当前位置:首页>文档>讲义第十一章实验十二 利用传感器制作简单的自动控制装置(含解析)_4.2025物理总复习_2025年新高考资料_专项复习_2025届高考物理知识梳理课件ppt+讲义(完结)

讲义第十一章实验十二 利用传感器制作简单的自动控制装置(含解析)_4.2025物理总复习_2025年新高考资料_专项复习_2025届高考物理知识梳理课件ppt+讲义(完结)

  • 2026-04-14 12:18:51 2026-03-11 01:39:12

文档预览

讲义第十一章实验十二 利用传感器制作简单的自动控制装置(含解析)_4.2025物理总复习_2025年新高考资料_专项复习_2025届高考物理知识梳理课件ppt+讲义(完结)
讲义第十一章实验十二 利用传感器制作简单的自动控制装置(含解析)_4.2025物理总复习_2025年新高考资料_专项复习_2025届高考物理知识梳理课件ppt+讲义(完结)
讲义第十一章实验十二 利用传感器制作简单的自动控制装置(含解析)_4.2025物理总复习_2025年新高考资料_专项复习_2025届高考物理知识梳理课件ppt+讲义(完结)
讲义第十一章实验十二 利用传感器制作简单的自动控制装置(含解析)_4.2025物理总复习_2025年新高考资料_专项复习_2025届高考物理知识梳理课件ppt+讲义(完结)
讲义第十一章实验十二 利用传感器制作简单的自动控制装置(含解析)_4.2025物理总复习_2025年新高考资料_专项复习_2025届高考物理知识梳理课件ppt+讲义(完结)
讲义第十一章实验十二 利用传感器制作简单的自动控制装置(含解析)_4.2025物理总复习_2025年新高考资料_专项复习_2025届高考物理知识梳理课件ppt+讲义(完结)
讲义第十一章实验十二 利用传感器制作简单的自动控制装置(含解析)_4.2025物理总复习_2025年新高考资料_专项复习_2025届高考物理知识梳理课件ppt+讲义(完结)
讲义第十一章实验十二 利用传感器制作简单的自动控制装置(含解析)_4.2025物理总复习_2025年新高考资料_专项复习_2025届高考物理知识梳理课件ppt+讲义(完结)
讲义第十一章实验十二 利用传感器制作简单的自动控制装置(含解析)_4.2025物理总复习_2025年新高考资料_专项复习_2025届高考物理知识梳理课件ppt+讲义(完结)
讲义第十一章实验十二 利用传感器制作简单的自动控制装置(含解析)_4.2025物理总复习_2025年新高考资料_专项复习_2025届高考物理知识梳理课件ppt+讲义(完结)
讲义第十一章实验十二 利用传感器制作简单的自动控制装置(含解析)_4.2025物理总复习_2025年新高考资料_专项复习_2025届高考物理知识梳理课件ppt+讲义(完结)

文档信息

文档格式
docx
文档大小
0.407 MB
文档页数
11 页
上传时间
2026-03-11 01:39:12

文档内容

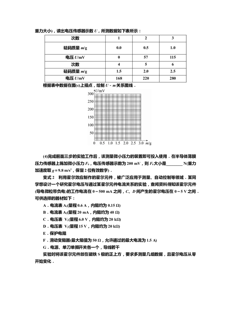
实验十二 利用传感器制作简单的自动控制装置 一、研究热敏电阻的热敏特性 二、研究光敏电阻的光敏特性 ●注意事项 1.在做热敏实验时, 加热水后要等一会儿再测其阻值,以使电阻温度与水的温度相 同,并同时读出水温. 2.在光敏实验中,如果效果不明显,可将电阻部分电路放入带盖的纸盒中,并通过盖 上小孔改变照射到光敏电阻上的光的多少. 3.欧姆表每次换挡后都要重新调零.考点 教材原型实验 典例1 (2021·广东卷)某小组研究热敏电阻阻值随温度的变化规律.根据实验需要已 选用了规格和量程合适的器材. (1)先用多用电表预判热敏电阻阻值随温度的变化趋势.选择适当倍率的欧姆挡,将两 表笔________,调节欧姆调零旋钮,使指针指向右边“0 Ω”处.测量时观察到热敏电阻温 度越高,相同倍率下多用电表指针向右偏转角度越大,由此可判断热敏电阻阻值随温度的 升高而________. (2)再按图连接好电路进行测量. ①闭合开关S前,将滑动变阻器R 的滑片滑到________(填“a”或“b”)端.将温控室 1 的温度设置为T,电阻箱R 调为某一阻值R .闭合开关S,调节滑动变阻器R ,使电压表 0 01 1 和电流表的指针偏转到某一位置.记录此时电压表和电流表的示数、T和R .断开开关S.再 01 将电压表与热敏电阻C端间的导线改接到D端,闭合开关S.反复调节R 和R ,使电压表 0 1 和电流表的示数与上述记录的示数相同.记录此时电阻箱的阻值R .断开开关S. 02 ②实验中记录的阻值R ________(填“大于”“小于”或“等于”)R .此时热敏电阻 01 02 阻值R =________. T (3)改变温控室的温度,测量不同温度时的热敏电阻阻值,可以得到热敏电阻阻值随温 度的变化规律. 变式1 (2024·湖北高三专题练习)传感器担负着信息的采集任务,在自动控制中发挥 着重要作用,能够将感受到的物理量(如温度、光、声等)转换成便于测量的量(通常是电学 量),传感器是获取自然和生产领域中信息的主要途径与手段.回答下面传感器的应用实验 中的两个问题: (1)光传感器是利用光敏元件将光信号转换为电信号的传感器,如图甲所示为光敏电阻 自动计数器的示意图,其中S为发光仪器,小圆柱是传送带上的物品,R 为光敏电阻,其 1 阻值在有光照时比没有光照时要小得多,R 为定值电阻.当有光照射R 时,信号处理系统 2 1 获得________(填“高”或“低”)电压,信号处理系统每获得一次________(填“高”或 “低”)电压就记数一次.(2)热敏传感器利用由半导体材料制成的热敏电阻将热学量转换为电学量.热敏电阻的 阻值随温度变化的图像如图乙所示,图丙是由热敏电阻R 作为传感器的简单自动报警器的 1 线路图.为了使温度过高时报警器报警,c应接在________(填“a”或“b”)处.若要使启动 报警的温度提高些,应将滑动变阻器的滑片P向________(填“左”或“右”)移动. 考点 实验的创新与改进 典例2 (2023·湖南卷节选)某探究小组利用半导体薄膜压力传感器等元件设计了一个 测量微小压力的装置,其电路如图(a)所示,R 、R 、R 为电阻箱,R 为半导体薄膜压力传 1 2 3 F 感器,C、D间连接电压传感器(内阻无穷大). (1)先用欧姆表“×100”挡粗测R 的阻值,示数如图(b)所示,对应的读数是________Ω. F (2)适当调节R 、R 、R ,使 电压传感器示数为 0 ,此时,R 的阻值为________(用R 、 1 2 3 F 1 R 、R 表示). 2 3 (3)依次将0.5 g的标准砝码加载到压力传感器上(压力传感器上所受压力大小等于砝码重力大小),读出电压传感器示数U,所测数据如下表所示: 次数 1 2 3 砝码质量m/g 0.0 0.5 1.0 电压U/mV 0 57 115 次数 4 5 6 砝码质量m/g 1.5 2.0 2.5 电压U/mV 168 220 280 根据表中数据在图(c)上描点,绘制U-m关系图线. (4)完成前面三步的实验工作后,该测量微小压力的装置即可投入使用.在半导体薄膜 压力传感器上施加微小压力F ,电压传感器示数为200 mV,则F 大小是________ N(重力 0 0 加速度取g=9.8 m/s2,保留2位有效数字). 变式2 利用霍尔效应制作的霍尔元件,被广泛应用于测量、自动控制等领域.某同 学想设计一个研究霍尔电压与通过某霍尔元件电流关系的实验,查阅资料得知该霍尔元件 (导电微粒带负电)的工作电流在0~500 mA之间,C、D间产生的霍尔电压在0~5 V之间. 可供选择的器材如下: A.电流表A(量程0.6 A,内阻约为0.15 Ω) 1 B.电流表A(量程20 mA,内阻约为40 Ω) 2 C.电压表 V(量程6.0 V,内阻约为20 kΩ) 1 D.电压表 V(量程15 V,内阻约为20 kΩ) 2 E.保护电阻 F.滑动变阻器(最大阻值为50 Ω,允许通过的最大电流为1.5 A) G.电源、单刀单掷开关各一个,导线若干 实验时将该霍尔元件放在磁铁S极的正上方,要求多测量几组数据,且霍尔电压从零 开始变化.(1)为了完成实验,电流表应选用________(填“A”或“A”),电压表应选用 1 2 ________(填“V”或“V”). 1 2 (2)请结合(1)中所选的器材和实验要求将图甲中的实物图连线补充完整. (3)该同学将记录的实验数据描绘在UI坐标系中,如图乙所示,请将图像补充完整, 结合所作图像可得,在误差允许范围内霍尔电压U与电流大小I的关系为________(填“U =kI”“U=kI2”或“U=k”). 答案及解析 考点 教材原型实验 典例1 (2021·广东卷)某小组研究热敏电阻阻值随温度的变化规律.根据实验需要已 选用了规格和量程合适的器材. (1)先用多用电表预判热敏电阻阻值随温度的变化趋势.选择适当倍率的欧姆挡,将两 表笔________,调节欧姆调零旋钮,使指针指向右边“0 Ω”处.测量时观察到热敏电阻温 度越高,相同倍率下多用电表指针向右偏转角度越大,由此可判断热敏电阻阻值随温度的 升高而________. (2)再按图连接好电路进行测量.①闭合开关S前,将滑动变阻器R 的滑片滑到________(填“a”或“b”)端.将温控室 1 的温度设置为T,电阻箱R 调为某一阻值R .闭合开关S,调节滑动变阻器R ,使电压表 0 01 1 和电流表的指针偏转到某一位置.记录此时电压表和电流表的示数、T和R .断开开关S.再 01 将电压表与热敏电阻C端间的导线改接到D端,闭合开关S.反复调节R 和R ,使电压表 0 1 和电流表的示数与上述记录的示数相同.记录此时电阻箱的阻值R .断开开关S. 02 ②实验中记录的阻值R ________(填“大于”“小于”或“等于”)R .此时热敏电阻 01 02 阻值R =________. T (3)改变温控室的温度,测量不同温度时的热敏电阻阻值,可以得到热敏电阻阻值随温 度的变化规律. 解析:(1)使用多用电表的欧姆挡前应先欧姆调零,即将两表笔短接.温度越高,相同 倍率下多用电表的指针向右偏转的角度越大,则电阻阻值越小,故热敏电阻的阻值随温度 的升高而减小. (2)①闭合开关前,为了保护电路,应该将滑动变阻器的滑片移到阻值最大处,即 b端. ②将电压表与热敏电阻C端间的导线改接到D端,调节滑动变阻器和电阻箱,使电压表和 电流表的示数与改接前一致,则R =R +R ,所以R >R ,R =R -R . 01 02 T 01 02 T 01 02 答案:(1)短接 减小 (2)①b ②大于 R -R 01 02 变式1 (2024·湖北高三专题练习)传感器担负着信息的采集任务,在自动控制中发挥 着重要作用,能够将感受到的物理量(如温度、光、声等)转换成便于测量的量(通常是电学 量),传感器是获取自然和生产领域中信息的主要途径与手段.回答下面传感器的应用实验 中的两个问题: (1)光传感器是利用光敏元件将光信号转换为电信号的传感器,如图甲所示为光敏电阻 自动计数器的示意图,其中S为发光仪器,小圆柱是传送带上的物品,R 为光敏电阻,其 1 阻值在有光照时比没有光照时要小得多,R 为定值电阻.当有光照射R 时,信号处理系统 2 1 获得________(填“高”或“低”)电压,信号处理系统每获得一次________(填“高”或 “低”)电压就记数一次.(2)热敏传感器利用由半导体材料制成的热敏电阻将热学量转换为电学量.热敏电阻的 阻值随温度变化的图像如图乙所示,图丙是由热敏电阻R 作为传感器的简单自动报警器的 1 线路图.为了使温度过高时报警器报警,c应接在________(填“a”或“b”)处.若要使启动 报警的温度提高些,应将滑动变阻器的滑片P向________(填“左”或“右”)移动. 解析:(1)当有光照射R 时,R 的电阻减小,整个电路总电阻减小,电动势不变,则电 1 1 流增大,R 两端的电压增大,即信号处理系统获得高电压;当照射R 的光被传送带上的物 2 1 品挡住时,R 的电阻增大,整个电路总电阻增大,电动势不变,则电流减小,R 两端的电 1 2 压减小,即信号处理系统获得低电压.则信号处理系统每获得一次低电压就记数一次. (2)温度升高时热敏电阻的阻值变小,左边电路中电流变大,电磁铁磁性变强,开关接 触a点,要使温度过高时报警器报警,c应接在a处.滑片P向左移动时,滑动变阻器接入 电路的阻值变大,在温度更高时左边电路才能有足够大电流,使磁铁有足够大的引力吸引 开关,因此滑片向左移动可以提高报警器报警的温度. 答案:(1)高 低 (2)a 左 考点 实验的创新与改进 典例2 (2023·湖南卷节选)某探究小组利用半导体薄膜压力传感器等元件设计了一个 测量微小压力的装置,其电路如图(a)所示,R 、R 、R 为电阻箱,R 为半导体薄膜压力传 1 2 3 F 感器,C、D间连接电压传感器(内阻无穷大).(1)先用欧姆表“×100”挡粗测R 的阻值,示数如图(b)所示,对应的读数是________Ω. F (2)适当调节R 、R 、R ,使 电压传感器示数为 0 ,此时,R 的阻值为________(用R 、 1 2 3 F 1 R 、R 表示). 2 3 (3)依次将0.5 g的标准砝码加载到压力传感器上(压力传感器上所受压力大小等于砝码 重力大小),读出电压传感器示数U,所测数据如下表所示: 次数 1 2 3 砝码质量m/g 0.0 0.5 1.0 电压U/mV 0 57 115 次数 4 5 6 砝码质量m/g 1.5 2.0 2.5 电压U/mV 168 220 280 根据表中数据在图(c)上描点,绘制U-m关系图线. (4)完成前面三步的实验工作后,该测量微小压力的装置即可投入使用.在半导体薄膜 压力传感器上施加微小压力F ,电压传感器示数为200 mV,则F 大小是________ N(重力 0 0 加速度取g=9.8 m/s2,保留2位有效数字). 解析:(1)欧姆表读数为10×100 Ω=1 000 Ω. (2)当电压传感器示数为零时,C、D两点电势相等,即U =U ,即R =R ,解得R CB DB F 3 F =. (3)绘出U-m图像如图所示.(4)由图像可知,当电压传感器的读数为200 mV时,所放物体质量为1.75 g,则F = 0 mg=1.75×10-3×9.8 N=1.7×10-2 N. 答案:(1)1 000 (2) (3)见解析图 (4)1.7×10-2 变式2 利用霍尔效应制作的霍尔元件,被广泛应用于测量、自动控制等领域.某同 学想设计一个研究霍尔电压与通过某霍尔元件电流关系的实验,查阅资料得知该霍尔元件 (导电微粒带负电)的工作电流在0~500 mA之间,C、D间产生的霍尔电压在0~5 V之间. 可供选择的器材如下: A.电流表A(量程0.6 A,内阻约为0.15 Ω) 1 B.电流表A(量程20 mA,内阻约为40 Ω) 2 C.电压表 V(量程6.0 V,内阻约为20 kΩ) 1 D.电压表 V(量程15 V,内阻约为20 kΩ) 2 E.保护电阻 F.滑动变阻器(最大阻值为50 Ω,允许通过的最大电流为1.5 A) G.电源、单刀单掷开关各一个,导线若干 实验时将该霍尔元件放在磁铁S极的正上方,要求多测量几组数据,且霍尔电压从零 开始变化.(1)为了完成实验,电流表应选用________(填“A”或“A”),电压表应选用 1 2 ________(填“V”或“V”). 1 2 (2)请结合(1)中所选的器材和实验要求将图甲中的实物图连线补充完整. (3)该同学将记录的实验数据描绘在UI坐标系中,如图乙所示,请将图像补充完整, 结合所作图像可得,在误差允许范围内霍尔电压U与电流大小I的关系为________(填“U =kI”“U=kI2”或“U=k”). 解析:(1)根据题意可知,霍尔元件最大电流为 0.5 A,最大电压为5 V,电流表应选 A,电压表应选 V. 1 1 (2)要求霍尔电压从零开始变化,则回路中的电流应从零开始变化,滑动变阻器应采用 分压式接法;保护电阻应与霍尔元件串联,根据电流的方向、导电微粒电性和左手定则可 知,D端的电势较低,电路连线如图(a)所示. (3)结合所描数据点,用平滑曲线连线,可以看出所作图线近似为过原点的直线,如图 (b)所示,则在误差允许范围内,霍尔电压U与电流大小I的关系为U=kI.答案:(1)A V (2)见解析图(a) (3)见解析图(b) U=kI 1 1