当前位置:首页>文档>专题05解析几何-大题精做冲刺2023年高考数学大题突破+限时集训(新高考专用)(解析版)_2.2025数学总复习_2023年新高考资料_专项复习_冲刺2023年高考数学大题突破(新高考专用)

专题05解析几何-大题精做冲刺2023年高考数学大题突破+限时集训(新高考专用)(解析版)_2.2025数学总复习_2023年新高考资料_专项复习_冲刺2023年高考数学大题突破(新高考专用)

  • 2026-04-11 23:13:08 2026-03-11 16:56:12

文档预览

专题05解析几何-大题精做冲刺2023年高考数学大题突破+限时集训(新高考专用)(解析版)_2.2025数学总复习_2023年新高考资料_专项复习_冲刺2023年高考数学大题突破(新高考专用)
专题05解析几何-大题精做冲刺2023年高考数学大题突破+限时集训(新高考专用)(解析版)_2.2025数学总复习_2023年新高考资料_专项复习_冲刺2023年高考数学大题突破(新高考专用)
专题05解析几何-大题精做冲刺2023年高考数学大题突破+限时集训(新高考专用)(解析版)_2.2025数学总复习_2023年新高考资料_专项复习_冲刺2023年高考数学大题突破(新高考专用)
专题05解析几何-大题精做冲刺2023年高考数学大题突破+限时集训(新高考专用)(解析版)_2.2025数学总复习_2023年新高考资料_专项复习_冲刺2023年高考数学大题突破(新高考专用)
专题05解析几何-大题精做冲刺2023年高考数学大题突破+限时集训(新高考专用)(解析版)_2.2025数学总复习_2023年新高考资料_专项复习_冲刺2023年高考数学大题突破(新高考专用)
专题05解析几何-大题精做冲刺2023年高考数学大题突破+限时集训(新高考专用)(解析版)_2.2025数学总复习_2023年新高考资料_专项复习_冲刺2023年高考数学大题突破(新高考专用)
专题05解析几何-大题精做冲刺2023年高考数学大题突破+限时集训(新高考专用)(解析版)_2.2025数学总复习_2023年新高考资料_专项复习_冲刺2023年高考数学大题突破(新高考专用)
专题05解析几何-大题精做冲刺2023年高考数学大题突破+限时集训(新高考专用)(解析版)_2.2025数学总复习_2023年新高考资料_专项复习_冲刺2023年高考数学大题突破(新高考专用)
专题05解析几何-大题精做冲刺2023年高考数学大题突破+限时集训(新高考专用)(解析版)_2.2025数学总复习_2023年新高考资料_专项复习_冲刺2023年高考数学大题突破(新高考专用)
专题05解析几何-大题精做冲刺2023年高考数学大题突破+限时集训(新高考专用)(解析版)_2.2025数学总复习_2023年新高考资料_专项复习_冲刺2023年高考数学大题突破(新高考专用)
专题05解析几何-大题精做冲刺2023年高考数学大题突破+限时集训(新高考专用)(解析版)_2.2025数学总复习_2023年新高考资料_专项复习_冲刺2023年高考数学大题突破(新高考专用)
专题05解析几何-大题精做冲刺2023年高考数学大题突破+限时集训(新高考专用)(解析版)_2.2025数学总复习_2023年新高考资料_专项复习_冲刺2023年高考数学大题突破(新高考专用)
专题05解析几何-大题精做冲刺2023年高考数学大题突破+限时集训(新高考专用)(解析版)_2.2025数学总复习_2023年新高考资料_专项复习_冲刺2023年高考数学大题突破(新高考专用)
专题05解析几何-大题精做冲刺2023年高考数学大题突破+限时集训(新高考专用)(解析版)_2.2025数学总复习_2023年新高考资料_专项复习_冲刺2023年高考数学大题突破(新高考专用)
专题05解析几何-大题精做冲刺2023年高考数学大题突破+限时集训(新高考专用)(解析版)_2.2025数学总复习_2023年新高考资料_专项复习_冲刺2023年高考数学大题突破(新高考专用)
专题05解析几何-大题精做冲刺2023年高考数学大题突破+限时集训(新高考专用)(解析版)_2.2025数学总复习_2023年新高考资料_专项复习_冲刺2023年高考数学大题突破(新高考专用)
专题05解析几何-大题精做冲刺2023年高考数学大题突破+限时集训(新高考专用)(解析版)_2.2025数学总复习_2023年新高考资料_专项复习_冲刺2023年高考数学大题突破(新高考专用)
专题05解析几何-大题精做冲刺2023年高考数学大题突破+限时集训(新高考专用)(解析版)_2.2025数学总复习_2023年新高考资料_专项复习_冲刺2023年高考数学大题突破(新高考专用)
专题05解析几何-大题精做冲刺2023年高考数学大题突破+限时集训(新高考专用)(解析版)_2.2025数学总复习_2023年新高考资料_专项复习_冲刺2023年高考数学大题突破(新高考专用)
专题05解析几何-大题精做冲刺2023年高考数学大题突破+限时集训(新高考专用)(解析版)_2.2025数学总复习_2023年新高考资料_专项复习_冲刺2023年高考数学大题突破(新高考专用)
专题05解析几何-大题精做冲刺2023年高考数学大题突破+限时集训(新高考专用)(解析版)_2.2025数学总复习_2023年新高考资料_专项复习_冲刺2023年高考数学大题突破(新高考专用)
专题05解析几何-大题精做冲刺2023年高考数学大题突破+限时集训(新高考专用)(解析版)_2.2025数学总复习_2023年新高考资料_专项复习_冲刺2023年高考数学大题突破(新高考专用)
专题05解析几何-大题精做冲刺2023年高考数学大题突破+限时集训(新高考专用)(解析版)_2.2025数学总复习_2023年新高考资料_专项复习_冲刺2023年高考数学大题突破(新高考专用)
专题05解析几何-大题精做冲刺2023年高考数学大题突破+限时集训(新高考专用)(解析版)_2.2025数学总复习_2023年新高考资料_专项复习_冲刺2023年高考数学大题突破(新高考专用)
专题05解析几何-大题精做冲刺2023年高考数学大题突破+限时集训(新高考专用)(解析版)_2.2025数学总复习_2023年新高考资料_专项复习_冲刺2023年高考数学大题突破(新高考专用)
专题05解析几何-大题精做冲刺2023年高考数学大题突破+限时集训(新高考专用)(解析版)_2.2025数学总复习_2023年新高考资料_专项复习_冲刺2023年高考数学大题突破(新高考专用)
专题05解析几何-大题精做冲刺2023年高考数学大题突破+限时集训(新高考专用)(解析版)_2.2025数学总复习_2023年新高考资料_专项复习_冲刺2023年高考数学大题突破(新高考专用)
专题05解析几何-大题精做冲刺2023年高考数学大题突破+限时集训(新高考专用)(解析版)_2.2025数学总复习_2023年新高考资料_专项复习_冲刺2023年高考数学大题突破(新高考专用)
专题05解析几何-大题精做冲刺2023年高考数学大题突破+限时集训(新高考专用)(解析版)_2.2025数学总复习_2023年新高考资料_专项复习_冲刺2023年高考数学大题突破(新高考专用)
专题05解析几何-大题精做冲刺2023年高考数学大题突破+限时集训(新高考专用)(解析版)_2.2025数学总复习_2023年新高考资料_专项复习_冲刺2023年高考数学大题突破(新高考专用)
专题05解析几何-大题精做冲刺2023年高考数学大题突破+限时集训(新高考专用)(解析版)_2.2025数学总复习_2023年新高考资料_专项复习_冲刺2023年高考数学大题突破(新高考专用)
专题05解析几何-大题精做冲刺2023年高考数学大题突破+限时集训(新高考专用)(解析版)_2.2025数学总复习_2023年新高考资料_专项复习_冲刺2023年高考数学大题突破(新高考专用)
专题05解析几何-大题精做冲刺2023年高考数学大题突破+限时集训(新高考专用)(解析版)_2.2025数学总复习_2023年新高考资料_专项复习_冲刺2023年高考数学大题突破(新高考专用)
专题05解析几何-大题精做冲刺2023年高考数学大题突破+限时集训(新高考专用)(解析版)_2.2025数学总复习_2023年新高考资料_专项复习_冲刺2023年高考数学大题突破(新高考专用)
专题05解析几何-大题精做冲刺2023年高考数学大题突破+限时集训(新高考专用)(解析版)_2.2025数学总复习_2023年新高考资料_专项复习_冲刺2023年高考数学大题突破(新高考专用)
专题05解析几何-大题精做冲刺2023年高考数学大题突破+限时集训(新高考专用)(解析版)_2.2025数学总复习_2023年新高考资料_专项复习_冲刺2023年高考数学大题突破(新高考专用)
专题05解析几何-大题精做冲刺2023年高考数学大题突破+限时集训(新高考专用)(解析版)_2.2025数学总复习_2023年新高考资料_专项复习_冲刺2023年高考数学大题突破(新高考专用)
专题05解析几何-大题精做冲刺2023年高考数学大题突破+限时集训(新高考专用)(解析版)_2.2025数学总复习_2023年新高考资料_专项复习_冲刺2023年高考数学大题突破(新高考专用)
专题05解析几何-大题精做冲刺2023年高考数学大题突破+限时集训(新高考专用)(解析版)_2.2025数学总复习_2023年新高考资料_专项复习_冲刺2023年高考数学大题突破(新高考专用)
专题05解析几何-大题精做冲刺2023年高考数学大题突破+限时集训(新高考专用)(解析版)_2.2025数学总复习_2023年新高考资料_专项复习_冲刺2023年高考数学大题突破(新高考专用)
专题05解析几何-大题精做冲刺2023年高考数学大题突破+限时集训(新高考专用)(解析版)_2.2025数学总复习_2023年新高考资料_专项复习_冲刺2023年高考数学大题突破(新高考专用)
专题05解析几何-大题精做冲刺2023年高考数学大题突破+限时集训(新高考专用)(解析版)_2.2025数学总复习_2023年新高考资料_专项复习_冲刺2023年高考数学大题突破(新高考专用)
专题05解析几何-大题精做冲刺2023年高考数学大题突破+限时集训(新高考专用)(解析版)_2.2025数学总复习_2023年新高考资料_专项复习_冲刺2023年高考数学大题突破(新高考专用)
专题05解析几何-大题精做冲刺2023年高考数学大题突破+限时集训(新高考专用)(解析版)_2.2025数学总复习_2023年新高考资料_专项复习_冲刺2023年高考数学大题突破(新高考专用)
专题05解析几何-大题精做冲刺2023年高考数学大题突破+限时集训(新高考专用)(解析版)_2.2025数学总复习_2023年新高考资料_专项复习_冲刺2023年高考数学大题突破(新高考专用)
专题05解析几何-大题精做冲刺2023年高考数学大题突破+限时集训(新高考专用)(解析版)_2.2025数学总复习_2023年新高考资料_专项复习_冲刺2023年高考数学大题突破(新高考专用)
专题05解析几何-大题精做冲刺2023年高考数学大题突破+限时集训(新高考专用)(解析版)_2.2025数学总复习_2023年新高考资料_专项复习_冲刺2023年高考数学大题突破(新高考专用)
专题05解析几何-大题精做冲刺2023年高考数学大题突破+限时集训(新高考专用)(解析版)_2.2025数学总复习_2023年新高考资料_专项复习_冲刺2023年高考数学大题突破(新高考专用)
专题05解析几何-大题精做冲刺2023年高考数学大题突破+限时集训(新高考专用)(解析版)_2.2025数学总复习_2023年新高考资料_专项复习_冲刺2023年高考数学大题突破(新高考专用)
专题05解析几何-大题精做冲刺2023年高考数学大题突破+限时集训(新高考专用)(解析版)_2.2025数学总复习_2023年新高考资料_专项复习_冲刺2023年高考数学大题突破(新高考专用)
专题05解析几何-大题精做冲刺2023年高考数学大题突破+限时集训(新高考专用)(解析版)_2.2025数学总复习_2023年新高考资料_专项复习_冲刺2023年高考数学大题突破(新高考专用)
专题05解析几何-大题精做冲刺2023年高考数学大题突破+限时集训(新高考专用)(解析版)_2.2025数学总复习_2023年新高考资料_专项复习_冲刺2023年高考数学大题突破(新高考专用)
专题05解析几何-大题精做冲刺2023年高考数学大题突破+限时集训(新高考专用)(解析版)_2.2025数学总复习_2023年新高考资料_专项复习_冲刺2023年高考数学大题突破(新高考专用)
专题05解析几何-大题精做冲刺2023年高考数学大题突破+限时集训(新高考专用)(解析版)_2.2025数学总复习_2023年新高考资料_专项复习_冲刺2023年高考数学大题突破(新高考专用)
专题05解析几何-大题精做冲刺2023年高考数学大题突破+限时集训(新高考专用)(解析版)_2.2025数学总复习_2023年新高考资料_专项复习_冲刺2023年高考数学大题突破(新高考专用)
专题05解析几何-大题精做冲刺2023年高考数学大题突破+限时集训(新高考专用)(解析版)_2.2025数学总复习_2023年新高考资料_专项复习_冲刺2023年高考数学大题突破(新高考专用)
专题05解析几何-大题精做冲刺2023年高考数学大题突破+限时集训(新高考专用)(解析版)_2.2025数学总复习_2023年新高考资料_专项复习_冲刺2023年高考数学大题突破(新高考专用)
专题05解析几何-大题精做冲刺2023年高考数学大题突破+限时集训(新高考专用)(解析版)_2.2025数学总复习_2023年新高考资料_专项复习_冲刺2023年高考数学大题突破(新高考专用)
专题05解析几何-大题精做冲刺2023年高考数学大题突破+限时集训(新高考专用)(解析版)_2.2025数学总复习_2023年新高考资料_专项复习_冲刺2023年高考数学大题突破(新高考专用)
专题05解析几何-大题精做冲刺2023年高考数学大题突破+限时集训(新高考专用)(解析版)_2.2025数学总复习_2023年新高考资料_专项复习_冲刺2023年高考数学大题突破(新高考专用)
专题05解析几何-大题精做冲刺2023年高考数学大题突破+限时集训(新高考专用)(解析版)_2.2025数学总复习_2023年新高考资料_专项复习_冲刺2023年高考数学大题突破(新高考专用)
专题05解析几何-大题精做冲刺2023年高考数学大题突破+限时集训(新高考专用)(解析版)_2.2025数学总复习_2023年新高考资料_专项复习_冲刺2023年高考数学大题突破(新高考专用)
专题05解析几何-大题精做冲刺2023年高考数学大题突破+限时集训(新高考专用)(解析版)_2.2025数学总复习_2023年新高考资料_专项复习_冲刺2023年高考数学大题突破(新高考专用)
专题05解析几何-大题精做冲刺2023年高考数学大题突破+限时集训(新高考专用)(解析版)_2.2025数学总复习_2023年新高考资料_专项复习_冲刺2023年高考数学大题突破(新高考专用)
专题05解析几何-大题精做冲刺2023年高考数学大题突破+限时集训(新高考专用)(解析版)_2.2025数学总复习_2023年新高考资料_专项复习_冲刺2023年高考数学大题突破(新高考专用)
专题05解析几何-大题精做冲刺2023年高考数学大题突破+限时集训(新高考专用)(解析版)_2.2025数学总复习_2023年新高考资料_专项复习_冲刺2023年高考数学大题突破(新高考专用)
专题05解析几何-大题精做冲刺2023年高考数学大题突破+限时集训(新高考专用)(解析版)_2.2025数学总复习_2023年新高考资料_专项复习_冲刺2023年高考数学大题突破(新高考专用)
专题05解析几何-大题精做冲刺2023年高考数学大题突破+限时集训(新高考专用)(解析版)_2.2025数学总复习_2023年新高考资料_专项复习_冲刺2023年高考数学大题突破(新高考专用)
专题05解析几何-大题精做冲刺2023年高考数学大题突破+限时集训(新高考专用)(解析版)_2.2025数学总复习_2023年新高考资料_专项复习_冲刺2023年高考数学大题突破(新高考专用)
专题05解析几何-大题精做冲刺2023年高考数学大题突破+限时集训(新高考专用)(解析版)_2.2025数学总复习_2023年新高考资料_专项复习_冲刺2023年高考数学大题突破(新高考专用)
专题05解析几何-大题精做冲刺2023年高考数学大题突破+限时集训(新高考专用)(解析版)_2.2025数学总复习_2023年新高考资料_专项复习_冲刺2023年高考数学大题突破(新高考专用)
专题05解析几何-大题精做冲刺2023年高考数学大题突破+限时集训(新高考专用)(解析版)_2.2025数学总复习_2023年新高考资料_专项复习_冲刺2023年高考数学大题突破(新高考专用)
专题05解析几何-大题精做冲刺2023年高考数学大题突破+限时集训(新高考专用)(解析版)_2.2025数学总复习_2023年新高考资料_专项复习_冲刺2023年高考数学大题突破(新高考专用)
专题05解析几何-大题精做冲刺2023年高考数学大题突破+限时集训(新高考专用)(解析版)_2.2025数学总复习_2023年新高考资料_专项复习_冲刺2023年高考数学大题突破(新高考专用)
专题05解析几何-大题精做冲刺2023年高考数学大题突破+限时集训(新高考专用)(解析版)_2.2025数学总复习_2023年新高考资料_专项复习_冲刺2023年高考数学大题突破(新高考专用)
专题05解析几何-大题精做冲刺2023年高考数学大题突破+限时集训(新高考专用)(解析版)_2.2025数学总复习_2023年新高考资料_专项复习_冲刺2023年高考数学大题突破(新高考专用)
专题05解析几何-大题精做冲刺2023年高考数学大题突破+限时集训(新高考专用)(解析版)_2.2025数学总复习_2023年新高考资料_专项复习_冲刺2023年高考数学大题突破(新高考专用)
专题05解析几何-大题精做冲刺2023年高考数学大题突破+限时集训(新高考专用)(解析版)_2.2025数学总复习_2023年新高考资料_专项复习_冲刺2023年高考数学大题突破(新高考专用)
专题05解析几何-大题精做冲刺2023年高考数学大题突破+限时集训(新高考专用)(解析版)_2.2025数学总复习_2023年新高考资料_专项复习_冲刺2023年高考数学大题突破(新高考专用)
专题05解析几何-大题精做冲刺2023年高考数学大题突破+限时集训(新高考专用)(解析版)_2.2025数学总复习_2023年新高考资料_专项复习_冲刺2023年高考数学大题突破(新高考专用)
专题05解析几何-大题精做冲刺2023年高考数学大题突破+限时集训(新高考专用)(解析版)_2.2025数学总复习_2023年新高考资料_专项复习_冲刺2023年高考数学大题突破(新高考专用)
专题05解析几何-大题精做冲刺2023年高考数学大题突破+限时集训(新高考专用)(解析版)_2.2025数学总复习_2023年新高考资料_专项复习_冲刺2023年高考数学大题突破(新高考专用)
专题05解析几何-大题精做冲刺2023年高考数学大题突破+限时集训(新高考专用)(解析版)_2.2025数学总复习_2023年新高考资料_专项复习_冲刺2023年高考数学大题突破(新高考专用)
专题05解析几何-大题精做冲刺2023年高考数学大题突破+限时集训(新高考专用)(解析版)_2.2025数学总复习_2023年新高考资料_专项复习_冲刺2023年高考数学大题突破(新高考专用)
专题05解析几何-大题精做冲刺2023年高考数学大题突破+限时集训(新高考专用)(解析版)_2.2025数学总复习_2023年新高考资料_专项复习_冲刺2023年高考数学大题突破(新高考专用)

文档信息

文档格式
docx
文档大小
4.585 MB
文档页数
85 页
上传时间
2026-03-11 16:56:12

文档内容

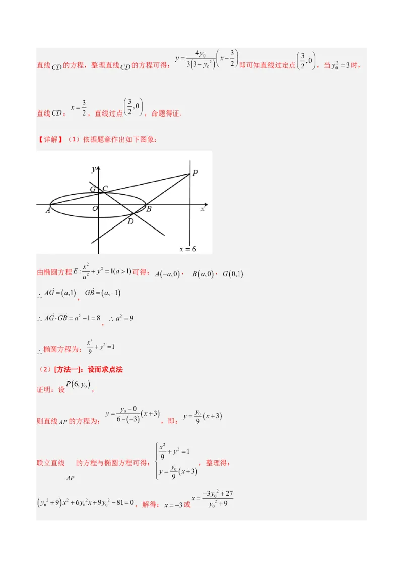
专题 05 解析几何 解析几何一般作为解答题21题或者是22题形式出现。一般作为压轴题或者是次压轴题出现,难度较大。 1 与原有关问题(蒙日圆,阿氏圆等) 2 面积问题 3 齐次化解决直线定点问题 4 一般的定值问题 5 非对称问题 6 探究性问题 7 切线问题与阿基米德三角形问题 8 极点极限与调和点列,蝴蝶模型问题 9 不联立问题 10 与其他知识点交叉问题 蒙日圆定理的内容:椭圆的两条切线互相垂直,则两切线的交点位于一个与椭圆同心 的圆上,该圆称为蒙日圆,其半径等于椭圆长半轴和短半轴平方和的算术平方根,具体结论 及证明如下: 结论一:曲线 的两条互相垂直的切线的交点 的轨迹是圆: . 结论二:双曲线 的两条互相垂直的切线的交点的轨迹是圆 . 结论三:抛物线 的两条互相垂直的切线的交点在该抛物线的准线上. 题型一: 与原有关问题(蒙日圆,协同圆等) 例题1 已知椭圆 0).称圆心在原点,半径为 的圆为椭圆 的“准圆”.若椭圆 的一个焦点为 ,其短轴上的一个端点到 的距离为 . (1)求椭圆 的方程及其“准圆”方程. (2)点 是椭圆 的“准圆”上的动点,过点 作椭圆的切线 交“准圆”于点 . ①当点 为“准圆”与 轴正半轴的交点时,求直线 的方程并证明 . ②求证:线段 的长为定值. 【 解 析 】 (1) 依 题 意 可 得 , ∴ , ∴ . . (2)证明:①由(1)题可得 ,设切线方程为: .联立 ,消去 可得 ,整理可得 . ∴ ,解得 . ∴设直线PM: ,直线 .∴ ,即 . ②设 ,直线 . 则 ,消去 可得 . 即 . ∴ .整理得 . 同理,设切线 的斜率为 ,则有 .∴ .∴ 在“准 圆”上.∴ ,∴ .∴ 为“准圆”的直径.∴ 为定值, .1 .公元前3世纪,古希腊数学家阿波罗尼斯 在《平面轨迹》一书中,研究了众多的平面轨迹 问题,其中有如下著名结果:平面内到两个定点 , 距离之比为 且 的点 的轨迹为圆,此 圆称为阿波罗尼斯圆. (1)已知两定点 , ,若动点 满足 ,求点 的轨迹方程; (2)已知 , 是圆 上任意一点,在平面上是否存在点 ,使得 恒成立? 若存在,求出点 坐标;若不存在,说明理由; (3)已知 是圆 上任意一点,在平面内求出两个定点 , ,使得 恒成立.只需写出 两个定点 , 的坐标,无需证明. 解析:(1)4; (2)证明见解析, . 【分析】(1)设点P的坐标为 ,求出点P的轨迹方程为 ,求出 , ,求出 最小值即得解; (2)设 ,两圆方程相减可得MN的方程为 ,即得解. (1)解:设点P的坐标为 ,根据题设条件有 , 所以有 , 化简得 . 所以 ,由题知,当 时,此时 , |QM|最小, 即四边形 面积取得最小值4. (2) 解;设 ,由几何性质,可知M,N两点在以 为直径的圆上, 此圆的方程为 , 而直线MN是此圆与圆 的相交弦所在直线, 相减可得MN的方程为 , 所以直线MN恒过定点 . 题型二:面积问题 1 .已知M是平面直角坐标系内的一个动点,直线 与直线 垂直,A为垂足且位于第一象限,直线 与直线 垂直,B为垂足且位于第四象限,四边形 (O为原点)的面积为8,动点M的轨迹 为C. (1)求轨迹C的方程; (2)已知 是轨迹C上一点,直线l交轨迹C于P,Q两点,直线 , 的斜率之和为1, ,求 的面积. 【答案】(1) ( )(2) 【详解】(1)设动点 ,由题意知M只能在直线 与直线 所夹的范围内活动. , , 动点 在 右侧,有 ,同理有 ,∵四边形 的面积为8,∴ ,即 , 所以所求轨迹C方程为 ( ). (2)如图,设直线 的倾斜角为 ,斜率为k,直线 倾斜角为 ,则 斜率为 , , , 在曲线C上,过点T直线与曲线C有两个交点, 则 或 ,同时 或 ,解得 或 . ,解得 或 (舍去). 时,直线 的方程为 , 联立 ,消y得: ,则 或 ,得 . 直线 的方程为 , 联立 ,消y得: ,则 或 ,得 , , 点Q到直线 的距离 , .方法二: , , ,则 , . 1 已知椭圆 离心率为 ,经过 的左焦点 斜率为1的直线与 轴正半轴相交于 点 ,且 . (1)求 的方程; (2)设M,N是 上异于 的两点,若 ,求 面积的最大值. 【答案】(1) (2) 【详解】(1)由已知 ,可得 , .可得 , 因为 斜率为1,所以 , 因为 ,所以 ,则 ,则 , 于是 的方程为 ; (2)由(1)知 ,因为 ,所以 不垂直于 轴. 设直线 ,代入 得 .当 时, 设 , ,则 , ① 因为 ,所以 ,而 即 ,根据 , , 故 ,可得 . 将①代入上式可得 . 因为 ,整理得 ,则 ,解得 , 直线 经过定点 , . 因为 , 所以 面积 . 设 ,则 ,则 , , 设 , ,当 时, ,则 , 所以当 ,即 时, 面积取最大值 . 题型三:齐次化解决定值定点问题1 已知椭圆C: (a>b>0),四点P (1,1),P (0,1),P (–1, ),P (1, )中恰有 1 2 3 4 三点在椭圆C上. (Ⅰ)求C的方程; (Ⅱ)设直线l不经过P 点且与C相交于A,B两点.若直线P A与直线P B的斜率的和为–1,证明:l过定 2 2 2 点. 【答案】(1) .(2)证明见解析. 解题方法一:试题解析:(1)由于 , 两点关于y轴对称,故由题设知C经过 , 两点. 又由 知,C不经过点P ,所以点P 在C上. 1 2 因此 ,解得 . 故C的方程为 . (2)设直线P A与直线P B的斜率分别为k ,k , 2 2 1 2 如果l与x轴垂直,设l:x=t,由题设知 ,且 ,可得A,B的坐标分别为(t, ),(t, ). 则 ,得 ,不符合题设. 从而可设l: ( ).将 代入 得 由题设可知 .设A(x ,y ),B(x ,y ),则x +x = ,x x = . 1 1 2 2 1 2 1 2 而 . 由题设 ,故 . 即 . 解得 . 当且仅当 时, ,欲使l: ,即 , 所以l过定点(2, ) 解题方法二:齐次化处理: 下移1个单位 x2 E' : (y 1)2 1,A'B':mxny 1 4 x2  y2 2y  0 4 x2 4y2 8y(mxny)  0 (8n4)y2 8mxy  x2  0 8m k k    1 1 2 8n4 8m 8n4 2m2n 1 mxny 1过(2,2) 上移1个单位(2,1)1.已知椭圆C: 的离心率为 ,且过点 . (1)求 的方程: (2)点 , 在 上,且 , , 为垂足.证明:存在定点 ,使得 为定值. 【详解】(1)由题意可得: ,解得: , 故椭圆方程为: . 将原坐标系平移,原来的O点平移至点A处,则在新的坐标系下椭圆的方程为 ,设直 线 的方程为 .将直线 方程与椭圆方程联立得 ,即 ,化简得 ,即 . 设 ,因为 则 ,即 . 代入直线 方程中得 .则在新坐标系下直线 过定点 ,则在原坐标系下 直线 过定点 . 又 ,D在以 为直径的圆上. 的中点 即为圆心Q.经检验,直线 垂直于x轴时也 成立. 故存在 ,使得 .题型四:一般的定值定点问题 1.已知 为双曲线 的左、右焦点, 的一条渐近线方程为 为 上一 点,且 . (1)求 的方程; (2)设点 在坐标轴上,直线 与 交于异于 的 两点, 为 的中点,且 ,过 作 ,垂足为 ,是否存在点 ,使得 为定值?若存在,求出点 的坐标以及 的长度;若 不存在,请说明理由. 【答案】(1) (2)存在;点 , 为定值 【详解】(1)由题意, 在双曲线 中,渐近线方程为 , 由条件可知 .根据双曲线的定义可知, , ∴ ,则 ,∴ . (2)由题意及(1)得, 在 中, ,∴点 在双曲线 的左支上, 当点 在坐标轴上,则点 的坐标为 ,设 , 当 的斜率存在时,设 的方程为 , 联立 ,整理得 , ,则 ,,∵ 为 的中点,且 , ∴ ,则 , ∴ , 整理得 ,解得 或 ,验证均满足 . 当 时,直线 的方程为 ,则直线 过点 ,不合题意,舍去; 当 时,直线 的方程为 ,则直线 过定点 ,符合题意. 当直线 的斜率不存在时,由 , 可设直线 的方程为 ,联立 ,解得 , 所以直线 的方程为: , 则直线 过定点 .∵ , ∴ 是以 为斜边的直角三角形,∴点 在以 为直径的圆上,则当 为该圆的圆心 时, 为该圆的半径,即 ,故存在点 ,使得 为定值 . 1 已知双曲线 过点 ,且 与 的两个顶点连线的斜率之和为4. (1)求 的方程; (2)过点 的直线 与双曲线 交于 , 两点(异于点 ).设直线 与 轴垂直且交直线 于点 ,若线段 的中点为 ,证明:直线 的斜率为定值,并求该定值. 【答案】(1)(2)证明见解析,定值为2 【详解】(1)双曲线的两顶点为 ,所以, ,即 , 将 代入 的方程可得, ,故 的方程为 . (2)依题意,可设直线 , , . 与 联立,整理得 , 所以 , ,解得, 且 , , ,所以 . (*) 又 ,所以 的坐标为 , 由 可得, , 从而可得 的纵坐标 , 将(*)式代入上式,得 ,即 . 所以, , 将(*)式代入上式,得 . 类型五 非对称问题1 已知椭圆 的长轴长为6,离心率为 . (1)求椭圆C的标准方程; (2)设椭圆C的左、右焦点分别为 , ,左、右顶点分别为A,B,点M,N为椭圆C上位于x轴上方 的两点,且 ,记直线AM,BN的斜率分别为 ,且 ,求直线 的方程. (1) (2) (1)由题意,可得 , , , 联立解得 , , , . (2)如图,由(1)知 , 方程为 ,直线 与椭圆的另一个交点为 ,∵ ,根据 对称性可得 ,联立 ,整理得 ,∴ , ∵ ,∴ , 即 ,联立解得 , , ∵ , ,∴ , ∴ ,∴ , ∴直线 的方程为 ,即 .1 已知椭圆 过点 ,且 . (Ⅰ)求椭圆C的方程: (Ⅱ)过点 的直线l交椭圆C于点 ,直线 分别交直线 于点 .求 的值. (Ⅰ) ;(Ⅱ)1. (2)①当直线l与x轴重合,不妨设 ,由平面几何知识得 ,所以 .②当直线l不与x轴重合时,设直线 , 由题意,直线l不过 和点 ,所以 .设 ,联立 得 .由题意知 ,所以 .且 .直线 的斜率存在. .当 时, .同理 . . 因为 ,所以 .类型六 探究性问题 1 .已知双曲线 的左右焦点分别为 , ,点 在直线 上且不在 轴上,直线 与双曲线的交点分别为A,B,直线 与双曲线的交点分别为C,D. (1)设直线 和 的斜率分别为 , ,求 的值; (2)问直线 l 上是否存在点 P,使得直线 OA,OB,OC,OD 的斜率 , , , 满足 ?若存在,求出所有满足条件的点 的坐标;若不存在,请说明理由. 解析:(1) (2)存在, 或 (1)设 , ,则 , 所以 ; (2)假设直线l上存在点 , . 设 设 , , ∴ , 同理 ,由 ,得得 或 ,当 时,由(1) 得 , , , ,得 , 当 时,由(1) 得 , 或 , , , ,得 . 所以 或 . 1 在直角坐标平面中, 的两个顶点的坐标分别为 ,两动点 满足 ,向量 与 共线. (1)求 的顶点 的轨迹方程; (2)若过点 的直线与(1)的轨迹相交于 两点,求 的取值范围. (3)若 为 点的轨迹在第一象限内的任意一点,则是否存在常数 ,使得 恒成立?若存在,求出 的值;若不存在,请说明理由. 【答案】(1) (2) (3)存在 ;理由见解析 【详解】(1)设 ,由 知, 是 的重心, .且向量 与 共线, 在边 的中垂线上, , 又 ,化简得 ,即所求的轨迹方程是 . (2)设 ,过点 的直线方程为 , 代入 得 , ,且 ,解得 . ,则 或 , ,则 的取值范围是 . (3)设 ,则 ,即 . 当 轴时, ,即 ,故猜想 . 当 不垂直 轴时, , . 与 同在 内, .故存在 ,使 恒成立.类型七 切线问题与阿基米德三角形问题 抛物线的弦与过弦的端点的两条切线所围的三角形,这个三角形又 常被称为阿基米德三角形.阿基米德三角形的得名,是因为阿基米德本人 最早利用逼近的思想证明 如下结论: 抛物线与阿基米德三角形定理: 抛物线的弦与抛物线所围成的封闭图形的面积,等于抛物线的弦 与 过弦的端点的两条切线所围成的三角形面积的三分之二. 下面来逐一介绍阿基米德三角形的一些推论: 如图,已知 是抛物线 准线上任意一点,过 作抛物线的切线 、分 别交抛物线于 、 两点, 为 中点,则: 1.若 过焦点,则 的端点的两条切线的交点 在其准线上. 2.阿基米德三角形底边上的中线平行于坐标轴,即 . 3. 过抛物线的焦点 4. 5.阿基米德三角形面积的最小值为 1 如下图,设抛物线方程为 ,M为直线 上任意一点,过 引抛物线的切线, 切点分别为 , . (Ⅰ)设线段 的中点为 ; (ⅰ)求证: 平行于 轴; (ⅱ)已知当 点的坐标为 时, ,求此时抛物线的方程; (Ⅱ)是否存在点 ,使得点 关于直线 的对称点 在抛物线 上,其中,点 满足 ( 为坐标原点).若存在,求出所有适合题意的点 的坐标;若不存在,请说明理由. 【答案】(Ⅰ)(ⅰ)证明见解析;(ⅱ) 或 ;(Ⅱ)仅存在一点 适合题意. 【分析】 (Ⅰ)(ⅰ)设出 的坐标,利用导数求得切线 的方程,结合 是线段 的中点进 行化简,得到 两点的横坐标相等,由此证得 平行于 轴. (ⅱ)利用 列方程,解方程求得 ,进而求得抛物线方程. (Ⅱ)设出 点坐标,由 点坐标求得线段 中点的坐标,由直线 的方程和抛物线的方程,求得 点的坐标,由此进行分类讨论求得 点的坐标. 【详解】 (Ⅰ)(ⅰ)证明:由题意设 , , , , . 由 得 ,则 ,所以 , . 因此直线 的方程为 , 直线 的方程为 . 所以 ,① .② 由①、②得 ,因此 ,即 ,也即 .所以 平 行于 轴. (ⅱ)解:由(ⅰ)知,当 时,将其代入①、②并整理得:, ,所以 , 是方程 的两根, 因此 , ,又 , 所以 . 由弦长公式的 . 又 ,所以 或 , 因此所求抛物线方程为 或 . (Ⅱ)解:设 ,由题意得 , 则 的中点坐标为 , 设直线 的方程为 , 由点 在直线 上,并注意到点 也在直线 上, 代入得 . 若 在抛物线上,则 , 因此 或 . 即 或 .(1)当 时,则 ,此时,点 适合题意. (2)当 ,对于 ,此时 , , 又 , ,所以 , 即 ,矛盾. 对于 ,因为 ,此时直线 平行于 轴, 又 , 所以直线 与直线 不垂直,与题设矛盾, 所以 时,不存在符合题意得 点. 综上所述,仅存在一点 适合题目 如图,设抛物线方程为 , 为直线 上任意一点,过 引抛物线的切线,切点 分别为 .(Ⅰ)求证: 三点的横坐标成等差数列; (Ⅱ)已知当 点的坐标为 时, .求此时抛物线的方程; (Ⅲ)是否存在点 ,使得点 关于直线 的对称点 在抛物线 上,其中,点 满足 ( 为坐标原点).若存在,求出所有适合题意的点 的坐标;若不存在,请说 明理由. 解 : ( Ⅰ ) 证 明 : 由 题 意 设 y B . A x O M由 得 ,得 , 所以 , . 因此直线 的方程为 ,直线 的方程为 . 所以 ,① .②由①、②得 , 因此 ,即 .所以 三点的横坐标成等差数列. (Ⅱ)解:由(Ⅰ)知,当 时, 将其代入①、②并整理得: , , 所以 是方程 的两根, 因此 , ,又 , 所以 .由弦长公式得 . 又 ,所以 或 , 因此所求抛物线方程为 或 . (Ⅲ)解:设 ,由题意得 , 则 的中点坐标为 , 设直线 的方程为 ,由点 在直线 上,并注意到点 也在直线 上, 代入得 .若 在抛物线上,则 , 因此 或 .即 或 . (1)当 时,则 ,此时,点 适合题意. (2)当 ,对于 ,此时 , ,又 , , 所以 , 即 ,矛盾.对于 ,因为 ,此时直线 平行于 轴, 又 ,所以直线 与直线 不垂直,与题设矛盾, 所以 时,不存在符合题意的 点,综上所述,仅存在一点 适合题 类型八 极点极限 调和点列 蝴蝶模型 1. 极点和极线的几何定义 如图, 为不在圆锥曲线 上的点, 过点 引两条割线依次交圆锥曲线于四点 , 连接 交于 , 连接 交于 , 我们称点 为直线 关于圆锥曲线 的极点, 称直线 为点 关于圆锥曲 线 的极线. 直线 交圆锥曲线 于 两点, 则 为圆锥曲线 的两条切线. 若 在圆锥曲线 上, 则过点 的切线即为极线.(1) 自极三角形:极点 一一极线 ;极点 一一极线 极点 一一极线 ; 即 中, 三 个顶点和对边分别为一对极点和极线, 称 为“自极三角形”. (2) 极点和极线的两种特殊情况 (1)当四边形变成三角形时:曲线上的点 对应的极线, 就是切线 ; (2)当四边有一组对边平行时, 如:当 时, 和 的交点 落在无穷远处; 点 的极线 和点 的极线 满足: 2. 极点和极线的代数定义 对于定点 与非退化二次曲线 过点 作动直线与曲线 交于点 与 点 , 那么点 关于线段 的调和点 的轨迹是什么? 可以证明: 点 在一条定直线 上,如下图. 我们称点 为直线 关于曲线 的极点; 相应地, 称直线 为点 关于曲线 的极线. 一般地, 对于圆锥曲线 设极点 , 则对应的极线为【注】替换规则为: (1) 椭圆 的三类极点极线 (1)若极点 在椭圆外, 过点 作橢圆的两条㘦线, 切点为 , 则极线为切点弦所在直线 (2)若极点 在椭圆上, 过点 作椭圆的切线 , 则极线为切线 ; (3)若极点 在橢圆内, 过点 作椭圆的弦 , 分别过 作椭圆切线, 则切线交点轨迹为极 线 由此可得椭圆极线的几何作法: (2) 对于双曲线 , 极点 对应的极线为 (3) 对于拋物线 , 极点 对应的极线为 . 3. 极点和极线的性质 (1) 引理: 已知椭圆方程为 , 直线 的方程为 , 点 不与原点重合. 过点 作直线交椭圆于 两点, 点在直线 上,则“点 在直线 上"的充要条件是 调和分割, 即 . x2 y2 1 设椭圆 C: + =1(a>b>0) 过点 M(√2,1), 且左焦点为 F (−√2,1). a2 b2 1 (1) 求敉圆 C 的方程; (2) 当过点 P(4,1) 的动直线 l 于椭圆 C 相交于两不同点 A,B 时, 在线段 AB 上取点 Q, 满足|⃗AP|⋅|⃗QB|=|⃗AQ|⋅|⃗PB|, 证明:点 Q 总在某定直线上. x2 y2 【答案】 (1) + =1; (2) 见解析. 4 2 x2 y2 + =1 4 2 【解析】(1)由题意得: ,解得 ,所求椭圆方程为 . (2) 解法 1: 定比点差法 设点 Q、A、B 的坐标分别为 (x,y),(x ,y ),(x ,y ) 1 1 2 2 |⃗AP| |⃗AQ| 由题设知 |⃗AP|,|⃗PB|,|⃗AQ|,|⃗QB| 均不为零, 记 λ= = , 则 λ>0 且 λ≠1 |⃗PB| |⃗QB| 又 A,P,B,Q 四点共线, 从而 ⃗AP=−λ⃗PB,⃗AQ=λ⃗QB x −λx y −λ y x +λx y +λ y 于是 4= 1 2,1= 1 2,x= 1 2,y= 1 2 , 1−λ 1−λ 1+λ 1+λ x2−λ2x2 y2−λ2y2 从而: 4x= 1 2⋯⋯⋯⋯ (1) y= 1 2……….. (2) 1−λ2 1−λ2 又点 A、B 在椭圆 C 上,即: x2+2y2=4⋯⋯⋯⋯⋯ (3) 1 1 x2+2y2=4⋯⋯⋯⋯⋯ (4) 2 2 (1)+(2) ×2, 并结合(3)(4)得 4x+2y=4,即点 Q(x,y) 总在定直线 2x+ y−2=0 上. 解法 2:构造同构式 设点 Q(x,y),A(x ,y ),B(x ,y ), 1 1 2 2 |⃗AP| |⃗AQ| 由题设知 |⃗AP|,|⃗PB|,|⃗AQ|,|⃗QB| 均不为零, 记 λ= = , |⃗PB| |⃗QB| 又 A,P,B,Q 四点共线, 可设 ⃗PA=−λ⃗AQ,⃗PB=λ⃗BQ(λ≠0,±1) 4−λx 4+λx {x = {x = 1 1−λ 2 1+λ 于是 (1), (2) 1−λy 1+λy y = y = 1 1−λ 2 1+λ 由于 A(x ,y ),B(x ,y ) 在椭圆 C 上, 将(1)(2)分别代入 C 的方程 x2+2y2=4, 1 1 2 2 整理得: (x2+2y2−4)λ2−4(2x+ y−2)λ+14=0 (3) (x2+2y2−4)λ2+4(2x+ y−2)λ+14=0 (4) (4)-(3)得: 8(2x+ y−2)λ=0,∵λ≠0,∴2x+ y−2=0, 即点 Q(x,y) 总在定直线 2x+ y−2=0 上. 解法 3:极点极线 AP AQ 由 |⃗AP|⋅|⃗QB|=|⃗AQ|⋅|⃗PB| 可得 = , PB QB 说明点 P,Q 关于桞圆调和共轭, 点 Q 在点 P 对应的极线上, 4⋅x 1⋅y 此极线方程为 + =1, 化简得 2x+ y−2=0. 4 2 故点 Q 总在直线 2x+ y−2=0 上. x2 y2 如图, 过直线 l:5x−7 y−70=0 上的点 P 作椭圆 + =1 的切线 PM 和 PN, 切点分别为 25 9 M,N, 连结 MN. (1) 当点 P 在直线 l 上运动时, 证明:直线 MN 恒过定点 Q;(2) 当 MN//l 时, 定点 Q 平分线段 MN. 【答案】见解析.【解析】解法 1: 常规解法 (1) 证明:设 P(x ,y ),M(x ,y ),N(x ,y ). 0 0 1 1 2 2 x x y y x x y y 则椭圆过点 M,N 的切线方程分别为: 1 + 1 =1, 2 + 2 =1. 25 9 25 9 x x y y x x y y 因 为 两 切 线 都 过 点 P, 则 有 : 1 0+ 1 0=1, 2 0+ 2 0=1. 25 9 25 9 x x y y 这表明 M,N 均在直线 0 + 0 =1 (1)上. 25 9 由两点确定一条直线知, 式(1)就是直线 MN 的方程, 其中 (x ,y ) 满足直线 l 的方程. 0 0 5 当点 P 在直线 l 上运动时, 可理解为 x 取遍一切实数,相应的 y 为 y = x −10 . 0 0 0 7 0 x 5x −70 代入(1)消去 y 得 0 x+ 0 y−1=0 (2)对一切 x ∈R 恒成立. 0 25 63 0 { x + 5 y =0 { x= 25 ( x 5 y) (10 y ) 25 63 14 变形可得 x + − +1 =0 , 对一切 x ∈R 恒成立, 故有 ⇒ 0 25 63 9 0 10 y 9 +1=0 y=− 9 10 (25 9 ) 故直线 MN 恒过定点 Q ,− . 14 10 x 5x −70 0 0 25 63 −1 4375 533 (2) 当 MN//l 时, 由式(2)知 − ≠ . 解得 x = . 代入(2), 得 MN 的方程为 5x−7 y− =0 (3) 5 −7 −70 0 533 35 533 533 128068 将此方程与椭圆方程联立, 消去 y 得 x2− x− =0 . 25 7 1225(25 9 ) 由此可得, 此时 MN 截圆所得弦的中点横坐标恰好为点 Q ,− 的横坐标, 即 14 10 −533 x +x 7 25 x= 1 2=− = 2 533 14 2× 25 (25 9 ) 代入(3)式可得弦中点纵坐标恰好为点 Q ,− 的纵坐标, 14 10 即 5 25 533 1 (125 533) 9 y= × − = − =− 7 14 7×35 49 2 2 10 (25 9 ) 这就是说, 点 Q ,− 平分线段 MN. 14 10 解法 2: (1) 动点 P 在定直线 l 上, 则相应的切点弦过定点, 可知定点 Q 必为极点, 于是只需求极点即可: x y (25 9 ) 由 5x−7 y−70=0⇔ − =1, 得到极点坐标 Q ,− , 即为所求定点. 14 10 14 10 (2) 由椭圆内一点极线方向与以极点为中点弦的方向相同, 也即 OQ 与极线方向共轭, 即得结论 (2). 蝴蝶定理(Butterfly Theorem) ,是古代欧氏平面几何中最精彩的结果之一.这个命题最早出现 在1815年,由W.G.霍纳提出证明. 【蝴蝶定理】M是⊙O中弦AB的中点,过点M的两条弦CD,EF,连接DE,CF交AB于P,Q两点,则 M是 线段PQ的中点. 问题中的图形酷似圆中翩翩起舞的蝴蝶,因此而被冠之“蝴蝶定理". 蝴蝶定理还可以推广到椭圆,甚至双曲线与抛物线中.x2 y2 例题 .如图,O为坐标原点,椭圆C: + =1(a>b>0)的焦距等于其长半轴长,M,N为椭圆C的上、下顶 a2 b2 点,且|MN|=2√3. (1)求椭圆C的方程; (2)过点P(0,1)作直线l交椭圆C于异于M,N的A,B两点,直线AM,BN交于点T.求证:点T的纵坐标为定 值3 x2 y2 【答案】(1) + =1; (2)见解析. 4 3 【解析】(1)由题意可知: 2c=a,2b=2√3,又a2=b2+c2, x2 y2 有b=√3,c=1,a=2,故椭圆C的方程为: + =1. 4 3 (2)由题意知直线l的斜率存在,设其方程为y=kx+1, { y=kx+1 联立直线方程和椭圆方程得 ,消去y得(4k2+3)x2+8kx−8=0, 3x2+4 y2−12=0 −8k −8 设A(x ,y ),B(x ,y )(x x ≠0),则x +x = ,x x = 1 1 2 2 1 2 1 2 4k2+3 1 2 4k2+3 y −1 y −1 又A,P,B三点共线,则 1 = 2 ,即x y −x y =x −x . x x 2 1 1 2 2 1 1 2{x y =2x +x 构造式子: x y +x y =2kx x +x +x =3(x +x ),则 2 1 2 1 . 2 1 1 2 1 2 1 2 1 2 x y =2x +x 1 2 1 2 y +√3 y −√3 又l :y= 2 ⋅x−√3,l :y= 1 ⋅x+√3 BN x AM x 2 1 y +√3 { y= 2 ⋅x−√3 x y−√3 y −√3 x x y −√3x 由 2 ,得 = 1 ⋅ 2 = 2 1 2 y −√3 y+√3 x y +√3 x y +√3x y= 1 ⋅x+√3 1 2 1 2 1 x 1 y−√3 x y −√3x x +(2−√3)x (2−√3)[(2+√3)x +x ] ∴ = 2 1 2= 1 2= 1 2 =2−√3 y+√3 x y +√3x (2+√3)x +x (2+√3)x +x 1 2 1 1 2 1 2 解之,得y=3.故点T的纵坐标为3. 类型九 不联立问题 1 已知点 在双曲线 上,直线 交 于 , 两点,直线 , 的斜率之 和为0. (1)求 的斜率; (2)若 ,求 的面积. 解析:(1)设 ,由点 都在双曲线 上,得 x2 x2 22 1y21,2y21, 121, 所 以 , 结 合 斜 率 公 式 , 相 减 后 变 形 , 可 得 : 2 1 2 2 2 y1 x2 y1 x2 k1 1 k2 2 , .因为直线 的斜率之和为 ,即 PAx22(y1) QAx22(y1) 1 1 2 2 ,所以, y1 x2 1  2 由 得 . ② x2 2(y1) 2(yyyy1)(xx2x2x4) 1 2 1212 1212y1 x2 2  1 由 得 . ③ x2 2(y1) 2(yyyy1)(xx2x2x4) 2 1 1221 1221 yy k 1 21 由②-③,得 ,从而 ,即 的斜率为 . yyxx PQxx 1 2 2 1 1 2 1 已知椭圆C: 的离心率为 ,且过点 . (1)求 的方程: (2)点 , 在 上,且 , , 为垂足.证明:存在定点 ,使得 为定值. 解析:(1)由题意可得: ,解得: ,故椭圆方程为: . y1y1 kk1 2 1 (2)设 ,依题意知 , A(x,y)B(,x,y) AMBMx2x2 11 22 1 2 y1y1 b2 1 y1x2 因为 2 2 ,所以 1  2 2, x2x2 a2 2 x2y1 2 2 1 2 整理得xy2xyx2x4y2y2 21122121 同理得xy2xyx2x4y2y2 12211212 2 1 2 1 相减可得xyxy(yy)(xx)即直,线 恒过定点H( , ). 2112312321 3 3 又 ,D在以 为直径的圆上. 的中点 即为圆心Q.经检验,直线 垂直于x轴时也成立.故存在 ,使得 . 类型十 与其他知识点交叉问题 某电厂冷却塔的外形是由 双曲线的一部分绕其虚轴所在的直线旋转所形成的曲面.如图所示,已知它的最 小半径为 ,上口半径为 ,下口半径为 ,高为 ,选择适当的平面直角坐标系. (1)求此双曲线 的方程; (2)定义:以(1)中求出的双曲线 的实轴为虚轴,以 的虚轴为实轴的双曲线 叫做 的共轭双曲线, 求双曲线 的方程; (3)对于(2)中的双曲线 、 的离心率分别为 、 ,写出 与 满足的一个关系式,并证明. 【答案】(1) (2) (3) (1)以冷却塔的轴截面的最窄处所在的直线为 轴,垂直平分线为 轴建立平面直角坐标系, 设双曲线的方程为 ,由题意知 ,所以 , , ,所以, ,所以 ,解得 , 所以双曲线 的方程为 . (2)以(1)中求出的双曲线 的实轴为虚轴,以 的虚轴为实轴的双曲线 为 . (3) 与 满足的一个关系式为 ,证明如下, 双曲线 的半焦距 , 所以双曲线 的离心率为 , 双曲线 的半焦距 , 所以双曲线 的离心率为 , 所以 , 所以 与 满足的一个关系式为 .1 在平面直角坐标系 中,对于直线 和点 、 ,记 ,若 ,则称点 、 被直线 分隔,若曲线 与直线 没有公共点,且 曲线 上存在点 、 被直线 分隔,则称直线 为曲线 的一条分隔线. (1)判断点 是否被直线 分隔并证明; (2)若直线 是曲线 的分隔线,求实数 的取值范围; (3)动点 到点 的距离与到 轴的距离之积为 ,设点 的轨迹为曲线 ,求证:通过原点的直线中, 有且仅有一条直线是 的分隔线. 【答案】(1)点 被直线 分隔(2) (3)证明见解析 (1)解:把点 、 分别代入 可得 , 所以点 、 被直线 分隔.(2)解:联立 ,可得 ,根据题意,此方程无解,故有 , 所以 . 当 时,对于直线 ,曲线 上的点 和 满足 ,即点 和 被 分隔. 故实数 的取值范围是 . (3)证明:设点 ,则由题意可得 , 故曲线 的方程为 ①. 对任意的 , 不是上述方程的解,即 轴(即 )与曲线 没有公共点. 又曲线 上的点 、 对于 轴(即 )对称,满足 , 即点 和 被 轴分隔,所以 轴,即 为曲线 的分隔线. 若过原点的直线不是 轴,设为 ,代入 , 可得 , 令 , 当 时, , 所以 在 有实数解, 当 时, 有实数解, ,即 与 有公共点, 所以 不是 的分隔线. 所以通过原点的直线中,有且仅有一条直线是 的分隔线,即 .1.(2022·北京海淀·校考模拟预测)椭圆C: 的右顶点为 ,离心率为 (1)求椭圆C的方程及短轴长; (2)已知:过定点 作直线l交椭圆C于D,E两点,过E作AB的平行线交直线DB于点F,设EF中点 为G,直线BG与椭圆的另一点交点为M,若四边形BEMF为平行四边形,求G点坐标. 【答案】(1) ; (2) 【详解】(1)由题意可得 , ,所以 , ,短轴长 所以椭圆C的方程: ; (2)设直线AD的方程: ,即 , , , 由 ,消去y,整理得 , 则 ,所以 , , 则直线BD的方程: ,令 ,则 ,所以 ,所以, , 则直线BG的斜率, 所以直线BG的斜率为 ,所以直线BG的方程: , 因此 ,则 ,解得 或 , 所以 ,当BEMF为平行四边形时,G为BM的中点,则 ,所以 2.(2022·北京·统考模拟预测)如图所示,过原点O作两条互相垂直的线OA,OB分别交抛物线 于A,B两点,连接AB,交y轴于点P. (1)求点P的坐标; (2)证明:存在相异于点P的定点T,使得 恒成立,请求出点T的坐标,并求出 面 积的最小值. 【答案】(1) ;(2)证明见解析, ,8. 【详解】(1)设 , , , 的斜率必存在,设 与抛物线联立可得 ,∴ , 可知: . ∵ ,∴ ∵ ,∴ ,则 ∴ ,即 . (2)由 ,可知: , 当 与x轴平行时, , ∴存在点T在y轴上,设 , , ∴TP为 的角平分线,有 , ∴ , ∵ , ∴ ,∴ , ∴存在 ,使得: 恒成立,∴ , 当且仅当 轴时, 面积的最小值为8. 3.(2023·湖北武汉·统考模拟预测)过坐标原点 作圆 的两条切线,设切点为 ,直 线 恰为抛物 的准线. (1)求抛物线 的标准方程; (2)设点 是圆 上的动点,抛物线 上四点 满足: ,设 中点为 . (i)求直线 的斜率; (ii)设 面积为 ,求 的最大值. 【答案】(1) (2)(i)0;(ii)48 【详解】(1)设直线 与 轴交于 . 由几何性质易得: 与 相似, 所以 , , 即: ,解得: . 所以抛物线 的标准方程为: . (2)设(i)由题意, 中点 在抛物线 上,即 , 又 ,将 代入, 得: , 同理: , 有 ,此时 点纵坐标为 , 所以直线 的斜率为0. (ⅱ)因为 , 所以点 , 此时 , , , 所以 , 又因为点 在圆 上,有 ,即 ,代入上式可得: , 由 , 所以 时, 取到最大价 .所以 的最大值为48. 4.(2022·江苏南京·模拟预测)在平面直角坐标系xOy中,抛物线 . , 为C上两点,且 , 分别在第一、四象限.直线 与x正半轴交于 ,与y负半轴交于 . (1)若 ,求 横坐标的取值范围; (2)记 的重心为G,直线 , 的斜率分别为 , ,且 .若 ,证明:λ为 定值. 【答案】(1) (2)证明见解析 【详解】(1)设 , ∵ ,∴ ,即 ,∴ , 直线 的方程为: , 整理可得, ,令 ,则 , 即 横坐标的取值范围 ; (2) 的重心为 , , ∴ ,又 ,且 , ∴ ,化简得, ,∵ , ∴ , . 即 ,所以λ为定值. 5.(2023河北·校联考三模)已知抛物线 的焦点为 ,过 且斜率为 的直线 与 交于 两点,斜率为 的直线 与 相切于点 ,且 与 不垂直, 为 的中点. (1)若 ,求 ; (2)若直线 过 ,求 . 【答案】(1) (2) 【详解】(1)∵抛物线Γ: (p>0)的焦点为F(0,1), ∴抛物线Γ的方程为 . 由直线 的斜率为 ,且过F(0,1),得 的方程为 , 代入 ,化简得 , 设 , 则 ,. ∵ = ,∴ ; (2)设P( , ), 将Γ的方程 化为y= ,求导得y′= , ∵斜率为 的直线 与Γ相切于点P,∴ = ,则P(2 , ), 由(1)知 =4 ,且Q为AB的中点,易得Q(2 , +1), ∵直线PQ过(0,2),∴ , 整理得 , ∵ 与 不垂直,∴ , 则 -2 =0,即 = . 6.(2023·山东泰安·统考一模)已知椭圆 : 的左,右焦点分别为 , ,离心率为 , 是椭圆 上不同的两点,且点 在 轴上方, ,直线 , 交于点 .已知当 轴时, . (1)求椭圆 的方程; (2)求证:点 在以 , 为焦点的定椭圆上. 【答案】(1) (2)证明见解析【详解】(1)由题知, ,点 在椭圆C上,则 ,解得 , 所以椭圆C的方程为 ; (2)证明:∵ ,且点A在x轴上方 ∴设 , , , ,设直线 的方程为 ,则直线 的方程为 , 由 ,得 ,∴ 或 (舍), ∴ 同理 ,所以 , 由 ,得 ∴ ∴ 又点B在椭圆C上,∴ ,则 ∴ 同理: ,所以∴ 又 , ∴ ∴点P在以 , 为焦点的定椭圆上. 7.(2023·河北邢台·校联考模拟预测)已知双曲线 过点 ,且 与 的两 个顶点连线的斜率之和为4. (1)求 的方程; (2)过点 的直线 与双曲线 交于 , 两点(异于点 ).设直线 与 轴垂直且交直线 于点 ,若线段 的中点为 ,证明:直线 的斜率为定值,并求该定值. 【答案】(1) (2)证明见解析,定值为2 【详解】(1)双曲线的两顶点为 ,所以, ,即 , 将 代入 的方程可得, ,故 的方程为 . (2)依题意,可设直线 , , . 与 联立,整理得 , 所以 , ,解得, 且 , , ,所以 . (*) 又 ,所以 的坐标为 ,由 可得, , 从而可得 的纵坐标 , 将(*)式代入上式,得 ,即 . 所以, , 将(*)式代入上式,得 . 8.(2023·重庆·统考二模)过抛物线 的焦点 作斜率分别为 的两条不同的直线 ,且 相交于点 , , 相交于点 , .以 , 为直径的圆 ,圆 为圆心 的公共弦 所在的直线记为 . (1)若 ,求 ; (2)若 ,求点 到直线 的距离的最小值. 【答案】(1)24(2) 【详解】(1)依题意,抛物线 的焦点为 ,且其在抛物线内部,设直线 的方程为 , 由 ,得 ,设 , 两点的坐标分别为 ,则 是上述方程的两个实数根, 所以 所以点 的坐标为 , , 同理可得 的坐标为 , , 于是 , 又 ,所以 . (2)结合(1), 由抛物线的定义得 , , 所以 , 所以圆 的半径 , 所以圆 的方程为 化简得 , 同理可得圆 的方程为 , 于是圆 与圆 的公共弦所在直线 的方程为 , 又 ,则直线 的方程为 , 所以点 到直线 的距离 , 故当 时, 取最小值 .【点睛】关键点点睛:解答小问(2)的关键是根据抛物线的定义求得 , ,进而可得 ,从而得 到圆 的半径 ,可得到圆 的方程,同理可得到圆 的方程,再根据点到直线的距离公式求解. 9.(2023·广东·校联考模拟预测)已知椭圆C: 的短轴长为2,离心率为 .点 ,直线 : . (1)证明:直线 与椭圆 相交于两点,且每一点与 的连线都是椭圆的切线; (2)若过点 的直线与椭圆交于 两点,与直线 交于点 ,求证: . 【答案】(1)证明见解析(2)证明见解析 【详解】(1)由题意可知 ,因此 ,则椭圆方程为: 因为由 消去 可得 , , 则该方程有两个不相等的实根,所以直线 与椭圆 相交于两点; 设 为直线 与椭圆 的交点,则 , , 直线 的方程为 ,即 ,代入椭圆方程得 , 所以 , 整理得 ,即 ,所以 , 故 是椭圆的切线. (2)因为 四点共线,由(1)可知 在线段 外, 在线段 内,所以 与 的方向相同, 与 的方向相同, 要证 ,只需要 ,即证 , 设 ,不妨设 , 因为 四点共线,所以 等价于 ,即 , 显然 , 设直线 的方程为 ,即 , 由 ,可得 ; 由 可得 , 从而可知 , 因此 ,所以结论成立. 一、解答题 1.(2022·全国·统考高考真题)已知椭圆E的中心为坐标原点,对称轴为x轴、y轴,且过 两点. (1)求E的方程; (2)设过点 的直线交E于M,N两点,过M且平行于x轴的直线与线段AB交于点T,点H满足 .证明:直线HN过定点. 【答案】(1) (2) 【分析】(1)将给定点代入设出的方程求解即可; (2)设出直线方程,与椭圆C的方程联立,分情况讨论斜率是否存在,即可得解. 【详解】(1)解:设椭圆E的方程为 ,过 , 则 ,解得 , , 所以椭圆E的方程为: . (2) ,所以 ,①若过点 的直线斜率不存在,直线 .代入 , 可得 , ,代入AB方程 ,可得 ,由 得到 .求得HN方程: ,过点 . ②若过点 的直线斜率存在,设 . 联立 得 , 可得 , , 且 联立 可得 可求得此时 , 将 ,代入整理得 , 将 代入,得 显然成立, 综上,可得直线HN过定点 2.(2022·全国·统考高考真题)设抛物线 的焦点为F,点 ,过F的直线交C于M,N两点.当直线MD垂直于x轴时, . (1)求C的方程; (2)设直线 与C的另一个交点分别为A,B,记直线 的倾斜角分别为 .当 取得最 大值时,求直线AB的方程. 【答案】(1) ;(2) . 【详解】(1)抛物线的准线为 ,当 与x轴垂直时,点M的横坐标为p, 此时 ,所以 , 所以抛物线C的方程为 ; (2)[方法一]:【最优解】直线方程横截式 设 ,直线 , 由 可得 , , 由斜率公式可得 , , 直线 ,代入抛物线方程可得 , ,所以 ,同理可得 , 所以 又因为直线MN、AB的倾斜角分别为 ,所以 , 若要使 最大,则 ,设 ,则, 当且仅当 即 时,等号成立, 所以当 最大时, ,设直线 , 代入抛物线方程可得 , ,所以 , 所以直线 . [方法二]:直线方程点斜式 由题可知,直线MN的斜率存在. 设 ,直线 由 得: , ,同理, . 直线MD: ,代入抛物线方程可得: ,同理, . 代入抛物线方程可得: ,所以 ,同理可得 , 由斜率公式可得: (下同方法一)若要使 最大,则 , 设 ,则 , 当且仅当 即 时,等号成立,所以当 最大时, ,设直线 , 代入抛物线方程可得 , ,所以 ,所以直线 . [方法三]:三点共线 设 , 设 ,若 P、M、N三点共线,由 所以 ,化简得 , 反之,若 ,可得MN过定点 因此,由M、N、F三点共线,得 , 由M、D、A三点共线,得 , 由N、D、B三点共线,得 , 则 ,AB过定点(4,0) (下同方法一)若要使 最大,则 , 设 ,则 , 当且仅当 即 时,等号成立, 所以当 最大时, ,所以直线 .3.(2022·全国·统考高考真题)已知点 在双曲线 上,直线l交C于P,Q两点, 直线 的斜率之和为0. (1)求l的斜率; (2)若 ,求 的面积. 【答案】(1) ;(2) . 【详解】(1)因为点 在双曲线 上,所以 ,解得 ,即双曲 线 . 易知直线l的斜率存在,设 , , 联立 可得, , 所以, , 且 . 所以由 可得, , 即 , 即 , 所以 , 化简得, ,即 , 所以 或 , 当 时,直线 过点 ,与题意不符,舍去, 故 .(2)[方法一]:【最优解】常规转化 不妨设直线 的倾斜角为 ,因为 ,所以 ,由(1)知, , 当 均在双曲线左支时, ,所以 , 即 ,解得 (负值舍去) 此时PA与双曲线的渐近线平行,与双曲线左支无交点,舍去; 当 均在双曲线右支时, 因为 ,所以 ,即 , 即 ,解得 (负值舍去), 于是,直线 ,直线 , 联立 可得, , 因为方程有一个根为 ,所以 , , 同理可得, , . 所以 , ,点 到直线 的距离 , 故 的面积为 . [方法二]: 设直线AP的倾斜角为 , ,由 ,得 , 由 ,得 ,即 ,联立 ,及 得 , , 同理, , ,故 , 而 , , 由 ,得 , 故 【整体点评】(2)法一:由第一问结论利用倾斜角的关系可求出直线 的斜率,从而联立求出点 坐标,进而求出三角形面积,思路清晰直接,是该题的通性通法,也是最优解; 法二:前面解答与法一求解点 坐标过程形式有所区别,最终目的一样,主要区别在于三角形面积公式 的选择不一样. 4.(2022·全国·统考高考真题)已知双曲线 的右焦点为 ,渐近线方程为 . (1)求C的方程; (2)过F的直线与C的两条渐近线分别交于A,B两点,点 在C上,且 . 过P且斜率为 的直线与过Q且斜率为 的直线交于点M.从下面①②③中选取两个作为条件,证明另 外一个成立: ①M在 上;② ;③ . 注:若选择不同的组合分别解答,则按第一个解答计分. 【答案】(1) (2)见解析 【详解】(1)右焦点为 ,∴ ,∵渐近线方程为 ,∴ ,∴ ,∴,∴ ,∴ . ∴C的方程为: ; (2)由已知得直线 的斜率存在且不为零,直线 的斜率不为零, 若选由①②推③或选由②③推①:由②成立可知直线 的斜率存在且不为零; 若选①③推②,则 为线段 的中点,假若直线 的斜率不存在,则由双曲线的对称性可知 在 轴 上,即为焦点 ,此时由对称性可知 、 关于 轴对称,与从而 ,已知不符; 总之,直线 的斜率存在且不为零. 设直线 的斜率为 ,直线 方程为 , 则条件① 在 上,等价于 ; 两渐近线的方程合并为 , 联立消去y并化简整理得: 设 ,线段中点为 ,则 , 设 , 则条件③ 等价于 , 移项并利用平方差公式整理得: , ,即 , 即 ; 由题意知直线 的斜率为 , 直线 的斜率为 ,∴由 , ∴ , 所以直线 的斜率 , 直线 ,即 , 代入双曲线的方程 ,即 中, 得: , 解得 的横坐标: , 同理: , ∴ ∴ , ∴条件② 等价于 , 综上所述: 条件① 在 上,等价于 ; 条件② 等价于 ; 条件③ 等价于 ; 选①②推③: 由①②解得: ,∴③成立;选①③推②: 由①③解得: , , ∴ ,∴②成立; 选②③推①: 由②③解得: , ,∴ , ∴ ,∴①成立. 5.(2021·全国·统考高考真题)已知抛物线 的焦点为 ,且 与圆 上点的距离的最小值为 . (1)求 ; (2)若点 在 上, 是 的两条切线, 是切点,求 面积的最大值. 【答案】(1) ;(2) . 【分析】(1)根据圆的几何性质可得出关于 的等式,即可解出 的值; (2)设点 、 、 ,利用导数求出直线 、 ,进一步可求得直线 的方程, 将直线 的方程与抛物线的方程联立,求出 以及点 到直线 的距离,利用三角形的面积公式结合 二次函数的基本性质可求得 面积的最大值. 【详解】(1)[方法一]:利用二次函数性质求最小值 由题意知, ,设圆M上的点 ,则 . 所以 . 从而有 .因为 ,所以当 时, . 又 ,解之得 ,因此 . [方法二]【最优解】:利用圆的几何意义求最小值 抛物线 的焦点为 , , 所以, 与圆 上点的距离的最小值为 ,解得 ; (2)[方法一]:切点弦方程+韦达定义判别式求弦长求面积法 抛物线 的方程为 ,即 ,对该函数求导得 , 设点 、 、 , 直线 的方程为 ,即 ,即 , 同理可知,直线 的方程为 , 由于点 为这两条直线的公共点,则 , 所以,点A、 的坐标满足方程 , 所以,直线 的方程为 , 联立 ,可得 , 由韦达定理可得 , , 所以, , 点 到直线 的距离为 ,所以, , , 由已知可得 ,所以,当 时, 的面积取最大值 . [方法二]【最优解】:切点弦法+分割转化求面积+三角换元求最值 同方法一得到 . 过P作y轴的平行线交 于Q,则 . . P点在圆M上,则 . 故当 时 的面积最大,最大值为 . [方法三]:直接设直线AB方程法 设切点A,B的坐标分别为 , . 设 ,联立 和抛物线C的方程得 整理得 . 判别式 ,即 ,且 . 抛物线C的方程为 ,即 ,有 . 则 ,整理得 ,同理可得 .联立方程 可得点P的坐标为 ,即 . 将点P的坐标代入圆M的方程,得 ,整理得 . 由弦长公式得 . 点P到直线 的距离为 . 所以 , 其中 ,即 . 当 时, . 6.(2021·全国·统考高考真题)抛物线C的顶点为坐标原点O.焦点在x轴上,直线l: 交C于P,Q 两点,且 .已知点 ,且 与l相切. (1)求C, 的方程; (2)设 是C上的三个点,直线 , 均与 相切.判断直线 与 的位置关系,并 说明理由. 【答案】(1)抛物线 , 方程为 ;(2)相切,理由见解析 【分析】(1)根据已知抛物线与 相交,可得出抛物线开口向右,设出标准方程,再利用对称性设出 坐标,由 ,即可求出 ;由圆 与直线 相切,求出半径,即可得出结论; (2)方法一:先考虑 斜率不存在,根据对称性,即可得出结论;若 斜率存在,由 三点在抛物线上,将直线 斜率分别用纵坐标表示,再由 与圆 相切,得出 与 的关系,最后求出 点到直线 的距离,即可得出结论. 【详解】(1)依题意设抛物线 , , 所以抛物线 的方程为 , 与 相切,所以半径为 , 所以 的方程为 ; (2)[方法一]:设 若 斜率不存在,则 方程为 或 , 若 方程为 ,根据对称性不妨设 , 则过 与圆 相切的另一条直线方程为 , 此时该直线与抛物线只有一个交点,即不存在 ,不合题意; 若 方程为 ,根据对称性不妨设 则过 与圆 相切的直线 为 , 又 , ,此时直线 关于 轴对称, 所以直线 与圆 相切; 若直线 斜率均存在, 则 ,所以直线 方程为 , 整理得 , 同理直线 的方程为 , 直线 的方程为 , 与圆 相切, 整理得 , 与圆 相切,同理 所以 为方程 的两根, , 到直线 的距离为: , 所以直线 与圆 相切; 综上若直线 与圆 相切,则直线 与圆 相切. [方法二]【最优解】:设 . 当 时,同解法1.当 时,直线 的方程为 ,即 . 由直线 与 相切得 ,化简得 , 同理,由直线 与 相切得 . 因为方程 同时经过点 ,所以 的直线方程为 , 点M到直线 距离为 . 所以直线 与 相切. 综上所述,若直线 与 相切,则直线 与 相切. 7.(2021·全国·统考高考真题)在平面直角坐标系 中,已知点 、 ,点 的轨迹为 . (1)求 的方程; (2)设点 在直线 上,过 的两条直线分别交 于 、 两点和 , 两点,且 , 求直线 的斜率与直线 的斜率之和. 【答案】(1) ;(2) . 【详解】(1) 因为 , 所以,轨迹 是以点 、 为左、右焦点的双曲线的右支,设轨迹 的方程为 ,则 ,可得 , , 所以,轨迹 的方程为 . (2)[方法一] 【最优解】:直线方程与双曲线方程联立 如图所示,设 , 设直线 的方程为 . 联立 , 化简得 . 则 . 故 . 则 . 设 的方程为 ,同理 . 因为 ,所以 ,化简得 , 所以 ,即 . 因为 ,所以 . [方法二] :参数方程法 设 .设直线 的倾斜角为 , 则其参数方程为 , 联立直线方程与曲线C的方程 , 可得 , 整理得 . 设 , 由根与系数的关系得 . 设直线 的倾斜角为 , , 同理可得 由 ,得 . 因为 ,所以 . 由题意分析知 .所以 , 故直线 的斜率与直线 的斜率之和为0. [方法三]:利用圆幂定理因为 ,由圆幂定理知A,B,P,Q四点共圆. 设 ,直线 的方程为 , 直线 的方程为 , 则二次曲线 . 又由 ,得过A,B,P,Q四点的二次曲线系方程为: , 整理可得: , 其中 . 由于A,B,P,Q四点共圆,则xy项的系数为0,即 . 8.(2021·全国·统考高考真题)已知椭圆C的方程为 ,右焦点为 ,且离心率 为 . (1)求椭圆C的方程; (2)设M,N是椭圆C上的两点,直线 与曲线 相切.证明:M,N,F三点共线的 充要条件是 . 【答案】(1) ;(2)证明见解析. 【分析】(1)由离心率公式可得 ,进而可得 ,即可得解; (2)必要性:由三点共线及直线与圆相切可得直线方程,联立直线与椭圆方程可证 ;充分性:设直线 ,由直线与圆相切得 ,联立直线与椭圆方程结合弦长公式 可得 ,进而可得 ,即可得解. 【详解】(1)由题意,椭圆半焦距 且 ,所以 , 又 ,所以椭圆方程为 ; (2)由(1)得,曲线为 , 当直线 的斜率不存在时,直线 ,不合题意; 当直线 的斜率存在时,设 , 必要性: 若M,N,F三点共线,可设直线 即 , 由直线 与曲线 相切可得 ,解得 , 联立 可得 ,所以 , 所以 , 所以必要性成立; 充分性:设直线 即 , 由直线 与曲线 相切可得 ,所以 , 联立 可得 ,所以 , 所以 , 化简得 ,所以 , 所以 或 ,所以直线 或 , 所以直线 过点 ,M,N,F三点共线,充分性成立; 所以M,N,F三点共线的充要条件是 . 9.(2020·全国·统考高考真题)已知A、B分别为椭圆E: (a>1)的左、右顶点,G为E的上 顶点, ,P为直线x=6上的动点,PA与E的另一交点为C,PB与E的另一交点为D. (1)求E的方程; (2)证明:直线CD过定点. 【答案】(1) ;(2)证明详见解析. 【分析】(1)由已知可得: , , ,即可求得 ,结合已知即可求得: ,问题得解. (2)方法一:设 ,可得直线 的方程为: ,联立直线 的方程与椭圆方程即可求 得点 的坐标为 ,同理可得点 的坐标为 ,当 时,可表示出直线 的方程,整理直线 的方程可得: 即可知直线过定点 ,当 时, 直线 : ,直线过点 ,命题得证. 【详解】(1)依据题意作出如下图象: 由椭圆方程 可得: , , , , 椭圆方程为: (2)[方法一]:设而求点法 证明:设 , 则直线 的方程为: ,即: 联立直线 的方程与椭圆方程可得: ,整理得: ,解得: 或将 代入直线 可得: 所以点 的坐标为 . 同理可得:点 的坐标为 当 时, 直线 的方程为: , 整理可得: 整理得: 所以直线 过定点 . 当 时,直线 : ,直线过点 . 故直线CD过定点 . [方法二]【最优解】:数形结合 设 ,则直线 的方程为 ,即 . 同理,可求直线 的方程为 . 则经过直线 和直线 的方程可写为 . 可化为 .④易知A,B,C,D四个点满足上述方程,同时A,B,C,D又在椭圆上,则有 ,代入④式可 得 . 故 ,可得 或 . 其中 表示直线 ,则 表示直线 . 令 ,得 ,即直线 恒过点 . 10.(2020·山东·统考高考真题)已知椭圆C: 的离心率为 ,且过点 . (1)求 的方程: (2)点 , 在 上,且 , , 为垂足.证明:存在定点 ,使得 为定值. 【答案】(1) ;(2)详见解析. 【分析】(1)由题意得到关于 的方程组,求解方程组即可确定椭圆方程. (2)方法一:设出点 , 的坐标,在斜率存在时设方程为 , 联立直线方程与椭圆方程,根据 已知条件,已得到 的关系,进而得直线 恒过定点,在直线斜率不存在时要单独验证,然后结合直 角三角形的性质即可确定满足题意的点 的位置. 【详解】(1)由题意可得: ,解得: , 故椭圆方程为: . (2)[方法一]:通性通法设点 , 若直线 斜率存在时,设直线 的方程为: , 代入椭圆方程消去 并整理得: , 可得 , , 因为 ,所以 ,即 , 根据 ,代入整理可得: , 所以 , 整理化简得 , 因为 不在直线 上,所以 , 故 ,于是 的方程为 , 所以直线过定点直线过定点 . 当直线 的斜率不存在时,可得 , 由 得: , 得 ,结合 可得: , 解得: 或 (舍). 此时直线 过点 . 令 为 的中点,即 ,若 与 不重合,则由题设知 是 的斜边,故 , 若 与 重合,则 ,故存在点 ,使得 为定值. [方法二]【最优解】:平移坐标系 将原坐标系平移,原来的O点平移至点A处,则在新的坐标系下椭圆的方程为 ,设直 线 的方程为 .将直线 方程与椭圆方程联立得 ,即 ,化简得 ,即 . 设 ,因为 则 ,即 . 代入直线 方程中得 .则在新坐标系下直线 过定点 ,则在原坐标系下 直线 过定点 . 又 ,D在以 为直径的圆上. 的中点 即为圆心Q.经检验,直线 垂直于x轴时也 成立. 故存在 ,使得 . [方法三]:建立曲线系 A点处的切线方程为 ,即 .设直线 的方程为 ,直线 的 方程为 ,直线 的方程为 .由题意得 . 则过A,M,N三点的二次曲线系方程用椭圆及直线 可表示为(其中 为系数). 用直线 及点A处的切线可表示为 (其中 为系数). 即 . 对比 项、x项及y项系数得 将①代入②③,消去 并化简得 ,即 . 故直线 的方程为 ,直线 过定点 .又 ,D在以 为直径的圆上. 中点 即为圆心Q. 经检验,直线 垂直于x轴时也成立.故存在 ,使得 . [方法四]: 设 . 若直线 的斜率不存在,则 . 因为 ,则 ,即 . 由 ,解得 或 (舍). 所以直线 的方程为 . 若直线 的斜率存在,设直线 的方程为 ,则 .令 ,则 . 又 ,令 ,则 . 因为 ,所以 , 即 或 . 当 时,直线 的方程为 .所以直线 恒过 ,不合题意; 当 时,直线 的方程为 ,所以直线 恒过 . 综上,直线 恒过 ,所以 . 又因为 ,即 ,所以点D在以线段 为直径的圆上运动. 取线段 的中点为 ,则 . 所以存在定点Q,使得 为定值. 11.(2022·北京·统考高考真题)已知椭圆: 的一个顶点为 ,焦距为 . (1)求椭圆E的方程; (2)过点 作斜率为k的直线与椭圆E交于不同的两点B,C,直线AB,AC分别与x轴交于点M,N, 当 时,求k的值. 【答案】(1) (2) 【分析】(1)依题意可得 ,即可求出 ,从而求出椭圆方程; (2)首先表示出直线方程,设 、 ,联立直线与椭圆方程,消元列出韦达定理,由直线、 的方程,表示出 、 ,根据 得到方程,解得即可; 【详解】(1)解:依题意可得 , ,又 , 所以 ,所以椭圆方程为 ; (2)解:依题意过点 的直线为 ,设 、 ,不妨令 , 由 ,消去 整理得 , 所以 ,解得 , 所以 , , 直线 的方程为 ,令 ,解得 , 直线 的方程为 ,令 ,解得 , 所以 , 所以 ,即 即 即 整理得 ,解得 12.(2022·浙江·统考高考真题)如图,已知椭圆 .设A,B是椭圆上异于 的两点,且点 在线段 上,直线 分别交直线 于C,D两点. (1)求点P到椭圆上点的距离的最大值; (2)求 的最小值. 【答案】(1) ; (2) . 【分析】(1)设 是椭圆上任意一点,再根据两点间的距离公式求出 ,再根据二次函数的性质即可求出; (2)设直线 与椭圆方程联立可得 ,再将直线 方程与 的方 程分别联立,可解得点 的坐标,再根据两点间的距离公式求出 ,最后代入化简可得 ,由柯西不等式即可求出最小值. 【详解】(1)设 是椭圆上任意一点, , ,当且仅当 时取 等号,故 的最大值是 . (2)设直线 ,直线 方程与椭圆 联立,可得 ,设 ,所以 , 因为直线 与直线 交于 , 则 ,同理可得, .则, 当且仅当 时取等号,故 的最小值为 .