函数,故A正确; y= 在(-∞,-1),(-1,+∞)上均是减函数, 但在(-∞,-1)∪(-1,+∞)上不是减函数,如-2<0,但 故B错误; y= 在 上无意义, 从而在[-2,+∞)上不是单调函数,故C错误; 设x<0,则-x>0,g(-x)=-2x-3, 因为g(x)为奇函数,所以f(x)=g(x)=-g(-x)=2x+3,故D正确. 故选: . 【点睛】 本题考查函数单调区间的求解,复合函数的单调性判断以及利用函数奇偶性求函数解析式,属中档题. 24.若 为 上的奇函数,则下列说法正确的是( ) A. B. C. D. 【答案】AB 【分析】 根据奇函数的性质依次判断选项即可得到答案. 【详解】 因为 为 上的奇函数,所以 . 对选项A, ,故A正确. 对选项B, ,故B正确. 对选项C,当 时, ,故C不正确.对选项D,当 时, 分母为0,无意义,故D不正确. 故选:AB 【点睛】 本题主要考查奇函数的性质,属于简单题. 25.下列说法正确的是( ) A.函数 的值域是 ,则函数 的值域为 B.既是奇函数又是偶函数的函数有无数个 C.若 ,则 D.函数 的定义域是 ,则函数 的定义域为 【答案】BCD 【分析】 根据函数的性质,以及集合的性质,逐项判断,即可得出结果; 【详解】 由 与 的值域相同知,A错误; 设 ,且 , 是关于原点对称的区间,则 既是奇函数又是偶函数,由于 有无数个, 故 有无数个,即B正确; 由 得, ,从而 ,即C正确; 由 得 ,即函数 的定义域为 ,故D正确. 故选:BCD. 【点睛】 本题主要考查函数概念及性质的应用,以及集合交集与并集的性质,属于基础题型. 26.下列命题正确的有( ) A.函数 在其定义域上是增函数;B.函数 是奇函数; C.函数 的图象可由 的图象向右平移2个单位得到; D.若 ,则 【答案】CD 【分析】 根据反比例函数的单调性,可判定A;根据函数的奇偶性的定义,可判定B;根据函数的图象的平移变换, 可判定C;根据指数函数的图象与性质,可判定D. 【详解】 对于A中,根据反比例函数的性质,可得函数 的单调递增区间为 ,所以函数 在其定义域上是增函数是不正确的; 对于B中,由函数 的定义域为 不关于原点对称,所以函数为非奇非偶函数, 所以不正确; 对于C中,函数 向右平移2个单位,可得 ,所以是正确 的; 对于D中,根据指数函数的图象与性质,若 ,则 ,所以是正确的. 故选:CD. 【点睛】 本题以命题的真假判断与应用为载体,考查了函数的单调性、奇偶性,函数的图象的平移变换,以及指数 函数的图象与性质等知识点的应用,属于基础题. 27.函数 的图像可能是( )A. B. C. D. 【答案】ABC 【分析】 本题可对函数 进行分类讨论,分为 、 、 三种情况,然后确定每一种情况下 所对应的函数图像,即可得出结果. 【详解】 由题可知,函数 , 若 ,则 ,选项C可能; 若 ,则函数定义域为 ,且 ,选项B可能; 若 ,则 ,选项A可能, 故不可能是选项D, 故选:ABC. 【点睛】 本题考查函数的图像的判断,可通过函数的定义域、值域、特殊值等特征来判断,考查分类讨论思想,考查推理能力,是中档题. 28.已知函数 图像经过点(4,2),则下列命题正确的有( ) A.函数为增函数 B.函数为偶函数 C.若 ,则 D.若 ,则 【答案】ACD 【分析】 先代点求出幂函数的解析式 ,根据幂函数的性质直接可得单调性和奇偶性,由 可判断 C,利用 展开和0比即可判断D. 【详解】 将点(4,2)代入函数 得: ,则 . 所以 , 显然 在定义域 上为增函数,所以A正确. 的定义域为 ,所以 不具有奇偶性,所以B不正确. 当 时, ,即 ,所以C正确. 当若 时, == . 即 成立,所以D正确. 故选:ACD. 【点睛】 本题主要考查了幂函数的性质, 29.对于定义域为D的函数f(x),若存在区间[m,n] D,同时满足下列条件:①f(x)在[m,n]上是 单调的;②当定义域是[m,n]时,f(x)的值域也是[m,n],则称[m,n]为该函数的“和谐区间”.下列函 数存在“和谐区间”的有( ) A. B. C. D. 【答案】BC 【分析】 根据函数的新定义,确定函数的单调性,根据定义域计算值域,确定 的解的个数,依次计算每 个选项得到答案. 【详解】 易知 单调递增,故 , , 解得 ,故不满足; 取 , 在 上单调递减,故 , ,故满足. ,易知函数单调递增,故 , , 设 ,则 ,函数在 上单调递增,在 上单调递减, , , ,故函数有两个零点,故满足.在 上单调递增,故 , , 设 ,则 ,函数在 上单调递增,在 上单调递减. 故 ,故函数只有一个零点,不满足; 故选: . 【点睛】 本题考查了函数的新定义问题,意在考查学生的计算能力,阅读能力和综合应用能力. 第II卷(非选择题) 三、填空题 30.设偶函数f(x)满足: ,且当时 时, , 则 ______. 【答案】 【分析】 利用初始值和递推关系,逐渐求得 , , , , ,最后求得 再 利用偶函数的性质得出所求. 【详解】 解: , ,, , , , ∵f(x)是偶函数, . 故答案为: . 【点睛】 本题考查利用抽象函数的解析式求函数值,涉及偶函数的性质,属中高档题,关键在于利用初始值和递推 关系,逐渐递推计算. 31.定义在 上的奇函数 在 上是减函数,若 ,则m的取值范围 为______. 【答案】 【分析】 根据题意,得到 在 上单调递减,且 ,把不等式转化为 ,结合单调性, 即可求解. 【详解】由题意,函数 是在 上的奇函数,且在 上是减函数, 可得函数 在 上单调递减,且 , 又由不等式 ,可化为 , 即 ,解得 ,即m的取值范围为 . 故答案为: . 32.已知函数 是定义在 上的奇函数,且当 时, ,若 ,则 的取值范围是______. 【答案】 【分析】 根据函数的奇偶性和对数函数的性质,得到函数 在 和 上单调递增,且 , ,结合不等式 ,即可求解. 【详解】 由题意,当 时, , 根据对数函数的性质,可得 在 上单调递增,且 , 因为 是定义在 上的奇函数,所以 在 上单调递增,且 , 又由 ,即 或 ,所以 或 . 即实数 的取值范围是 . 【点睛】 本题主要考查了函数基本性质的应用,其中解答中熟记对数函数的单调性,以及函数的奇偶性,合理转化 不等式是解答的关键,着重考查推理与运算能力. 33.已知函数 是定义在 上的奇函数,且对任意 ,恒有 成立,当时, ,则 ______. 【答案】 【分析】 由 成立,得到 是周期为4的函数,得到 ,结合函数的奇偶性和函数的解析式,分别求得 的值,即可求 解. 【详解】 由题意,函数 对任意 ,恒有 成立, 所以函数 是以4为周期的周期函数, 所以 , 又由函数 是定义在 的奇函数,且 时, , , 因为 ,令 ,可得 ,解得 , 所以 , 故答案为: . 【点睛】 本题主要考查了函数的奇偶性与周期性的应用,其中解答中根据题意求得函数是以4为周期的周期函数, 在结合函数的奇偶性和函数的解析式求解是解答的关键,着重考查推理与运算能力. 34.已知定义在 上的奇函数 满足 ,且当 时, ,则________. 【答案】 【分析】 根据定义在 上的奇函数: ,解出 ,由 知道函数 关于 对称, 结合奇函数得到函数 为以 为周期的周期函数.利用周期性化简解出 . 【详解】 因为 为定义在 上的奇函数. 所以 ,即 , 又 ,即函数 关于 对称,又关于原点对称, 所以函数 为以 为周期的周期函数. 所以 故答案为: . 【点睛】 本题考查函数的周期性,属于中档题.解本题的关键在于能够利用轴对称与点对称得到函数的周期性. 35.已知奇函数 的定义域为 且在 上连续.若 时不等式 的解集为 ,则 时 的解集为______. 【答案】 【分析】 当 时,易得 的解集为 ;利用奇函数的性质可得当 时,的解集为 ,令 即可得解. 【详解】 由题意可得当 时, 的解集为 , 由奇函数的性质可得当 时, 的解集为 , 令 ,则 的解集为 , 即当 时, 的解集为 , 所以 的解集为 . 故答案为: . 【点睛】 本题考查了函数奇偶性的应用,考查了运算能力和推理能力,属于中档题. 36.已知二次函数f(x)=ax2+2ax+1在区间[-3,2]上的最大值为4,则a的值为________. 【答案】-3或 【分析】 根据二次函数的对称轴,结合参数 的取值对单调性的影响,即可容易由最值求参数值. 【详解】 f(x)的对称轴为直线x=-1. 当a>0时,f(x) =f(2)=4,解得a= ; max 当a<0时,f(x) =f(-1)=4,解得a=-3. max 综上,得a= 或a=-3.故答案为: 或 . 【点睛】 本题考查由二次函数的最值求参数值,属基础题. 37.已知 ,则 的单调递增区间为______. 【答案】 【分析】 由题意利用复合函数的单调性可得,本题即求函数 在定义域内的增区间,再利用二次函数 的性质得出结论. 【详解】 ∵ ,∴ ,求得 ,或 , 故函数的定义域为 或 由题即求函数 在定义域内的增区间. 由二次函数的性质可得函数 在定义域内的增区间为 , 故答案为 . 【点睛】 本题主要考查复合函数的单调性,二次函数的性质,属于中档题. 38.已知 ,则 __________ 【答案】 【分析】 直接利用配凑法,求解函数的解析式即可. 【详解】 解:函数 , ,故答案为 【点睛】本题考查函数的解析式的求法,配凑法的应用,考查计算能力. 39.已知函数 ,则下列结论正确的是_________. ① ; ②函数 有5个零点; ③函数 在 上单调递增; ④函数 的值域为 【答案】③ 【分析】 根据解析式直接计算 即可判断①,由解析式画出函数在 上的图象可判断②,③,计算 , 结合图象即可求值域,判断④. 【详解】 因为 , 所以 , ,故①错误; 当 时, , 当 时, , 所以画出函数的图象如下所示,由图可得函数有4个零点,故B错误,函数在 上单调递增,故③正确; , , 故函数的值域为 ,故④错误; 故答案为:③ 【点睛】 本题主要考查了函数的图象,分段函数,函数的零点,值域,单调性,数形结合的思想,属于中档题. 40.设函数 ,则使得 成立的 的取值范围是 __________. 【答案】 【分析】 先判断函数的奇偶性与单调性,然后利用函数的性质解不等式,即可求解. 【详解】 因为 ,所以 ,所以函数 的定义域为 且 , 又 ,∴ 为偶函数. 当 时,令 ,∵ ,∴ 在 上是增函数, 易知函数 在 上是增函数,∴ 在 上是增函数. 又 为偶函数,∴ , ∴由 ,得 , 解得 , 故答案为: . 【点睛】 本题主要考查了函数的奇偶性与单调性及其应用,其中解答中根据根据的解析式得到函数的奇偶性和单调 性是解答的关键,着重考查化归与转化能力和运算求解能力,属于中档试题. 41.已知函数 是定义在 上的奇函数,且当 时, ,则不等式 的 解集为__________. 【答案】 【分析】 先求出函数 是定义在 上的解析式,再分别讨论 与 在大于0和小于0时列出不等式,最后求 并集. 【详解】 由于函数 是定义在 上的奇函数,且当 时, , 当 时, , ,此时, . 综上所述, .①当 时,由 ,得 ,解得 ,此时, ; ②当 时,即当 时, 由 得 ,整理得 ,解得 ,此时 ; ③当 由 得 ,解得 ,此时 . 综上所述,不等式 的解集为 . 故答案为: . 【点睛】 本题考查已知奇函数部分解析式求定义域上奇函数解析式,并分段讨论求不等式解集.属于基础题. 42. 已知函数 是幂函数,且 在 上单调递增,则实数 ________. 【答案】2 【分析】 由函数 是幂函数,求得 或 ,结合幂函数的性质,即可求解. 【详解】 由题意,函数 是幂函数, 可得 ,即 ,解得 或 ,当 时,函数 ,此时 在 上单调递增,符合题意; 当 时,函数 ,此时 在 上单调递减,不符合题意, 故答案为: . 【点睛】 本题主要考查了幂函数的定义及图像与性质的应用,其中解答中熟记幂函数的定义,结合幂函数的图象与 性质进行判定是解答的关键,着重考查运算能力. 43.定义在 上函数 满足 , 且 在 上是增 函数,给出下列几个命题: ① 是周期函数; ② 的图象关于 对称; ③ 在 上是增函数; ④ . 其中正确命题的序号是______. 【答案】①②④ 【分析】 令 替换 即可得出 的周期为4;计算 ,再令 得出 为奇函数,用 替 换 可得 的对称轴;根据奇函数的对称性和对称轴得出 在 的单调性;根据 和 ,即可得出 . 【详解】 由 ,可得 , 所以函数 的周期为4,所以①正确; 由 ,可得 ,解得 ,在令 ,可得 ,所以 , 即 ,所以函数 为奇函数, 所以 ,即 , 所以 的图象关于 对称,所以②正确; 因为 在 上是增函数, 又由 ,所以函数 关于直线 对称, 所以函数 在 为减函数,所以③错误; 由 ,可知 , 因为 ,所以 ,所以④正确. 故答案为:①②④. 【点睛】 本题主要考查了函数的基本性质,函数的奇偶性、周期性、对称性、单调性的综合应用及判定,属于中档 试题. 44.已知 是奇函数,且 ,又 ,则 =_______________. 【答案】 【分析】 由 得函数是周期为4的函数,再利用 是 上的奇函数得解. 【详解】 ∵ ,函数的周期为4 又 是奇函数,且 ,所以∴ 故答案为: . 【点睛】 本题考查奇偶性与周期性问题.其解题思路:函数的奇偶性与周期性相结合的问题多考查求值问题,常利用 奇偶性及周期性进行变换,将所求函数值的自变量转化到已知解析式的函数定义域内求解. 四、双空题 45.已知幂函数 为偶函数. (1) 的值为________; (2)若 ,则实数 的值为________. 【答案】16 或 【分析】 (1)首先根据幂函数的定义得到 或 ,根据奇偶性即可得到 的值,再计算 即可. (2)首先根据题意得到 ,再解方程即可. 【详解】 (1)由 ,得 或 . 当 时, 是奇函数,不满足题意,舍去; 当 时, 是偶函数,满足题意, 所以 , (2)由 为偶函数及 ,可得 ,即 或 , 解得: 或 . 故答案为:16; 或 【点睛】 本题主要考查幂函数的定义,同时考查幂函数的奇偶性,属于简单题. 46.已知函数 , . (1)若函数 的图象与 轴无交点,则实数 的取值范围为________; (2)若函数 在 上存在零点,则实数 的取值范围为________. 【答案】 【分析】 (1)根据题意,得到 ,解不等式,即可得出结果; (2)根据二次函数在给定区间的单调性,由题意列出不等式组求解,即可得出结果. 【详解】 (1)∵ 的图象与 轴无交点, ∴ ,∴ ,即实数 的取值范围为 ; (2)∵函数 的图象的对称轴为直线 ,且开口向上, ∴ 在 上单调递减, ∴要使 在 上存在零点, 需满足 即 ,∴ ,即实数 的取值范围为 . 【点睛】 本题主要考查根据二次函数的零点求参数,属于常考题型. 47.已知函数 和 ,若 恒成立,则 ________, ________. 【答案】 0 【分析】 根据不等式恒成立,分别令 和 即可求得结果. 【详解】 当 时, , ; 当 时, , . 故答案为: ; . 【点睛】 本题考查根据恒成立的不等式求解参数值的问题,关键是能够利用赋值法构造出方程. 五、解答题 48.如图, 是边长为2的正三角形,记 位于直线 左侧的图形的面积为 .试 求函数 的解析式,并画出函数 的图象.【答案】 ,函数图象见解析; 【分析】 在求 的解析式时,关键是要根据图象,对 的取值进行恰当的分类,然后分类讨论,给出分段函数的 解析式后,再根据解析式画出函数的图象. 【详解】 解:(1)当 时, 如图,设直线 与 分别交于 、 两点,则 , 又 , , (2)当 时, 如图,设直线 与 分别交于 、 两点,则 ,又 , (3)当 时, 综上所述 49.求下列函数的定义域: (1) ;(2) . 【答案】(1) ;(2) 且 【分析】 要使函数有意义,则偶次方根的被开方数大于等于零,分母不为零,即可得到不等式组,解得即可,需注 意定义域为集合,需写成集合或区间的形式; 【详解】 解:(1)要使函数 有意义,则 ,即 ,解得 ,故函数的定义域 为 . (2)要使函数 有意义,则 ,即 ,解得 且 ,故函数的定义域为 且 . 50.已知函数 是定义在 上的偶函数,当 时, . (1)求函数 的解析式,并画出函数 的图象; (2)根据图象写出函数 的单调递减区间和值域; (3)讨论方程 解的个数. 【答案】(1) ,图象答案见解析;(2)单调递减区间为 、 ,函数 的值域为 ;(3)答案见解析. 【分析】 (1)由偶函数的定义即可求得 时的函数f(x)的解析式,进而得到解;(2)画出函数图象,数形结合即可得函数的单调增区间; (3)函数 的图象与直线 的交点个数,数形结合即可得解. 【详解】 解:(1)因为 时, ,设 ,则 , , 又函数 为偶函数, , 故函数的解析式为 . 函数 图像如图: (2)由函数的图象可知, 函数 的单调递减区间为 、 , 函数 的值域为 . (3)方程 的实数根的个数就是函数 的图象与直线 的交点个数, 由函数 的图象可知, 当 时,方程 的解的个数为0;当 ,或 时,方程 的解的个数为2; 当 时,方程 的解的个数为3; 当 时,方程 的解的个数为4. 【点睛】 本题主要考查了利用函数的奇偶性求解析式的问题,考查了利用数形结合求单调区间以及值域问题.属于中 档题.注意方程的根的个数常常转化为一个确定的函数的图象和一条变动的直线的交点个数问题. 51.设函数 是定义域为R的偶函数. (1)求 的值; (2)若 在 上最小值为 ,求k的值; (3)若不等式 对任意实数x都成立,求实数m的范围. 【答案】(1)2;(2) ;(3) . 【分析】 (1)根据偶函数的定义,即可求得答案. (2)由(1)可得 解析式,代入所求,即可得 解析式,令 ,可得 , 根据x的范围,可得t的范围,利用二次函数的性质,分别讨论 和 两种情况,结合题意,即可 求得答案. (3)根据 ,原不等式可化为 ,令 ,可得t 的范围,根据对勾函数的性质,即可求得 的最小值,即可得答案. 【详解】 解:(1) 是偶函数, 恒成立,即 恒成立,即 , (2)由(1)知 , , 令 ,为增函数, ,则 , , , 为对称轴为直线 ,开口向上的抛物线, ①当 时, 在 递增,所以 , , (不合题意), ②当 时, , ,解得 或 (舍去) 的最小值为-4时, 的值为 . (3)不等式 ,即 ,当且仅当x=1时等号成立. , 令 , ,则 , ,又 在 上递增, , 故实数m的取值范围为 【点睛】 解题的关键是熟练掌握函数奇偶性、二次函数性质、对勾函数性质等知识,并灵活应用,利用对勾函数求 解函数最值时,要注意自变量范围,结合单调性求解,综合性较强,属中档题. 52.已知函数 . (1)若 ,求 的定义域; (2)若 在区间 上是减函数,求实数 的取值范围. 【答案】(1) (2) 【分析】 (1) 由 且 结合负数不能开偶次方根有 即可求解; (2)分别对分母大于零和小于零进行分类讨论,根据题意,求出函数 在 上的单调性结合函数 的定义域,化简即可求出实数 的取值范围. 【详解】 (1)当 且 时,由 得 ,即函数 的定义域是 . (2)当 即 时,令 要使 在 上是减函数,则函数 在 上为减函数,即 ,并且且 , 解得 ; 当 即 时 ,令要使 在 上是减函数,则函数 在 为增函数,即 并且 ,解得 综上可知,所求实数 的取值范围是 . 【点睛】 本题主要考查函数的定义域及其单调性的应用,在解题时,要注意复合函数性质的应用及考虑定义域. 53.已知定义在R上的函数 在 上是增函数. 为偶函数,且当 时, . (1)求 在 上的解析式; (2)若函数 与 的值域相同,求实数m的值; (3)令 讨论关于x的方程 的实数根的个数. 【答案】(1) ;(2) ;(3)当 时,方程 有两个实数根;当 时,方程 仅一个实数根. 【分析】 (1)利用 为偶函数即可求解析式;(2)根据二次函数、指数函数求值域,结合已知即可求m的值; (3)由 ,分类讨论m确定 的零点情况即可; 【详解】 (1)当 时,则 ,而 为偶函数,有 . (2)∵函数 在 上单调递增,∴ ,且 的值域为 . 当 时, ,由 是偶函数, ∴ 的值域为 . 由题意知: .令 ,易知 在 上单调递增,且 ; ∴ . (3)由(2)有 ,令 , ①当 时, ,此时仅有一个零点 . ②当 时, ,此时仅有一个零点 . ③当 时,在 中 ,故无零点;在 中 单调增,而 , , ∴故此时 ,使 ,即仅有一个 有 , . ④当 时,在 中 ,零点有 ,故有两个零点;在 中 单调增,而 ,即无零点; 综上所述,当 时,方程 有两个实数根;当 时,方程 仅一个 实数根. 【点睛】 本题考查了函数,利用函数的奇偶性求解析式,根据二次函数、指数函数确定值域结合已知条件求参数, 将方程根的个数问题转化为函数的零点问题,应用分类讨论的方法研究函数的零点;54.对于任意的实数 表示 中较小的那个数,即 已知函数 (1)求函数 在区间 上的最小值; (2)设 ,求函数 的最大值. 【答案】(1)2;(2)2. 【分析】 (1)利用二次函数的图象及性质即可求得 的最小值; (2)先求出 ,作出函数 的图象,由图象观察即可得解. 【详解】 解:(1)因为 在 单调递增,在 单调递减,所以 在 上的最小值为 . 又 于是 所以函数 在 上的最小值为2. (2)当 时,即 时, 当 时,即 或 时, 作出函数 的图象如下图所示,在 单调递增,在 单调递减.即 当 时, 取到最大值2.所以函数 的最大值为2. 【点睛】 本题考查函数最值的求法,考查数形结合思想的运用,属于基础题. 55.已知函数 是 上的偶函数,若对于 ,都有 ,且当 时, ,求: (1) 与 的值; (2) 的值; (3) 的值. 【答案】(1) , ;(2) ;(3) . 【分析】 (1)直接根据函数的解析式和函数的关系式 ,即可求得 与 的值; (2)根据关系式 和函数的奇偶性,即可求得 的值; (3)利用函数的奇偶性和关系式 ,求得函数 是以4为周期的函数,进而求得的值 【详解】 (1)当 时, ,所以 , 因为 ,都有 ,所以 . (2)因为函数 为偶函数,且 ,当 时, , 所以 . (3)依题意,当 时,都有 , 可得当 时, , 即 时,函数 是以4为周期的函数. 所以 , 又由 , , 故 . 【点睛】 本题主要考查了函数值的计算,以及抽象函数性质的应用,其中解答中结合函数的奇偶性和周期进行转化 求解是解答的关键,着重考查推理与运算能力. 56.设 是定义在 上的函数,若存在 使得 在 上单调递增,在 上单 调递减,则称 为 上的单峰函数, 为峰点,包含峰点的区间为含峰区间. (1)判断下列函数是否为单峰函数: ① , ; ② , ;③ , ; ④ , . 对任意的 上的单峰函数 ,下面研究缩短其含峰区间长度 (区间长度 等于区间的右端点与左 端点之差). (2)证明:对任意的 , , ,若 ,则 为含峰区间;若 ,则 含峰区间; (3)对给定的 ,证明:存在 , ,满足 ,使得由(2)所确定的含 峰区间的长度不大于 . 【答案】(1) 、 是单峰函数, 、 不是单峰函数;(2)证明见解析;(3)证明见解析; 【分析】 (1)根据单峰函数的定义判断各函数是否符合条件即可;(2)利用单峰函数在 上单调递增,在 上单调递减,应用反证方法即可证明结论;(3)当 ,使得由(2)所确定的含峰区间 的长度不大于 成立,证明存在 , 即可; 【详解】 (1) 在 上单调递增,在 上单调递减,是单峰函数;在 上单调递减,在 上单调递增,不是单峰函数; 在 上单调递增,在 上单调递减,是单峰函数; 在 上单调递减,在 上单调递增,不是单峰函数; (2)对任意的 , , : 若 时, ,由单峰函数的定义知:若 都在 上不符合递增定 义,所以必有 ,即 为含峰区间; 若 时, ,同理若 都在 上不符合递减定义,所以必有 ,即 为含峰区间; ∴综上,对任意的 , , ,若 ,则 为含峰区间;若 ,则 含峰区间,得证 (3)由(2)的结论可知:当 时,含峰区间的长度为 ;当 时,含峰 区间的长度为 . 由题意得 ①,即可得 ,而 ,所以 ②; 将②代入①得 ③,再由①和③得: ;∴此时含峰区间的长度 ,即存在 , 使得所确定的含峰区间的长度不大于 . 【点睛】 本题考查了函数知识迁移应用,根据单峰函数的定义确定函数是否为单峰函数,利用反证法结合单峰函数 的单调性证明是否为含峰区间,应用不等式关系证明存在性问题; 57.已知f(x)= (x≠-1).求: (1)f(0)及 的值; (2)f(1-x)及f(f(x)). 【答案】(1)1; ;(2) , . 【分析】 (1)根据函数解析式,代值计算即可; (2)根据 ,即可容易求得 . 【详解】 (1)因为 , 所以 , , 所以 ; (2)因为 ,又 ,故可得 , 所以 , . 【点睛】 本题考查函数值的求解,涉及函数嵌套,注意函数定义域即可,属简单题. 58.已知函数f(x)=1- . (1)若g(x)=f(x)-a为奇函数,求a的值; (2)试判断f(x)在(0,+∞)内的单调性,并用定义证明 【答案】(1)1(2)见解析 【解析】 试题分析:(1) ,由于函数 为奇函数,所以有 ,即 ,解得 ;(2)首先判断函数 在区间 上单调递增,可以根据函 数单调性定义进行证明,设 是区间 上任意两个不等的实数,且 ,则 , ,由于 且 , 所以 ,即 ,所以函数 在区间 上单调递增. 试题解析:(1)由已知g(x)=f(x)-a得,g(x)=1-a- , 因为g (x)是奇函数,所以g(-x)=-g(x), 即1-a- =- , 解得a=1. (2)函数f(x)在(0,+∞)内为增函数. 证明如下: 设x、x 为(0,+∞)内的任意两点,且x0, 1 2 1 2 从而 , 即f(x)0,f(-x)=(-x)2-(-x)-1=x2+x-1, ∵f(x)为奇函数,∴f(-x)=-f(x),∴f(x)=-x2-x+1. 又∵f(x)在x=0处有意义,∴f(0)=0.∴ . (2)函数f(x)的图象如图所示, 由图象可知,函数f(x)的增区间为 , . 60.已知函数 . (1)若 ,求 的定义域; (2)若 在区间 上是减函数,求实数 的取值范围. 【答案】(1) ;(2) . 【分析】 (1)根据被开方数是非负数,结合 的范围,即可容易求得结果; (2)利用复合函数单调性的判断原则,列出不等式,即可容易求得参数范围. 【详解】 (1) 时,由 得 , 即函数 的定义域是 . (2)当 即 时,令要使 在 上是减函数,则函数 在 上为减函数, 即 ,并且 ,解得 ; 当 即 时 ,令 要使 在 上是减函数,则函数 在 为增函数, 即 ,并且 ,解得 综上可知,所求实数 的取值范围是 . 【点睛】 本题考查函数定义域的求解,以及根据函数单调性求参数范围,属综合基础题. 61.已知函数 对任意 满足 + =0, = ,若当 时, (a>0且a≠1),且 . (1)求 的值; (2)求实数 的值; (3)求函数 的值域. 【答案】(1) f(1)=0 ;(2) a= ,b=﹣1;(3)[﹣ , ). 【分析】 (1)对题干条件进行赋值,即可求得 的值; (2)由题意可得,f(x)是奇函数,即可求得b的值,根据 = ,可得f(x)的周期为2,又 ,代入数据,即可求得a的值;(3)根据f(x)在 上的解析式,可求得其在 上的范围,根据f(x)是奇函数,可得f(x)在(﹣1,0)上 的范围,根据f(x)的周期为2,可得f(x)在R上的值域,令t=f(x) 利用二次函数的性质,即可求得g(x)的值域. 【详解】 (1)∵f(x)+f(﹣x)=0,∴f(1)+f(-1)=0……①, ∵f(x﹣1)=f(x+1),∴f(-1)=f(1)……②, 由①②可得f(1)=0; (2)∵f(x)+f(﹣x)=0, ∴f(﹣x)=﹣f(x),即f(x)是奇函数, 所以 ,所以 ,即 , ∵f(x﹣1)=f(x+1), ∴f(x+2)=f(x),即函数f(x)是周期为2的周期函数, 又f( )=f( )=f( )= 1- = , 解得a= , 所以 ; (3)当 时,f(x)=ax+b=( )x﹣1∈(﹣ ,0], 由f(x)为奇函数知, 当x∈(﹣1,0)时,f(x)∈(0, ), 又f(x)的周期为2, ∴当x∈R时,f(x)∈(﹣ , ), 设t=f(x)∈(﹣ , ),∴g(x)=f2(x)+f(x)=t2+t=(t+ )2﹣ ∈[﹣ , ), 故函数g(x)=f2(x)+f(x)的值域为[﹣ , ). 【点睛】 本题考查奇函数的应用、函数的周期性、二次函数的图像与性质,综合性较强,考查分析理解,求值计算 的能力,考查学生对基础知识的掌握程度,属中档题. 62.已知函数 ,且 . (1)求实数 的值; (2)判断函数 在 上的单调性,并用定义法证明. 【答案】(1)-1;(2)f(x)在(1,+∞)上单调递增.证明见解析 【分析】 (1)根据 ,得到关于 的方程,解出即可; (2)根据函数的单调性的定义证明即可. 【详解】 解:(1) ,且 , ,解得: ; (2)由(1)得: , 在 递增, 证明如下: 设任意 ,则 , , , , , 在 单调递增. 【点睛】 本题考查了函数的单调性问题,考查函数求值问题,属于基础题. 63.定义在 上的函数 满足 ,且 .若 是 上 的减函数,求实数 的取值范围. 【答案】 【分析】 先由 ,根据题意得到 ,再由函数单调性,列出不等式组, 求解,即可得出结果. 【详解】 由 ,得 . ∵ , ,∴ . 又∵ 是 上的减函数,∴ 解得 . 故实数 的取值范围是 . 【点睛】 本题主要考查由函数单调性解不等式的问题,熟记函数单调性即可,属于常考题型.64.已知函数 . (1)若a=2,求f(x)的定义域; (2)若f(x)在区间(0,1]上是减函数,求实数a的取值范围. 【答案】(1) ;(2) . 【分析】 (1)根据被开方数是非负数,列出不等式,求解即可; (2)根据函数单调性,讨论参数 的取值对单调性的影响,即可容易求得结果. 【详解】 (1)a=2时, ,函数有意义, 则: ,解得: , 函数的定义域为 . (2)当a-1>0,即a>1时,要使f(x)在(0,1]上是减函数, 则需3-a×1≥0,此时10,此时a<0. 综上所述,所求实数a的取值范围是 . 【点睛】 本题考查具体函数定义域的求解,以及由函数的单调性求参数范围,属基础题. 65.已知幂函数 ,且在区间 内函数图象是上升的. (1)求实数k的值; (2)若存在实数a,b使得函数f(x)在区间[a,b]上的值域为[a,b],求实数a,b的值. 【答案】(1)2;(2)a=0,b=1. 【分析】(1)根据幂函数的定义先求出 的可能值,再根据幂函数的单调性判断正确的 值; (2)根据函数 的单调性即可判断 的取值情况,列出式子即可求解. 【详解】 (1) 为幂函数, ∴ ,解得 或 , 又 在区间 内的函数图象是上升的, , ∴k=2; (2)∵存在实数a,b使得函数 在区间 上的值域为 ,且 , ∴ ,即 , ,∴a=0,b=1. 【点睛】 本题考查幂函数的定义和单调性的运用,考查函数最值的求法,是一道基础题. 66.已知函数 . (1)若 的定义域为 ,求实数 的值; (2)若 的定义域为 ,求实数 的取值范围. 【答案】(1) (2) 【分析】 (1)根据题意定义域为 ,可知不等式 的解集为 ,根据一元二次不等式解集与一元二次方程根的关系即可求解. (2) 的定义域为 ,可知不等式 恒成立,然后讨论二次项系数,借助 二次函数的性质即可求解. 【详解】 解:(1) 的定义域为 ,即 的解集为 , 故 ,解得 ; (2) 的定义域为 ,即 恒成立, 当 时, ,经检验只有 满足条件; 当 时, ,解得 , 综上, . 【点睛】 本题主要考查函数的定义域、一元二次不等式的解法、一元二次不等式与二次函数的关系,综合性比较强. 67. 是定义在 上的奇函数,且 (1)求 , 的值; (2)判断函数 的单调性(不需证明),并求使 成立的实数 的取值范围. 【答案】(1) , ;(2) 是定义在 上的奇函数; 的取值范围是[0,1). 【分析】(1)由于 是定义在 上的奇函数,且 ,可得 ,从而可求出 , 的值, 或利用奇函数的定义 先求出 的值,再用 求出 的值; (2)由于 为奇函数,所以 可化为 , 利用函数在 上为增函数可得 ,再结合 和 可求出 的取值范 围. 【详解】 解:(1)法一: 是定义在 上的奇函数, 则 ,得 ,解得 , 经检验 , 时, 是定义在 上的奇函数, 法二: 是定义在 上的奇函数, 则 , 即 ,则 , 所以 ,又因为 ,得 , 所以 , . (2)由(1)知 , 在 上是增函数,又因为 是定义在 上的奇函数, 由 , 得 , 所以 ,即 ①, 又 ,即 ②, ,即 ③, 由①②③得 解得 .故 的取值范围是[0,1). 【点睛】 此题考查奇函数的性质,函数的单调性,利用奇函数的性质和单调性解不等式,属于中档题. 68.若函数 对其定义域内的任意 , ,当 时总有 ,则称 为紧密函数, 例如函数 是紧密函数.下列命题:①紧密函数必是单调函数;②函数 在 时是紧密函数;③函数 是紧密函数;④若函 数 为定义域内的紧密函数, ,则 ;其中正确的是________. 【答案】②④ 【分析】 根据题中紧密函数的定义,逐项判断,即可得出结果. 【详解】 ①,由于函数 对其定义域内的任意 , ,当 时总有 ,则称 为紧密函数,所以紧密函数 的自变量与函数值是一一映射,故单调函数一定是紧密函数,但紧密函数不一定 是单调函数,如 ,按照定义,显然是紧密函数,但不是单调函数,故①错; ②因为 ,当 时, 单调递增,所以 是单调函数,故一定使紧密函数,故②正确; ③函数 ,当 时, 单调递增;当 时, 单调 递减,不是一一映射,故不是紧密函数;故③错; ④若函数 为定义域内的紧密函数,由一一映射可知,若 ,则 ;故④正确; 故答案为:②④. 【点睛】 思路点睛: 解决函数新定义的题目时,一般根据新定义的概念,充分理解给定的新定义,再结合函数的概念,根据选 项,逐项判断即可.