当前位置:首页>文档>专题22.9线段、面积与角度问题——二次函数的综合(压轴题专项讲练)(人教版)(学生版)_初中数学_九年级数学上册(人教版)_压轴题专项-V5_2025版

专题22.9线段、面积与角度问题——二次函数的综合(压轴题专项讲练)(人教版)(学生版)_初中数学_九年级数学上册(人教版)_压轴题专项-V5_2025版

  • 2026-04-06 17:31:08 2026-04-06 17:24:00

文档预览

专题22.9线段、面积与角度问题——二次函数的综合(压轴题专项讲练)(人教版)(学生版)_初中数学_九年级数学上册(人教版)_压轴题专项-V5_2025版
专题22.9线段、面积与角度问题——二次函数的综合(压轴题专项讲练)(人教版)(学生版)_初中数学_九年级数学上册(人教版)_压轴题专项-V5_2025版
专题22.9线段、面积与角度问题——二次函数的综合(压轴题专项讲练)(人教版)(学生版)_初中数学_九年级数学上册(人教版)_压轴题专项-V5_2025版
专题22.9线段、面积与角度问题——二次函数的综合(压轴题专项讲练)(人教版)(学生版)_初中数学_九年级数学上册(人教版)_压轴题专项-V5_2025版
专题22.9线段、面积与角度问题——二次函数的综合(压轴题专项讲练)(人教版)(学生版)_初中数学_九年级数学上册(人教版)_压轴题专项-V5_2025版
专题22.9线段、面积与角度问题——二次函数的综合(压轴题专项讲练)(人教版)(学生版)_初中数学_九年级数学上册(人教版)_压轴题专项-V5_2025版
专题22.9线段、面积与角度问题——二次函数的综合(压轴题专项讲练)(人教版)(学生版)_初中数学_九年级数学上册(人教版)_压轴题专项-V5_2025版
专题22.9线段、面积与角度问题——二次函数的综合(压轴题专项讲练)(人教版)(学生版)_初中数学_九年级数学上册(人教版)_压轴题专项-V5_2025版
专题22.9线段、面积与角度问题——二次函数的综合(压轴题专项讲练)(人教版)(学生版)_初中数学_九年级数学上册(人教版)_压轴题专项-V5_2025版
专题22.9线段、面积与角度问题——二次函数的综合(压轴题专项讲练)(人教版)(学生版)_初中数学_九年级数学上册(人教版)_压轴题专项-V5_2025版
专题22.9线段、面积与角度问题——二次函数的综合(压轴题专项讲练)(人教版)(学生版)_初中数学_九年级数学上册(人教版)_压轴题专项-V5_2025版
专题22.9线段、面积与角度问题——二次函数的综合(压轴题专项讲练)(人教版)(学生版)_初中数学_九年级数学上册(人教版)_压轴题专项-V5_2025版
专题22.9线段、面积与角度问题——二次函数的综合(压轴题专项讲练)(人教版)(学生版)_初中数学_九年级数学上册(人教版)_压轴题专项-V5_2025版
专题22.9线段、面积与角度问题——二次函数的综合(压轴题专项讲练)(人教版)(学生版)_初中数学_九年级数学上册(人教版)_压轴题专项-V5_2025版
专题22.9线段、面积与角度问题——二次函数的综合(压轴题专项讲练)(人教版)(学生版)_初中数学_九年级数学上册(人教版)_压轴题专项-V5_2025版
专题22.9线段、面积与角度问题——二次函数的综合(压轴题专项讲练)(人教版)(学生版)_初中数学_九年级数学上册(人教版)_压轴题专项-V5_2025版
专题22.9线段、面积与角度问题——二次函数的综合(压轴题专项讲练)(人教版)(学生版)_初中数学_九年级数学上册(人教版)_压轴题专项-V5_2025版
专题22.9线段、面积与角度问题——二次函数的综合(压轴题专项讲练)(人教版)(学生版)_初中数学_九年级数学上册(人教版)_压轴题专项-V5_2025版
专题22.9线段、面积与角度问题——二次函数的综合(压轴题专项讲练)(人教版)(学生版)_初中数学_九年级数学上册(人教版)_压轴题专项-V5_2025版
专题22.9线段、面积与角度问题——二次函数的综合(压轴题专项讲练)(人教版)(学生版)_初中数学_九年级数学上册(人教版)_压轴题专项-V5_2025版
专题22.9线段、面积与角度问题——二次函数的综合(压轴题专项讲练)(人教版)(学生版)_初中数学_九年级数学上册(人教版)_压轴题专项-V5_2025版
专题22.9线段、面积与角度问题——二次函数的综合(压轴题专项讲练)(人教版)(学生版)_初中数学_九年级数学上册(人教版)_压轴题专项-V5_2025版
专题22.9线段、面积与角度问题——二次函数的综合(压轴题专项讲练)(人教版)(学生版)_初中数学_九年级数学上册(人教版)_压轴题专项-V5_2025版
专题22.9线段、面积与角度问题——二次函数的综合(压轴题专项讲练)(人教版)(学生版)_初中数学_九年级数学上册(人教版)_压轴题专项-V5_2025版
专题22.9线段、面积与角度问题——二次函数的综合(压轴题专项讲练)(人教版)(学生版)_初中数学_九年级数学上册(人教版)_压轴题专项-V5_2025版
专题22.9线段、面积与角度问题——二次函数的综合(压轴题专项讲练)(人教版)(学生版)_初中数学_九年级数学上册(人教版)_压轴题专项-V5_2025版

文档信息

文档格式
docx
文档大小
2.408 MB
文档页数
22 页
上传时间
2026-04-06 17:24:00

文档内容

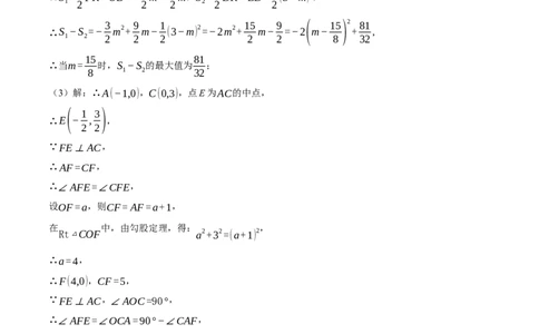
专题 22.9 线段、面积与角度问题——二次函数的综合 ◆ 典例分析 【典例1】已知平面直角坐标系中,O为坐标原点,抛物线y=−x2+bx+c与x轴交于A,B两点,与y轴 的正半轴交于点C,且A(−1,0),C(0,3). (1)求抛物线的解析式; (2)如图1,点P是抛物线在第一象限内的一点,连接PB,PC,过点P作PD⊥x轴于点D,交BC于 点K.记△PBC,△BDK的面积分别为S ,S ,求S −S 的最大值; 1 2 1 2 (3)如图2,连接AC,点E为线段AC的中点,过点E作EF⊥AC交x轴于点F.在抛物线上是否存在 点M,使∠MFA=∠OCA?若存在,求出点M的坐标;若不存在,说明理由. 【思路点拨】 (1)利用待定系数法求出函数解析式即可; (2)求出 的解析式,设 ,则 , ,将 转化为二次函数 BC P(m,−m2+2m+3) K(m,−m+3) D(m,0) S −S 1 2 求最值即可; (3)易得FE垂直平分AC,设OF=a,则CF=AF=a+1,勾股定理求出F点坐标,三线合一结合同角的 余角相等,推出∠AFE=∠OCA,分两种情况讨论,进行求解即可. 【解题过程】 (1)解:把A(−1,0),C(0,3),代入函数解析式得: {−1−b+c=0) {b=2) ,解得: , c=3 c=3 ∴y=−x2+2x+3; (2)解:∵当y=0时,−x2+2x+3=0解得x =−1,x =3, 1 2∴B(3,0), ∴设直线BC的解析式为:y=kx+3(k≠0), 把B(3,0)代入,得:k=−1, ∴y=−x+3, 设 ,则 , , P(m,−m2+2m+3) K(m,−m+3) D(m,0) PK=−m2+2m+3−(−m+3)=−m2+3m,DK=−m+3,DB=3−m, 1 3 9 1 1 ∴S = PK⋅OB=− m2+ m,S = DK⋅BD= (3−m) 2, 1 2 2 2 2 2 2 ∴S −S =− 3 m2+ 9 m− 1 (3−m) 2=−2m2+ 15 m− 9 =−2 ( m− 15) 2 + 81 , 1 2 2 2 2 2 2 8 32 15 81 ∴当m= 时,S −S 的最大值为 ; 8 1 2 32 (3)解:∴A(−1,0),C(0,3),点E为AC的中点, ( 1 3) ∴E − , , 2 2 ∵FE⊥AC, ∴AF=CF, ∴∠AFE=∠CFE, 设OF=a,则CF=AF=a+1, 在 中,由勾股定理,得: , Rt△COF a2+32=(a+1) 2 ∴a=4, ∴F(4,0),CF=5, ∵FE⊥AC,∠AOC=90°, ∴∠AFE=∠OCA=90°−∠CAF, ∴∠AFE=∠OCA, ( 1 3) 设FE的解析式为:y=kx+b,E − , ,F(4,0), 2 2 { 4k+b=0 ) 1 3 , − k+b= 2 21 { k=− ) 3 解得: , 4 b= 3 1 4 ∴y=− x+ , 3 3 {y=−x2+2x+3) 联立 , 1 4 y=− x+ 3 3 7+❑√109 7−❑√109 解得x = ,x = , 1 6 2 6 ∴ (7−❑√109 17+❑√109); (7+❑√109 17−❑√109) M , M , 6 18 6 18 取点E关于x轴的对称点 ,连接 交抛物线于点M,则:∠MFA=∠EFA=∠OCA, ( 1 3) − ,− , 2 2 设 的解析式为: , y=k x+b 1 { 4k+b=0 ) 则: 1 3 , − k+b=− 2 2 1 { k= ) 3 解得: , 4 b=− 31 4 ∴y= x− , 3 3 {y=−x2+2x+3) 联立 , 1 4 y= x− 3 3 5+❑√181 5−❑√181 解得x = ,x = , 1 6 2 6 ∴ (5+❑√181 −19+❑√181); (5−❑√181 −19−❑√181) M , M , 6 18 6 18 综上,点M的坐标为(7+❑√109 17−❑√109)或(7−❑√109 17+❑√109)或(5+❑√181 −19+❑√181)或 , , , 6 18 6 18 6 18 (5−❑√181 −19−❑√181). , 6 18 ◆ 学霸必刷 1 4 1.(2024·山西·二模)如图,抛物线y=− x2+ x+4与x轴交于A,B两点(点A在点B的左侧),与 3 3 y轴交于点C,连接BC. (1)求A,B,C三点的坐标,并直接写出线段BC所在直线的函数表达式; (2)点P是线段BC上方抛物线上的一个动点,过点P作PM⊥x轴于点M,交BC于点N求线段PN长的最大值. 1 3 2.(24-25九年级上·湖北荆门·阶段练习)如图,抛物线y=− x2+ x+2交x轴于A、B两点,与y轴交 2 2 于点C.点D(2,n)在抛物线上. (1)求四边形ABDC的面积; (2)在抛物线的对称轴上是否存在一点P,使得|PC−PB)的值最大,若存在,试求出点P的坐标. 3.(24-25九年级上·广西南宁·开学考试)如图,抛物线y=−x2+bx+c与x轴交于A(1,0),B(−5,0)两 点,与y轴交于点C, P是抛物线上的任意一点(不与点C重合),点P的横坐标为m,拋物线上点C与点 P之间的部分(包含端点)记为图象G. (1)求抛物线的解析式; (2)若点P位于线段BC上方,求△PBC面积的最大值; (3)若图象G的最大值与最小值的差为4,求m的取值范围.4.(23-24九年级上·宁夏石嘴山·期中)如图,直线y=−x+3与x轴、y轴分别交于B、C两点,抛物线 y=−x2+bx+c经过点B、C,与x轴另一交点为A,顶点为D. (1)求抛物线的解析式; (2)在x轴上找一点E,使EC+ED的值最小,求EC+ED的最小值; (3)在抛物线的对称轴上是否存在一点P,使得∠APB=∠OCB?若存在,求出P点坐标;若不存在, 请说明理由.5.(24-25九年级上·广东东莞·阶段练习)如图,抛物线y=x2−2x−3与x轴交于A(−1,0),B(3,0)两 点,直线l:y=kx+b与抛物线交于A、C两点,其中C点的横坐标为2. (1)求点C的坐标和直线l的解析式; (2)点P是y轴上的一点,求满足PB+PC的值为最小的点P坐标; (3)点Q是直线l下方抛物线上一动点,动点Q运动到什么位置时,△AQC的面积最大?求出此时Q点坐 标和△AQC的最大面积.1 1 6.(24-25九年级上·重庆·开学考试)如图,在平面直角坐标系中,拋物线y=− x2+ x+3与x轴正半 2 2 轴交于点B,与y轴于点C,且过点A(−1,2),连接AB,AC,BC. (1)求△ABC的面积; (2)若点P是抛物线对称轴上一点,且S =2S ,求点P的坐标. △ABC △BCP7.(23-24九年级上·福建厦门·期中)如图,抛物线y=ax2+bx+3过点A(−1,0),B(3,0),与 y轴交于点C. (1)求抛物线的解析式; (2)第一象限内的抛物线y=ax2+bx+3图象上有一动点P,x轴正半轴上有一点D,且OD=2,当 △PCD的面积是3时,求出点P的坐标; (3)抛物线y=ax2+bx+3的顶点为Q,直线y=kx与抛物线交于点E,F,M是线段EF的中点,当 0