当前位置:首页>文档>专题04椭圆中的参数及范围问题(解析版)_2.2025数学总复习_2024年新高考资料_3.2024专项复习_2024年新高考数学之圆锥曲线专项重难点突破练(新高考专用)

专题04椭圆中的参数及范围问题(解析版)_2.2025数学总复习_2024年新高考资料_3.2024专项复习_2024年新高考数学之圆锥曲线专项重难点突破练(新高考专用)

  • 2026-04-11 19:51:21 2026-03-11 15:05:01

文档预览

专题04椭圆中的参数及范围问题(解析版)_2.2025数学总复习_2024年新高考资料_3.2024专项复习_2024年新高考数学之圆锥曲线专项重难点突破练(新高考专用)
专题04椭圆中的参数及范围问题(解析版)_2.2025数学总复习_2024年新高考资料_3.2024专项复习_2024年新高考数学之圆锥曲线专项重难点突破练(新高考专用)
专题04椭圆中的参数及范围问题(解析版)_2.2025数学总复习_2024年新高考资料_3.2024专项复习_2024年新高考数学之圆锥曲线专项重难点突破练(新高考专用)
专题04椭圆中的参数及范围问题(解析版)_2.2025数学总复习_2024年新高考资料_3.2024专项复习_2024年新高考数学之圆锥曲线专项重难点突破练(新高考专用)
专题04椭圆中的参数及范围问题(解析版)_2.2025数学总复习_2024年新高考资料_3.2024专项复习_2024年新高考数学之圆锥曲线专项重难点突破练(新高考专用)
专题04椭圆中的参数及范围问题(解析版)_2.2025数学总复习_2024年新高考资料_3.2024专项复习_2024年新高考数学之圆锥曲线专项重难点突破练(新高考专用)
专题04椭圆中的参数及范围问题(解析版)_2.2025数学总复习_2024年新高考资料_3.2024专项复习_2024年新高考数学之圆锥曲线专项重难点突破练(新高考专用)
专题04椭圆中的参数及范围问题(解析版)_2.2025数学总复习_2024年新高考资料_3.2024专项复习_2024年新高考数学之圆锥曲线专项重难点突破练(新高考专用)
专题04椭圆中的参数及范围问题(解析版)_2.2025数学总复习_2024年新高考资料_3.2024专项复习_2024年新高考数学之圆锥曲线专项重难点突破练(新高考专用)
专题04椭圆中的参数及范围问题(解析版)_2.2025数学总复习_2024年新高考资料_3.2024专项复习_2024年新高考数学之圆锥曲线专项重难点突破练(新高考专用)
专题04椭圆中的参数及范围问题(解析版)_2.2025数学总复习_2024年新高考资料_3.2024专项复习_2024年新高考数学之圆锥曲线专项重难点突破练(新高考专用)
专题04椭圆中的参数及范围问题(解析版)_2.2025数学总复习_2024年新高考资料_3.2024专项复习_2024年新高考数学之圆锥曲线专项重难点突破练(新高考专用)
专题04椭圆中的参数及范围问题(解析版)_2.2025数学总复习_2024年新高考资料_3.2024专项复习_2024年新高考数学之圆锥曲线专项重难点突破练(新高考专用)
专题04椭圆中的参数及范围问题(解析版)_2.2025数学总复习_2024年新高考资料_3.2024专项复习_2024年新高考数学之圆锥曲线专项重难点突破练(新高考专用)
专题04椭圆中的参数及范围问题(解析版)_2.2025数学总复习_2024年新高考资料_3.2024专项复习_2024年新高考数学之圆锥曲线专项重难点突破练(新高考专用)
专题04椭圆中的参数及范围问题(解析版)_2.2025数学总复习_2024年新高考资料_3.2024专项复习_2024年新高考数学之圆锥曲线专项重难点突破练(新高考专用)
专题04椭圆中的参数及范围问题(解析版)_2.2025数学总复习_2024年新高考资料_3.2024专项复习_2024年新高考数学之圆锥曲线专项重难点突破练(新高考专用)
专题04椭圆中的参数及范围问题(解析版)_2.2025数学总复习_2024年新高考资料_3.2024专项复习_2024年新高考数学之圆锥曲线专项重难点突破练(新高考专用)
专题04椭圆中的参数及范围问题(解析版)_2.2025数学总复习_2024年新高考资料_3.2024专项复习_2024年新高考数学之圆锥曲线专项重难点突破练(新高考专用)
专题04椭圆中的参数及范围问题(解析版)_2.2025数学总复习_2024年新高考资料_3.2024专项复习_2024年新高考数学之圆锥曲线专项重难点突破练(新高考专用)
专题04椭圆中的参数及范围问题(解析版)_2.2025数学总复习_2024年新高考资料_3.2024专项复习_2024年新高考数学之圆锥曲线专项重难点突破练(新高考专用)

文档信息

文档格式
docx
文档大小
1.298 MB
文档页数
21 页
上传时间
2026-03-11 15:05:01

文档内容

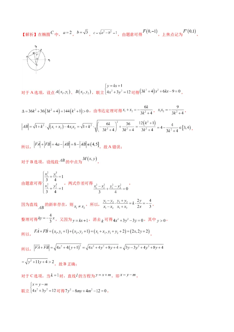
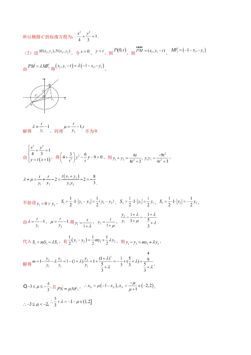
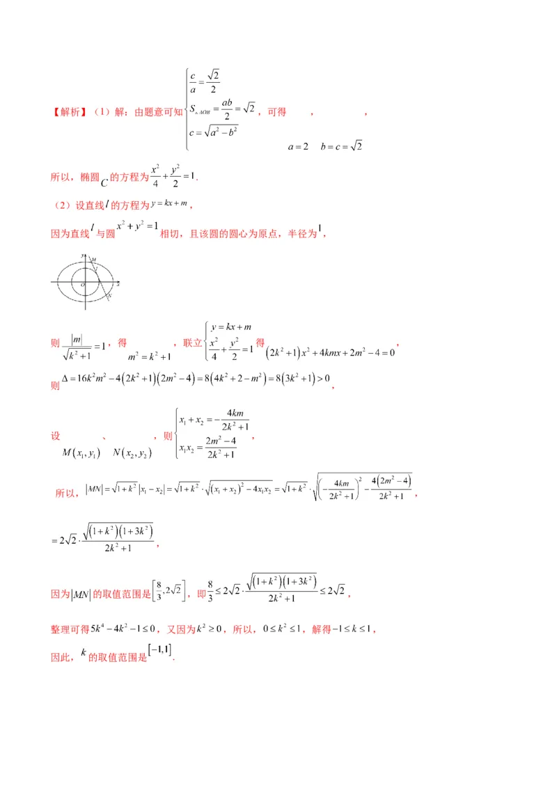
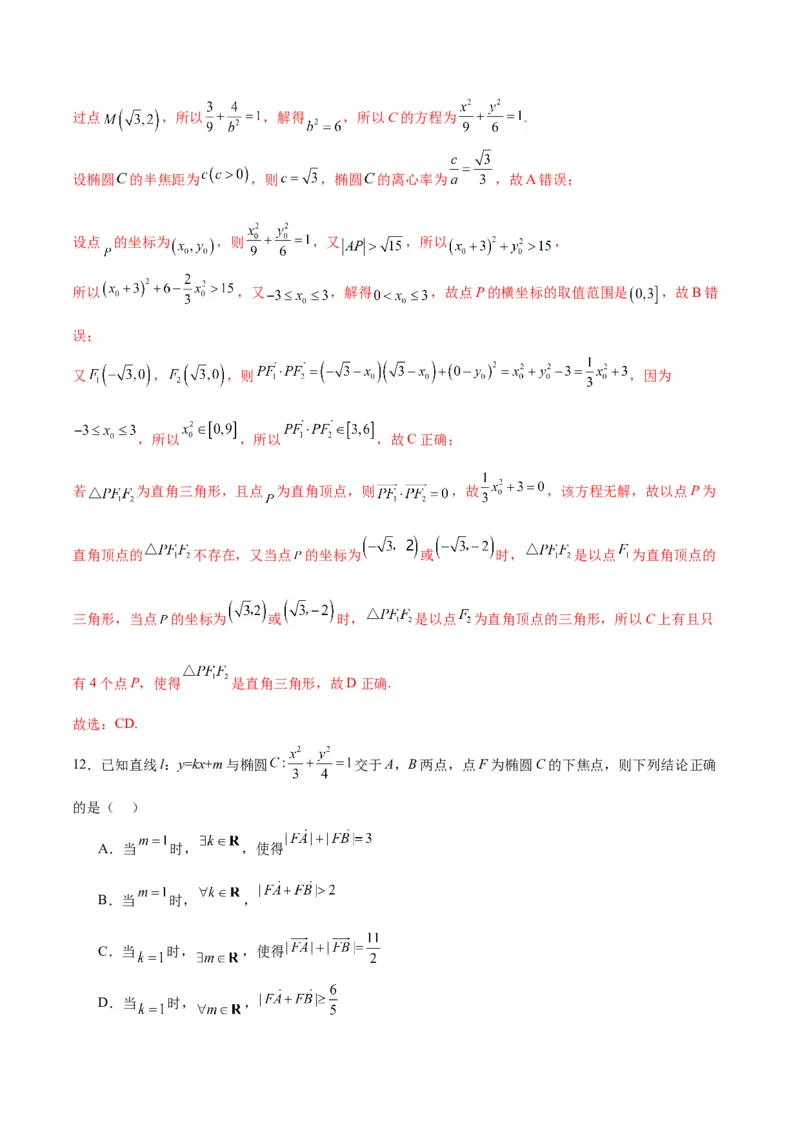
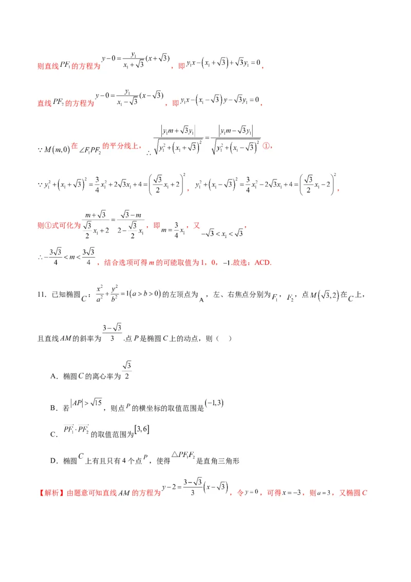
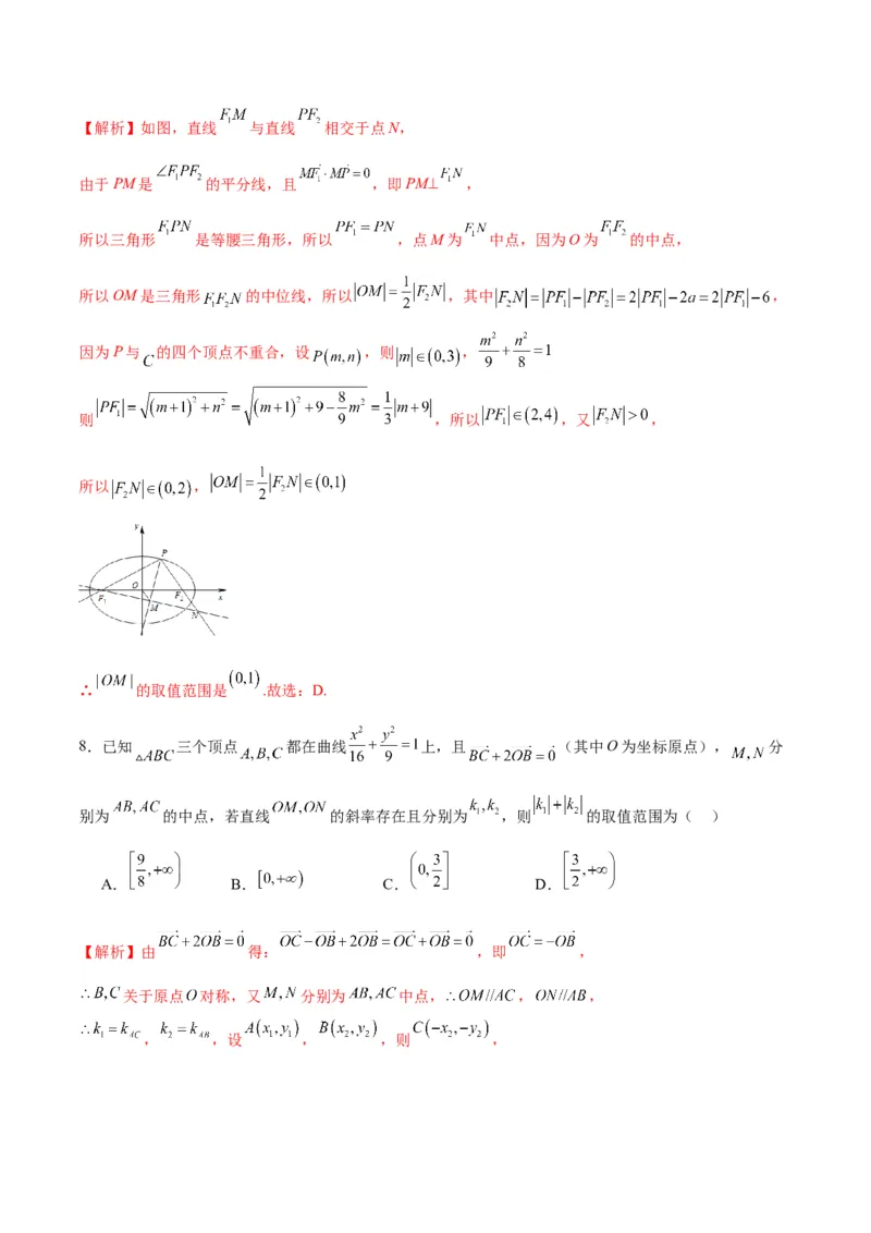
专题04 椭圆中的参数及范围问题 限时:120分钟 满分:150分 一、单选题:本大题共8小题,每个小题5分,共40分.在每小题给出的选项中,只有一项是符合题目要 求的. 1.已知椭圆 : 的左、右焦点为 , ,点 为椭圆 内一点,点 在 双曲线 : 上,若椭圆上存在一点 ,使得 ,则 的取值范围是( ) A. B. C. D. 【解析】点 在双曲线 : 上,所以 .所以椭圆左焦点 坐标为 . 因为 ,所以 , 所以 . 因为 ,所以 . 点 为椭圆 内一点,所以 , 所以 或 . 综上: .故选:A 2.椭圆 : 的左、右顶点分别为 , ,点 在 上且直线 的斜率的取值范围是 , 那么直线 斜率的取值范围是( ) A. B. C. D. 【解析】由题意,椭圆 : 的左、右顶点分别为 , 设 ,则 ,又由 ,可得 ,因为 ,即 ,可得 , 所以直线 斜率的取值范围 .故选: . 3.已知直线 与椭圆 交于 两点, 是椭圆上异于 的一点.若椭圆 的离心率的取值范围是 ,则直线 , 斜率之积的取值范围是( ) A. B. C. D. 【解析】设 ,由直线 与椭圆 交于 两点可知 两点关于原点对称, 所以 且 ,由题意知: ,两式相减得: ,即 , 又 ,由椭圆的离心率的取值范围是 , 即 ,所以 , 即 ,故选:D. 4.已知椭圆 ,若椭圆上存在两点 、 关于直线 对称,则 的取值范围是( ) A. B. C. D. 【解析】椭圆 ,即: ,设椭圆上两点 关于直线 对称, 中点为 , 则 , ,所以 , ∴ ,∴ ,代入直线方程 得 ,即 , 因为 在椭圆内部,∴ ,解得 , 即 的取值范围是 .故选:A. 5.已知椭圆 的短轴长为 ,焦距为 , 、 分别是椭圆的左、右焦点,若点 为 上的任意一点,则 的取值范围为( ) A.[1,7] B.[1,28] C. D. 【解析】根据条件可得 , ,故 , 则根据椭圆定义可知 , 所以 令 ,则 因为 ,所以 , 所以 ,则 .故选:C6.已知 为椭圆 的左顶点.如果存在过点 的直线交椭圆于 两点,使得 ,则 的取值范围为( ) A. B. C. D. 【解析】记Q为椭圆的右顶点,将坐标系横向压缩到原来的 ,椭圆变为圆 , 则 ,面积比,线段长度比,不随坐标系拉升而改变, 设 , 又由圆的相交弦定理: , 得 ( ),故 , 又由于 ( ), 故有 ,结合 , 可化为: ,解得 .故选:A 7.已知 是椭圆 上的动点,且与 的四个顶点不重合, , 分别是椭圆的左、右焦点,若 点 在 的平分线上,且 ,则 的取值范围是( ) A. B. C. D.【解析】如图,直线 与直线 相交于点N, 由于PM是 的平分线,且 ,即PM⊥ , 所以三角形 是等腰三角形,所以 ,点M为 中点,因为O为 的中点, 所以OM是三角形 的中位线,所以 ,其中 , 因为P与 的四个顶点不重合,设 ,则 , 则 ,所以 ,又 , 所以 , ∴ 的取值范围是 .故选:D. 8.已知 三个顶点 都在曲线 上,且 (其中O为坐标原点), 分 别为 的中点,若直线 的斜率存在且分别为 ,则 的取值范围为( ) A. B. C. D. 【解析】由 得: ,即 , 关于原点 对称,又 分别为 中点, , , , ,设 , ,则 ,又 ,两式作差得: ,即 , (当且仅当 时取等号), 的取值范围为 .故选:D. 二、多选题:本大题共4小题,每个小题5分,共20分.在每小题给出的选项中,只有一项或者多项是符 合题目要求的. 9.已知点 在椭圆 上,过点 分别作斜率为-2,2的直线 , 与直线 , 分别交于 , 两点.若 ,则实数 的取值可能为( ) A. B.1 C.2 D.3 【解析】设 , , ,则 , , 由题得四边形 为平行四边形,所以 , 故 故 . 因为 ,所以 ,故实数 的取值范围为 ,故选:CD. 10.已知 , 是椭圆 的左,右焦点,动点 在椭圆上, 的平分线与 轴交于点 ,则 的可能取值为( ) A. B. C. D. 【解析】由椭圆方程可得 ,由 可得 ,则直线 的方程为 ,即 , 直线 的方程为 ,即 , 在 的平分线上, ①, , , 则①式可化为 ,即 ,又 , ,结合选项可得m的可能取值为1,0, .故选:ACD. 11.已知椭圆 : 的左顶点为 ,左、右焦点分别为 , ,点 在 上, 且直线AM的斜率为 .点P是椭圆C上的动点,则( ) A.椭圆 的离心率为 B.若 ,则点 的横坐标的取值范围是 C. 的取值范围为 D.椭圆 上有且只有4个点 ,使得 是直角三角形 【解析】由题意可知直线 的方程为 ,令 ,可得 ,则 ,又椭圆C过点 ,所以 ,解得 ,所以C的方程为 . 设椭圆 的半焦距为 ,则 ,椭圆 的离心率为 ,故A错误; 设点 的坐标为 ,则 ,又 ,所以 , 所以 ,又 ,解得 ,故点P的横坐标的取值范围是 ,故B错 误; 又 , ,则 ,因为 ,所以 ,所以 ,故C正确; 若 为直角三角形,且点 为直角顶点,则 ,故 ,该方程无解,故以点Р为 直角顶点的 不存在,又当点 的坐标为 或 时, 是以点 为直角顶点的 三角形,当点 的坐标为 或 时, 是以点 为直角顶点的三角形,所以C上有且只 有4个点P,使得 是直角三角形,故D正确. 故选:CD. 12.已知直线l:y=kx+m与椭圆 交于A,B两点,点F为椭圆C的下焦点,则下列结论正确 的是( ) A.当 时, ,使得 B.当 时, , C.当 时, ,使得 D.当 时, ,【解析】在椭圆 中, , , ,由题意可得 ,上焦点记为 , 对于A选项,设点 、 ,联立 可得 , ,由韦达定理可得 , , , 所以, ,故A错误; 对于B选项,设线段 的中点为 , 由题意可得 ,两式作差可得 , 因为直线 的斜率存在,则 ,所以, , 整理可得 ,又因为 ,消去 可得 ,其中 , 所以, , 所以, ,故B正确; 对于C选项,当 时,直线 的方程为 ,即 , 联立 可得 ,,解得 , 由韦达定理可得 , , , 同理 ,所以, , 因为 ,所以,当 时, ,使得 ,故C正确; 对于D选项,设线段 的中点为 , 由B选项可知, ,即 ,即 , 由 可得 ,故点 的横坐标的取值范围是 , 而点 到直线 的距离为 , 由 可得 ,当且仅当点 时, 取最小值 ,故D正确. 故选:BCD 三、填空题:本大题共4小题,每小题5分,共20分.把答案填在答题卡中的横线上. 13.已知点P是椭圆 上的一点, , 是椭圆的两个焦点,则当 为钝角时,点P的横坐 标可以为 . 【解析】设 ,由题意可知 ,即 .因为点P在椭圆上,所以 ,所以 , 解得 , 可以取1(只要在 内即可). 故答案为:1(答案不唯一). 14.椭圆 的一个焦点是 ,O为坐标原点,过F的直线l交椭圆于A,B两点. 若恒有 ,则椭圆离心率的取值范围为 . 【解析】设过点F的直线l的直线方程为 与椭圆交于A,B两点, 设点 , ,联立方程得 , 整理为: , , , 若恒有 ,则 , 所以 是钝角,即 , , , ,整理为 恒成立, 所以 ,即 ,整理为 ,【】 解得: 或 (舍) 所以 ,离心率 15.椭圆C: 的左右焦点分别为 ,直线y=kx(k>0)与C相交于M,N两点,若四点共圆(其中M在第一象限),且直线 倾斜角不小于 ,则椭圆C的长轴长的取值范围 是 . 【解析】设椭圆的半焦距为 ,由椭圆的中心对称性和 , , , 四点共圆, 则四边形 为矩形,所以以 为直径的圆与椭圆 有公共点,则 , 所以 ,又由题意 ,即 ,故 ,即 因为直线 倾斜角不小于 ,所以直线 的倾斜角不小于 , 则 ,化简可得 ,因为 , 所以 ,则 , 又 ,所以 ,故 ,解得 , 所以 , 综上 . 16.已知椭圆C: ,过右焦点的直线交椭圆于 ,若满足 ,则 的取值范围 . 【解析】已知椭圆C: ,则其右焦点坐标为 , 过右焦点的直线交椭圆于 ,若满足 ,所以 , 则设直线 方程为 , 则 ,所以 ,显然 恒成立,所以 , 则 整理得 ,所以 , 又 ,所以 ,解得 , 所以 的取值范围为 . 四、解答题:本大题共6小题,共70分.解答应写出必要的文字说明、证明过程或演算步骤. 17.设 分别是椭圆 的左、右焦点,B为椭圆上的点且坐标为 . (1)若P是该椭圆上的一个动点,求 的最大值; (2)若C为椭圆上异于B的一点,且 ,求λ的值; (3)设P是该椭圆上的一个动点,求 的周长的最大值. 【解析】(1)因为椭圆的方程为 ,所以 , 又 ,所以 (当且仅当 时取“=”), 所以 的最大值为4. (2)设C点的坐标为 ,又B,F 两点的坐标分别是 , 1由 得 ,故 , , 又 ,所以 , 化简得 ,解得 或 , 当 时, 重合,与点C异于点B不符,所以 . (3)因为 ,当P点位于直线BF 与椭圆的交点处(异于B)时取等号, 2 又 , , 所以 的周长 , 所以 的周长最大值为8. 18.已知在平面直角坐标系 中,椭圆 的右顶点为 ,上顶点为 , 的面 积为 ,离心率 . (1)求椭圆 的方程; (2)若斜率为 的直线 与圆 相切,且 与椭圆 相交于 、 两点,若弦长 的取值范围为 ,求斜率 的取值范围.【解析】(1)解:由题意可知 ,可得 , , 所以,椭圆 的方程为 . (2)设直线 的方程为 , 因为直线 与圆 相切,且该圆的圆心为原点,半径为 , 则 ,得 ,联立 得 , 则 , 设 、 ,则 , 所以, , , 因为 的取值范围是 ,即 , 整理可得 ,又因为 ,所以, ,解得 , 因此, 的取值范围是 .19.已知椭圆 的焦距为 ,点 在 上. (1)求椭圆 的方程; (2)设椭圆 与直线 相交于不同的两点 、 , 为弦 的中点, 为椭圆 的 下顶点,当 时,求 的取值范围. 【解析】(1)由题意可知 ,所以 ,所以 ①, 又 ,所以 ②, 由①②可得 , ,所以椭圆 的方程为 . (2)解:设点 、 、 , 联立 ,得 , 由题知 ,可得 ③, 由韦达定理可得 , ,从而 , , ,则 ,即 ④, 把④代入③得 ,解得 ,又 ,故 的取值范围是 .20.已知椭圆 的下顶点 ,右焦点为 为线段 的中点, 为坐标原点, ,点 与椭圆 上任意一点的距离的最小值为 . (1)求椭圆 的标准方程; (2)直线 与椭圆 交于 两点,若存在过点 的直线 ,使得点 与点 关于直线 对 称,求 的取值范围. 【解析】(1)根据题意得: ,∴ ,∴ ∴ ,∴椭圆的标准方程为 . (2) 根据题意得: 的中垂线过点 , 由 ,化简得: , , 设 , , , 的中点 , , ∴ 的中垂线方程为: ,代入点 的坐标得: , 故 ,代入 且 . 21.已知椭圆C: 与y轴交于 , 两点,椭圆上异于A,B两点的动点D到 A,B两点的斜率分别为 , ,已知 . (1)求椭圆C的方程; (2)过定点 与动点D的直线,与椭圆交于另外一点H,若AH的斜率为 ,求 的取值范围. 【解析】(1)取 在椭圆上, ,又 , , 椭圆 的方程为 . (2)当直线 的斜率存在时, 设直线 的方程为 ,其中 , 将直线方程带入 得, , 其判别式为 , 或 ,取 为交点, , ,又 , ,取 , , 令 ,解得 ,令 , , 在 上单调递减,在 上单调递增, 又 的值域为 , 即 的取值范围为 . 当直线 的斜率不存在时,则点 关于 轴对称,则 , 综上 的取值范围为 . 22.已知椭圆C: 的离心率为 ,左、右焦点分别为 , ,过 的直线 交椭圆于M,N两点,交y轴于P点, , ,记 , , 的面积分 别为 , , . (1)求椭圆C的标准方程; (2)若 , ,求m的取值范围. 【解析】(1)由题意得,左焦点 , , ,所以椭圆C的标准方程为: . (2)设 ,令 , ,则 ,则 , 由 得 , 解得 ,同理 不为0. 由 ,得 ,则 , . 不妨设 , , , , 由 , .得 , , . 代入 ,有 ,则 , 解得 , 且 , ,设 ,则 ,则 ,则 , 故 在 上单调递增, 则 ,且 ,则 ,则 .