当前位置:首页>文档>专题26几何压轴综合(全国通用)(解析版)_02中考总复习(2026版更新中)_02-数学-中考总复习_2026年中考复习(更新中)_好题汇编三年(2023-2025)中考数学真题分类汇编(全国通用)

专题26几何压轴综合(全国通用)(解析版)_02中考总复习(2026版更新中)_02-数学-中考总复习_2026年中考复习(更新中)_好题汇编三年(2023-2025)中考数学真题分类汇编(全国通用)

  • 2026-04-11 01:10:56 2026-03-09 03:30:18

文档预览

专题26几何压轴综合(全国通用)(解析版)_02中考总复习(2026版更新中)_02-数学-中考总复习_2026年中考复习(更新中)_好题汇编三年(2023-2025)中考数学真题分类汇编(全国通用)
专题26几何压轴综合(全国通用)(解析版)_02中考总复习(2026版更新中)_02-数学-中考总复习_2026年中考复习(更新中)_好题汇编三年(2023-2025)中考数学真题分类汇编(全国通用)
专题26几何压轴综合(全国通用)(解析版)_02中考总复习(2026版更新中)_02-数学-中考总复习_2026年中考复习(更新中)_好题汇编三年(2023-2025)中考数学真题分类汇编(全国通用)
专题26几何压轴综合(全国通用)(解析版)_02中考总复习(2026版更新中)_02-数学-中考总复习_2026年中考复习(更新中)_好题汇编三年(2023-2025)中考数学真题分类汇编(全国通用)
专题26几何压轴综合(全国通用)(解析版)_02中考总复习(2026版更新中)_02-数学-中考总复习_2026年中考复习(更新中)_好题汇编三年(2023-2025)中考数学真题分类汇编(全国通用)
专题26几何压轴综合(全国通用)(解析版)_02中考总复习(2026版更新中)_02-数学-中考总复习_2026年中考复习(更新中)_好题汇编三年(2023-2025)中考数学真题分类汇编(全国通用)
专题26几何压轴综合(全国通用)(解析版)_02中考总复习(2026版更新中)_02-数学-中考总复习_2026年中考复习(更新中)_好题汇编三年(2023-2025)中考数学真题分类汇编(全国通用)
专题26几何压轴综合(全国通用)(解析版)_02中考总复习(2026版更新中)_02-数学-中考总复习_2026年中考复习(更新中)_好题汇编三年(2023-2025)中考数学真题分类汇编(全国通用)
专题26几何压轴综合(全国通用)(解析版)_02中考总复习(2026版更新中)_02-数学-中考总复习_2026年中考复习(更新中)_好题汇编三年(2023-2025)中考数学真题分类汇编(全国通用)
专题26几何压轴综合(全国通用)(解析版)_02中考总复习(2026版更新中)_02-数学-中考总复习_2026年中考复习(更新中)_好题汇编三年(2023-2025)中考数学真题分类汇编(全国通用)
专题26几何压轴综合(全国通用)(解析版)_02中考总复习(2026版更新中)_02-数学-中考总复习_2026年中考复习(更新中)_好题汇编三年(2023-2025)中考数学真题分类汇编(全国通用)
专题26几何压轴综合(全国通用)(解析版)_02中考总复习(2026版更新中)_02-数学-中考总复习_2026年中考复习(更新中)_好题汇编三年(2023-2025)中考数学真题分类汇编(全国通用)
专题26几何压轴综合(全国通用)(解析版)_02中考总复习(2026版更新中)_02-数学-中考总复习_2026年中考复习(更新中)_好题汇编三年(2023-2025)中考数学真题分类汇编(全国通用)
专题26几何压轴综合(全国通用)(解析版)_02中考总复习(2026版更新中)_02-数学-中考总复习_2026年中考复习(更新中)_好题汇编三年(2023-2025)中考数学真题分类汇编(全国通用)
专题26几何压轴综合(全国通用)(解析版)_02中考总复习(2026版更新中)_02-数学-中考总复习_2026年中考复习(更新中)_好题汇编三年(2023-2025)中考数学真题分类汇编(全国通用)
专题26几何压轴综合(全国通用)(解析版)_02中考总复习(2026版更新中)_02-数学-中考总复习_2026年中考复习(更新中)_好题汇编三年(2023-2025)中考数学真题分类汇编(全国通用)
专题26几何压轴综合(全国通用)(解析版)_02中考总复习(2026版更新中)_02-数学-中考总复习_2026年中考复习(更新中)_好题汇编三年(2023-2025)中考数学真题分类汇编(全国通用)
专题26几何压轴综合(全国通用)(解析版)_02中考总复习(2026版更新中)_02-数学-中考总复习_2026年中考复习(更新中)_好题汇编三年(2023-2025)中考数学真题分类汇编(全国通用)
专题26几何压轴综合(全国通用)(解析版)_02中考总复习(2026版更新中)_02-数学-中考总复习_2026年中考复习(更新中)_好题汇编三年(2023-2025)中考数学真题分类汇编(全国通用)
专题26几何压轴综合(全国通用)(解析版)_02中考总复习(2026版更新中)_02-数学-中考总复习_2026年中考复习(更新中)_好题汇编三年(2023-2025)中考数学真题分类汇编(全国通用)
专题26几何压轴综合(全国通用)(解析版)_02中考总复习(2026版更新中)_02-数学-中考总复习_2026年中考复习(更新中)_好题汇编三年(2023-2025)中考数学真题分类汇编(全国通用)
专题26几何压轴综合(全国通用)(解析版)_02中考总复习(2026版更新中)_02-数学-中考总复习_2026年中考复习(更新中)_好题汇编三年(2023-2025)中考数学真题分类汇编(全国通用)
专题26几何压轴综合(全国通用)(解析版)_02中考总复习(2026版更新中)_02-数学-中考总复习_2026年中考复习(更新中)_好题汇编三年(2023-2025)中考数学真题分类汇编(全国通用)
专题26几何压轴综合(全国通用)(解析版)_02中考总复习(2026版更新中)_02-数学-中考总复习_2026年中考复习(更新中)_好题汇编三年(2023-2025)中考数学真题分类汇编(全国通用)
专题26几何压轴综合(全国通用)(解析版)_02中考总复习(2026版更新中)_02-数学-中考总复习_2026年中考复习(更新中)_好题汇编三年(2023-2025)中考数学真题分类汇编(全国通用)
专题26几何压轴综合(全国通用)(解析版)_02中考总复习(2026版更新中)_02-数学-中考总复习_2026年中考复习(更新中)_好题汇编三年(2023-2025)中考数学真题分类汇编(全国通用)
专题26几何压轴综合(全国通用)(解析版)_02中考总复习(2026版更新中)_02-数学-中考总复习_2026年中考复习(更新中)_好题汇编三年(2023-2025)中考数学真题分类汇编(全国通用)
专题26几何压轴综合(全国通用)(解析版)_02中考总复习(2026版更新中)_02-数学-中考总复习_2026年中考复习(更新中)_好题汇编三年(2023-2025)中考数学真题分类汇编(全国通用)
专题26几何压轴综合(全国通用)(解析版)_02中考总复习(2026版更新中)_02-数学-中考总复习_2026年中考复习(更新中)_好题汇编三年(2023-2025)中考数学真题分类汇编(全国通用)
专题26几何压轴综合(全国通用)(解析版)_02中考总复习(2026版更新中)_02-数学-中考总复习_2026年中考复习(更新中)_好题汇编三年(2023-2025)中考数学真题分类汇编(全国通用)
专题26几何压轴综合(全国通用)(解析版)_02中考总复习(2026版更新中)_02-数学-中考总复习_2026年中考复习(更新中)_好题汇编三年(2023-2025)中考数学真题分类汇编(全国通用)
专题26几何压轴综合(全国通用)(解析版)_02中考总复习(2026版更新中)_02-数学-中考总复习_2026年中考复习(更新中)_好题汇编三年(2023-2025)中考数学真题分类汇编(全国通用)
专题26几何压轴综合(全国通用)(解析版)_02中考总复习(2026版更新中)_02-数学-中考总复习_2026年中考复习(更新中)_好题汇编三年(2023-2025)中考数学真题分类汇编(全国通用)
专题26几何压轴综合(全国通用)(解析版)_02中考总复习(2026版更新中)_02-数学-中考总复习_2026年中考复习(更新中)_好题汇编三年(2023-2025)中考数学真题分类汇编(全国通用)
专题26几何压轴综合(全国通用)(解析版)_02中考总复习(2026版更新中)_02-数学-中考总复习_2026年中考复习(更新中)_好题汇编三年(2023-2025)中考数学真题分类汇编(全国通用)
专题26几何压轴综合(全国通用)(解析版)_02中考总复习(2026版更新中)_02-数学-中考总复习_2026年中考复习(更新中)_好题汇编三年(2023-2025)中考数学真题分类汇编(全国通用)
专题26几何压轴综合(全国通用)(解析版)_02中考总复习(2026版更新中)_02-数学-中考总复习_2026年中考复习(更新中)_好题汇编三年(2023-2025)中考数学真题分类汇编(全国通用)
专题26几何压轴综合(全国通用)(解析版)_02中考总复习(2026版更新中)_02-数学-中考总复习_2026年中考复习(更新中)_好题汇编三年(2023-2025)中考数学真题分类汇编(全国通用)
专题26几何压轴综合(全国通用)(解析版)_02中考总复习(2026版更新中)_02-数学-中考总复习_2026年中考复习(更新中)_好题汇编三年(2023-2025)中考数学真题分类汇编(全国通用)
专题26几何压轴综合(全国通用)(解析版)_02中考总复习(2026版更新中)_02-数学-中考总复习_2026年中考复习(更新中)_好题汇编三年(2023-2025)中考数学真题分类汇编(全国通用)
专题26几何压轴综合(全国通用)(解析版)_02中考总复习(2026版更新中)_02-数学-中考总复习_2026年中考复习(更新中)_好题汇编三年(2023-2025)中考数学真题分类汇编(全国通用)
专题26几何压轴综合(全国通用)(解析版)_02中考总复习(2026版更新中)_02-数学-中考总复习_2026年中考复习(更新中)_好题汇编三年(2023-2025)中考数学真题分类汇编(全国通用)
专题26几何压轴综合(全国通用)(解析版)_02中考总复习(2026版更新中)_02-数学-中考总复习_2026年中考复习(更新中)_好题汇编三年(2023-2025)中考数学真题分类汇编(全国通用)
专题26几何压轴综合(全国通用)(解析版)_02中考总复习(2026版更新中)_02-数学-中考总复习_2026年中考复习(更新中)_好题汇编三年(2023-2025)中考数学真题分类汇编(全国通用)
专题26几何压轴综合(全国通用)(解析版)_02中考总复习(2026版更新中)_02-数学-中考总复习_2026年中考复习(更新中)_好题汇编三年(2023-2025)中考数学真题分类汇编(全国通用)
专题26几何压轴综合(全国通用)(解析版)_02中考总复习(2026版更新中)_02-数学-中考总复习_2026年中考复习(更新中)_好题汇编三年(2023-2025)中考数学真题分类汇编(全国通用)
专题26几何压轴综合(全国通用)(解析版)_02中考总复习(2026版更新中)_02-数学-中考总复习_2026年中考复习(更新中)_好题汇编三年(2023-2025)中考数学真题分类汇编(全国通用)
专题26几何压轴综合(全国通用)(解析版)_02中考总复习(2026版更新中)_02-数学-中考总复习_2026年中考复习(更新中)_好题汇编三年(2023-2025)中考数学真题分类汇编(全国通用)
专题26几何压轴综合(全国通用)(解析版)_02中考总复习(2026版更新中)_02-数学-中考总复习_2026年中考复习(更新中)_好题汇编三年(2023-2025)中考数学真题分类汇编(全国通用)
专题26几何压轴综合(全国通用)(解析版)_02中考总复习(2026版更新中)_02-数学-中考总复习_2026年中考复习(更新中)_好题汇编三年(2023-2025)中考数学真题分类汇编(全国通用)
专题26几何压轴综合(全国通用)(解析版)_02中考总复习(2026版更新中)_02-数学-中考总复习_2026年中考复习(更新中)_好题汇编三年(2023-2025)中考数学真题分类汇编(全国通用)
专题26几何压轴综合(全国通用)(解析版)_02中考总复习(2026版更新中)_02-数学-中考总复习_2026年中考复习(更新中)_好题汇编三年(2023-2025)中考数学真题分类汇编(全国通用)
专题26几何压轴综合(全国通用)(解析版)_02中考总复习(2026版更新中)_02-数学-中考总复习_2026年中考复习(更新中)_好题汇编三年(2023-2025)中考数学真题分类汇编(全国通用)
专题26几何压轴综合(全国通用)(解析版)_02中考总复习(2026版更新中)_02-数学-中考总复习_2026年中考复习(更新中)_好题汇编三年(2023-2025)中考数学真题分类汇编(全国通用)
专题26几何压轴综合(全国通用)(解析版)_02中考总复习(2026版更新中)_02-数学-中考总复习_2026年中考复习(更新中)_好题汇编三年(2023-2025)中考数学真题分类汇编(全国通用)
专题26几何压轴综合(全国通用)(解析版)_02中考总复习(2026版更新中)_02-数学-中考总复习_2026年中考复习(更新中)_好题汇编三年(2023-2025)中考数学真题分类汇编(全国通用)
专题26几何压轴综合(全国通用)(解析版)_02中考总复习(2026版更新中)_02-数学-中考总复习_2026年中考复习(更新中)_好题汇编三年(2023-2025)中考数学真题分类汇编(全国通用)
专题26几何压轴综合(全国通用)(解析版)_02中考总复习(2026版更新中)_02-数学-中考总复习_2026年中考复习(更新中)_好题汇编三年(2023-2025)中考数学真题分类汇编(全国通用)
专题26几何压轴综合(全国通用)(解析版)_02中考总复习(2026版更新中)_02-数学-中考总复习_2026年中考复习(更新中)_好题汇编三年(2023-2025)中考数学真题分类汇编(全国通用)
专题26几何压轴综合(全国通用)(解析版)_02中考总复习(2026版更新中)_02-数学-中考总复习_2026年中考复习(更新中)_好题汇编三年(2023-2025)中考数学真题分类汇编(全国通用)
专题26几何压轴综合(全国通用)(解析版)_02中考总复习(2026版更新中)_02-数学-中考总复习_2026年中考复习(更新中)_好题汇编三年(2023-2025)中考数学真题分类汇编(全国通用)
专题26几何压轴综合(全国通用)(解析版)_02中考总复习(2026版更新中)_02-数学-中考总复习_2026年中考复习(更新中)_好题汇编三年(2023-2025)中考数学真题分类汇编(全国通用)
专题26几何压轴综合(全国通用)(解析版)_02中考总复习(2026版更新中)_02-数学-中考总复习_2026年中考复习(更新中)_好题汇编三年(2023-2025)中考数学真题分类汇编(全国通用)
专题26几何压轴综合(全国通用)(解析版)_02中考总复习(2026版更新中)_02-数学-中考总复习_2026年中考复习(更新中)_好题汇编三年(2023-2025)中考数学真题分类汇编(全国通用)
专题26几何压轴综合(全国通用)(解析版)_02中考总复习(2026版更新中)_02-数学-中考总复习_2026年中考复习(更新中)_好题汇编三年(2023-2025)中考数学真题分类汇编(全国通用)
专题26几何压轴综合(全国通用)(解析版)_02中考总复习(2026版更新中)_02-数学-中考总复习_2026年中考复习(更新中)_好题汇编三年(2023-2025)中考数学真题分类汇编(全国通用)
专题26几何压轴综合(全国通用)(解析版)_02中考总复习(2026版更新中)_02-数学-中考总复习_2026年中考复习(更新中)_好题汇编三年(2023-2025)中考数学真题分类汇编(全国通用)
专题26几何压轴综合(全国通用)(解析版)_02中考总复习(2026版更新中)_02-数学-中考总复习_2026年中考复习(更新中)_好题汇编三年(2023-2025)中考数学真题分类汇编(全国通用)
专题26几何压轴综合(全国通用)(解析版)_02中考总复习(2026版更新中)_02-数学-中考总复习_2026年中考复习(更新中)_好题汇编三年(2023-2025)中考数学真题分类汇编(全国通用)
专题26几何压轴综合(全国通用)(解析版)_02中考总复习(2026版更新中)_02-数学-中考总复习_2026年中考复习(更新中)_好题汇编三年(2023-2025)中考数学真题分类汇编(全国通用)
专题26几何压轴综合(全国通用)(解析版)_02中考总复习(2026版更新中)_02-数学-中考总复习_2026年中考复习(更新中)_好题汇编三年(2023-2025)中考数学真题分类汇编(全国通用)
专题26几何压轴综合(全国通用)(解析版)_02中考总复习(2026版更新中)_02-数学-中考总复习_2026年中考复习(更新中)_好题汇编三年(2023-2025)中考数学真题分类汇编(全国通用)
专题26几何压轴综合(全国通用)(解析版)_02中考总复习(2026版更新中)_02-数学-中考总复习_2026年中考复习(更新中)_好题汇编三年(2023-2025)中考数学真题分类汇编(全国通用)
专题26几何压轴综合(全国通用)(解析版)_02中考总复习(2026版更新中)_02-数学-中考总复习_2026年中考复习(更新中)_好题汇编三年(2023-2025)中考数学真题分类汇编(全国通用)
专题26几何压轴综合(全国通用)(解析版)_02中考总复习(2026版更新中)_02-数学-中考总复习_2026年中考复习(更新中)_好题汇编三年(2023-2025)中考数学真题分类汇编(全国通用)
专题26几何压轴综合(全国通用)(解析版)_02中考总复习(2026版更新中)_02-数学-中考总复习_2026年中考复习(更新中)_好题汇编三年(2023-2025)中考数学真题分类汇编(全国通用)
专题26几何压轴综合(全国通用)(解析版)_02中考总复习(2026版更新中)_02-数学-中考总复习_2026年中考复习(更新中)_好题汇编三年(2023-2025)中考数学真题分类汇编(全国通用)
专题26几何压轴综合(全国通用)(解析版)_02中考总复习(2026版更新中)_02-数学-中考总复习_2026年中考复习(更新中)_好题汇编三年(2023-2025)中考数学真题分类汇编(全国通用)
专题26几何压轴综合(全国通用)(解析版)_02中考总复习(2026版更新中)_02-数学-中考总复习_2026年中考复习(更新中)_好题汇编三年(2023-2025)中考数学真题分类汇编(全国通用)
专题26几何压轴综合(全国通用)(解析版)_02中考总复习(2026版更新中)_02-数学-中考总复习_2026年中考复习(更新中)_好题汇编三年(2023-2025)中考数学真题分类汇编(全国通用)
专题26几何压轴综合(全国通用)(解析版)_02中考总复习(2026版更新中)_02-数学-中考总复习_2026年中考复习(更新中)_好题汇编三年(2023-2025)中考数学真题分类汇编(全国通用)
专题26几何压轴综合(全国通用)(解析版)_02中考总复习(2026版更新中)_02-数学-中考总复习_2026年中考复习(更新中)_好题汇编三年(2023-2025)中考数学真题分类汇编(全国通用)
专题26几何压轴综合(全国通用)(解析版)_02中考总复习(2026版更新中)_02-数学-中考总复习_2026年中考复习(更新中)_好题汇编三年(2023-2025)中考数学真题分类汇编(全国通用)
专题26几何压轴综合(全国通用)(解析版)_02中考总复习(2026版更新中)_02-数学-中考总复习_2026年中考复习(更新中)_好题汇编三年(2023-2025)中考数学真题分类汇编(全国通用)
专题26几何压轴综合(全国通用)(解析版)_02中考总复习(2026版更新中)_02-数学-中考总复习_2026年中考复习(更新中)_好题汇编三年(2023-2025)中考数学真题分类汇编(全国通用)
专题26几何压轴综合(全国通用)(解析版)_02中考总复习(2026版更新中)_02-数学-中考总复习_2026年中考复习(更新中)_好题汇编三年(2023-2025)中考数学真题分类汇编(全国通用)
专题26几何压轴综合(全国通用)(解析版)_02中考总复习(2026版更新中)_02-数学-中考总复习_2026年中考复习(更新中)_好题汇编三年(2023-2025)中考数学真题分类汇编(全国通用)
专题26几何压轴综合(全国通用)(解析版)_02中考总复习(2026版更新中)_02-数学-中考总复习_2026年中考复习(更新中)_好题汇编三年(2023-2025)中考数学真题分类汇编(全国通用)
专题26几何压轴综合(全国通用)(解析版)_02中考总复习(2026版更新中)_02-数学-中考总复习_2026年中考复习(更新中)_好题汇编三年(2023-2025)中考数学真题分类汇编(全国通用)
专题26几何压轴综合(全国通用)(解析版)_02中考总复习(2026版更新中)_02-数学-中考总复习_2026年中考复习(更新中)_好题汇编三年(2023-2025)中考数学真题分类汇编(全国通用)
专题26几何压轴综合(全国通用)(解析版)_02中考总复习(2026版更新中)_02-数学-中考总复习_2026年中考复习(更新中)_好题汇编三年(2023-2025)中考数学真题分类汇编(全国通用)
专题26几何压轴综合(全国通用)(解析版)_02中考总复习(2026版更新中)_02-数学-中考总复习_2026年中考复习(更新中)_好题汇编三年(2023-2025)中考数学真题分类汇编(全国通用)
专题26几何压轴综合(全国通用)(解析版)_02中考总复习(2026版更新中)_02-数学-中考总复习_2026年中考复习(更新中)_好题汇编三年(2023-2025)中考数学真题分类汇编(全国通用)
专题26几何压轴综合(全国通用)(解析版)_02中考总复习(2026版更新中)_02-数学-中考总复习_2026年中考复习(更新中)_好题汇编三年(2023-2025)中考数学真题分类汇编(全国通用)
专题26几何压轴综合(全国通用)(解析版)_02中考总复习(2026版更新中)_02-数学-中考总复习_2026年中考复习(更新中)_好题汇编三年(2023-2025)中考数学真题分类汇编(全国通用)
专题26几何压轴综合(全国通用)(解析版)_02中考总复习(2026版更新中)_02-数学-中考总复习_2026年中考复习(更新中)_好题汇编三年(2023-2025)中考数学真题分类汇编(全国通用)
专题26几何压轴综合(全国通用)(解析版)_02中考总复习(2026版更新中)_02-数学-中考总复习_2026年中考复习(更新中)_好题汇编三年(2023-2025)中考数学真题分类汇编(全国通用)
专题26几何压轴综合(全国通用)(解析版)_02中考总复习(2026版更新中)_02-数学-中考总复习_2026年中考复习(更新中)_好题汇编三年(2023-2025)中考数学真题分类汇编(全国通用)
专题26几何压轴综合(全国通用)(解析版)_02中考总复习(2026版更新中)_02-数学-中考总复习_2026年中考复习(更新中)_好题汇编三年(2023-2025)中考数学真题分类汇编(全国通用)
专题26几何压轴综合(全国通用)(解析版)_02中考总复习(2026版更新中)_02-数学-中考总复习_2026年中考复习(更新中)_好题汇编三年(2023-2025)中考数学真题分类汇编(全国通用)
专题26几何压轴综合(全国通用)(解析版)_02中考总复习(2026版更新中)_02-数学-中考总复习_2026年中考复习(更新中)_好题汇编三年(2023-2025)中考数学真题分类汇编(全国通用)
专题26几何压轴综合(全国通用)(解析版)_02中考总复习(2026版更新中)_02-数学-中考总复习_2026年中考复习(更新中)_好题汇编三年(2023-2025)中考数学真题分类汇编(全国通用)
专题26几何压轴综合(全国通用)(解析版)_02中考总复习(2026版更新中)_02-数学-中考总复习_2026年中考复习(更新中)_好题汇编三年(2023-2025)中考数学真题分类汇编(全国通用)
专题26几何压轴综合(全国通用)(解析版)_02中考总复习(2026版更新中)_02-数学-中考总复习_2026年中考复习(更新中)_好题汇编三年(2023-2025)中考数学真题分类汇编(全国通用)
专题26几何压轴综合(全国通用)(解析版)_02中考总复习(2026版更新中)_02-数学-中考总复习_2026年中考复习(更新中)_好题汇编三年(2023-2025)中考数学真题分类汇编(全国通用)
专题26几何压轴综合(全国通用)(解析版)_02中考总复习(2026版更新中)_02-数学-中考总复习_2026年中考复习(更新中)_好题汇编三年(2023-2025)中考数学真题分类汇编(全国通用)
专题26几何压轴综合(全国通用)(解析版)_02中考总复习(2026版更新中)_02-数学-中考总复习_2026年中考复习(更新中)_好题汇编三年(2023-2025)中考数学真题分类汇编(全国通用)
专题26几何压轴综合(全国通用)(解析版)_02中考总复习(2026版更新中)_02-数学-中考总复习_2026年中考复习(更新中)_好题汇编三年(2023-2025)中考数学真题分类汇编(全国通用)
专题26几何压轴综合(全国通用)(解析版)_02中考总复习(2026版更新中)_02-数学-中考总复习_2026年中考复习(更新中)_好题汇编三年(2023-2025)中考数学真题分类汇编(全国通用)
专题26几何压轴综合(全国通用)(解析版)_02中考总复习(2026版更新中)_02-数学-中考总复习_2026年中考复习(更新中)_好题汇编三年(2023-2025)中考数学真题分类汇编(全国通用)
专题26几何压轴综合(全国通用)(解析版)_02中考总复习(2026版更新中)_02-数学-中考总复习_2026年中考复习(更新中)_好题汇编三年(2023-2025)中考数学真题分类汇编(全国通用)
专题26几何压轴综合(全国通用)(解析版)_02中考总复习(2026版更新中)_02-数学-中考总复习_2026年中考复习(更新中)_好题汇编三年(2023-2025)中考数学真题分类汇编(全国通用)
专题26几何压轴综合(全国通用)(解析版)_02中考总复习(2026版更新中)_02-数学-中考总复习_2026年中考复习(更新中)_好题汇编三年(2023-2025)中考数学真题分类汇编(全国通用)
专题26几何压轴综合(全国通用)(解析版)_02中考总复习(2026版更新中)_02-数学-中考总复习_2026年中考复习(更新中)_好题汇编三年(2023-2025)中考数学真题分类汇编(全国通用)
专题26几何压轴综合(全国通用)(解析版)_02中考总复习(2026版更新中)_02-数学-中考总复习_2026年中考复习(更新中)_好题汇编三年(2023-2025)中考数学真题分类汇编(全国通用)
专题26几何压轴综合(全国通用)(解析版)_02中考总复习(2026版更新中)_02-数学-中考总复习_2026年中考复习(更新中)_好题汇编三年(2023-2025)中考数学真题分类汇编(全国通用)
专题26几何压轴综合(全国通用)(解析版)_02中考总复习(2026版更新中)_02-数学-中考总复习_2026年中考复习(更新中)_好题汇编三年(2023-2025)中考数学真题分类汇编(全国通用)
专题26几何压轴综合(全国通用)(解析版)_02中考总复习(2026版更新中)_02-数学-中考总复习_2026年中考复习(更新中)_好题汇编三年(2023-2025)中考数学真题分类汇编(全国通用)
专题26几何压轴综合(全国通用)(解析版)_02中考总复习(2026版更新中)_02-数学-中考总复习_2026年中考复习(更新中)_好题汇编三年(2023-2025)中考数学真题分类汇编(全国通用)
专题26几何压轴综合(全国通用)(解析版)_02中考总复习(2026版更新中)_02-数学-中考总复习_2026年中考复习(更新中)_好题汇编三年(2023-2025)中考数学真题分类汇编(全国通用)
专题26几何压轴综合(全国通用)(解析版)_02中考总复习(2026版更新中)_02-数学-中考总复习_2026年中考复习(更新中)_好题汇编三年(2023-2025)中考数学真题分类汇编(全国通用)

文档信息

文档格式
docx
文档大小
17.685 MB
文档页数
121 页
上传时间
2026-03-09 03:30:18

文档内容

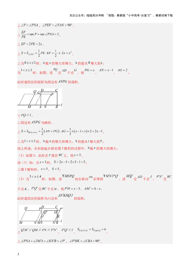
关注公众号:陆陆高分冲刺 ~领取:最新版“小中高考-总复习”、最新试卷下载 专题 26 几何压轴综合 考点 01 平移 1.(2025·广西·中考真题)综合与实践 树人中学组织一次“爱心义卖”活动.九(5)班分配到了一块矩形义卖区和一把遮阳伞,遮阳伞在地面 上的投影是一个平行四边形(如图1) 初始时,矩形义卖区 与遮阳伞投影 的平面图如图2所示, 在 上, , , , , ,由于场地限制,参加义卖的同学只能左右平移遮阳伞.在 移动过程中, 也随之移动( 始终在 边所在直线 上),且形状大小保持不变,但落在义卖 区内的部分(遮阳区)会呈现不同的形状.如图3为 移动到 落在 上的情形. 【问题提出】 西西同学打算用数学方法,确定遮阳区面积最大时 的位置. 设遮阳区的面积为 , 从初始时向右移动的距离为 . 【直观感知】(1)从初始起右移至图3情形的过程中, 随 的增大如何变化? 【初步探究】(2)求图3情形的 与 的值; 【深入研究】(3)从图3情形起右移至 与 重合,求该过程中 关于 的解析式; 1关注公众号:陆陆高分冲刺 ~领取:最新版“小中高考-总复习”、最新试卷下载 【问题解决】(4)当遮阳区面积最大时, 向右移动了多少?(直接写出结果) 【答案】(1) 随 的增大而增大;(2) , ;(3) ;(4) 【分析】(1)根据矩形的性质得 ,根据平行四边形的面积公式得 , 然后分别求出当 时,当 时, 关于 的解析式,即可得出结论; (2)根据(1)的结论可得答案; (3)当 时,如图,设 向右移动 后得到 ,设 交 于点 , 交 于点 , 交 于点 ,则 , , 此时遮阳区的面积为六边形 的面积,推出 , ,得 , ,再根据 即可得出结论; (4)分别确定:当 时,当 时,当 时,各个范围内 的最大值,即可得出结论. 【详解】解:(1)∵四边形 是矩形,四边形 是平行四边形, , , , 在 边所在直线 上, ∴ , , , 又∵如图2, 在 上, , , ∴ , , 当 时,如图,设 交 于点 , 交 于点 ,则 , 此时遮阳区的面积为 的面积, ∵ , 2关注公众号:陆陆高分冲刺 ~领取:最新版“小中高考-总复习”、最新试卷下载 ∴ , , ∴ , ∴ , ∴ , ∴当 时, 随 的增大而增大, 的值从 增大到 ; 当 时,如图,设 交 于点 ,则 , , , 此时遮阳区的面积为四边形 的面积, ∵ , ∴四边形 为梯形, ∴ , ∴当 时, 随 的增大而增大, 的值从 增大到 ; 综上所述,从初始起右移至图3情形的过程中, 随 的增大而增大; (2)如图3,此时点 落在 上,则 , 由(1)知:当 时, ; ∴图3情形时, , ; (3)当 时,如图,设 向右移动 后得到 ,设 交 于点 , 交 于点 , 交 于点 ,则 , , 此时遮阳区的面积为六边形 的面积, ∴ , , , ∴ , , 3关注公众号:陆陆高分冲刺 ~领取:最新版“小中高考-总复习”、最新试卷下载 ∴ , , ∴ , , ∴ , ∴从图3情形起右移至 与 重合,该过程中 关于 的解析式为 ; (4)当 时, , 当 时, 的最大值为: ; 当 时, , 当 时, 的最大值为: ; 当 时, , ∵ ∴当 时, 的最大值为: , 综上所述,当 时, 取得最大值,最大值为 , ∴当遮阳区面积最大时, 向右移动了 . 【点睛】本题考查平移的性质,矩形的性质,平行四边形的性质,锐角三角函数的定义,列函数关系式, 二次函数的最值,等积变换等知识点,利用分类讨论的思想及数形结合的思想解决问题是解题的关键. 2.(2023·河北·中考真题)在平面直角坐标系中,设计了点的两种移动方式:从点 移动到点 称为一次甲方式:从点 移动到点 称为一次乙方式. 4关注公众号:陆陆高分冲刺 ~领取:最新版“小中高考-总复习”、最新试卷下载 例、点P从原点O出发连续移动2次;若都按甲方式,最终移动到点 ;若都按乙方式,最终移动 到点 ;若按1次甲方式和1次乙方式,最终移动到点 . (1)设直线 经过上例中的点 ,求 的解析式;并直接写出将 向上平移9个单位长度得到的直线 的 解析式; (2)点P从原点O出发连续移动10次,每次移动按甲方式或乙方式,最终移动到点 .其中,按甲方 式移动了m次. ①用含m的式子分别表示 ; ②请说明:无论m怎样变化,点Q都在一条确定的直线上.设这条直线为 ,在图中直接画出 的图象; (3)在(1)和(2)中的直线 上分别有一个动点 ,横坐标依次为 ,若A,B,C三点始终 在一条直线上,直接写出此时a,b,c之间的关系式. 【答案】(1) 的解析式为 ; 的解析式为 ; (2)① ;② 的解析式为 ,图象见解析; (3) 【分析】(1)根据待定系数法即可求出 的解析式,然后根据直线平移的规律:上加下减即可求出直线 的解析式; 5关注公众号:陆陆高分冲刺 ~领取:最新版“小中高考-总复习”、最新试卷下载 (2)①根据题意可得:点P按照甲方式移动m次后得到的点的坐标为 ,再得出点 按照乙 方式移动 次后得到的点的横坐标和纵坐标,即得结果; ②由①的结果可得直线 的解析式,进而可画出函数图象; (3)先根据题意得出点A,B,C的坐标,然后利用待定系数法求出直线 的解析式,再把点C的坐标 代入整理即可得出结果. 【详解】(1)设 的解析式为 ,把 、 代入,得 ,解得: , ∴ 的解析式为 ; 将 向上平移9个单位长度得到的直线 的解析式为 ; (2)①∵点P按照甲方式移动了m次,点P从原点O出发连续移动10次, ∴点P按照乙方式移动了 次, ∴点P按照甲方式移动m次后得到的点的坐标为 ; ∴点 按照乙方式移动 次后得到的点的横坐标为 ,纵坐标为 , ∴ ; ②由于 , ∴直线 的解析式为 ; 函数图象如图所示: 6关注公众号:陆陆高分冲刺 ~领取:最新版“小中高考-总复习”、最新试卷下载 (3)∵点 的横坐标依次为 ,且分别在直线 上, ∴ , 设直线 的解析式为 , 把A、B两点坐标代入,得 ,解得: , ∴直线 的解析式为 , ∵A,B,C三点始终在一条直线上, ∴ , 整理得: ; 即a,b,c之间的关系式为: . 【点睛】本题是一次函数和平移综合题,主要考查了平移的性质和一次函数的相关知识,正确理解题意、 熟练掌握平移的性质和待定系数法求一次函数的解析式是解题关键. 3.(2023·湖北十堰·中考真题)在某次数学探究活动中,小明将一张斜边为4的等腰直角三角形 硬纸片剪切成如图所示的四块(其中D,E,F分别为 , , 的中点,G,H分别 7关注公众号:陆陆高分冲刺 ~领取:最新版“小中高考-总复习”、最新试卷下载 为 , 的中点),小明将这四块纸片重新组合拼成四边形(相互不重叠,不留空隙),则所能拼成的 四边形中周长的最小值为 ,最大值为 . 【答案】 8 【分析】根据题意,可固定四边形 ,平移或旋转其它图形,组合成四边形,求出周长,判断最小值, 最大值. 【详解】 如图1, , , ∴四边形 周长= ; 如图2, ∴四边形 周长为 ; 8关注公众号:陆陆高分冲刺 ~领取:最新版“小中高考-总复习”、最新试卷下载 故答案为:最小值为8,最大值 . 【点睛】本题考查图形变换及勾股定理,通过平移、旋转组成满足要求的四边形是解题的关键. 考点 02 轴对称 1.(2025·山西·中考真题)综合与探究 问题情境:如图,在 纸片中, ,点D在边 上, .沿过点D的直线折叠该纸片, 使 的对应线段 与 平行,且折痕与边 交于点E,得到 ,然后展平. 猜想证明:(1)判断四边 的形状,并说明理由 拓展延伸:(2)如图,继续沿过点D的直线折叠该纸片,使点A的对应点 落在射线 上,且折痕与 边 交于点F,然后展平.连接 交边 于点G,连接 . ①若 ,判断 与 的位置关系,并说明理由; ②若 , , ,当 是以 为腰的等腰三角形时,请直接写出 的长 【答案】(1)四边形 是菱形,理由见解析;(2)① .理由见解析;②5或 【分析】(1)由折叠的性质可得 , ,再根据平行线的性质可得 ,进而得到 ,由等角对等边推出 ,从而证明 , 即可四边形 是菱形; (2)①由(1)推出 ,由折叠的性质得到 ,结合已知可得 , 进而推出 ,得到 ,再根据三角形内角和定理即可求出 ,即 9关注公众号:陆陆高分冲刺 ~领取:最新版“小中高考-总复习”、最新试卷下载 可得到 与 的位置关系;②分 是以 为腰 为底的等腰三角形和 是以 为腰 为底的等腰三角形两种情况讨论,如图,延长 交 于点H,设 交点为 ,利用三角形 相似的性质建立方程求解即可. 【详解】(1)解:四边形 是菱形,理由如下: 由折叠的性质可得 , , ∵ , ∴ , ∴ , ∴ , ∴ , ∴四边形 是菱形; (2)证明:① ,理由如下: 由(1)知四边形 是菱形, ∴ , 由折叠的性质得到 , ∵ , ∴ , ∴ , ∴ , ∵ , ∴ , ∴ ; 解:②∵ , , , ∴ , 当 是以 为腰 为底的等腰三角形时,如图,延长 交 于点H,设 交点为 , 则 , 10关注公众号:陆陆高分冲刺 ~领取:最新版“小中高考-总复习”、最新试卷下载 ∵ , , ∴ , ∴ , 由折叠的性质得 , , , ∴ , ∴ ; ∵ , ∴ ; ∵ , ∴ , ∴ , ∴ , ∵ , ∴ , ∴ , 设 , ∴ , ∵ , ∴ , ∴ ,即 , 11关注公众号:陆陆高分冲刺 ~领取:最新版“小中高考-总复习”、最新试卷下载 ∴ , ∴ , ∴ , ∵ , ∴ , ∴ , ∵ , ∴ , ∴ , ∴ , 解得: , ∴ ; 当 是以 为腰 为底的等腰三角形时,如图,则 , 同理得 , , 设 , ∴ , ∵ , ∴ , ∴ ,即 , ∴ , ∴ , ∴ , 12关注公众号:陆陆高分冲刺 ~领取:最新版“小中高考-总复习”、最新试卷下载 ∵ 是以 为腰 为底的等腰三角形, , ∴ , ∴ , ∴ , ∵ , ∴ , ∴ , ∴ , 解得: , ∴ ; 综上, 的长为 或 . 【点睛】本题考查折叠的性质,三角形全等的判定与性质,相似三角形的判定与性质,菱形的判定与性质, 三角形内角和定理,等腰三角形的性质,合理作出辅助线,构造三角形全等,结合分类讨论的思想是解题 的关键. 2.(2025·四川成都·中考真题)如图,在 中,点 在 边上,点 关于直线 的对称点 落在 内,射线 交射线 于点 ,交射线 于点 ,射线 交 边于点 . 【特例感知】 (1)如图1,当 时,点 在 延长线上,求证: ; 【问题探究】 (2)在(1)的条件下,若 , ,求 的长; 【拓展延伸】 13关注公众号:陆陆高分冲刺 ~领取:最新版“小中高考-总复习”、最新试卷下载 (3)如图2,当 时,点 在 边上,若 ,求 的值.(用含 的代数式表示) 【答案】(1)见解析;(2)4;(3) 【分析】(1)由折叠的性质得: ,再结合平行四边形的性质可得 , 然后根据三角形内角和定理可得 ,即可求证; (2)根据全等三角形的性质可得 ,从而得到 ,可证明 ,从而得到 ,再由折叠的性质得: ,再根据 ,可得 ,即可求 解; (3)延长 交于点 ,设 , ,证明 得出 ,证明 得出 ,证明 得出 ,进而求得 ,根据 得出 ,根据相似三角形的性质,即可求解. 【详解】解:(1)由折叠的性质得: , ∵四边形 是平行四边形, ∴ , ∴ , ∴ , ∵ , ∴ , ∵ , ∴ , ∵ , 14关注公众号:陆陆高分冲刺 ~领取:最新版“小中高考-总复习”、最新试卷下载 ∴ , 又∵ , ∴ ; (2)∵ , ∴ , ∵ , ∴ , ∵ , , ∴ , ∴ , 由折叠的性质得: , ∵四边形 是平行四边形, ∴ , , ∴ , ∴ , ∴ ,解得: , ∴ , ∴ ; (3)解:如图,延长 交于点 , 15关注公众号:陆陆高分冲刺 ~领取:最新版“小中高考-总复习”、最新试卷下载 设 , ∵ , ∴ , , ∴ , ∵折叠, ∴ ∵ ,即 ∴ ∴ 即 ∴ ∵四边形 是平行四边形, ∴ 又∵折叠, ∴ ∵ ∴ ∴ ∵ ∴ ∵ ∴ ∴ 16关注公众号:陆陆高分冲刺 ~领取:最新版“小中高考-总复习”、最新试卷下载 又∵ ∴ ∴ 即 ∴ ∵ ∴ ∴ ∴ 解得: ∴ 又∵ ∴ ∴ . 【点睛】本题考查了平行四边形的性质,全等三角形的性质与判定,相似三角形的性质与判定,折叠的性 质,熟练掌握以上知识是解题的关键. 3.(2024·江苏连云港·中考真题)【问题情境】 (1)如图1,圆与大正方形的各边都相切,小正方形是圆的内接正方形,那么大正方形面积是小正方形面 积的几倍?小昕将小正方形绕圆心旋转45°(如图2),这时候就容易发现大正方形面积是小正方形面积的 __________倍.由此可见,图形变化是解决问题的有效策略; 17关注公众号:陆陆高分冲刺 ~领取:最新版“小中高考-总复习”、最新试卷下载 【操作实践】 (2)如图3,图①是一个对角线互相垂直的四边形,四边a、b、c、d之间存在某种数量关系.小昕按所 示步骤进行操作,并将最终图形抽象成图4.请你结合整个变化过程,直接写出图4中以矩形内一点P为 端点的四条线段之间的数量关系; 【探究应用】 (3)如图5,在图3中“④”的基础上,小昕将 绕点 逆时针旋转,他发现旋转过程中 存 在最大值.若 , ,当 最大时,求AD的长; (4)如图6,在 中, ,点D、E分别在边AC和BC上,连接DE、AE、BD.若 , ,求 的最小值. 【答案】(1)2(2) (3) (4) 【分析】(1)利用圆与正多边形的性质分别计算两个正方形的面积可得答案; (2)如图,由 ,证明 ,再结合图形变换可得答案; (3)如图,将 绕点 逆时针旋转,可得 在以 为圆心, 为半径的圆上运动,可得当 与 18关注公众号:陆陆高分冲刺 ~领取:最新版“小中高考-总复习”、最新试卷下载 相切时, 最大,再进一步解答即可; (4)如图,将 沿 对折, 的对应点为 ,将 沿 对折, 的对应点为 ,连接 , 再将 沿 方向平移,使 与 重合,如图,得 ,由(2)可得: , 当 三点共线时, 最短,再进一步解答即可. 【详解】解:如图, ∵正方形 , 及圆为正方形 的内切圆,为正方形 的外接正方形, ∴设 , , ∴ , , ∴ , , ∴大正方形面积是小正方形面积的2倍. (2)如图,∵ , ∴ , , , , ∴ , 如图, 19关注公众号:陆陆高分冲刺 ~领取:最新版“小中高考-总复习”、最新试卷下载 结合图形变换可得: ; (3)如图,∵将 绕点 逆时针旋转, ∴ 在以 为圆心, 为半径的圆上运动, ∵ 为圆外一个定点, ∴当 与 相切时, 最大, ∴ , ∴ , 由(2)可得: , ∵ , , ∴ , ∴ ; (4)如图,将 沿 对折, 的对应点为 ,将 沿 对折, 的对应点为 ,连接 , ∴ , , 20关注公众号:陆陆高分冲刺 ~领取:最新版“小中高考-总复习”、最新试卷下载 再将 沿 方向平移,使 与 重合,如图,得 , 由(2)可得: , ∴当 三点共线时, 最短, ∵ , , ∴ , , ∴ ; ∴ 的最小值为 ; 【点睛】本题考查的是勾股定理的应用,轴对称的性质,平移的性质,旋转的性质,圆与正多边形的关系, 切线的性质,作出合适的辅助线是解本题的关键. 4.(2023·内蒙古通辽·中考真题)综合与实践课上,老师让同学们以“正方形的折叠”为主题开展数学活 动,有一位同学操作过程如下: 操作一:对折正方形纸片 ,使 与 重合,得到折痕 ,把纸片展平; 操作二:在 上选一点P,沿 折叠,使点A落在正方形内部点M处,把纸片展平,连接 、 , 延长 交 于点Q,连接 . 21关注公众号:陆陆高分冲刺 ~领取:最新版“小中高考-总复习”、最新试卷下载 (1)如图1,当点M在 上时, ___________度; (2)改变点P在 上的位置(点P不与点A,D重合)如图2,判断 与 的数量关系,并说明 理由. 【答案】(1)30 (2) ,理由见解析 【分析】(1)由正方形的性质结合折叠的性质可得出 , ,进而可求出 ,即得出 ; (2)由正方形的性质结合折叠的性质可证 ,即得出 . 【详解】(1)解:∵对折正方形纸片 ,使 与 重合,得到折痕 , ∴ , . ∵在 上选一点P,沿 折叠,使点A落在正方形内部点M处, ∴ . 在 中, , ∴ . 故答案为: . (2)解:结论: ,理由如下: ∵四边形 是正方形, , . 由折叠可得: , , , . 22关注公众号:陆陆高分冲刺 ~领取:最新版“小中高考-总复习”、最新试卷下载 又 , , ∴ . 【点睛】本题主要考查正方形的性质、折叠的性质、解直角三角形、三角形全等的判定和性质、勾股定理 等知识点.熟练掌握上述知识并利用数形结合的思想是解题关键. 5.(2023·甘肃武威·中考真题)【模型建立】 (1)如图1, 和 都是等边三角形,点 关于 的对称点 在 边上. ①求证: ; ②用等式写出线段 , , 的数量关系,并说明理由. 【模型应用】 (2)如图2, 是直角三角形, , ,垂足为 ,点 关于 的对称点 在 边 上.用等式写出线段 , , 的数量关系,并说明理由. 【模型迁移】 (3)在(2)的条件下,若 , ,求 的值. 【答案】(1)①见解析;② ,理由见解析;(2) ,理由见解析;(3) 【分析】(1)①证明: ,再证明 即可;②由 和 关于 对 称,可得 .证明 ,从而可得结论; (2)如图,过点 作 于点 ,得 ,证明 , .可得 23关注公众号:陆陆高分冲刺 ~领取:最新版“小中高考-总复习”、最新试卷下载 ,证明 , ,可得 ,则 ,可 得 ,从而可得结论; (3)由 ,可得 ,结合 ,求解 , , 如图,过点 作 于点 .可得 , ,可得 ,再利用余弦的定义可得答案. 【详解】(1)①证明:∵ 和 都是等边三角形, ∴ , , , ∴ , ∴ , ∴ . ∴ . ② .理由如下: ∵ 和 关于 对称, ∴ . ∵ , ∴ . ∴ . 24关注公众号:陆陆高分冲刺 ~领取:最新版“小中高考-总复习”、最新试卷下载 (2) .理由如下: 如图,过点 作 于点 ,得 . ∵ 和 关于 对称, ∴ , . ∵ , ∴ , ∴ . ∴ . ∵ 是直角三角形, , ∴ , , ∴ , ∴ , ∴ , ∴ , ∴ , ∴ . ∴ ,即 . (3)∵ , 25关注公众号:陆陆高分冲刺 ~领取:最新版“小中高考-总复习”、最新试卷下载 ∴ , ∵ , ∴ , ∴ . 如图,过点 作 于点 . ∵ , ∴ , . ∴ . ∴ . 【点睛】本题考查的是全等三角形的判定与性质,等边三角形的性质,勾股定理的应用,轴对称的性质, 锐角三角函数的灵活应用,本题难度较高,属于中考压轴题,作出合适的辅助线是解本题的关键. 6.(2023·重庆·中考真题)在 中, , ,点 为线段 上一动点,连接 . 26关注公众号:陆陆高分冲刺 ~领取:最新版“小中高考-总复习”、最新试卷下载 (1)如图1,若 , ,求线段 的长. (2)如图2,以 为边在 上方作等边 ,点 是 的中点,连接 并延长,交 的延长线于点 . 若 ,求证: . (3)在 取得最小值的条件下,以 为边在 右侧作等边 .点 为 所在直线上一点,将 沿 所在直线翻折至 所在平面内得到 . 连接 ,点 为 的中点,连接 , 当 取最大值时,连接 ,将 沿 所在直线翻折至 所在平面内得到 ,请直接写出 此时 的值. 【答案】(1) (2)见解析 (3) 【分析】(1)解 ,求得 ,根据 即可求解; (2)延长 使得 ,连接 ,可得 ,根据 ,得出 四点共圆,则 , ,得出 ,结合已知条件得出 ,可得 ,即可得证; (3)在 取得最小值的条件下,即 ,设 ,则 , ,根据题意得出点 在以 为圆心, 为半径的圆上运动,取 的中点 ,连接 ,则 是 的中位线, 在半径为 的 上运动,当 取最大值时,即 三点共线时,此时如图,过点 作 于点 ,过点 作 于点 ,连接 ,交 于点 ,则四边形 是矩形,得出 是 的中位线,同 理可得 是 的中位线, 是等边三角形,将 沿 所在直线翻折至 所在平面内得 到 ,则 ,在 中,勾股定理求得 ,进而即可求解. 【详解】(1)解:在 中, , , 27关注公众号:陆陆高分冲刺 ~领取:最新版“小中高考-总复习”、最新试卷下载 ∴ , ∵ , ∴ ; (2)证明:如图所示,延长 使得 ,连接 , ∵ 是 的中点则 , , , ∴ , ∴ , ∴ , ∴ ∵ 是等边三角形, ∴ , ∵ , ∴ 四点共圆, ∴ , , ∴ , ∵ , ∴ , ∴ , ∴ ; (3)解:如图所示, 28关注公众号:陆陆高分冲刺 ~领取:最新版“小中高考-总复习”、最新试卷下载 在 取得最小值的条件下,即 , 设 ,则 , , ∴ , , ∵将 沿 所在直线翻折至 所在平面内得到 . ∴ ∴点 在以 为圆心, 为半径的圆上运动, 取 的中点 ,连接 , 则 是 的中位线, ∴ 在半径为 的 上运动, 当 取最大值时,即 三点共线时,此时如图,过点 作 于点 ,过点 作 于点 , ∵ 是 的中点, ∴ , ∴ 是等边三角形, 则 , 29关注公众号:陆陆高分冲刺 ~领取:最新版“小中高考-总复习”、最新试卷下载 ∴ , ∵ , , ∴ , ∴ , , ∵ , ∴ , 如图所示,连接 ,交 于点 ,则四边形 是矩形, ∴ , 是 的中点, ∴ 即 是 的中位线,同理可得 是 的中位线, ∴ , ∵ 是等边三角形,将 沿 所在直线翻折至 所在平面内得到 , ∴ ∴ 则 在 中, 30关注公众号:陆陆高分冲刺 ~领取:最新版“小中高考-总复习”、最新试卷下载 ∴ . 【点睛】本题考查了解直角三角形,全等三角形的性质与判定,等腰三角形的性质,三角形中位线的性质, 折叠的性质,圆外一点到圆上距离的最值问题,垂线段最短,矩形的性质,等边三角形的性质与判定,熟 练掌握以上知识是解题的关键. 考点 03 旋转 1.(2023·四川攀枝花·中考真题)如图1,在 中, , 沿 方向向左平移 得到 ,A、 对应点分别是 、 .点 是线段 上的一个动点,连接 ,将线段 绕点A逆 时针旋转至线段 ,使得 ,连接 . (1)当点 与点 重合时,求 的长; (2)如图2,连接 、 .在点 的运动过程中: ① 和 是否总是相等?若是,请你证明;若不是,请说明理由; ②当 的长为多少时, 能构成等腰三角形? 【答案】(1) (2)① ;② 的长为14或11或8或0 【分析】(1)根据平移的性质可得四边形 、四边形 是平行四边形,再由已知推导出 是 的平分线,由等腰三角形的性质可得 ,过 点作 交于 点,求出 ,再 31关注公众号:陆陆高分冲刺 ~领取:最新版“小中高考-总复习”、最新试卷下载 由 ,所以 ; (2)①证明 ,则 ; ②过点 作 交于 ,由等积法可得 ,求出 ,分三种情况讨论:当 时, ;当 点与 点重合时, ,此时 ,当 时, ,在 中, ,可得 ;当 时, ,过点 作 交于 ,所以 ,能求出 , ,则 ;当 时, ,当 点在 上时, ,此时 点与 点重合,此时 . 【详解】(1)解:当 点与 点重合时, , 由平移可知, , , 四边形 、四边形 是平行四边形, , , , , , , , , 是 的平分线, , , 如图1,过 点作 交于 点, , , , 32关注公众号:陆陆高分冲刺 ~领取:最新版“小中高考-总复习”、最新试卷下载 , ; (2)解:① ,理由如下: 如图2, , , , , ; ②如图2,过点 作 交于 , 由①可知 , , 当 时, , , , , 当 点与 点重合时, ,此时 , 当 时, ,在 中, , ; 当 时, , , , 过点 作 交于 , , , , , , 33关注公众号:陆陆高分冲刺 ~领取:最新版“小中高考-总复习”、最新试卷下载 , , ; 当 时, , , , , 当 点在 上时, ,此时 点与 点重合, ; 综上所述: 的长为14或11或8或0. 【点睛】本题考查几何变换的综合应用,熟练掌握三角形平移的性质,旋转的性质,三角形全等的判定及 性质,等腰三角形的性质,分类讨论是解题的关键. 2.(2023·山东淄博·中考真题)在数学综合与实践活动课上,小红以“矩形的旋转”为主题开展探究活动. (1)操作判断 小红将两个完全相同的矩形纸片 和 拼成“L”形图案,如图①. 试判断: 的形状为________. (2)深入探究 小红在保持矩形 不动的条件下,将矩形 绕点 旋转,若 , . 探究一:当点 恰好落在 的延长线上时,设 与 相交于点 ,如图②.求 的面积. 探究二:连接 ,取 的中点 ,连接 ,如图③. 求线段 长度的最大值和最小值. 34关注公众号:陆陆高分冲刺 ~领取:最新版“小中高考-总复习”、最新试卷下载 【答案】(1)等腰直角三角形 (2)探究一: ;探究二:线段 长度的最大值为 ,最小值为 【分析】(1)由 ,可知 是等腰三角形,再由 ,推导出 , 即可判断出 是等腰直角三角形, (2)探究一:证明 ,可得 ,再由等腰三角形的性质可得 ,在 中,勾股定理列出方程 ,解得 ,即可求 的面积; 探究二:连接 ,取 的中点 ,连接 ,取 、 的中点为 、 ,连接 , , , 分别得出四边形 是平行四边形,四边形 是平行四边形,则 ,可知 点在以 为直径的圆上,设 的中点为 , ,即可得出 的最大值与最小值. 【详解】(1)解: 两个完全相同的矩形纸片 和 , , 是等腰三角形, , . , , , ∵ , ∴ , ∴ , , , 35关注公众号:陆陆高分冲刺 ~领取:最新版“小中高考-总复习”、最新试卷下载 , 是等腰直角三角形, 故答案为:等腰直角三角形; (2)探究一: , , , , , , , , , , , 在 中, , , 解得 , , 的面积 ; 探究二:连接 ,取 的中点 ,连接 , ,取 、 的中点为 、 ,连接 , , , 是 的中点, ,且 , , , , ,且 , 四边形 是平行四边形, 36关注公众号:陆陆高分冲刺 ~领取:最新版“小中高考-总复习”、最新试卷下载 , , , , , , 四边形 是平行四边形, , , 点在以 为直径的圆上, 设 的中点为 , , 的最大值为 ,最小值为 . 【点睛】本题考查四边形的综合应用,熟练掌握矩形的性质,直角三角形的性质,三角形全等的判定及性 质,平行四边形的性质,圆的性质,能够确定H点的运动轨迹是解题的关键. 3.(2023·江苏南通·中考真题)正方形 中,点 在边 , 上运动(不与正方形顶点重合). 作射线 ,将射线 绕点 逆时针旋转45°,交射线 于点 . (1)如图,点 在边 上, ,则图中与线段 相等的线段是___________; (2)过点 作 ,垂足为 ,连接 ,求 的度数; (3)在(2)的条件下,当点 在边 延长线上且 时,求 的值. 【答案】(1) (2) 的度数为 或 (3) 【分析】(1)根据正方形的性质和已知条件得到 ,即可得到答案; 37关注公众号:陆陆高分冲刺 ~领取:最新版“小中高考-总复习”、最新试卷下载 (2)当点 在边 上时,过点 作 ,垂足为 ,延长 交 于点 ,证明 ,得到 ,推出 为等腰直角三角形,得到答案; 当点 在边 上时,过点 作 ,垂足为 ,延长 交 延长线于点 ,则四边形 是矩形,同理得到 ,得到 为等腰直角三角形得到答案; (3)由平行的性质得到分线段成比例 . 【详解】(1) . 正方形 , , , , . (2)解:①当点 在边 上时(如图), 过点 作 ,垂足为 ,延长 交 于点 . , 四边形 是矩形. . , , , 为等腰直角三角形, . . . . , . 为等腰直角三角形, . . 38关注公众号:陆陆高分冲刺 ~领取:最新版“小中高考-总复习”、最新试卷下载 ②当点 在边 上时(如图), 过点 作 ,垂足为 ,延长 交 延长线于点 ,则四边形 是矩形, 同理, . . 为等腰直角三角形, . . 综上, 的度数为45°或135°. (3)解:当点 在边 延长线上时,点 在边 上(如图), 设 ,则 . . . , . 【点睛】本题考查了全等三角形的判定和性质,平行线的性质,熟练掌握平行线的分线段成比例以及全等 39关注公众号:陆陆高分冲刺 ~领取:最新版“小中高考-总复习”、最新试卷下载 三角形的判定和性质是解题的关键. 4.(2025·贵州·中考真题)如图,在菱形 中, ,点 为线段 上一动点,点 为射线 上的一点(点 与点 不重合). 【问题解决】 (1)如图①,若点 与线段 的中点 重合,则 度,线段 与线段 的位置关系是 ; 【问题探究】 (2)如图②,在点 运动过程中,点 在线段 上,且 ,探究线段 与线段 的数量关系,并说明理由; 【拓展延伸】 (3)在点 运动过程中,将线段 绕点 逆时针旋转 得到 ,射线 交射线 于点 ,若 ,求 的长. 【答案】(1) , ;(2) ,理由见解析;(3) 的长为 或 . 【分析】(1)根据菱形的性质证明 为等边三角形,再结合等边三角形的性质可得答案; (2)如图,把 绕 顺时针旋转 得到 ,证明 为等边三角形,可得 , ,求解 , , ,可得 ,进一步可得结论; (3)如图,当 在线段 上,记 与 交于点 ,证明 ,可得 ,设 , 则 ,可得 ,证明 ,再进一步解答即可;如图,当 在线段 上时, 延长 交 于 ,同理可得: ,设 ,而 ,则 ,可 得 ,证明 ,再进一步可得答案. 40关注公众号:陆陆高分冲刺 ~领取:最新版“小中高考-总复习”、最新试卷下载 【详解】解:(1)∵在菱形 中, ∴ , ∵ , ∴ 为等边三角形, ∵点 与线段 的中点 重合, ∴ , ; (2)如图,把 绕 顺时针旋转 得到 , ∴ , , , ∴ 为等边三角形, ∴ , , ∵点 在线段 上,且 , ∴ , , ∴ , , ∴ , ∴ , ∴ ; (3)如图,当 在线段 上,记 与 交于点 , 41关注公众号:陆陆高分冲刺 ~领取:最新版“小中高考-总复习”、最新试卷下载 ∵ , ∴ , ∵ , ∴ , ∴ , ∴ , 设 ,则 , ∴ , ∴ , ∴ , ∵ , ∴ , ∴ , ∴ , ∵ 为等边三角形, ∴ , ∴ , 如图,当 在线段 上时,延长 交 于 , 42关注公众号:陆陆高分冲刺 ~领取:最新版“小中高考-总复习”、最新试卷下载 同理可得: , , ∴ , 设 ,而 ,则 , ∴ , ∴ , 同理: , ∴ , ∴ , 综上: 的长为 或 . 【点睛】本题考查的是等边三角形的判定与性质,菱形的性质,旋转的性质,相似三角形的判定与性质, 含30角的直角三角形的性质,本题的难度大,作出合适的辅助线是解本题的关键. 5.(2025·吉林长春·中考真题)如图,在 中, , ,点 为边 的中点,点 为边 上一动点,连接 .将线段 绕点 顺时针旋转 得到线段 . (1)线段 的长为 ; (2)当 时,求 的长; (3)当点 在边 上时,求证: ; (4)当点 到 的距离是点 到 距离的2倍时,直接写出 的长. 【答案】(1) (2) (3)证明见解析 (4) 的长为 或 . 【分析】(1)利用勾股定理计算即可; 43关注公众号:陆陆高分冲刺 ~领取:最新版“小中高考-总复习”、最新试卷下载 (2)如图,求解 , ,证明 ,结合 ,可得 ,再进一步求解即可; (3)证明 ,结合 , ,从而可得结论; (4)如图,当 在 的左边时,结合题意可得: , , ,过 作 于 ,过 作 于 ,可得 ,结合(1)可得: ,证明 ,可得 ,再进一步解得即可;如图,当 在 的右边时,过 作 于 ,过 作 于 ,同法可得答案. 【详解】(1)解:∵在 中, , , ∴ ; (2)解:如图,在 中, , ,点 为边 的中点, ∴ , , ∵ , ∴ ,而 , ∴ , ∴ ; (3)证明:∵旋转, ∴ , 如图,∵ , , ∴ , 44关注公众号:陆陆高分冲刺 ~领取:最新版“小中高考-总复习”、最新试卷下载 ∵ , , ∴ ; (4)解:如图,当 在 的左边时,结合题意可得: , , , 过 作 于 ,过 作 于 , ∴四边形 为矩形, ∴ , 结合(1)可得: , ∵ , , ∴ , ∴ , ∵ , ∴ , ∴ , ∵ , ∴ , ∵ , ∴ , ∴ , 45关注公众号:陆陆高分冲刺 ~领取:最新版“小中高考-总复习”、最新试卷下载 ∴ , ∴ , ∴ ; 如图,当 在 的右边时,过 作 于 ,过 作 于 , 同理: , 四边形四边形 为矩形, ∴ , ∵ , ∴ , ∴ , , 同理可得: , , ∴ ; 综上: 的长为 或 . 【点睛】本题考查的是等腰三角形的性质,勾股定理的应用,旋转的性质,全等三角形的判定与性质,矩 形的判定与性质,锐角三角函数的应用,作出合适的辅助线是解本题的关键. 6.(2025·江西·中考真题)综合与实践 从特殊到一般是研究数学问题的一般思路,综合实践小组以特殊四边形为背景就三角形的旋转放缩问题展 46关注公众号:陆陆高分冲刺 ~领取:最新版“小中高考-总复习”、最新试卷下载 开探究. 特例研究 在正方形 中, 相交于点O. (1)如图1, 可以看成是 绕点A逆时针旋转并放大k倍得到,此时旋转角的度数为 ________,k的值为________; (2)如图2,将 绕点A逆时针旋转,旋转角为α,并放大得到 (点O,B的对应点分别为点 E,F),使得点E落在 上,点F落在 上,求 的值 类比探究 (3)如图3,在菱形 中, ,O是 的垂直平分线与 的交点,将 绕点A逆时 针旋转,旋转角为α,并放缩得到 (点O,B的对应点分别为点E,F),使得点E落在 上,点 F落在 上.猜想 的值是否与α有关,并说明理由; (4)若(3)中 ,其余条件不变,探究 之间的数量关系(用含β的式子表示). 【答案】(1) ; ;(2) ;(3) 的值与α无关,理由见解析;(4) . 【分析】(1)利用正方形的性质结合旋转的性质求解即可; (2)由题意得 ,推出 , ,再得到 ,推出 ,根据正方形的性质求解即可; (3)同理可证 ,得到 ,根据线段垂直平分线的性质求得 ,再根据余 弦函数的定义求解即可; 47关注公众号:陆陆高分冲刺 ~领取:最新版“小中高考-总复习”、最新试卷下载 (4)同理可证, , ,根据 ,求解即可. 【详解】解:(1)∵正方形 , ∴ , , ∴旋转角为 , , 故答案为: ; ; (2)如图, 根据题意得 , ∴ , , ∴ , , ∴ , ∴ , ∵ , , ∴ , ∴ ; (3) 的值与α无关,理由如下, 如图, 48关注公众号:陆陆高分冲刺 ~领取:最新版“小中高考-总复习”、最新试卷下载 同理可证 , ∴ , ∵菱形 中, , ∴ , ∵O是 的垂直平分线与 的交点, ∴ , ∴ , 过点 作 于点 , ∴ , , ∴ , ∴ , ∴ 的值与α无关; (3)同理可证, , , ∴ , , ∵ , ∴ , 即 . 【点睛】本题考查了旋转的性质,相似三角形的判定和性质,解直角三角形,线段垂直平分线的性质,正 方形和菱形的性质.解题的关键是灵活运用所学知识解决问题. 7.(2025·湖北·中考真题)在 中, ,将 绕点 旋转得到 ,点 的对应点 落在边 上,连接 . 49关注公众号:陆陆高分冲刺 ~领取:最新版“小中高考-总复习”、最新试卷下载 (1)如图1,求证: ; (2)如图2,当 时,求 的长; (3)如图3,过点 作 的平行线交 的延长线于点 ,过点 作 的平行线交 于点G, 与 交于点 . ①求证: ; ②当 时,直接写出 的值. 【答案】(1)见解析 (2) (3)①见解析;② 【分析】(1)根据旋转可得 ,则 ,即可证明 . (2)根据 , ,可得 ,即可得出 ,过 作 ,则 ,即 ,在 中勾股定理求出 ,则 ,在 中勾股定理求出 ,根据 ,得出 ,即可求出 . (3)①设旋转角为 ,则 ,根据等腰三角形的性质和三角形内角和 定理即可得出 , ,根据 ,得出 , ,即可得 ,根据 ,得出 50关注公众号:陆陆高分冲刺 ~领取:最新版“小中高考-总复习”、最新试卷下载 ,即可得 ,证明 ,得出 ,结合 ,得出 ; ②根据 ,设 ,证明四边形 是平行四边形,得出 ,由①得 ,在 中,勾股定理得出 ,则 ,则 ,根据 ,得出 , 根据 ,得出 ,证明 , ,则 ,求出 ,由①可得 ,得出 ,证出 点 四点共圆,根据圆周角定理得出 ,证明 ,得出 ,设 ,则 ,根据旋 转可得 ,则 ,联立 求出 ,再根据 即可求解. 【详解】(1)证明:∵将 绕点 旋转得到 ,点 的对应点 落在边 上, ∴ , ∴ , ∴ . (2)解:∵ , , ∴ , ∴ , 过 作 , 51关注公众号:陆陆高分冲刺 ~领取:最新版“小中高考-总复习”、最新试卷下载 ∴ , ∴ , 在 中 , 即 , 解得: , (舍去), ∴ , 在 中 , ∴ , ∵ , ∴ , 即 , ∴ . (3)①证明:设旋转角为 , 则 , ∴ , , ∵ , 52关注公众号:陆陆高分冲刺 ~领取:最新版“小中高考-总复习”、最新试卷下载 ∴ , ∴ , ∴ , ∵ , ∴ , ∴ , ∴ , ∵ , ∴ , ∴ , ∵ , ∴ ; ②解:∵ , ∴设 , ∵ , ∴四边形 是平行四边形, ∴ , 由①得 , 在 中, , ∴ , ∴ , ∴ , ∵ , ∴ , 53关注公众号:陆陆高分冲刺 ~领取:最新版“小中高考-总复习”、最新试卷下载 ∵ , ∴ , 即 , 即 , ∴ , ∴ , ∴ , 即 , ∴ , 由①可得 , ∴ , ∴点 四点共圆, ∴ , ∵ , ∴ , ∴ , 设 , 则 , 根据旋转可得 , ∴ , 联立 可得 , 54关注公众号:陆陆高分冲刺 ~领取:最新版“小中高考-总复习”、最新试卷下载 ∴ . 【点睛】该题考查了相似三角形的性质和判定,全等三角形的性质和判定,勾股定理,旋转的性质,圆周 角定理,圆内接四边形,解直角三角形,平行四边形的性质和判定等知识点,解题的关键是掌握以上知识 点,证明三角形相似. 8.(2024·山东淄博·中考真题)在综合与实践活动课上,小明以“圆”为主题开展研究性学习. 【操作发现】 小明作出了 的内接等腰三角形 , .并在 边上任取一点 (不与点 , 重合),连 接 ,然后将 绕点 逆时针旋转得到 .如图① 小明发现: 与 的位置关系是__________,请说明理由: 【实践探究】 连接 ,与 相交于点 .如图②,小明又发现:当 确定时,线段 的长存在最大值. 请求出当 . 时, 长的最大值; 【问题解决】 在图②中,小明进一步发现:点 分线段 所成的比 与点 分线段 所成的比 始终相 等.请予以证明. 【答案】操作发现: 与 相切;实践探究: ;问题解决:见解析 【分析】操作发现:连接 并延长交 于点M,连接 ,根据直径所对圆周角为直角得到 ,根据旋转的性质得到 ,由圆周角定理推出 ,等量代换得到 ,利用直角三角形的性质即可证明 ,即可得出结论; 实践探究:证明 ,得到 ,结合三角形外角的性质得到 , 易证 ,得到 ,设 ,则 ,得到 55关注公众号:陆陆高分冲刺 ~领取:最新版“小中高考-总复习”、最新试卷下载 ,利用二次函是的性质即可求解; 问题解决:过点E作 交 于点N,由旋转的性质知: ,证明 ,推出 ,由旋转的性质得: , 得到 ,根据 ,易证 ,得到 ,即可证明结论. 【详解】操作发现: 解:连接 并延长交 于点M,连接 , 是 直径, , , 由旋转的性质得 , , , , 是 的半径, 与 相切; 实践探究: 解: 由旋转的性质得: , 即 , , , , , , , , 56关注公众号:陆陆高分冲刺 ~领取:最新版“小中高考-总复习”、最新试卷下载 , 设 ,则 , , , , 当 时, 有最大值为 ; 问题解决: 证明:过点E作 交 于点N, 由旋转的性质知: , , , , , 由旋转的性质得: , , , , , , , 57关注公众号:陆陆高分冲刺 ~领取:最新版“小中高考-总复习”、最新试卷下载 . 【点睛】本题考查圆周角定理,切线的证明,旋转的性质,三角形相似的判定与性质,二次函数最值的应 用,正确作出辅助线,构造三角形相似是解题的关键. 9.(2024·内蒙古通辽·中考真题)数学活动课上,某小组将一个含 的三角尺 利一个正方形纸板 如图1摆放,若 , .将三角尺 绕点 逆时针方向旋转 角,观察图 形的变化,完成探究活动. 【初步探究】 如图2,连接 , 并延长,延长线相交于点 交 于点 . 问题1 和 的数量关系是________,位置关系是_________. 【深入探究】 应用问题1的结论解决下面的问题. 问题2 如图3,连接 ,点 是 的中点,连接 , .求证 . 【尝试应用】 问题3 如图4,请直接写出当旋转角 从 变化到 时,点 经过路线的长度. 【答案】(1) ; ;(2)证明见解析;(3) 【分析】(1)如图,由四边形 是正方形, 是等腰直角三角形, ,证明 ,再进一步可得结论; (2)如图,由 , ,再结合直角三角形斜边上的中线的性质可得结论; (3)如图, 证明 在以 为圆心, 为半径的 上,过 作 于 ,当 时, 证明 ,可得 , ,证明四边形 是正方形,可得当旋转 58关注公众号:陆陆高分冲刺 ~领取:最新版“小中高考-总复习”、最新试卷下载 角 从 变化到 时, 在 上运动,再进一步解答即可; 【详解】解: ; ;理由如下: 如图,∵四边形 是正方形, ∴ , , ∵ 是等腰直角三角形, , ∴ , , ∴ , ∴ , ∴ , , ∵ , ∴ , ∴ ; (2)如图,∵四边形 是正方形, ∴ , ∵点 是 的中点, ∴ , ∵ , ∴ , 59关注公众号:陆陆高分冲刺 ~领取:最新版“小中高考-总复习”、最新试卷下载 ∵点 是 的中点, ∴ , ∴ ; (3)如图,∵ , , ∴ 在以 为圆心, 为半径的 上, 过 作 于 , 当 时, ∴ , , ∵ , ∴ , , ∴ , , ∴ , ∴ , ∴ , ∴ , 而 , , ∴四边形 是正方形, ∴当旋转角 从 变化到 时, 在 上运动, ∵ , , , 60关注公众号:陆陆高分冲刺 ~领取:最新版“小中高考-总复习”、最新试卷下载 ∴ , ∴点 经过路线的长度为 . 【点睛】本题考查的是正方形的性质与判定,旋转的性质,勾股定理的应用,含30度角的直角三角形的 性质,圆周角的应用,勾股定理的逆定理的应用,弧长的计算,作出合适的辅助线是解本题的关键. 10.(2024·广东·中考真题)【知识技能】 (1)如图1,在 中, 是 的中位线.连接 ,将 绕点D按逆时针方向旋转,得到 .当点E的对应点 与点A重合时,求证: . 【数学理解】 (2)如图2,在 中 , 是 的中位线.连接 ,将 绕点D按逆时针方向旋 转,得到 ,连接 , ,作 的中线 .求证: . 【拓展探索】 (3)如图3,在 中, ,点D在 上, .过点D作 ,垂足为E, , .在四边形 内是否存在点G,使得 ?若存在,请给出证明;若不 存在,请说明理由. 【答案】(1)证明见解析;(2)证明见解析;(3)存在,证明见解析 【分析】(1)根据中位线的性质、旋转的性质即可证明; (2)利用旋转的性质、外角定理、中位线的性质证明 后即可证明; (3)通过解直角三角形得到 , ,过点C作 于点M,易证 ,得到 61关注公众号:陆陆高分冲刺 ~领取:最新版“小中高考-总复习”、最新试卷下载 ,即可求得 ,进而 ,从而点M是 的中点,过点D作 ,交 于点P,连接 , , ,根据三线合一得 ,证明 ,即可求的 ,过点P作 于点N,则四边形 是矩形,得到 ,因此点N是 的中点,进而 ,再证 ,得到 ,根据 ,即可推出 ,因此当点G与点P重合 时,满足 . 【详解】证明:(1) 是 的中位线, 且 . 又 绕点D按逆时针方向旋转得到 . (2)由题意可知: , , . 作 ,则 且 , 又 , . 根据外角定理 , , . 62关注公众号:陆陆高分冲刺 ~领取:最新版“小中高考-总复习”、最新试卷下载 又 , 是 的中位线, , , , , , . (3)存在点 使得 . ∵ , ∴ , ∴在 中, , 过点C作 于点M, ∴ , ∵ , ∴ ∴ ,即 , ∴ , 63关注公众号:陆陆高分冲刺 ~领取:最新版“小中高考-总复习”、最新试卷下载 ∴ , ∵ , ∴ , ∴点M是 的中点, ∴ 是 的垂直平分线, 过点D作 ,交 于点P,连接 , , ∴ , ∴根据三线合一得 , ∵ , ∴ , ∵ , ∴ , ∴ ,即 , ∴ , 过点P作 于点N,则四边形 是矩形, ∴ , ∵ , ∴ , ∴点N是 的中点, ∴ 垂直平分 , ∴ , ∴ , ∵ , , 64关注公众号:陆陆高分冲刺 ~领取:最新版“小中高考-总复习”、最新试卷下载 ∴ , 又 , ∴ , ∴ , ∵ , ∴ 即 , ∴ , ∴当点G与点P重合时,满足 . 【点睛】本题考查了旋转的性质、中位线的性质、外角定理、相似三角形的判定与性质、勾股定理、解直 角三角形,熟练掌握知识点以及灵活运用是解题的关键. 11.(2024·四川乐山·中考真题)在一堂平面几何专题复习课上,刘老师先引导学生解决了以下问题: 【问题情境】 如图1,在 中, , ,点D、E在边 上,且 , , , 求 的长. 解:如图2,将 绕点A逆时针旋转 得到 ,连接 . 由旋转的特征得 , , , . ∵ , , ∴ . ∵ , ∴ ,即 . ∴ . 在 和 中, , , , 65关注公众号:陆陆高分冲刺 ~领取:最新版“小中高考-总复习”、最新试卷下载 ∴___①___. ∴ . 又∵ , ∴在 中,___②___. ∵ , , ∴ ___③___. 【问题解决】 上述问题情境中,“①”处应填:______;“②”处应填:______;“③”处应填:______. 刘老师进一步谈到:图形的变化强调从运动变化的观点来研究,只要我们抓住了变化中的不变量,就能以 不变应万变. 【知识迁移】 如图3,在正方形 中,点E、F分别在边 上,满足 的周长等于正方形 的周长的 一半,连结 ,分别与对角线 交于M、N两点.探究 的数量关系并证明. 【拓展应用】 如图4,在矩形 中,点E、F分别在边 上,且 .探究 的 数量关系:______(直接写出结论,不必证明). 66关注公众号:陆陆高分冲刺 ~领取:最新版“小中高考-总复习”、最新试卷下载 【问题再探】 如图5,在 中, , , ,点D、E在边 上,且 .设 , ,求y与x的函数关系式. 【答案】【问题解决】① ;② ;③5;【知识迁移】 ,见解析;【拓展应用】 ;【问题再探】 【分析】【问题解决】根据题中思路解答即可; 【知识迁移】如图,将 绕点 逆时针旋转 ,得到 .过点 作 交边 于点 , 连接 .由旋转的特征得 .结合题意得 .证明 ,得出 .根据正方形性质得出 .结合 ,得出 .证明 ,得 出 .证明 .得出 .在 中,根据勾股定理即可求 解; 【拓展应用】如图所示,设直线 交 延长线于 点,交 延长线于 点,将 绕着点 顺时 针旋转 ,得到 ,连接 .则 .则 , ,根据 ,证明 ,得出 ,过点H作 交 于点 67关注公众号:陆陆高分冲刺 ~领取:最新版“小中高考-总复习”、最新试卷下载 O,过点H作 交 于点M,则四边形 为矩形.得出 ,证明 是等腰直角三角形,得出 , ,在 中,根据勾股定理即可证明; 【问题再探】如图,将 绕点 逆时针旋转 ,得到 ,连接 .过点 作 ,垂足 为点 ,过点 作 ,垂足为 .过点 作 ,过点 作 交 于点 、 交于点 .由旋转的特征得 .根据 ,得出 ,证明 ,得出 ,根据勾股定理算出 ,根据 ,表示出 ,证明 ,根据相似三角形的性质表示出 , ,同理可得 . ,证明四边形 为矩形.得出 , ,在 中,根据勾股定 理即可求解; 【详解】【问题解决】解:如图2,将 绕点A逆时针旋转 得到 ,连接 . 由旋转的特征得 , , , . ∵ , , ∴ . ∵ , ∴ ,即 . ∴ . 68关注公众号:陆陆高分冲刺 ~领取:最新版“小中高考-总复习”、最新试卷下载 在 和 中, , , , ∴① . ∴ . 又∵ , ∴在 中,② . ∵ , , ∴ ③. 【知识迁移】 . 证明:如图,将 绕点 逆时针旋转 ,得到 . 过点 作 交边 于点 ,连接 . 由旋转的特征得 . 由题意得 , ∴ . 在 和 中, , ∴ . ∴ . 又∵ 为正方形 的对角线, ∴ . ∵ , ∴ . 在 和 中, , 69关注公众号:陆陆高分冲刺 ~领取:最新版“小中高考-总复习”、最新试卷下载 ∴ , ∴ . 在 和 中, , ∴ . ∴ . 在 中, , ∴ . 【拓展应用】 . 证明:如图所示,设直线 交 延长线于 点,交 延长线于 点, 将 绕着点 顺时针旋转 ,得到 ,连接 . 则 . 则 , , , , 在 和 中 , , ∴ , 过点H作 交 于点O,过点H作 交 于点M,则四边形 为矩形. 70关注公众号:陆陆高分冲刺 ~领取:最新版“小中高考-总复习”、最新试卷下载 ∴ , , , 是等腰直角三角形, , , , , , 在 中, , , ∴ , 即 , 又∴ , ∴ , 即 , 【问题再探】如图,将 绕点 逆时针旋转 ,得到 ,连接 .过点 作 ,垂足 为点 ,过点 作 ,垂足为 .过点 作 ,过点 作 交 于点 、 交于点 . 由旋转的特征得 . 71关注公众号:陆陆高分冲刺 ~领取:最新版“小中高考-总复习”、最新试卷下载 , , ,即 , 在 和 中, , , , , , 又 , , , , , ,即 , , 同理可得 . , , , 又∵ , ∴四边形 为矩形. 72关注公众号:陆陆高分冲刺 ~领取:最新版“小中高考-总复习”、最新试卷下载 , , 在 中, . , 解得 . 【点睛】本题是四边形的综合题,考查的是旋转变换的性质、矩形的性质和判定、正方形的性质和判定、 勾股定理、等腰直角三角形的性质和判定、全等三角形的判定和性质,相似三角形的判定和性质,灵活运 用旋转变换作图,掌握以上知识点是解题的关键. 考点 0 4 四边形 1.(2025·河北·中考真题)综合与实践 [情境]要将矩形铁板切割成相同的两部分,焊接成直角护板(如图 ),需找到合适的切割线. [模型]已知矩形 (数据如图 所示).作一条直线 ,使 与 所夹的锐角为 ,且将矩 形 分成周长相等的两部分. [操作]嘉嘉和淇淇尝试用不同方法解决问题. [探究]根据以上描述,解决下列问题. [拓展]操作和探究中蕴含着一般性结论,请继续研究下面的问题. 如图4,淇淇的方法如下: 如图3,嘉嘉的思路如下: ①在边 上截取 ,连接 ; ①连接 , 交于点 ; ②作线段 的垂直平分线 ,交 于 ②过点 作 ,分别交 , 于 点 ; 点 , ③在边 上截取 ,作直线 …… . 73关注公众号:陆陆高分冲刺 ~领取:最新版“小中高考-总复习”、最新试卷下载 (1)图 中,矩形 的周长为______; (2)在图 的基础上,用尺规作图作出直线 (作出一条即可,保留作图痕迹,不写作法); (3)根据淇淇的作图过程,请说明图 中的直线 符合要求. (4)如图 ,若直线 将矩形 分成周长相等的两部分,分别交边 , 于点 , ,过点 作 于点 ,连接 . 当 时,求 的值; 当 最大时,直接写出 的长. 【答案】(1) ; (2)见解析; (3) ; (4) ; . 【分析】 根据矩形的周长公式计算即可; 以点 为圆心 为半径画弧,交 于点 ,延长 交 于点 ,连接 ,由作图可知 是等腰直角三角形,根据等腰直角三角形的性质可证 ,根据矩形的性质可证 , 根据全等三角形的性质可证 , ,从而可证直线 把矩形分成了周长相等的两部分, 所以线段 即为所求; 根据矩形的性质可证四边形 是平行四边形,根据平行四边形的性质可证 , 根据平行四边形的性质和矩形的性质可以证明书 , ,所以可以证明 74关注公众号:陆陆高分冲刺 ~领取:最新版“小中高考-总复习”、最新试卷下载 ,所以直线 把矩形 分成了周长相等的两部分,从而可证直线 符合要求; 过点 作 ,连接 交 于点 ,过点 作 于点 ,过点 作 ,根据 矩形的性质可得: , , ,根据勾股定理可以求出 ,利用 可证 ,根据全等三角形的性质可得: , ,从而可得: , ,根据等腰直角三角形的性质可得: , ,根据正切的定义可以求出 的正切; 连接 交 于点 , 把矩形 分成了周长相等的两部分,点 为 和 的中点,利用勾 股定理可以求出 , ,过点 作 ,则 ,根据相似三角形的性质可 以求出 , , ,在 中,利用勾股定理可得: ,在 中,利用勾 股定理即可求出 的长度. 【详解】(1)解: 四边形 是矩形, , , , , , 矩形 的周长为 , 故答案为: ; (2)解:如下图所示, 以点 为圆心 为半径画弧,交 于点 ,延长 交 于点 ,线段 即为所求, , , , 是等腰直角三角形, 75关注公众号:陆陆高分冲刺 ~领取:最新版“小中高考-总复习”、最新试卷下载 , 矩形 的对角线交于点 , , 四边形 是矩形, , , , 在 和 中, , , , , , 直线 把矩形 分成周长相等的两部分; (3)证明: 四边形 是矩形, , , , , , 四边形 是平行四边形, , , 直线 是 的垂直平分线, , , , , , , 把矩形 分成了周长相等的两部分, 76关注公众号:陆陆高分冲刺 ~领取:最新版“小中高考-总复习”、最新试卷下载 直线 符合要求; (4) 解:如下图所示,过点 作 ,连接 交 于点 ,过点 作 于点 ,过点 作 , 四边形 是矩形,且直线 将矩形 分成周长相等的两部分, 则点 是矩形 的对角线 与 的交点, 点 是 的中点, , , , , , 是等腰直角三角形, , , 四边形 是矩形, , , 在 和 中, , , , , , , , 77关注公众号:陆陆高分冲刺 ~领取:最新版“小中高考-总复习”、最新试卷下载 于点 , , 是等腰直角三角形, , , ; 解:如下图所示,连接 交 于点 , 把矩形 分成了周长相等的两部分, 点 为 和 的中点, , 点 在以 为直径的 上, 当 与 相切时, 最大, , , , , , 过点 作 , , 四边形 是矩形, 78关注公众号:陆陆高分冲刺 ~领取:最新版“小中高考-总复习”、最新试卷下载 , 则 , , , , , , , 是 的切线, , . 【点睛】本题主要考查了矩形的性质、中心对称图形的性质、圆的基本性质、切线的性质、圆周角定理、 勾股定理、相似三角形的判定与性质,本题的综合性较强,难度较大,需要综合运用矩形、圆、切线等图 形的性质,解决本题的关键是作辅助线构造直角三角形,利用直角三角形的性质求解. 2.(2025·浙江·中考真题)在菱形 中, . 79关注公众号:陆陆高分冲刺 ~领取:最新版“小中高考-总复习”、最新试卷下载 (1)如图1,求 的值. (2)如图2,E是 延长线上的一点,连接 ,作 与 关于直线 对称, 交射线 于点 P,连接 . ①当 时,求 的长. ②求 的最小值. 【答案】(1) (2)① ;② 【分析】(1)先根据菱形的性质可得 ,再根据勾股定理可得 ,然后根据正 弦的定义求解即可得; (2)①连接 ,设 交于点 ,同理求出 ,则 ;证明 ,得到 ,由轴对称的性质可得 ,则 ,据此可得 ,即可 得到 ; ②由勾股定理得 ,根据 ,可求出 ,根据 ,可推出当 有最小值时, 有最小 值,即此时 有最大值,即当 有最小值时, 有最小值;过点B作 于H, 于T,由等面积法可得 ,则由轴对称的性质可得 ,由勾股定理得 ,则当 有最小值时, 有最小值,由垂线段最短可知 ,故当点P与点T 重合时, 有最小值,最小值为 ,据此求解即可. 【详解】(1)解:如图1,设 交于点 , 80关注公众号:陆陆高分冲刺 ~领取:最新版“小中高考-总复习”、最新试卷下载 ∵在菱形 中, , ∴ , ∴ , ∴ ; (2)解:①如图所示,连接 ,设 交于点 , ∵四边形 是菱形, ∴ , , , , ∴ , ∴ ; ∵ , , ∴ , ∴ , 由轴对称的性质可得 , ∴ , ∴ , ∴ ; 81关注公众号:陆陆高分冲刺 ~领取:最新版“小中高考-总复习”、最新试卷下载 ②在 中,由勾股定理得 ∵ , ∴ , ∵ , ∴要使 的值最小,则 要最大, ∴ 要有最小值, 又∵ 的值随着 的值增大而增大, ∴ 的值随着 的值增大而增大, ∴当 有最小值时, 有最小值,即此时 有最大值, ∴当 有最小值时, 有最小值; 如图所示,过点B作 于H, 于T, 82关注公众号:陆陆高分冲刺 ~领取:最新版“小中高考-总复习”、最新试卷下载 ∵ , ∴ , ∴由轴对称的性质可得 , 在 中,由勾股定理得 , ∴当 有最小值时, 有最小值, 由垂线段最短可知 , ∴当点P与点T重合时, 有最小值,最小值为 , ∴ , ∴ . 【点睛】本题主要考查了菱形的性质,求角的正弦值,勾股定理,轴对称图形的性质,等角对等边等等, 解(2)的关键在于把求出 的最小值转换成求出 的最小值,进而转换成求出 的最小值. 3.(2025·上海·中考真题)在平行四边形 中, , 分别为边 , 上两点. 83关注公众号:陆陆高分冲刺 ~领取:最新版“小中高考-总复习”、最新试卷下载 (1)当 是边 中点时, ①如图(1),联结 ,如果 ,求证: ; ②如图(2),如果 ,联结 , 交边 于点 ,求 的值; (2)如图(3)所示,联结 , ,如果 , , , .求 的长. 【答案】(1)①见解析;② (2) 【分析】(1)①延长 交于H,可证明 ,得到 ,则可 证明 ,得到 ,则 ; ②如图所示,延长 交于M,由平行四边形的性质得到 , ,证明 , ,得到 , ,则 ;设 ,则 , ,进而可得 ,即可得到 ;可证明 , ,设 ,则 , 则 ,据此可得答案; (2)延长 交于M,由平行四边形的性质可得 , ,证明 , ,再证明 ,得到 ,求出 ,设 ,则由相似三角形的性质可得 , ,进而可得 84关注公众号:陆陆高分冲刺 ~领取:最新版“小中高考-总复习”、最新试卷下载 ;再由 ,得到 ,则 ,解方程即可得 到答案. 【详解】(1)解:①如图所示,延长 交于H, ∵四边形 是平行四边形, ∴ , ∴ , ∵ 是边 中点, ∴ , ∴ , ∴ , ∵ , ∴ , ∴ , ∴ ; ②如图所示,延长 交于M, ∵四边形 是平行四边形, ∴ , , ∴ , , ∴ , , ∴ , ∵ 是边 中点, ∴ , 设 ,则 , ∴ , 85关注公众号:陆陆高分冲刺 ~领取:最新版“小中高考-总复习”、最新试卷下载 ∴ , ∵ , ∴ ; ∴ , , 设 ,则 , ∴ , ∴ ; (2)解;如图所示,延长 交于M, ∵四边形 是平行四边形, ∴ , , ∴ , ∵ , ∴ , 又∵ , ∴ ; ∵ , , ∴ , ∴ , ∵ , ∴ , ∴ , 86关注公众号:陆陆高分冲刺 ~领取:最新版“小中高考-总复习”、最新试卷下载 ∵ , ∴ , 设 , ∵ , ∴ ,即 ∴ , ∵ ,即 , ∴ , ∴ ; ∵ , ∴ ,即 , ∴ ,解得 或 (舍去), ∴ . 【点睛】本题主要考查了平行四边形的性质,全等三角形的性质与判定,相似三角形的性质与判定,等腰 三角形的性质与判定,正确作出辅助线构造全等三角形和相似三角形是解题的关键. 4.(2025·江苏扬州·中考真题)问题:如图1,点 为正方形 内一个动点,过点 作 , ,矩形 的面积是矩形 面积的2倍,探索 的度数随点 运动的变化情况. 87关注公众号:陆陆高分冲刺 ~领取:最新版“小中高考-总复习”、最新试卷下载 【从特例开始】 (1)小玲利用正方形网格画出了一个符合条件的特殊图形(如图2),请你仅用无刻度的直尺连接一条线 段,由此可得此图形中 ______ ; (2)小亮也画出了一个符合条件的特殊图形(如图3),其中 , , ,求此图形 中 的度数; 【一般化探索】 (3)利用图1,探索上述问题中 的度数随点 运动的变化情况,并说明理由. 【答案】(1)作图见解析,45;(2) ;(3)随点 的运动, 的度数不变,且为 【分析】(1)连接 与格线的交点记为 ,先确定点 为格点,然后由勾股定理以及逆定理 证明 为等腰直角三角形,即可求解 的度数; (2)延长 至点 ,使得 ,连接 ,先证明 ,则 , ,那么 ,可得四边形 是矩形,四边形 为矩形,求出 ,由勾股定理得 ,则 ,那么 ,则 ,即可求解 ; (3)延长 至点 ,使得 ,连接 ,同理 ,同(2)可得四边形 是矩形,四边形 为矩形,设正方形的边长为 , ,则 , ,由 ,得到 ,在 中,由勾股定理得 ,求出 ,则 , 再同(2) 即可. 【详解】解:(1)如图, 即为所求: 88关注公众号:陆陆高分冲刺 ~领取:最新版“小中高考-总复习”、最新试卷下载 连接 与格线的交点记为 , 由网格可得, , ∴ , ∴ , ∵ , ∴ , ∴ 为格点,同理 为格点, ∵ , , , ∴ , , ∴ , ∴ 为等腰直角三角形, ∴ ; 故答案为:45; (2)延长 至点 ,使得 ,连接 , ∵四边形 是正方形, ∴ , , ∴ , 89关注公众号:陆陆高分冲刺 ~领取:最新版“小中高考-总复习”、最新试卷下载 ∴ , , ∴ , ∵ , , ∴四边形 是平行四边形, ∵ , ∴四边形 是矩形, 同理可得四边形 为矩形, ∴ , , ∴ , , ∴ , ∴在 和 中, , ∴ , ∴ , ∵ , ∴ , ∴ ,即 ; (3)随点 的运动, 的度数不变,且为 ,理由如下: 延长 至点 ,使得 ,连接 , ∵四边形 是正方形, ∴ , , 90关注公众号:陆陆高分冲刺 ~领取:最新版“小中高考-总复习”、最新试卷下载 ∴ , ∴ , , , ∴ , 同(2)可得四边形 是矩形,四边形 为矩形, 设正方形的边长为 , , ∴ , , ∴ , ∴ , ∵ , ∴ , 整理得 , ∵在 中, , ∴ , ∴ (舍负), ∴ , ∴在 和 中, , ∴ , ∴ , 91关注公众号:陆陆高分冲刺 ~领取:最新版“小中高考-总复习”、最新试卷下载 ∵ , ∴ , ∴ ,即 . 【点睛】本题考查了相似三角形的判定与性质,勾股定理及其逆定理,等腰三角形的定义,正方形的性质, 全等三角形的判定与性质等知识点,熟练掌握各知识点并灵活运用是解题的关键. 5.(2024·广东深圳·中考真题)垂中平行四边形的定义如下:在平行四边形中,过一个顶点作关于不相邻 的两个顶点的对角线的垂线交平行四边形的一条边,若交点是这条边的中点,则该平行四边形是“垂中平 行四边形”. (1)如图1所示,四边形 为“垂中平行四边形”, , ,则 ______; ______; (2)如图2,若四边形 为“垂中平行四边形”,且 ,猜想 与 的关系,并说明理由; (3)①如图3所示,在 中, , , 交 于点 ,请画出以 为边的垂 中平行四边形,要求:点 在垂中平行四边形的一条边上(不限作图工具); ②若 关于直线 对称得到 ,连接 ,作射线 交①中所画平行四边形的边于点 ,连 接 ,请直接写出 的值. 【答案】(1) , (2) ,理由见解析 (3)①见解析;② 或 【分析】(1)由“垂中平行四边形”的定义可得 , , , , 从而可得 ,由勾股定理得出 ,证明 ,得出 ,再由勾股定理计算即可得解; 92关注公众号:陆陆高分冲刺 ~领取:最新版“小中高考-总复习”、最新试卷下载 (2)由“垂中平行四边形”的定义可得 , , , ,证明 ,得出 ,设 ,则 , ,由勾股定理可得 ,求出 ,从而可得 ,即可得解; (3)①根据“垂中平行四边形”的定义画出图形即可;②根据①中画出的图形,分别结合相似三角形的 判定与性质以及勾股定理计算即可得解. 【详解】(1)解:∵四边形 为“垂中平行四边形”, ∴ , , , , ∵ , ∴ , ∴ , ∵ , ∴ , ∴ , ∴ , ∴ ; (2)解: ,理由如下: ∵四边形 为“垂中平行四边形”, ∴ , , , , ∴ , ∴ , 设 ,则 , ∴ , 93关注公众号:陆陆高分冲刺 ~领取:最新版“小中高考-总复习”、最新试卷下载 ∴ , ∴ , ∴ , ∴ , ∴ ; (3)解:①第一种情况:如图①,作 的平行线 ,并使得 ,连接 ,则四边形 为 平行四边形, 延长 交 于 , ∵ , ∴ , ∴ , ∵ , ∴ , ∴ 为 的中点, ∴四边形 即为所求的“垂中平行四边形”; 第二种情况:如图②,作 的平分线,并取 交 的平分线于点 ,延长 交 的延 长线于点 ,在射线 上取 ,连接 ,故点 为 的中点, ∵ 平分 , 94关注公众号:陆陆高分冲刺 ~领取:最新版“小中高考-总复习”、最新试卷下载 ∴ , ∵ , ∴ , ∴ , ∴ , ∴ , ∴ , ∵ , ∴ , ∴ , ∴四边形 为平行四边形, ∴四边形 为所求的“垂中平行四边形”; 第三种情况:如图③,作 ,交 的延长线于点 ,连接 ,在 的延长线上取点 ,使得 ,连接 ,则点 为 的中点, 同理可得证明 ,则 ,则四边形 为平行四边形, 故四边形 为所求的“垂中平行四边形”; ②若按照上图①作图, 由题意可得, ,四边形 是平行四边形, ∴ , ∴ , ∴ 是等腰三角形, 作 于 ,则 , ∵ , , 95关注公众号:陆陆高分冲刺 ~领取:最新版“小中高考-总复习”、最新试卷下载 ∴ , , ∴ , ∴ , ∵ , , ∴ , ∴ , ∴ , ∴ ; 若按照上图②作图, 延长 、 交于点 , 同理可得, 是等腰三角形, 连接 , ∵ , ∴ , ∴ , ∴ , ∴ , 同理可得 , ∵ , , , ∴ , 96关注公众号:陆陆高分冲刺 ~领取:最新版“小中高考-总复习”、最新试卷下载 ∴ , ∴ ; 若按照上图③作图,则没有交点,不存在 ,故不符合题意, 综上所述, 或 . 【点睛】本题考查了相似三角形的判定与性质、平行四边形的性质、勾股定理、等腰三角形的判定与性质 等知识点,熟练掌握以上知识点并灵活运用,添加适当的辅助线,采用分类讨论与数形结合的思想是解此 题的关键. 6.(2024·江苏徐州·中考真题)如图,在 中, , , , 为边 上的 ▱ 动点.连接 ,将 绕点 逆时针旋转 得到 ,过点 作 , 交直线 于点 .连接 、 ,分别取 、 的中点 、 ,连接 ,交 于点 . (1)若点 与点 重合,则线段 的长度为______. (2)随着点 的运动, 与 的长度是否发生变化?若不变,求出 与 的长度;若改变,请说明 理由. 【答案】(1) (2)不变, , 【分析】(1)当点 与点 重合时, 、 、 、 、 共线, , 为 的中位线, 即可求出 的长度. 97关注公众号:陆陆高分冲刺 ~领取:最新版“小中高考-总复习”、最新试卷下载 (2)构造 ,使 为 的中位线,再构造 ,进而证得 是等边三角形,得 出 .然后由 和 为等边三角形,推导出 ,然后再由 ,最后得出 和 的长度不变. 【详解】(1)解:当点 与点 重合时,如图①, ∵四边形 是平行四边形, ∴ , , , . ∵将 绕点 逆时针旋转 得到 , ∴ , , ∴ 是等边三角形, ∴ . , ∴ 、 、 三点共线, ∵ , , ∴ 、 、 、 共线, ∵点 、 分别是 , 的中点, ∴ . ∴ . 故答案为: . (2)解:结论:不变. 如解图②,连接 并延长到点 ,使得 ,连接 , ,延长 , 交于 点,连接 . 延长 至点 ,使得 ,连接 , ,设 与 交于 点, 98关注公众号:陆陆高分冲刺 ~领取:最新版“小中高考-总复习”、最新试卷下载 ∵四边形 是平行四边形, ∴ , , , . ∵点 为 中点, ∴ . ∵ , ∴四边形 为平行四边形, ∴ , . ∵ , , ∴ , . ∴四边形 为平行四边形, ∴ , ∵ ∴ . 在平行四边形 中, ∵ , , ∴ , ∵ , ∴ 是等边三角形, ∴ . , 由旋转得 , , ∵ , , ∴ , , ∴ , 又 , , 99关注公众号:陆陆高分冲刺 ~领取:最新版“小中高考-总复习”、最新试卷下载 ∴ ( ). ∴ , ∴ 为等边三角形. ∵点 、 为 、 的中点, ∴ 为 的中位线, . ∵ . ∴ .即 的长度不变; ∵ 和 都为等边三角形. ∴ , , , , ∴ , ∴ ( ). ∴ . ∵ , ∴ , ∴ 为等边三角形. 同理: 为等边三角形. ∴ . , ∴ , ∴ , ∵ , ∴ , 设 ,则 , , , ∴ . ∵ 为 的中位线, ∴ , ∴ , ∴ , ∵ 是 的中点, ∴ 为 中点, 100关注公众号:陆陆高分冲刺 ~领取:最新版“小中高考-总复习”、最新试卷下载 ∴ , ∴ . 故 和 的长度都不变. 【点睛】本题考查了旋转的性质,平行四边形和等边三角形的性质,三角形中位线的性质以及平行线分线 段成比例.本题的难点是构造 得出 . 7.(2024·四川资阳·中考真题)(1)【观察发现】如图1,在 中,点D在边 上.若 ,则 ,请证明; (2)【灵活运用】如图2,在 中, ,点D为边 的中点, ,点E在 上, 连接 , .若 ,求 的长; (3)【拓展延伸】如图3,在菱形 中, ,点E,F分别在边 , 上, , 延长 , 相交于点G.若 , ,求 的长. 【答案】(1)见解析;(2) ;(3) 【分析】(1)证明 ,得出 ,即可证明结论; (2)过点C作 于点F,过点D作 于点G,解直角三角形得出 , ,证明 ,得出 ,求出 ,根据勾股定理得出 , 101关注公众号:陆陆高分冲刺 ~领取:最新版“小中高考-总复习”、最新试卷下载 得出 ,证明 ,得出 ,求出 ; (3)连接 ,证明 ,得出 ,求出 ,证明 为直角三角形,得出 ,根据勾股定理求出 ,证明 ,得出 ,求出结果即可. 【详解】解:(1)∵ , , ∴ , ∴ , ∴ ; (2)过点C作 于点F,过点D作 于点G,如图所示: 则 , ∴ , ∵ , ∴ , , ∵ 为 的中点, ∴ , ∵ , ∴ , ∴ , 102关注公众号:陆陆高分冲刺 ~领取:最新版“小中高考-总复习”、最新试卷下载 ∴ , ∴ , ∴ , ∴ , ∵ , ∴ , ∵ , ∴ , ∴ , ∴ , ∵ , ∴ , ∴ , 即 , 解得: ; (3)连接 ,如图所示: ∵四边形 为菱形, ∴ , , , ∵ , ∴ , 103关注公众号:陆陆高分冲刺 ~领取:最新版“小中高考-总复习”、最新试卷下载 ∴ , 即 , ∵ , ∴ , ∴ , ∵ , ∴ , ∴ , ∵ , ∴ , ∴ , 解得: ,负值舍去, ∴ , ∴ , ∵ , ∴ 为直角三角形, , ∴ , ∴在 中根据勾股定理得: , ∴ , ∵ , ∴ , ∴ , 即 , 解得: . 【点睛】本题主要考查了菱形的性质,勾股定理及其逆定理,三角函数的应用,三角形相似的判定和性质, 104关注公众号:陆陆高分冲刺 ~领取:最新版“小中高考-总复习”、最新试卷下载 平行线的性质,解题的关键是作出辅助线,熟练掌握三角形相似的判定方法. 8.(2024·湖南长沙·中考真题)对于凸四边形,根据它有无外接圆(四个顶点都在同一个圆上)与内切圆 (四条边都与同一个圆相切), 可分为四种类型,我们不妨约定: 既无外接圆,又无内切圆的四边形称为“平凡型无圆”四边形; 只有外接圆,而无内切圆的四边形称为“外接型单圆”四边形; 只有内接圆,而无外接圆的四边形称为“内切型单圆”四边形; 既有外接圆,又有内切圆的四边形称为“完美型双圆”四边形. 请你根据该约定,解答下列问题: (1)请你判断下列说法是否正确(在题后相应的括号中,正确的打“√”,错误的打“×”, ①平行四边形一定不是“平凡型无圆”四边形; ( ) ②内角不等于 的菱形一定是“内切型单圆”四边形; ( ) ③若“完美型双圆”四边形的外接圆圆心与内切圆圆心重合,外接圆半径为R,内切圆半径为r,则有 .( ) (2)如图1,已知四边形 内接于 ,四条边长满足: . ①该四边形 是“______”四边形(从约定的四种类型中选一种填入); ②若 的平分线 交 于点E, 的平分线 交 于点F,连接 .求证: 是 的 直径. (3)已知四边形 是“完美型双圆”四边形,它的内切圆 与 分别相切于点E, F,G,H. ①如图2.连接 交于点P.求证: . 105关注公众号:陆陆高分冲刺 ~领取:最新版“小中高考-总复习”、最新试卷下载 ②如图3,连接 ,若 , , ,求内切圆 的半径r及 的长. 【答案】(1)①×;②√;③√ (2)①外接型单圆;②见解析 (3) , , 【分析】(1)根据圆内接四边形和切线长定理可得:有外接圆的四边形的对角互补;有内切圆的四边形 的对边之和相等,结合题中定义,根据对角不互补,对边之和也不相等的平行四边形无外接圆,也无内切 圆,进而可判断①;根据菱形的性质可判断②;根据正方形的性质可判断③; (2)①根据已知结合题中定义可得结论; ②根据角平分线的定义和圆周角定理证明 即可证得结论; (3)①连接 、 、 、 、 ,根据四边形 是“完美型双圆”四边形,结合四边形的内 角和定理可推导出 , , ,进而可得 , ,然后利用圆周角定理可推导出 ,即可证得结论; ②连接 、 、 、 ,根据已知条件证明 ,进而证明 得到 ,再利用勾股定理求得 , ,同理可证 求解 即可. 【详解】(1)解:由题干条件可得:有外接圆的四边形的对角互补;有内切圆的四边形的对边之和相等, 所以 ①当平行四边形的对角不互补,对边之和也不相等时,该平行四边形无外接圆,也无内切圆, ∴该平行四边形是 “平凡型无圆”四边形,故①错误; ②∵内角不等于 的菱形的对角不互补, ∴该菱形无外接圆, ∵菱形的四条边都相等, ∴该菱形的对边之和相等, ∴该菱形有内切圆, ∴内角不等于90°的菱形一定是“内切型单圆”四边形,故②正确; ③由题意,外接圆圆心与内切圆圆心重合的“完美型双圆”四边形是正方形,如图, 106关注公众号:陆陆高分冲刺 ~领取:最新版“小中高考-总复习”、最新试卷下载 则 , , , , ∴ 为等腰直角三角形, ∴ ,即 ; 故③正确, 故答案为:①×;②√;③√; (2)解:①若四边形 中有内切圆,则 ,这与 矛盾, ∴四边形 无内切圆, 又∵该四边形有外接圆, ∴该四边形 是“外接型单圆”四边形, 故答案为:外接型单圆; ②∵ 的平分线 交 于点E, 的平分线 交 于点F, ∴ , , ∴ , , ∴ , ∴ ,即 和 均为半圆, ∴ 是 的直径. (3)①证明:如图,连接 、 、 、 、 , 107关注公众号:陆陆高分冲刺 ~领取:最新版“小中高考-总复习”、最新试卷下载 ∵ 是四边形 的内切圆, ∴ , , , , ∴ , 在四边形 中, , 同理可证, , ∵四边形 是“完美型双圆”四边形, ∴该四边形有外接圆,则 , ∴ ,则 , ∵ , , ∴ , ∴ , ∴ ; ②如图,连接 、 、 、 , ∵四边形 是“完美型双圆”四边形,它的内切圆 与 分别相切于点E,F, G,H, ∴∴ , , , , , 108关注公众号:陆陆高分冲刺 ~领取:最新版“小中高考-总复习”、最新试卷下载 ∴ , , , ∴ , ∵ , ∴ ,又 , ∴ , ∴ , ∵ , , ∴ ,则 , 在 中,由 得 , 解得 ; 在 中, , ∴ , 同理可证 , ∴ , ∴ , ∴ . 【点睛】本题主要考查平行四边形的性质、正方形的性质、菱形的性质、圆周角定理、内切圆的定义与性 质、外接圆的定义与性质、相似三角形的判定与性质、四边形的内角和定理、勾股定理、角平分线的判定 等知识,理解题中定义,熟练掌握这些知识和灵活运用性质和判定是解题的关键.另外还要求学生具备扎 实的数学基础和逻辑思维能力,备考时,重视四边形知识的学习,提高解题技巧和速度,以应对中考挑战. 9.(2024·吉林长春·中考真题)如图,在 中, , .点 是边 上的一点(点 不与点 、 重合),作射线 ,在射线 上取点 ,使 ,以 为边作正方形 ,使 点 和点 在直线 同侧. 109关注公众号:陆陆高分冲刺 ~领取:最新版“小中高考-总复习”、最新试卷下载 (1)当点 是边 的中点时,求 的长; (2)当 时,点 到直线 的距离为________; (3)连结 ,当 时,求正方形 的边长; (4)若点 到直线 的距离是点 到直线 距离的3倍,则 的长为________.(写出一个即可) 【答案】(1) (2) (3) (4) 或 【分析】本题考查等腰三角形性质,勾股定理,锐角三角函数,熟练掌握面积法是解题的关键;(1)根 据等腰三角形三线合一性质,利用勾股定理即可求解;(2)利用面积法三角形面积相等即可;(3)设 ,则 , ,过点 作 于 ,根据 ,建立方程;即可求解;(4)第一种情况, , 在 异侧时,设 , ,则 ,证明 ,得到 ,即可求解;第二种情况,当 , 在 同侧,设 ,则 , , ,求得 ,解方程即可求解; 【详解】(1)解:根据题意可知: , 为等腰三角形,故点 是边 的中点时, ; 在 中, ; (2)根据题意作 ,如图所示; 110关注公众号:陆陆高分冲刺 ~领取:最新版“小中高考-总复习”、最新试卷下载 当 时,则 , 设点 到直线 的距离为 , , 解得: ; (3)如图,当 时,点 落在 上, 设 ,则 , , 过点 作 于 则 , , , 解得: 故 , 所以正方形 的边长为 ; (4)如图, , 在 异侧时; 111关注公众号:陆陆高分冲刺 ~领取:最新版“小中高考-总复习”、最新试卷下载 设 , ,则 三边的比值为 , , , 当 , 在 同侧 设 ,则 , , 三边比为 , 三边比为 , 设 ,则 , , 112关注公众号:陆陆高分冲刺 ~领取:最新版“小中高考-总复习”、最新试卷下载 解得: 综上所述: 的长为 或 10.(2023·浙江衢州·中考真题)如图1,点 为矩形 的对称中心, , ,点 为 边上一点 ,连接 并延长,交 于点 ,四边形 与 关于 所在直线成轴对称, 线段 交 边于点 . (1)求证: ; (2)当 时,求 的长; (3)令 , . ①求证: ; ②如图2,连接 , ,分别交 , 于点 , .记四边形 的面积为 , 的面积为 .当 时,求 的值. 【答案】(1)见解析 (2) (3)①见解析;② 【分析】(1)根据轴对称和矩形的性质,证明 ,即可解答; (2)过点 作 于 ,设 ,则 ,求得 ,再利用勾股定理,列方程 即可解答; 113关注公众号:陆陆高分冲刺 ~领取:最新版“小中高考-总复习”、最新试卷下载 (3)①过点 作 于 ,连接 ,证明 ,可得 ,得到 ,即可解答; ②连接 ,证明 ,进而证明 ,进而证明 , 可得 ,再证明 ,得到 ,再得到 ,最后根据①中结论,即可解答. 【详解】(1)证明: 四边形 为矩形, , , 四边形 与 关于 所在直线成轴对称, , , ; (2)解:如图,过点 作 于 , 设设 ,则 , , , 四边形 为矩形, , 点 为矩形 的对称中心, , , 在 中, , 可得方程 , 114关注公众号:陆陆高分冲刺 ~领取:最新版“小中高考-总复习”、最新试卷下载 解得 (此时 ,故舍去0), ; (3)解:①证明:过点 作 于 ,连接 , 点 为矩形 的对称中心, , , , , , , , ,即 , , , ; ②如图,连接 , 115关注公众号:陆陆高分冲刺 ~领取:最新版“小中高考-总复习”、最新试卷下载 由题意可得 , 点 为矩形 的对称中心, , 同理可得 , 由(1)知 , , 即 , , , , , , , , 即 , , , , , , , , , 116关注公众号:陆陆高分冲刺 ~领取:最新版“小中高考-总复习”、最新试卷下载 , , , , 当 时,由①可得 , 解得 , , , . 【点睛】本题考查了四边形综合应用,涉及轴对称变换,全等三角形的判定和性质,相似三角形的判定和 性质,勾股定理,解题的关键是正确作出辅助线,构造全等三角形和相似三角形是解题的关键. 11.(2023·海南·中考真题)如图1,在菱形 中,对角线 , 相交于点 , , ,点 为线段 上的动点(不与点 , 重合),连接 并延长交边 于点 ,交 的 延长线于点 . 117关注公众号:陆陆高分冲刺 ~领取:最新版“小中高考-总复习”、最新试卷下载 (1)当点 恰好为 的中点时,求证: ; (2)求线段 的长; (3)当 为直角三角形时,求 的值; (4)如图2,作线段 的垂直平分线,交 于点 ,交 于点 ,连接 ,在点 的运动过程中, 的度数是否为定值?如果是,求出这个定值;如果不是,请说明理由. 【答案】(1)见解析 (2) (3)2或 (4) 的度数是定值, 【分析】(1)由 “ ”可证 ; (2)由菱形的性质可得 , , , ,再由直角三角形的性 质可求解; (3)分类讨论:当 时;当 时,由直角三角形的性质可求 、 的长,由等腰 三角形的判定与性质可求 的长,通过证明 ,可得 ,即可求解; (4)先证点 、点 、点 三点共线,由直角三角形的性质可得 ,可求 ,通过证明点 、点 、点 、点 四点共圆,可得 ,即可 求解. 【详解】(1)证明: 四边形 是菱形, , , 点 是 的中点, 118关注公众号:陆陆高分冲刺 ~领取:最新版“小中高考-总复习”、最新试卷下载 , , ; (2)解: 四边形 是菱形, , , , , , , , , , ; (3)解:当 时, 四边形 是菱形, , , , , , ,即 , , , , , , , , , , , 119关注公众号:陆陆高分冲刺 ~领取:最新版“小中高考-总复习”、最新试卷下载 ; 当 时, , 由(2)得: , , 四边形 是菱形, , , , , , , , , 综上所述: 或2 (4)解: 的度数是定值. 如图,取 的中点 ,连接 、 、 , , 是 的垂直平分线, , , , 点 是 的中点, , , 120关注公众号:陆陆高分冲刺 ~领取:最新版“小中高考-总复习”、最新试卷下载 四边形 是菱形, , , , 点 是 的中点, , , 点 、点 、点 三点共线, 点 是 的中点, , , , , , 点 、点 、点 、点 四点共圆, , . 【点睛】本题是四边形综合题,考查了菱形的性质、全等三角形的判定与性质、直角三角形的性质、相似 三角形的判定与性质等知识,灵活运用这些性质解决问题是解题的关键. 121