当前位置:首页>文档>专题04平面向量的线性运算与数量积(解析版)_2.2025数学总复习_2024年新高考资料_2.2024二轮复习_2024年高三数学二轮优化提优专题训练

专题04平面向量的线性运算与数量积(解析版)_2.2025数学总复习_2024年新高考资料_2.2024二轮复习_2024年高三数学二轮优化提优专题训练

  • 2026-04-04 20:41:02 2026-03-11 14:54:41

文档预览

专题04平面向量的线性运算与数量积(解析版)_2.2025数学总复习_2024年新高考资料_2.2024二轮复习_2024年高三数学二轮优化提优专题训练
专题04平面向量的线性运算与数量积(解析版)_2.2025数学总复习_2024年新高考资料_2.2024二轮复习_2024年高三数学二轮优化提优专题训练
专题04平面向量的线性运算与数量积(解析版)_2.2025数学总复习_2024年新高考资料_2.2024二轮复习_2024年高三数学二轮优化提优专题训练
专题04平面向量的线性运算与数量积(解析版)_2.2025数学总复习_2024年新高考资料_2.2024二轮复习_2024年高三数学二轮优化提优专题训练
专题04平面向量的线性运算与数量积(解析版)_2.2025数学总复习_2024年新高考资料_2.2024二轮复习_2024年高三数学二轮优化提优专题训练
专题04平面向量的线性运算与数量积(解析版)_2.2025数学总复习_2024年新高考资料_2.2024二轮复习_2024年高三数学二轮优化提优专题训练
专题04平面向量的线性运算与数量积(解析版)_2.2025数学总复习_2024年新高考资料_2.2024二轮复习_2024年高三数学二轮优化提优专题训练
专题04平面向量的线性运算与数量积(解析版)_2.2025数学总复习_2024年新高考资料_2.2024二轮复习_2024年高三数学二轮优化提优专题训练
专题04平面向量的线性运算与数量积(解析版)_2.2025数学总复习_2024年新高考资料_2.2024二轮复习_2024年高三数学二轮优化提优专题训练
专题04平面向量的线性运算与数量积(解析版)_2.2025数学总复习_2024年新高考资料_2.2024二轮复习_2024年高三数学二轮优化提优专题训练
专题04平面向量的线性运算与数量积(解析版)_2.2025数学总复习_2024年新高考资料_2.2024二轮复习_2024年高三数学二轮优化提优专题训练
专题04平面向量的线性运算与数量积(解析版)_2.2025数学总复习_2024年新高考资料_2.2024二轮复习_2024年高三数学二轮优化提优专题训练
专题04平面向量的线性运算与数量积(解析版)_2.2025数学总复习_2024年新高考资料_2.2024二轮复习_2024年高三数学二轮优化提优专题训练
专题04平面向量的线性运算与数量积(解析版)_2.2025数学总复习_2024年新高考资料_2.2024二轮复习_2024年高三数学二轮优化提优专题训练
专题04平面向量的线性运算与数量积(解析版)_2.2025数学总复习_2024年新高考资料_2.2024二轮复习_2024年高三数学二轮优化提优专题训练
专题04平面向量的线性运算与数量积(解析版)_2.2025数学总复习_2024年新高考资料_2.2024二轮复习_2024年高三数学二轮优化提优专题训练
专题04平面向量的线性运算与数量积(解析版)_2.2025数学总复习_2024年新高考资料_2.2024二轮复习_2024年高三数学二轮优化提优专题训练
专题04平面向量的线性运算与数量积(解析版)_2.2025数学总复习_2024年新高考资料_2.2024二轮复习_2024年高三数学二轮优化提优专题训练
专题04平面向量的线性运算与数量积(解析版)_2.2025数学总复习_2024年新高考资料_2.2024二轮复习_2024年高三数学二轮优化提优专题训练
专题04平面向量的线性运算与数量积(解析版)_2.2025数学总复习_2024年新高考资料_2.2024二轮复习_2024年高三数学二轮优化提优专题训练
专题04平面向量的线性运算与数量积(解析版)_2.2025数学总复习_2024年新高考资料_2.2024二轮复习_2024年高三数学二轮优化提优专题训练
专题04平面向量的线性运算与数量积(解析版)_2.2025数学总复习_2024年新高考资料_2.2024二轮复习_2024年高三数学二轮优化提优专题训练
专题04平面向量的线性运算与数量积(解析版)_2.2025数学总复习_2024年新高考资料_2.2024二轮复习_2024年高三数学二轮优化提优专题训练
专题04平面向量的线性运算与数量积(解析版)_2.2025数学总复习_2024年新高考资料_2.2024二轮复习_2024年高三数学二轮优化提优专题训练
专题04平面向量的线性运算与数量积(解析版)_2.2025数学总复习_2024年新高考资料_2.2024二轮复习_2024年高三数学二轮优化提优专题训练
专题04平面向量的线性运算与数量积(解析版)_2.2025数学总复习_2024年新高考资料_2.2024二轮复习_2024年高三数学二轮优化提优专题训练

文档信息

文档格式
docx
文档大小
1.577 MB
文档页数
26 页
上传时间
2026-03-11 14:54:41

文档内容

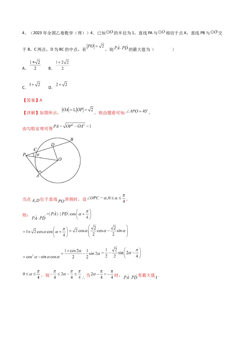
专题04 平面向量的线性运算与数量积 1、(2023年新课标全国Ⅰ卷)已知向量 ,若 ,则( ) A. B. C. D. 【答案】D 【详解】因为 ,所以 , , 由 可得, , 即 ,整理得: . 故选:D. 2、(2023年新课标全国Ⅱ卷)2.已知向量 , 满足 , ,则 ______. 【答案】 【详解】法一:因为 ,即 , 则 ,整理得 , 又因为 ,即 , 则 ,所以 . 法二:设 ,则 , 由题意可得: ,则 , 整理得: ,即 .故答案为: . 3、(2023年全国乙卷数学(文))3.正方形 的边长是2, 是 的中点,则 ( ) A. B.3 C. D.5 【答案】B 【详解】方法一:以 为基底向量,可知 , 则 , 所以 ; 方法二:如图,以 为坐标原点建立平面直角坐标系, 则 ,可得 , 所以 ; 方法三:由题意可得: , 在 中,由余弦定理可得 , 所以 . 故选:B.4、(2023年全国乙卷数学(理))4.已知 的半径为1,直线PA与 相切于点A,直线PB与 交 于B,C两点,D为BC的中点,若 ,则 的最大值为( ) A. B. C. D. 【答案】A 【详解】如图所示, ,则由题意可知: , 由勾股定理可得 当点 位于直线 异侧时,设 , 则: ,则 当 时, 有最大值 .当点 位于直线 同侧时,设 , 则: ,则 当 时, 有最大值 . 综上可得, 的最大值为 . 故选:A. 5、(2023年全国甲卷数学(文))5.已知向量 ,则 ( ) A. B. C. D. 【答案】B 【详解】因为 ,所以 , 则 , ,所以 . 故选:B. 6、(2023年全国甲卷数学(理))6.向量 ,且 ,则 ( ) A. B. C. D. 【答案】D 【详解】因为 ,所以 , 即 ,即 ,所以 . 如图,设 , 由题知, 是等腰直角三角形, AB边上的高 , 所以 , ,. 故选:D. 7、【2022年全国乙卷】已知向量⃑a=(2,1),⃑b=(−2,4),则|⃑a−⃑b|( ) A.2 B.3 C.4 D.5 【答案】D 【解析】因为⃑a−⃑b=(2,1)−(−2,4)=(4,−3),所以|⃑a−⃑b|=√42+(−3) 2=5. 故选:D 8.【2022年全国乙卷】已知向量⃑a,⃑b满足|⃑a|=1,|⃑b|=√3,|⃑a−2⃑b|=3,则⃑a⋅⃑b=( ) A.−2 B.−1 C.1 D.2 【答案】C 2 【解析】:∵|⃗a−2⃗b|2=|⃗a|2−4⃗a⋅⃗b+4|⃗b|, 又∵|⃗a|=1,|⃗b|=√3,|⃗a−2⃗b|=3, ∴9=1−4⃗a⋅⃗b+4×3=13−4⃗a⋅⃗b, ∴⃗a⋅⃗b=1 故选:C. 9、【2022年新高考1卷】在△ABC中,点D在边AB上,BD=2DA.记⃑CA=⃗m,⃑CD=⃗n,则⃑CB= ( ) A.3⃗m−2⃗n B.−2⃗m+3⃗n C.3⃗m+2⃗n D.2⃗m+3⃗n 【答案】B 【解析】因为点D在边AB上,BD=2DA,所以⃑BD=2⃑DA,即⃑CD−⃑CB=2(⃑CA−⃑CD), 所以⃑CB= 3⃑CD−2⃑CA=3⃑n−2⃑m =−2⃗m+3⃗n. 故选:B. 10.【2022年新高考2卷】已知向量⃑a=(3,4),⃑b=(1,0),⃑c=⃑a+t⃑b,若<⃑a,⃑c>=<⃑b,⃑c>,则t=( ) A.−6 B.−5 C.5 D.6 【答案】C 9+3t+16 3+t 【解析】:⃗c=(3+t,4),cos⟨⃗a,⃗c⟩=cos⟨b,⃗c⟩,即 = ,解得t=5, 5|⃗c| |⃗c| 故选:C11、【2022年全国甲卷】已知向量⃑a=(m,3),⃑b=(1,m+1).若⃑a⊥⃑b,则m=______________. 3 【答案】− ##−0.75 4 3 【解析】由题意知:⃑a⋅⃑b=m+3(m+1)=0,解得m=− . 4 3 故答案为:− . 4 1 12.【2022年全国甲卷】设向量⃑a,⃑b的夹角的余弦值为 ,且|⃑a|=1,|⃑b|=3,则(2⃑a+⃑b)⋅⃑b=_________. 3 【答案】11 1 1 【解析】:设⃑a与⃑b的夹角为θ,因为⃑a与⃑b的夹角的余弦值为 ,即cosθ= , 3 3 1 又|⃑a|=1,|⃑b|=3,所以⃑a⋅⃑b=|⃑a|⋅|⃑b|cosθ=1×3× =1, 3 所以(2⃑a+⃑b)⋅⃑b=2⃑a⋅⃑b+⃑b2=2⃑a⋅⃑b+|⃑b| 2 =2×1+32=11. 故答案为:11. 13、(2023年新高考天津卷)7.在 中, , ,点 为 的中点,点 为 的中点, 若设 ,则 可用 表示为_________;若 ,则 的最大值为_________. 【答案】 【详解】空1:因为 为 的中点,则 ,可得 , 两式相加,可得到 , 即 ,则 ; 空2:因为 ,则 ,可得 , 得到 ,即 ,即 . 于是 . 记 , 则 , 在 中,根据余弦定理: , 于是 , 由 和基本不等式, , 故 ,当且仅当 取得等号, 则 时, 有最大值 . 故答案为: ; . 题组一、平面向量的线性运算与基本定理的应用 1-1、(2022·河北·石家庄二中模拟预测)数学家欧拉于 年在他的著作《三角形的几何学》中首次提出 定理:三角形的外心、重心、垂心依次位于同一条直线上,且重心到外心的距离是重心到垂心距离的一半, 该直线被称为三角形的欧拉线,设点 分别为任意 的外心、重心、垂心,则下列各式一定正确的 是( ) A. B.C. D. 【答案】D 【解析】 依次位于同一条直线上,且重心到外心的距离是重心到垂心距离的一半, , , ,A错误,B错误; ,C错误; ,D正确. 故选:D. 1-2、(2023·黑龙江哈尔滨·哈师大附中统考三模)平行四边形 中,点 在边 上, , 记 ,则 ( ) A. B. C. D. 【答案】D 【详解】在 中, , , 所以 . 故选:D1-3、(2023·山西·统考一模)已知矩形 中, 为 边中点,线段 和 交于点 ,则 ( ) A. B. C. D. 【答案】D 【分析】取 中点 ,可证得四边形 为平行四边形,得到 ,结合三角形中位线性质可确 定 为 上靠近 的三等分点,从而根据向量线性运算推导得到结果. 【详解】取 中点 ,连接 ,交 于点 , , , 四边形 为平行四边形, ,又 为 中点, ,同理可得: , , . 故选:D.  1 AD  BC 1-4、(2021·山东泰安市·高三三模)已知平面四边形ABCD满足 4 ,平面内点E满足      BE 3CE CD AE M BM  xAB yAD x y  , 与 交于点 ,若 ,则 ( ) 5 5 4 4   A.2 B. 2 C.3 D. 3 【答案】C 【解析】易知BC 4AD,CE 2AD,    1  1   BM  AM  AB AE AB  ABBE AB 3 3 1   2   AB6AD  AB  AB2AD 3 3 , 4 x y  ∴ 3 , 故选:C . 题组二、向量的坐标运算 2-1、(2023·山西运城·统考三模)已知向量 满足 ,且 ,则实数 ( ) A.1或 B.-1或 C.1或 D.-1或 【答案】D 【详解】 所以 , 因为 , 所以 , 解得 或 , 故选:D. 2-2、(2023·安徽马鞍山·统考三模)已知向量 ,若 ,则 ( ) A. B. C. D. 【答案】A【详解】 , ; 故选:A. 2-3、(2023·辽宁·校联考三模)已知向量 , ,且 ,则 ______. 【答案】 【详解】已知向量 , , , ∵ ,∴ ,解得 ,∴ , . 故答案为: 2-4、(2023·辽宁·大连二十四中校联考三模)已知平面向量 ,若 , 则 __________. 【答案】 【详解】 , 因为 ,所以 ,解得 . 故答案为: 2-5、(2022·山东省淄博实验中学高三期末)已知向量 , ,则下列命 题正确的是( ) A.若 ,则 B.若 在 上的投影为 ,则向量 与 夹角为 C.与 共线的单位向量只有一个为 D.存在 ,使得 【答案】BD 【解析】 :向量 , ,对A:因为 ,所以 ,所以 ,故选项A错误; 对B:因为 在 上的投影向量为 ,即 , 所以 ,又 , 所以 , 因为 ,所以向量 与 夹角为 ,故选项B正确; 对C:与 共线的单位向量有两个,分别为 和 ,故选项C错误; 对D:当 时, ,此时向量 与 共线同向,满足 ,所以存在 , 使得 ,故选项D正确; 故选:BD. 题组三、向量的夹角与模 3-1、(2023·湖南长沙·长沙市明德中学校考三模)已知平面向量 满足 , ,且 与 的 夹角为 ,则 ( ) A. B. C. D. 【答案】D 【详解】因为平面向量 满足 , ,且 与 的夹角为 , 则 ,则 ,即 解得 , 所以 .故选:D 3-2、(2023·湖南岳阳·统考三模)已知平面向量 的夹角为 ,且 ,则 ( ) A. B. C. D. 【答案】D 【详解】由已知 . 故选:D. 3-3、(2023·重庆·统考三模)已知 是单位向量,向量 满足 与 成角 ,则 的取值范围是 ( ) A. B. C. D. 【答案】C 【详解】设 ,如图所示: 则由 ,又 与 的夹角为 , . 又由 ,由正弦定理 ,得 , , , , 故选:C 3-4、(2022·山东青岛·高三期末)已知非零向量 满足: ,则 夹角 的值为( ) A. B. C. D. 【答案】B 【解析】 解:因为 , 所以 , 所以 , 因为 , 所以 ,由于 所以 故选:B 题组四、向量的投影 4-1、(2023·安徽黄山·统考三模)已知 向量 满足 ,则 在 方向上的投 影向量的模长的最大值为( ) A. B. C. D. 【答案】D 【详解】因为 ,, 设 的夹角为 , ,解得: , 因为 ,则 ,设 , 所以设 , ,因为 ,则 , 化简得: ,所以 在 方向上的投影向量的模长为: , 所以 在 方向上的投影向量的模长的最大值为: . 故选:D. 4-2、(2023·安徽马鞍山·统考一模)已知平面向量 , ,则 在 上的投影向量为 ( ) A. B. C. D. 【答案】B 【分析】根据 在 上的投影向量是 计算即可解决. 【详解】由题知, , 所以 , 设 与 夹角为 , 所以 在 上的投影向量是 , 故选: . 4-2、(2023·浙江·校联考三模)(多选)在平面直角坐标系中,已知点 ,则 ( ) A. B. 是直角三角形 C. 在 方向上的投影向量的坐标为D.与 垂直的单位向量的坐标为 或 【答案】ABD 【详解】因为 ,所以 ,A正确 因为 ,所以 , 所以 ,即 为直角三角形,B正确; 设与 同向的单位向量为 , , 所以 在 方向上的投影向量为 ,C错 误; 因为 ,设与 垂直的单位向量为 , 则 ,解得 或 , 故与 垂直的单位向量的坐标为 或 ,D正确, 故选:ABD. 4-3、(2023·黑龙江牡丹江·牡丹江市第三高级中学校考三模)如果平面向量 , ,则向 量 在 上的投影向量为_____ . 【答案】 【详解】由已知可得, , , 所以, , 所以,向量 在 上的投影向量为 . 故答案为: . 题组五、向量数量积的运用5-1、(2023·湖北·校联考三模)正 的边长为2, ,则 ( ) A.2 B. C. D. 【答案】C 【详解】设 ,如图所示: 因为 所以 , 故选:C. 5-2、(2022·山东日照·高三期末)已知△ 是边长为1的等边三角形,点 分别是边 的中点, 且 ,则 的值为( ) A. B. C.1 D. 【答案】B 【解析】把△ 如下图放在直角坐标系中,由于△ 的边长为1,故 , 点 分别是边 的中点, ,设 , , , , . 故选:B. 5-3、(2023·安徽·校联考三模)勒洛三角形是一种典型的定宽曲线,以等边三角形每个顶点为圆心,以边 长为半径,在另两个顶点间作一段圆弧,三段圆弧围成的曲边三角形就是勒洛三角形.在如图所示的勒洛 三角形中,已知 ,P为弧AC上的一点,且 ,则 的值为( ) A. B. C. D. 【答案】C 【详解】如图所示,以B为坐标原点,直线BC为x轴,过点B且垂直于BC的直线为y轴, 建立平面直角坐标系,则 , , 由 ,得 , 所以 , , 所以 . 故选:C.5-4、(2023·湖南永州·统考三模)窗花是贴在窗纸或窗户玻璃上的剪纸,是中国古老的传统民间艺术.图1 是一张由卷曲纹和回纹构成的正六边形剪纸窗花,如图2所示其外框是边长为2的正六边形ABCDEF,内 部圆的圆心为该正六边形的中心О,圆О的半径为1,点P在圆О上运动,则 的最小值为( ) A.-1 B.-2 C.1 D.2 【答案】D 【详解】如图以 为坐标原点, 所在直线为 轴, 的垂直平分线所在直线为 轴,建立平面直角坐 标系,设点 , 由题意知, , ,则 , , 所以 ,当 ,即 时 取最小值 , 故选:D. 1、(2023·黑龙江大庆·统考一模)已知 , ,若 ,则 ( ) A. B.4 C.3 D. 【答案】B 【分析】由平面向量的坐标运算求解,【详解】因为 ,所以 ,所以 . 故选:B. 2、(2023·安徽铜陵·统考三模)在平行四边形 中, 是 边上中点,则 ( ) A. B. C. D. 【答案】C 【详解】因为 是平行四边形 的 边上中点,所以 , 所以 , 所以 . 故选:C. 3、(2023·云南红河·统考一模)已知向量 , ,且 ,则实数 ( ) A.2 B. C.8 D. 【答案】D 【分析】计算出 和 ,利用垂直列出方程,求出实数 的值. 【详解】由题意得 , , 由 .得 ,所以 . 故选:D. 4、(2023·云南玉溪·统考一模)在扇形COD中 , .设向量 , ,则 ( ) A.-4 B.4 C.-6 D.6 【答案】D 【分析】运用向量的数量积运算公式求解即可. 【详解】∵ , ,∴ , , , ∴ . 故选:D. 5、(2023·云南·统考一模)平面向量 与 相互垂直,已知 , ,且 与向量 的夹角是 钝角,则 ( ) A. B. C. D. 【答案】D 【分析】设 ,则由题意得 ,解出方程,检验即可. 【详解】设 ,则由题意得 ,即 , 解得 或 , 设 ,当 时,此时 , 又因为向量夹角范围为 ,故此时夹角为锐角,舍去; 当 时,此时 ,故此时夹角为钝角, 故选:D. 6、(2023·山西临汾·统考一模)已知 , 为不共线的非零向量, , , ,则( )A. , , 三点共线 B. , , 三点共线 C. , , 三点共线 D. , , 三点共线 【答案】B 【分析】根据给定条件,求出 ,再利用共线向量逐项判断作答. 【详解】 , 为不共线的非零向量, , , , 则 , , 因 ,则 与 不共线, , , 三点不共线,A不正确; 因 ,即 与 共线,且有公共点B,则 , , 三点共线,B正确; 因 ,则 与 不共线, , , 三点不共线,C不正确; 因 ,则 与 不共线, , , 三点不共线,D不正确. 故选:B. 7、(2023·河北唐山·统考三模)正方形 边长为 , 为 中点,点 在 上, , 则 ( ) A. B. C.5 D.10 【答案】C 【详解】设 , 因为 , , 因为正方形 边长为 , , 所以 ,解得 , 所以 , 故选:C 8、(2023·安徽宿州·统考一模)(多选题)已知平面向量 , , ,则下列说法正 确的是( )A.若 ,则 B.若 ,则 C.若 ,则向量 在 上的投影向量为 D.若 ,则向量 与 的夹角为锐角 【答案】AB 【分析】根据向量线性运算即数量积公式可得AB正确;根据投影向量定义可得向量 在 上的投影向量为 ,即C错误;由 可得 ,但此时向量 与 的夹角可以为零角并非锐角,可得D错误. 【详解】若 ,根据平面向量共线性质可得 ,即 ,所以A正确; 若 ,可得 ,即 ,解得 ,所以B正确; 若 , ,由投影向量定义可知向量 在 上的投影向量为 ,即C错误; 若 ,则 ,所以 ; 但当 时, ,即此时向量 与 的夹角为零角,所以D错误. 故选:AB. 9、(2023·吉林通化·梅河口市第五中学校考一模)若向量 , ,且 , 共线,则 ______. 【答案】 【分析】根据向量共线的充要条件得出 ,然后利用向量的坐标运算即可求解. 【详解】因为 , 共线,所以 ,解得: , 所以 , , 所以 , 故答案为: .10、(2023·黑龙江·黑龙江实验中学校考一模)已知向量 , ,若 ,则 ______ 【答案】 【分析】根据向量坐标运算法则求出 ,再利用模的计算公式即可. 【详解】根据题意, , 解得 ,此时 ,则 . 故答案为: . 11、(2023·安徽安庆·校考一模)已知向量 ,设 与 的夹角为 ,则 __________. 【答案】 【分析】由平面向量的夹角公式代入计算即可得出答案. 【详解】由平面向量的夹角公式得, . 故答案为: 12、(2023·山西晋中·统考三模)设向量 与向量 的夹角为 ,定义 与 的向量积: 是一个向量, 它的模 .若 , ,则 ( ) A.-1 B.1 C. D. 【答案】D 【详解】∵ , ∴ ,又 ,∴ ,∴ . 故选:D.