当前位置:首页>文档>黄金卷07-赢在高考·黄金8卷备战2024年高考物理模拟卷(河北卷专用)(参考答案)_4.2025物理总复习_2024年新高考资料_4.2024高考模拟预测试卷

黄金卷07-赢在高考·黄金8卷备战2024年高考物理模拟卷(河北卷专用)(参考答案)_4.2025物理总复习_2024年新高考资料_4.2024高考模拟预测试卷

  • 2026-04-04 05:15:35 2026-03-11 04:32:55

文档预览

黄金卷07-赢在高考·黄金8卷备战2024年高考物理模拟卷(河北卷专用)(参考答案)_4.2025物理总复习_2024年新高考资料_4.2024高考模拟预测试卷
黄金卷07-赢在高考·黄金8卷备战2024年高考物理模拟卷(河北卷专用)(参考答案)_4.2025物理总复习_2024年新高考资料_4.2024高考模拟预测试卷
黄金卷07-赢在高考·黄金8卷备战2024年高考物理模拟卷(河北卷专用)(参考答案)_4.2025物理总复习_2024年新高考资料_4.2024高考模拟预测试卷
黄金卷07-赢在高考·黄金8卷备战2024年高考物理模拟卷(河北卷专用)(参考答案)_4.2025物理总复习_2024年新高考资料_4.2024高考模拟预测试卷

文档信息

文档格式
docx
文档大小
0.138 MB
文档页数
4 页
上传时间
2026-03-11 04:32:55

文档内容

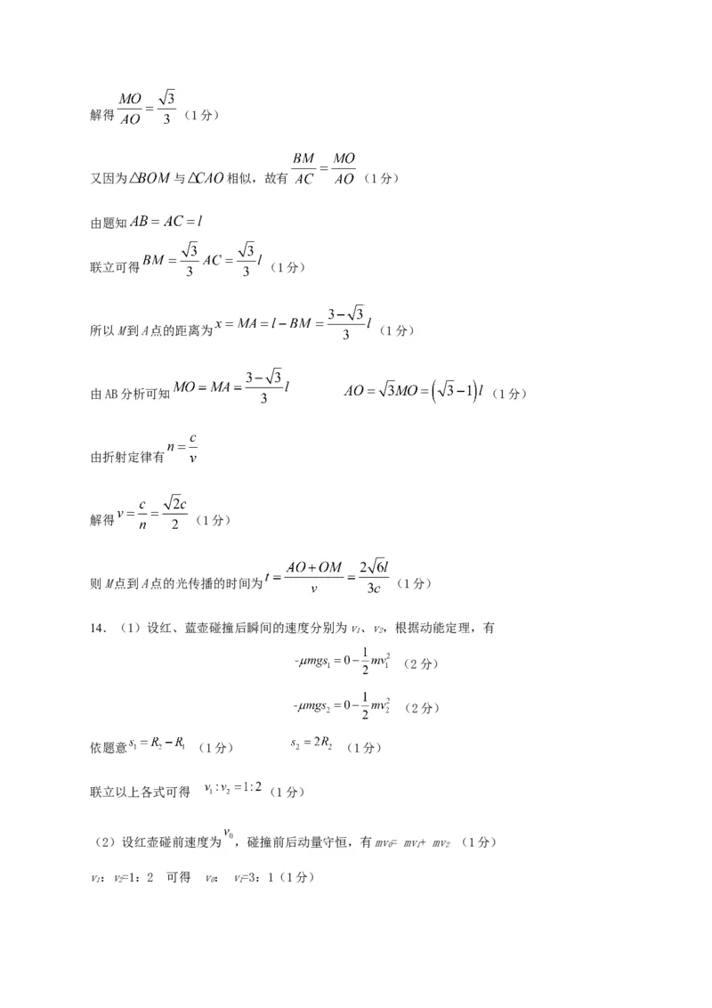
【赢在高考·黄金8卷】备战2024年高考物理模拟卷(河北卷专用) 黄金卷07·参考答案 (考试时间:75分钟 试卷满分:100分) 1 2 3 4 5 6 7 8 9 10 D D D B B B C ABD AC BC 11. ①. ACCA (2分) ②. (2分) ③. (2分) 12. 6.123##6.122##6.124 (2分) 10.230 (2分) (1分) 10.0 (2分) (2分) 13.根据题意,由折射定律和反射定律画出光路图,如图所示 光线垂直于BC方向射入,根据几何关系可知入射角为45°;由于棱镜折射率为 ,根据 有: (1分) 则折射角为30°; ,因为 ,所以光在BC面的入射角为 (1分) 根据反射定律可知 (1分) 根据几何关系可知 ,即 为等腰三角形,由正弦定理有 (1分)解得 (1分) 又因为 与 相似,故有 (1分) 由题知 联立可得 (1分) 所以M到A点的距离为 (1分) 由AB分析可知 (1分) 由折射定律有 解得 (1分) 则M点到A点的光传播的时间为 (1分) 14.(1)设红、蓝壶碰撞后瞬间的速度分别为v、v,根据动能定理,有 1 2 (2分) (2分) 依题意 (1分) (1分) 联立以上各式可得 (1分) (2)设红壶碰前速度为 ,碰撞前后动量守恒,有mv= mv+ mv (1分) 0 1 2 v:v=1:2 可得 v: v=3:1(1分) 1 2 0 1碰撞中损失的能量 (2分) 碰撞过程损失的机械能与碰前瞬间红壶动能之比 (1分) 15.(1)小球P运动至与Q碰撞前,有 (1分) 解得 (1分) P与Q发生弹性碰撞,有 (2分) 解得 , (1分) (2)设碰撞后,Q没有滑离AB段,当Q减速至0,有 (1分) 解得 (1分) 假设成立,即P与Q第一次碰撞后,滑块Q离A点的最远距离为1.5m。 (3)当P与Q第一次碰撞后,Q恰好能滑到B点,则 (1分) 解得 (1分) 当 时,Q从B点离开电场,则Q在AB段滑行的路程为 (1分) 当 时,Q没有从B离开,因为 则Q返回再次与P相碰。设Q第一次在AB段减速至0的位移为 时,返回与P碰撞后,P恰好能回到 O点等高位置,则 (1分) 设Q回到A点时速度为 ,Q从A开始运动到又回到A点时,有 (1分) P与Q再次碰撞,质量相等弹性碰撞,交换速度,则碰后P的速度也为v,此后P运动至圆心等高,有 2 解得 (2分)当 时,P超过O点等高位置,因为 ,P无法到达最高点,绳子松懈,不满 足条件。 当 时,因为 ,Q无法停在AB段,最终停在A点,全过程, 对系统,由能量守恒,有 (1分) 解得 (1分) 则Q在AB段滑行的路程为 综上:为保证绳子不松懈需满足为: ;当 时,Q在AB段滑行的路程 为 ;当 时,Q在AB段滑行的路程为 。