当前位置:首页>文档>重难点05函数大综合(6题型)(解析版)_02中考总复习(2026版更新中)_02-数学-中考总复习_2025中考复习资料_2025中考二轮课件ppt+讲义+练习数学_讲义+练习

重难点05函数大综合(6题型)(解析版)_02中考总复习(2026版更新中)_02-数学-中考总复习_2025中考复习资料_2025中考二轮课件ppt+讲义+练习数学_讲义+练习

  • 2026-04-04 04:20:03 2026-03-12 15:24:19

文档预览

重难点05函数大综合(6题型)(解析版)_02中考总复习(2026版更新中)_02-数学-中考总复习_2025中考复习资料_2025中考二轮课件ppt+讲义+练习数学_讲义+练习
重难点05函数大综合(6题型)(解析版)_02中考总复习(2026版更新中)_02-数学-中考总复习_2025中考复习资料_2025中考二轮课件ppt+讲义+练习数学_讲义+练习
重难点05函数大综合(6题型)(解析版)_02中考总复习(2026版更新中)_02-数学-中考总复习_2025中考复习资料_2025中考二轮课件ppt+讲义+练习数学_讲义+练习
重难点05函数大综合(6题型)(解析版)_02中考总复习(2026版更新中)_02-数学-中考总复习_2025中考复习资料_2025中考二轮课件ppt+讲义+练习数学_讲义+练习
重难点05函数大综合(6题型)(解析版)_02中考总复习(2026版更新中)_02-数学-中考总复习_2025中考复习资料_2025中考二轮课件ppt+讲义+练习数学_讲义+练习
重难点05函数大综合(6题型)(解析版)_02中考总复习(2026版更新中)_02-数学-中考总复习_2025中考复习资料_2025中考二轮课件ppt+讲义+练习数学_讲义+练习
重难点05函数大综合(6题型)(解析版)_02中考总复习(2026版更新中)_02-数学-中考总复习_2025中考复习资料_2025中考二轮课件ppt+讲义+练习数学_讲义+练习
重难点05函数大综合(6题型)(解析版)_02中考总复习(2026版更新中)_02-数学-中考总复习_2025中考复习资料_2025中考二轮课件ppt+讲义+练习数学_讲义+练习
重难点05函数大综合(6题型)(解析版)_02中考总复习(2026版更新中)_02-数学-中考总复习_2025中考复习资料_2025中考二轮课件ppt+讲义+练习数学_讲义+练习
重难点05函数大综合(6题型)(解析版)_02中考总复习(2026版更新中)_02-数学-中考总复习_2025中考复习资料_2025中考二轮课件ppt+讲义+练习数学_讲义+练习
重难点05函数大综合(6题型)(解析版)_02中考总复习(2026版更新中)_02-数学-中考总复习_2025中考复习资料_2025中考二轮课件ppt+讲义+练习数学_讲义+练习
重难点05函数大综合(6题型)(解析版)_02中考总复习(2026版更新中)_02-数学-中考总复习_2025中考复习资料_2025中考二轮课件ppt+讲义+练习数学_讲义+练习
重难点05函数大综合(6题型)(解析版)_02中考总复习(2026版更新中)_02-数学-中考总复习_2025中考复习资料_2025中考二轮课件ppt+讲义+练习数学_讲义+练习
重难点05函数大综合(6题型)(解析版)_02中考总复习(2026版更新中)_02-数学-中考总复习_2025中考复习资料_2025中考二轮课件ppt+讲义+练习数学_讲义+练习
重难点05函数大综合(6题型)(解析版)_02中考总复习(2026版更新中)_02-数学-中考总复习_2025中考复习资料_2025中考二轮课件ppt+讲义+练习数学_讲义+练习
重难点05函数大综合(6题型)(解析版)_02中考总复习(2026版更新中)_02-数学-中考总复习_2025中考复习资料_2025中考二轮课件ppt+讲义+练习数学_讲义+练习
重难点05函数大综合(6题型)(解析版)_02中考总复习(2026版更新中)_02-数学-中考总复习_2025中考复习资料_2025中考二轮课件ppt+讲义+练习数学_讲义+练习
重难点05函数大综合(6题型)(解析版)_02中考总复习(2026版更新中)_02-数学-中考总复习_2025中考复习资料_2025中考二轮课件ppt+讲义+练习数学_讲义+练习
重难点05函数大综合(6题型)(解析版)_02中考总复习(2026版更新中)_02-数学-中考总复习_2025中考复习资料_2025中考二轮课件ppt+讲义+练习数学_讲义+练习
重难点05函数大综合(6题型)(解析版)_02中考总复习(2026版更新中)_02-数学-中考总复习_2025中考复习资料_2025中考二轮课件ppt+讲义+练习数学_讲义+练习
重难点05函数大综合(6题型)(解析版)_02中考总复习(2026版更新中)_02-数学-中考总复习_2025中考复习资料_2025中考二轮课件ppt+讲义+练习数学_讲义+练习
重难点05函数大综合(6题型)(解析版)_02中考总复习(2026版更新中)_02-数学-中考总复习_2025中考复习资料_2025中考二轮课件ppt+讲义+练习数学_讲义+练习
重难点05函数大综合(6题型)(解析版)_02中考总复习(2026版更新中)_02-数学-中考总复习_2025中考复习资料_2025中考二轮课件ppt+讲义+练习数学_讲义+练习
重难点05函数大综合(6题型)(解析版)_02中考总复习(2026版更新中)_02-数学-中考总复习_2025中考复习资料_2025中考二轮课件ppt+讲义+练习数学_讲义+练习
重难点05函数大综合(6题型)(解析版)_02中考总复习(2026版更新中)_02-数学-中考总复习_2025中考复习资料_2025中考二轮课件ppt+讲义+练习数学_讲义+练习
重难点05函数大综合(6题型)(解析版)_02中考总复习(2026版更新中)_02-数学-中考总复习_2025中考复习资料_2025中考二轮课件ppt+讲义+练习数学_讲义+练习
重难点05函数大综合(6题型)(解析版)_02中考总复习(2026版更新中)_02-数学-中考总复习_2025中考复习资料_2025中考二轮课件ppt+讲义+练习数学_讲义+练习
重难点05函数大综合(6题型)(解析版)_02中考总复习(2026版更新中)_02-数学-中考总复习_2025中考复习资料_2025中考二轮课件ppt+讲义+练习数学_讲义+练习
重难点05函数大综合(6题型)(解析版)_02中考总复习(2026版更新中)_02-数学-中考总复习_2025中考复习资料_2025中考二轮课件ppt+讲义+练习数学_讲义+练习
重难点05函数大综合(6题型)(解析版)_02中考总复习(2026版更新中)_02-数学-中考总复习_2025中考复习资料_2025中考二轮课件ppt+讲义+练习数学_讲义+练习
重难点05函数大综合(6题型)(解析版)_02中考总复习(2026版更新中)_02-数学-中考总复习_2025中考复习资料_2025中考二轮课件ppt+讲义+练习数学_讲义+练习
重难点05函数大综合(6题型)(解析版)_02中考总复习(2026版更新中)_02-数学-中考总复习_2025中考复习资料_2025中考二轮课件ppt+讲义+练习数学_讲义+练习
重难点05函数大综合(6题型)(解析版)_02中考总复习(2026版更新中)_02-数学-中考总复习_2025中考复习资料_2025中考二轮课件ppt+讲义+练习数学_讲义+练习
重难点05函数大综合(6题型)(解析版)_02中考总复习(2026版更新中)_02-数学-中考总复习_2025中考复习资料_2025中考二轮课件ppt+讲义+练习数学_讲义+练习
重难点05函数大综合(6题型)(解析版)_02中考总复习(2026版更新中)_02-数学-中考总复习_2025中考复习资料_2025中考二轮课件ppt+讲义+练习数学_讲义+练习
重难点05函数大综合(6题型)(解析版)_02中考总复习(2026版更新中)_02-数学-中考总复习_2025中考复习资料_2025中考二轮课件ppt+讲义+练习数学_讲义+练习
重难点05函数大综合(6题型)(解析版)_02中考总复习(2026版更新中)_02-数学-中考总复习_2025中考复习资料_2025中考二轮课件ppt+讲义+练习数学_讲义+练习
重难点05函数大综合(6题型)(解析版)_02中考总复习(2026版更新中)_02-数学-中考总复习_2025中考复习资料_2025中考二轮课件ppt+讲义+练习数学_讲义+练习
重难点05函数大综合(6题型)(解析版)_02中考总复习(2026版更新中)_02-数学-中考总复习_2025中考复习资料_2025中考二轮课件ppt+讲义+练习数学_讲义+练习
重难点05函数大综合(6题型)(解析版)_02中考总复习(2026版更新中)_02-数学-中考总复习_2025中考复习资料_2025中考二轮课件ppt+讲义+练习数学_讲义+练习
重难点05函数大综合(6题型)(解析版)_02中考总复习(2026版更新中)_02-数学-中考总复习_2025中考复习资料_2025中考二轮课件ppt+讲义+练习数学_讲义+练习
重难点05函数大综合(6题型)(解析版)_02中考总复习(2026版更新中)_02-数学-中考总复习_2025中考复习资料_2025中考二轮课件ppt+讲义+练习数学_讲义+练习
重难点05函数大综合(6题型)(解析版)_02中考总复习(2026版更新中)_02-数学-中考总复习_2025中考复习资料_2025中考二轮课件ppt+讲义+练习数学_讲义+练习
重难点05函数大综合(6题型)(解析版)_02中考总复习(2026版更新中)_02-数学-中考总复习_2025中考复习资料_2025中考二轮课件ppt+讲义+练习数学_讲义+练习
重难点05函数大综合(6题型)(解析版)_02中考总复习(2026版更新中)_02-数学-中考总复习_2025中考复习资料_2025中考二轮课件ppt+讲义+练习数学_讲义+练习
重难点05函数大综合(6题型)(解析版)_02中考总复习(2026版更新中)_02-数学-中考总复习_2025中考复习资料_2025中考二轮课件ppt+讲义+练习数学_讲义+练习
重难点05函数大综合(6题型)(解析版)_02中考总复习(2026版更新中)_02-数学-中考总复习_2025中考复习资料_2025中考二轮课件ppt+讲义+练习数学_讲义+练习
重难点05函数大综合(6题型)(解析版)_02中考总复习(2026版更新中)_02-数学-中考总复习_2025中考复习资料_2025中考二轮课件ppt+讲义+练习数学_讲义+练习
重难点05函数大综合(6题型)(解析版)_02中考总复习(2026版更新中)_02-数学-中考总复习_2025中考复习资料_2025中考二轮课件ppt+讲义+练习数学_讲义+练习
重难点05函数大综合(6题型)(解析版)_02中考总复习(2026版更新中)_02-数学-中考总复习_2025中考复习资料_2025中考二轮课件ppt+讲义+练习数学_讲义+练习
重难点05函数大综合(6题型)(解析版)_02中考总复习(2026版更新中)_02-数学-中考总复习_2025中考复习资料_2025中考二轮课件ppt+讲义+练习数学_讲义+练习
重难点05函数大综合(6题型)(解析版)_02中考总复习(2026版更新中)_02-数学-中考总复习_2025中考复习资料_2025中考二轮课件ppt+讲义+练习数学_讲义+练习
重难点05函数大综合(6题型)(解析版)_02中考总复习(2026版更新中)_02-数学-中考总复习_2025中考复习资料_2025中考二轮课件ppt+讲义+练习数学_讲义+练习
重难点05函数大综合(6题型)(解析版)_02中考总复习(2026版更新中)_02-数学-中考总复习_2025中考复习资料_2025中考二轮课件ppt+讲义+练习数学_讲义+练习
重难点05函数大综合(6题型)(解析版)_02中考总复习(2026版更新中)_02-数学-中考总复习_2025中考复习资料_2025中考二轮课件ppt+讲义+练习数学_讲义+练习
重难点05函数大综合(6题型)(解析版)_02中考总复习(2026版更新中)_02-数学-中考总复习_2025中考复习资料_2025中考二轮课件ppt+讲义+练习数学_讲义+练习
重难点05函数大综合(6题型)(解析版)_02中考总复习(2026版更新中)_02-数学-中考总复习_2025中考复习资料_2025中考二轮课件ppt+讲义+练习数学_讲义+练习
重难点05函数大综合(6题型)(解析版)_02中考总复习(2026版更新中)_02-数学-中考总复习_2025中考复习资料_2025中考二轮课件ppt+讲义+练习数学_讲义+练习
重难点05函数大综合(6题型)(解析版)_02中考总复习(2026版更新中)_02-数学-中考总复习_2025中考复习资料_2025中考二轮课件ppt+讲义+练习数学_讲义+练习
重难点05函数大综合(6题型)(解析版)_02中考总复习(2026版更新中)_02-数学-中考总复习_2025中考复习资料_2025中考二轮课件ppt+讲义+练习数学_讲义+练习
重难点05函数大综合(6题型)(解析版)_02中考总复习(2026版更新中)_02-数学-中考总复习_2025中考复习资料_2025中考二轮课件ppt+讲义+练习数学_讲义+练习
重难点05函数大综合(6题型)(解析版)_02中考总复习(2026版更新中)_02-数学-中考总复习_2025中考复习资料_2025中考二轮课件ppt+讲义+练习数学_讲义+练习
重难点05函数大综合(6题型)(解析版)_02中考总复习(2026版更新中)_02-数学-中考总复习_2025中考复习资料_2025中考二轮课件ppt+讲义+练习数学_讲义+练习
重难点05函数大综合(6题型)(解析版)_02中考总复习(2026版更新中)_02-数学-中考总复习_2025中考复习资料_2025中考二轮课件ppt+讲义+练习数学_讲义+练习
重难点05函数大综合(6题型)(解析版)_02中考总复习(2026版更新中)_02-数学-中考总复习_2025中考复习资料_2025中考二轮课件ppt+讲义+练习数学_讲义+练习
重难点05函数大综合(6题型)(解析版)_02中考总复习(2026版更新中)_02-数学-中考总复习_2025中考复习资料_2025中考二轮课件ppt+讲义+练习数学_讲义+练习
重难点05函数大综合(6题型)(解析版)_02中考总复习(2026版更新中)_02-数学-中考总复习_2025中考复习资料_2025中考二轮课件ppt+讲义+练习数学_讲义+练习
重难点05函数大综合(6题型)(解析版)_02中考总复习(2026版更新中)_02-数学-中考总复习_2025中考复习资料_2025中考二轮课件ppt+讲义+练习数学_讲义+练习
重难点05函数大综合(6题型)(解析版)_02中考总复习(2026版更新中)_02-数学-中考总复习_2025中考复习资料_2025中考二轮课件ppt+讲义+练习数学_讲义+练习
重难点05函数大综合(6题型)(解析版)_02中考总复习(2026版更新中)_02-数学-中考总复习_2025中考复习资料_2025中考二轮课件ppt+讲义+练习数学_讲义+练习
重难点05函数大综合(6题型)(解析版)_02中考总复习(2026版更新中)_02-数学-中考总复习_2025中考复习资料_2025中考二轮课件ppt+讲义+练习数学_讲义+练习
重难点05函数大综合(6题型)(解析版)_02中考总复习(2026版更新中)_02-数学-中考总复习_2025中考复习资料_2025中考二轮课件ppt+讲义+练习数学_讲义+练习
重难点05函数大综合(6题型)(解析版)_02中考总复习(2026版更新中)_02-数学-中考总复习_2025中考复习资料_2025中考二轮课件ppt+讲义+练习数学_讲义+练习
重难点05函数大综合(6题型)(解析版)_02中考总复习(2026版更新中)_02-数学-中考总复习_2025中考复习资料_2025中考二轮课件ppt+讲义+练习数学_讲义+练习
重难点05函数大综合(6题型)(解析版)_02中考总复习(2026版更新中)_02-数学-中考总复习_2025中考复习资料_2025中考二轮课件ppt+讲义+练习数学_讲义+练习
重难点05函数大综合(6题型)(解析版)_02中考总复习(2026版更新中)_02-数学-中考总复习_2025中考复习资料_2025中考二轮课件ppt+讲义+练习数学_讲义+练习
重难点05函数大综合(6题型)(解析版)_02中考总复习(2026版更新中)_02-数学-中考总复习_2025中考复习资料_2025中考二轮课件ppt+讲义+练习数学_讲义+练习
重难点05函数大综合(6题型)(解析版)_02中考总复习(2026版更新中)_02-数学-中考总复习_2025中考复习资料_2025中考二轮课件ppt+讲义+练习数学_讲义+练习
重难点05函数大综合(6题型)(解析版)_02中考总复习(2026版更新中)_02-数学-中考总复习_2025中考复习资料_2025中考二轮课件ppt+讲义+练习数学_讲义+练习
重难点05函数大综合(6题型)(解析版)_02中考总复习(2026版更新中)_02-数学-中考总复习_2025中考复习资料_2025中考二轮课件ppt+讲义+练习数学_讲义+练习
重难点05函数大综合(6题型)(解析版)_02中考总复习(2026版更新中)_02-数学-中考总复习_2025中考复习资料_2025中考二轮课件ppt+讲义+练习数学_讲义+练习
重难点05函数大综合(6题型)(解析版)_02中考总复习(2026版更新中)_02-数学-中考总复习_2025中考复习资料_2025中考二轮课件ppt+讲义+练习数学_讲义+练习
重难点05函数大综合(6题型)(解析版)_02中考总复习(2026版更新中)_02-数学-中考总复习_2025中考复习资料_2025中考二轮课件ppt+讲义+练习数学_讲义+练习
重难点05函数大综合(6题型)(解析版)_02中考总复习(2026版更新中)_02-数学-中考总复习_2025中考复习资料_2025中考二轮课件ppt+讲义+练习数学_讲义+练习
重难点05函数大综合(6题型)(解析版)_02中考总复习(2026版更新中)_02-数学-中考总复习_2025中考复习资料_2025中考二轮课件ppt+讲义+练习数学_讲义+练习
重难点05函数大综合(6题型)(解析版)_02中考总复习(2026版更新中)_02-数学-中考总复习_2025中考复习资料_2025中考二轮课件ppt+讲义+练习数学_讲义+练习
重难点05函数大综合(6题型)(解析版)_02中考总复习(2026版更新中)_02-数学-中考总复习_2025中考复习资料_2025中考二轮课件ppt+讲义+练习数学_讲义+练习
重难点05函数大综合(6题型)(解析版)_02中考总复习(2026版更新中)_02-数学-中考总复习_2025中考复习资料_2025中考二轮课件ppt+讲义+练习数学_讲义+练习
重难点05函数大综合(6题型)(解析版)_02中考总复习(2026版更新中)_02-数学-中考总复习_2025中考复习资料_2025中考二轮课件ppt+讲义+练习数学_讲义+练习
重难点05函数大综合(6题型)(解析版)_02中考总复习(2026版更新中)_02-数学-中考总复习_2025中考复习资料_2025中考二轮课件ppt+讲义+练习数学_讲义+练习
重难点05函数大综合(6题型)(解析版)_02中考总复习(2026版更新中)_02-数学-中考总复习_2025中考复习资料_2025中考二轮课件ppt+讲义+练习数学_讲义+练习
重难点05函数大综合(6题型)(解析版)_02中考总复习(2026版更新中)_02-数学-中考总复习_2025中考复习资料_2025中考二轮课件ppt+讲义+练习数学_讲义+练习
重难点05函数大综合(6题型)(解析版)_02中考总复习(2026版更新中)_02-数学-中考总复习_2025中考复习资料_2025中考二轮课件ppt+讲义+练习数学_讲义+练习
重难点05函数大综合(6题型)(解析版)_02中考总复习(2026版更新中)_02-数学-中考总复习_2025中考复习资料_2025中考二轮课件ppt+讲义+练习数学_讲义+练习
重难点05函数大综合(6题型)(解析版)_02中考总复习(2026版更新中)_02-数学-中考总复习_2025中考复习资料_2025中考二轮课件ppt+讲义+练习数学_讲义+练习
重难点05函数大综合(6题型)(解析版)_02中考总复习(2026版更新中)_02-数学-中考总复习_2025中考复习资料_2025中考二轮课件ppt+讲义+练习数学_讲义+练习
重难点05函数大综合(6题型)(解析版)_02中考总复习(2026版更新中)_02-数学-中考总复习_2025中考复习资料_2025中考二轮课件ppt+讲义+练习数学_讲义+练习
重难点05函数大综合(6题型)(解析版)_02中考总复习(2026版更新中)_02-数学-中考总复习_2025中考复习资料_2025中考二轮课件ppt+讲义+练习数学_讲义+练习
重难点05函数大综合(6题型)(解析版)_02中考总复习(2026版更新中)_02-数学-中考总复习_2025中考复习资料_2025中考二轮课件ppt+讲义+练习数学_讲义+练习
重难点05函数大综合(6题型)(解析版)_02中考总复习(2026版更新中)_02-数学-中考总复习_2025中考复习资料_2025中考二轮课件ppt+讲义+练习数学_讲义+练习
重难点05函数大综合(6题型)(解析版)_02中考总复习(2026版更新中)_02-数学-中考总复习_2025中考复习资料_2025中考二轮课件ppt+讲义+练习数学_讲义+练习
重难点05函数大综合(6题型)(解析版)_02中考总复习(2026版更新中)_02-数学-中考总复习_2025中考复习资料_2025中考二轮课件ppt+讲义+练习数学_讲义+练习
重难点05函数大综合(6题型)(解析版)_02中考总复习(2026版更新中)_02-数学-中考总复习_2025中考复习资料_2025中考二轮课件ppt+讲义+练习数学_讲义+练习
重难点05函数大综合(6题型)(解析版)_02中考总复习(2026版更新中)_02-数学-中考总复习_2025中考复习资料_2025中考二轮课件ppt+讲义+练习数学_讲义+练习

文档信息

文档格式
docx
文档大小
2.620 MB
文档页数
104 页
上传时间
2026-03-12 15:24:19

文档内容

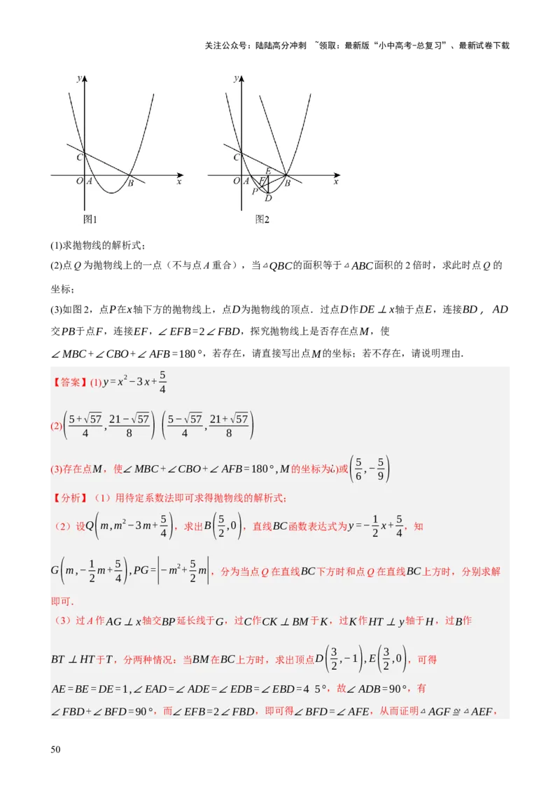
关注公众号:陆陆高分冲刺 ~领取:最新版“小中高考-总复习”、最新试卷下载 重难点 05 函数大综合 题型01 点恒过定直线问题 1.(2024·山东日照·中考真题)已知二次函数y=−x2+(2a+4)x−a2−4a(a为常数). (1)求证:不论a为何值,该二次函数图象与x轴总有两个公共点; (2)当a+1≤x≤2a+5(a≥−1)时,该二次函数的最大值与最小值之差为9,求此时函数的解析式; (3)若二次函数图象对称轴为直线x=1,该函数图象与x轴交于A,B两点(点A在点B左侧),与y轴交于 点C.点C关于对称轴的对称点为D,点M为CD的中点,过点M的直线l(直线l不过C,D两点)与二次 函数图象交于E,F两点,直线CE与直线DF相交于点P. ①求证:点P在一条定直线上; 3 ②若S = S ,请直接写出满足条件的直线l的解析式,不必说明理由. △COP 5 △ABP 【答案】(1)证明见解析 1关注公众号:陆陆高分冲刺 ~领取:最新版“小中高考-总复习”、最新试卷下载 (2)y=−x2+4x 3 3 5 23 (3)①证明见解析;②y= x+ 或y=− x+ 2 2 6 6 【分析】(1)令y=0,则−x2+(2a+4)x−a2−4a=0,根据根的判别式求得Δ>0,得到不论a为何值, 方程总有两个不相等的实数根,进而即可得证; (2)由二次函数的解析式得到图象对称轴为直线x=a+2,最大值为4,判断 |a+2−(a+1)|<|2a+5−(a+2)|,得到当x=2a+5时,y取得最小值,最小值为−(a+3) 2+4,根据 二次函数的最大值与最小值之差为9,即可列出方程,求解后进行取舍即可解答; (3)①根据对称轴为直线x=1,求得a=−1,得到二次函数解析式为y=−x2+2x+3.令y=0,求得 A(−1,0),B(3,0),令x=0,求得C(0,3),从而D(2,3),M(1,3).设 E(m,−m2+2m+3),F(n,−n2+2n+3),采用待定系数法求得直线EF的解析式为 y=(2−m−n)x+mn+3.把点M(1,3)代入,得到mn=m+n−2.同理求得直线CE的解析式为 y=(−m+2)x+3,直线DF的解析式为y=−nx+2n+3.联立直线CE,DF,求得点 ( 2n −2nm+4n ) P , +3 .设点P所在的定直线的解析式为y=kx+b,代入点P的坐标可求得 n−m+2 n−m+2 k=0,b=5,从而得证点P在定直线y=5上; 3 1 3 1 4 ②根据S = S ,得到 OC⋅|x |= × AB⋅y ,化简得到|x |= y ,由①知y =5,从而 △COP 5 △ABP 2 P 5 2 P p 5 p P 2n x =±4,分两种情况分别讨论: 当x =4时或x =−4,根据①中的点P的横坐标可得 =4,整 P p P n−m+2 理得n=2m−4,结合mn=m+n−2,即可求出m,n的值,进而得到k ,b 的值,从而得到直线l的解析 1 1 式.同理可求出当x =−4时直线l的解析式,即可解答. P 【详解】(1)证明:令y=0,则−x2+(2a+4)x−a2−4a=0, ∵Δ=(2a+4) 2−4(a2+4a)=16>0, ∴不论a为何值,方程总有两个不相等的实数根, ∴二次函数图象与x轴总有两个公共点. 2关注公众号:陆陆高分冲刺 ~领取:最新版“小中高考-总复习”、最新试卷下载 (2)解:由二次函数的解析式得y=−[x−(a+2)] 2+4, ∴函数图象对称轴为直线x=a+2,最大值为4. ∵a+2−(a+1)=1,2a+5−(a+2)=a+3≥2, ∴|a+2−(a+1)|<|2a+5−(a+2)|, ∴当x=2a+5时,y取得最小值,最小值为−[2a+5−(a+2)] 2+4=−(a+3) 2+4, ∴4−[−(a+3) 2+4]=9,解得a=0或a=−6(舍去), ∴二次函数的解析式为y=−x2+4x. (3)①证明:对称轴为直线x=a+2=1, ∴a=−1 ∴二次函数解析式为y=−x2+2x+3. 令y=0,则−x2+2x+3=0,解得x=−1或x=3, 则A(−1,0),B(3,0), 令x=0,则y=3,则C(0,3) ∴D(2,3),M(1,3). 设E(m,−m2+2m+3),F(n,−n2+2n+3),由题意知m≠n,且均不为0,2. 设直线EF的解析式为y=k x+b , 1 1 ∴¿,解得¿, ∴直线EF的解析式为y=(2−m−n)x+mn+3.(记为①式) 又∵直线EF过点M(1,3), ∴3=2−m−n+mn+3,即mn=m+n−2. 同理设直线CE的解析式为y=k x+b , 2 2 把E(m,−m2+2m+3),(0,3)代入得¿ 解得¿, ∴直线CE的解析式为y=(−m+2)x+3.(记为②式) 同理得直线DF的解析式为y=−nx+2n+3.(记为③式) 由②③式联立得¿, 解得¿ 3关注公众号:陆陆高分冲刺 ~领取:最新版“小中高考-总复习”、最新试卷下载 ( 2n −2nm+4n ) ∴P , +3 . n−m+2 n−m+2 若点P在一条定直线上,设点P所在直线解析式为y=kx+b,代入点P的坐标得 −2nm+4n 2n +3=k⋅ +b,将①式代入化简得−5m+5n+10=−bm+(2k+b)n+2b, n−m+2 n−m+2 由对应系数相等得k=0,b=5, ∴点P所在直线解析式为y=5,即点P在一条定直线上. 3 3 5 23 ②解:直线l的解析式为y= x+ 或y=− x+ 2 2 6 6 理由:∵A(−1,0),B(3,0),C(0,3), ∴AB=|−1−3|=4,OC=3 3 ∵S = S , △COP 5 △ABP 1 3 1 ∴ OC⋅|x |= × AB⋅y , 2 P 5 2 P 1 3 1 ∴ ×3|x |= × ×4 y , 2 P 5 2 p 4 ∴|x |= y , p 5 p 由①知y =5, P ∴|x |=4, p ∴x =±4 P 2n 当x =4时, =4,整理得n=2m−4. p n−m+2 又∵mn=m+n−2, ∴m(2m−4)=m+2m−4−2 整理得2m2−7m+6=0, 3 解得m = ,m =2(不符合题意,舍去), 1 2 2 3 ∴n=2m−4=2× −4=−1, 2 3 3 ∴k =2−m−n= ,b =mn+3= , 1 2 1 2 4关注公众号:陆陆高分冲刺 ~领取:最新版“小中高考-总复习”、最新试卷下载 3 3 ∴直线l的解析式为y= x+ ; 2 2 2n 2m−4 当x =−4时, =−4,整理得n= . P n−m+2 3 又∵mn=m+n−2, 2m−4 2m−4 ∴m⋅ =m+ −2 3 3 整理得2m2−9m+10=0, 5 解得m = ,m =2(不符合题意,舍去), 1 2 2 2m−4 1 ∴n= = , 3 3 5 23 ∴k =2−m−n=− ,b =mn+3= 1 6 1 6 5 23 ∴直线l的解析式为y=− x+ . 6 6 3 3 3 5 23 综上所述,当S = S 时,直线l的解析式为y= x+ 或y=− x+ . △COP 5 △ABP 2 2 6 6 【点睛】本题考查二次函数的图象及性质,待定系数法求解析式,二次函数与方程,二次函数与坐标轴的 交点等,综合运用相关知识是解题的关键. 2.(2023·湖北武汉·中考真题)抛物线C :y=x2−2x−8交x轴于A,B两点(A在B的左边),交y轴于 1 点C. 5关注公众号:陆陆高分冲刺 ~领取:最新版“小中高考-总复习”、最新试卷下载 (1)直接写出A,B,C三点的坐标; (2)如图(1),作直线x=t(00)上. 1 (1)求抛物线W 的对称轴; 1 (2)若c=4, ①不管d取任何实数,抛物线W 上的三个点(d,y ),(d+1,y ),(d+3,y )中至少有两个点在x轴的上 1 1 2 3 方,求a的取值范围; ②平移抛物线W 得到抛物线W ,W 过点P,且其顶点为O,过点Q(1,2)作直线MN(不与直线OP重 1 2 2 合)交抛物线W 于M,N两点(点M在点N左侧),直线MO与直线PN交于点H.求证:点H在一条定 2 直线上. 【答案】(1)对称轴为直线x=1 16 (2)①a的取值范围是04,设两个交 1 点的横坐标为x ,x ,由抛物线开口向上,则(d,y ),(d+1,y ),(d+3,y )这三个点最多只有一个点 1 2 1 2 3 在x轴下方,则|x −x |<1,据此求解即可;②先利用待定系数法求出W :y=x2;设 1 2 2 M(m,m2),N(n,n2),直线MN的解析式为y=kx+b ,求出直线MN的解析式为y=(m+n)x−mn. 1 进而得到mn=m+n−2.同理, 直线PN的解析式为y=(n+2)x−2n,直线OM的解析式为y=mx.联 ( 2n 2m+2n−4) 立¿,解得¿可得H , ,进而可得点H在定直线y=2x−2上. n−m+2 n−m+2 【详解】(1)解:∵点P(2,c)在抛物线W :y=ax2+bx+c(a>0)上, 1 ∴4a+2b+c=c, ∴b=−2a, 9关注公众号:陆陆高分冲刺 ~领取:最新版“小中高考-总复习”、最新试卷下载 b ∴抛物线W 得对称轴为直线x=− =1 1 2a (2)解: ①当c=4时, 抛物线W 解析式为y=ax2−2a+4, 1 ∵无论d取任何实数,三个点中至少有两个点在x轴的上方, ∴当抛物线 W 与x轴没有交点或只有一个交点时,符合题意. 1 ∴Δ=(−2a) 2−16a≤0, ∴4a2≤16a, ∵a>0, ∴a≤4, ∴04. 1 设两个交点的横坐标为x ,x , 1 2 ∴当|x −x |<1时,(d,y ),(d+1,y ),(d+3,y )中至少有两个点在x轴的上方, 1 2 1 2 3 ∴(x −x ) 2<1 1 2 ∴(x +x ) 2−4x x <1, 1 2 1 2 4 ∵x +x =2,x x = , 1 2 1 2 a 4 ∴4−4× <1, a 16 解得4AB,求n的范围; 2 ②若m≠n,当抛物线C 与抛物线C 的交点始终在定直线x=k(k为常数)上时,求此时y + y 的最小值 1 2 1 2 (用含k的代数式表示). 【答案】(1)4 11关注公众号:陆陆高分冲刺 ~领取:最新版“小中高考-总复习”、最新试卷下载 k2 (2)①−2AB列出不等式 2 2√8−n2>4,求解即可得到答案;②根据题意,联立¿,求出抛物线C 与抛物线C 的交点横坐标为 1 2 x=m+n,从而由y + y =(x2−2mx+2m2−1)+[(x−n) 2+n2−1],根据二次函数最值求法,将其化为顶 1 2 k k2 点式,得到当x= 时,y + y 有最小值,为− +2(m2+n2)−2;进而由m+n=k变形为n=m−k,将 2 1 2 2 − k2 +2(m2+n2)−2化为4 ( m− k) 2 + k2 −2,即可知当m= k 时,y + y 有最小值− k2 +2(m2+n2)−2的 2 2 2 2 1 2 2 k2 最小值为 −2,进而求出答案. 2 【详解】(1)解:当m=2时,抛物线C :y =x2−2mx+2m2−1=x2−4x+7, 1 1 ∵抛物线C 与y轴交于点A, 1 ∴当x=0时,y=7,即A(0,7), ∵过点A(0,7)作直线l垂直于y轴,即直线l:y=7与抛物线C 的另一个交点记为点B, 1 ∴当y=7时,x2−4x+7=7,即x(x−4)=0,解得x=0或x=4, ∴B(4,7),即AB=4; (2)解:∵拋物线C 的开口方向和开口大小均与抛物线C 相同, 2 1 ∴两个抛物线表达式中a相同为a=1, ∵顶点在y=x2−1上,C 的顶点横坐标为n, 2 ∴C 的顶点坐标为(n,n2−1),即C 解析式y =(x−n) 2+n2−1, 2 2 2 ①∵ C 与直线l交于点C、D两点, 2 12关注公众号:陆陆高分冲刺 ~领取:最新版“小中高考-总复习”、最新试卷下载 ∴当y =7时,(x−n) 2+n2−1=7,解得x=n+√8−n2或x=n−√8−n2,当8−n2≥0,即−2√2≤n≤2√2 2 时才能满足题意, ∴CD=2√8−n2, ∵ CD>AB, ∴2√8−n2>4,解得−2AB,n的范围−20, k k2 ∴当x= 时,y + y 有最小值,为− +2(m2+n2)−2, 2 1 2 2 ∵ m+n=k,即n=m−k, k2 ∴ − +2(m2+n2)−2 2 k2 =− +2[m2+(m−k) 2]−2 2 3 =4(m2−km)+ k2−2 2 ( k) 2 k2 =4 m− + −2 2 2 ∵4>0, 13关注公众号:陆陆高分冲刺 ~领取:最新版“小中高考-总复习”、最新试卷下载 k k2 k2 ∴当m= 时,y + y 有最小值− +2(m2+n2)−2的最小值为 −2, 2 1 2 2 2 k2 即y + y 的最小值为 −2. 1 2 2 【点睛】本题考查二次函数图像与性质,涉及待定系数法求二次函数表达式、二次函数最值、二次函数交 点问题等,综合性较强,熟练掌握二次函数的图像与性质,根据题意灵活运用恒等变形是解决问题的关键. 5.(2024·四川成都·一模)如图,直线y=−x−4分别交x轴,y轴于A,C两点,点B在x轴正半轴上. 1 抛物线y= x2+bx+c过A,B,C三点. 5 (1)求抛物线的解析式; (2)过点B作BD∥AC交y轴于点D,交抛物线于点F.若点P为直线AC下方抛物线上的一动点,连接PD 交AC于点E,连接EB,求S 的最大值及最大值时点P的坐标; △PEB (3)如图2,将原抛物线进行平移,使其顶点为原点,进而得到新抛物线,直线y=−2x与新抛物线交于 O,G两点,点H是线段OG的中点,过H作直线RQ(不与OG重合)与新抛物线交于R,Q两点,点R 在点Q左侧.直线GR与直线OQ交于点T,点T是否在某条定直线上?若是,请求出该定直线的解析式, 若不是,请说明理由. 1 1 【答案】(1)y= x2− x−4 5 5 ( 14) (2)S 的最大值为2,此时点P的坐标为 −2,− △PEB 5 (3)点T在定直线上,该直线解析式为y=−2x−10 【分析】(1)由题意易得A(−4,0),C(0,−4),然后利用待定系数法可求解函数解析式; (2)由(1)可得B(5,0),则有直线BD的解析式为y=−x+5,连接BC,过点P作PM∥y轴交BD于点 14关注公众号:陆陆高分冲刺 ~领取:最新版“小中高考-总复习”、最新试卷下载 M,设点P ( a, 1 a2− 1 a−4 ) ,则M(a,−a+5),则PM=− 1 a2− 4 a+9,然后根据铅垂法及二次函数 5 5 5 5 的性质可进行求解; 1 (3)由题意可知平移后的二次函数解析式为y= x2 ,则有G(−10,20),根据中点坐标公式可得 5 H(−5,10),设点R ( n, 1 n2) ,Q ( m, 1 m2) ,然后可得直线RQ的解析式为y= 1 (m+n)x− 1 mn,直线 5 5 5 5 1 1 RG的解析式为y= (n−10)x−2n,直线OQ的解析式为y= mx,进而可联立函数解析式进行求解. 5 5 【详解】(1)解:当y=0时,则有−x−4=0,即x=−4;当x=0时,则有y=−4; ∴A(−4,0),C(0,−4), ∴¿, 解得:¿, 1 1 ∴抛物线的解析式为y= x2− x−4; 5 5 1 1 (2)解:由(1)可知抛物线解析式为y= x2− x−4, 5 5 1 1 当y=0时,则有 x2− x−4=0,解得:x =5,x =−4, 5 5 1 2 ∴B(5,0), 由BD∥AC可设直线BD的解析式为y=−x+b,把点B(5,0)代入得:b=5, ∴直线BD的解析式为y=−x+5, ∴当x=0时,则有y=5,即D(0,5), 连接BC,过点P作PM∥y轴交BD于点M,如图所示: 设点P ( a, 1 a2− 1 a−4 ) ,则M(a,−a+5), 5 5 15关注公众号:陆陆高分冲刺 ~领取:最新版“小中高考-总复习”、最新试卷下载 ∴PM=−a+5− (1 a2− 1 a−4 ) =− 1 a2− 4 a+9, 5 5 5 5 ∴S =S −S = 1 × ( − 1 a2− 4 a+9 ) ×5=− 1 a2−2a+ 45 , △BDP △BPM △PDM 2 5 5 2 2 ∵BD∥AC, 1 1 45 ∴S =S = CD⋅OB= ×9×5= , △BDE △BDC 2 2 2 1 45 45 1 1 ∴S =S −S =− a2−2a+ − =− (a2+4a)=− (a+2) 2+2, △PEB △BDP △BDE 2 2 2 2 2 1 ∵− <0,开口向下, 2 ( 14) ∴当a=−2时,则S 取得最大值,最大值为2,此时点P的坐标为 −2,− ; △PEB 5 (3)解:点T在某条定直线上,理由如下: 1 由题意可知平移后的二次函数解析式为y= x2 ,则联立方程得:¿, 5 解得:¿, ∴G(−10,20), ∵点H是线段OG的中点, (0−10 0+20) ∴根据中点坐标公式可得:H , ,即H(−5,10), 2 2 设点R ( n, 1 n2) ,Q ( m, 1 m2) ,直线RQ的解析式为y=kx+b,则有: 5 5 ¿, 解得:¿, 1 1 ∴直线RQ的解析式为y= (m+n)x− mn, 5 5 1 1 代入点H得:−5× (m+n)− mn=10, 5 5 ∴−mn=5(m+n)+50, 1 同理可得直线RG的解析式为y= (n−10)x−2n, 5 1 直线OQ的解析式为y= mx, 5 联立上述两个函数表达式得: 16关注公众号:陆陆高分冲刺 ~领取:最新版“小中高考-总复习”、最新试卷下载 1 1 (n−10)x−2n= mx, 5 5 10n 解得:x= , m−n+10 2mn ∴代入直线OQ的解析式得y= , m−n+10 ( 10n 2mn ) ∴T , , m−n+10 m−n+10 设点T在直线y=k x+b ,则有: 1 1 2mn 10n −100−10(m+n) 10n ∴ =k × +b ,即 =k × +b , m−n+10 1 m−n+10 1 m−n+10 1 m−n+10 1 整理得:−100−10m−10n=b m+n(10k −b )+10b , 1 1 1 1 比较系数得:b =−10,k =−2, 1 1 ∴当k =−2,b =−10时,无论m、n为何值时,都符合题设条件, 1 1 ∴点T在定直线y=−2x−10上. 【点睛】本题主要考查二次函数的综合,熟练掌握二次函数的图象与性质、铅垂法及设而不求的思想是解 题的关键. 题型02 直线过定点问题 6.(2024·四川成都·中考真题)如图,在平面直角坐标系xOy中,抛物线L:y=ax2−2ax−3a(a>0)与 x轴交于A,B两点(点A在点B的左侧),其顶点为C,D是抛物线第四象限上一点. (1)求线段AB的长; (2)当a=1时,若△ACD的面积与△ABD的面积相等,求tan∠ABD的值; (3)延长CD交x轴于点E,当AD=DE时,将△ADB沿DE方向平移得到△A'EB'.将抛物线L平移得到抛 物线L',使得点A',B'都落在抛物线L'上.试判断抛物线L'与L是否交于某个定点.若是,求出该定点坐 标;若不是,请说明理由. 17关注公众号:陆陆高分冲刺 ~领取:最新版“小中高考-总复习”、最新试卷下载 【答案】(1)AB=4 10 (2)tan∠ABD= 3 (3)抛物线L'与L交于定点(3,0) 【分析】(1)根据题意可得ax2−2ax−3a=0,整理得x2−2x−3=0,即可知A(−1,0),B(3,0),则有 AB=4; (2)由题意得抛物线L:y=x2−2x−3=(x−1) 2−4,则C(1,−4),设D(n,n2−2n−3), (00),由于过点A',B'可求得抛物线L' 解析式为y=ax2+(−2an−4a)x+6an+3a,根据ax2−2ax−3a=ax2+(−2an−4a)x+6an+3a解得 x=3,即可判断抛物线L'与L交于定点(3,0). 【详解】(1)解:∵抛物线L:y=ax2−2ax−3a(a>0)与x轴交于A,B两点, ∴ax2−2ax−3a=0,整理得x2−2x−3=0,解得x =−1,x =3, 1 2 ∴A(−1,0),B(3,0), 则AB=3−(−1)=4; (2)当a=1时,抛物线L:y=x2−2x−3=(x−1) 2−4, 则C(1,−4), 1 1 设D(n,n2−2n−3), (00), ∵点A',B'都落在抛物线L'上 ∴¿ 解得¿, 则抛物线L'解析式为y=ax2+(−2an−4a)x+6an+3a ∵ax2−2ax−3a=ax2+(−2an−4a)x+6an+3a 整理得(n+1)x=3n+3,解得x=3, ∴抛物线L'与L交于定点(3,0). 【点睛】本题主要考查二次函数的性质、两点之间的距离、一次函数的性质、求正切值、二次函数的平移、 等腰三角形的性质和抛物线过定点,解题的关键是熟悉二次函数的性质和平移过程中数形结合思想的应用. 7.(2023·湖南·中考真题)如图,已知抛物线y=ax2−2ax+3与x轴交于点A(−1,0)和点B,与y轴交于 点C,连接AC,过B、C两点作直线. (1)求a的值. (2)将直线BC向下平移m(m>0)个单位长度,交抛物线于B'、C'两点.在直线B'C'上方的抛物线上是否存 在定点D,无论m取何值时,都是点D到直线B'C'的距离最大,若存在,请求出点D的坐标;若不存在, 请说明理由. (3)抛物线上是否存在点P,使∠PBC+∠ACO=45°,若存在,请求出直线BP的解析式;若不存在,请 说明理由. 【答案】(1)a=−1 (3 15) (2)存在D , ,理由见详解 2 4 1 (3)存在点P,直线BP的解析式为y=−3x+9或y=− x+1. 3 20关注公众号:陆陆高分冲刺 ~领取:最新版“小中高考-总复习”、最新试卷下载 【分析】(1)根据待定系数法即可得出结果; (2)设B'C'与y轴交于点G,设D(t,−t2+2t+3),过点D作DE∥y轴交B'C'于点E,作DF⊥B'C'于 点F,先证明△≝¿是等腰直角三角形,再表示出DE的长度,根据二次函数的性质即可得出结果; (3)分两种情况讨论,当点P在直线BC下方时,与当点P在直线BC上方时. 【详解】(1)解:抛物线y=ax2−2ax+3与x轴交于点A(−1,0), 得a+2a+3=0, 解得:a=−1; (3 15) (2)解:存在D , ,理由如下: 2 4 设B'C'与y轴交于点G,由(1)中结论a=−1,得抛物线的解析式为y=−x2+2x+3, 当y=0时,x =−1,x =3,即A(−1,0),B(3,0),C(0,3), 1 2 OB=OC,∠BOC=90°,即△BOC是等腰直角三角形, ∴∠BCO=45°, ∵B'C'∥BC, ∴∠BCO=∠B'GO=45°, 设D(t,−t2+2t+3),过点D作DE∥y轴交B'C'于点E,作DF⊥B'C'于点F, ∴∠≝=∠B'GO=45° △≝¿ ,即 是等腰直角三角形, 设直线BC的解析式为y=kx+b,代入B(3,0),C(0,3), 得¿,解得¿, 故直线BC的解析式为y=−x+3, 将直线BC向下平移m(m>0)个单位长度,得直线B'C'的解析式为y=−x+3−m, ∴E(t,−t+3−m), DE=−t2+2t+3−(−t+3−m)=−t2+3t+m=− ( t− 3) 2 + 9 +m, 2 4 3 9 当t= 时,DE有最大值 +m, 2 4 21关注公众号:陆陆高分冲刺 ~领取:最新版“小中高考-总复习”、最新试卷下载 √2 (3 15) 此时DF= DE也有最大值,D , ; 2 2 4 (3)解:存在点P,理由如下: 当点P在直线BC下方时, 在y轴上取点H(0,1),作直线BH交抛物线于(异于点B)点P, 由(2)中结论,得∠OBC=45°, ∴OH=OA=1,OB=OC,∠BOH=∠COA=90°, ∴△BOH≌△COA(SAS), ∴∠OBH=∠ACO, ∴∠PBC+∠ACO=∠PBC+∠OBH=∠OBC=45°, 设直线BP的解析式为y=k x+b ,代入点B(3,0),H(0,1), 1 1 得¿,解得¿, 1 故直线BP的解析式为y=− x+1; 3 当点P在直线BC上方时,如图,在x轴上取点I(1,0),连接CI,过点B作BP∥CI交抛物线于点P, ∴∠PBC=∠BCI, ∴OI=OA=1,OC=OC,∠COI=∠COA=90°, ∴△COI≌△COA(SAS), ∴∠OCI=∠ACO, 22关注公众号:陆陆高分冲刺 ~领取:最新版“小中高考-总复习”、最新试卷下载 ∴∠PBC+∠ACO=∠BCI+∠OCI=∠OCB=45°, 设直线CI的解析式为y=k x+b ,代入点I(1,0),C(0,3), 2 2 得¿,解得¿, 故设直线CI的解析式为y=−3x+3, BP∥CI,且过点B(3,0), 故设直线BP的解析式为y=−3x+n, ∴0=−3×3+n, 解得n=9, ∴直线BP的解析式为y=−3x+9. 1 综上所述:直线BP的解析式为y=−3x+9或y=− x+1. 3 【点睛】本题考查二次函数的性质、二次函数的图象、全等三角形的判定和性质,等腰直角三角形的判定 和性质,解答本题的关键是明确题意,利用二次函数的性质解答. 8.(2024·湖北·一模)如图,在平面直角坐标系中,O为坐标原点,D(0,−3),抛物线y=−2x2+6x+8 与y轴交于C点,交x轴于A、B两点(A在B的左边),E为抛物线第一象限上一动点. (1)直接写出A,B两点坐标; (2)连接BD,过E作EF⊥x轴交BD于F,当DF=CE时,求点E的横坐标; (3)连接ED,平移至MN,使M,E对应,使M,N分别与D,E对应,且M,N均落在抛物线上,连接 EM,判断并证明直线EM是否经过一个定点. 【答案】(1)A(−1,0),B(4,0); 21 27 (2)点E的横坐标是 或 ; 8 8 (3)直线EM经过一个定点(0,2.5),理由见解析 【分析】(1)令y=0可得点A和B两点的坐标; 23关注公众号:陆陆高分冲刺 ~领取:最新版“小中高考-总复习”、最新试卷下载 (2)当x=0时,y=8,可得点C的坐标,利用待定系数法可得直线BD的解析式,设点E的横坐标为x, 则点E的坐标为(x,−2x2+6x+8),根据两点的距离公式和CE=DF可得结论; (3)设点M的坐标为(a,−2a2+6a+8),点E的坐标为(t,−2t2+6t+8),表示点N的坐标并代入抛物线 的解析式中,计算EM的解析式可得结论. 【详解】(1)解:当y=0时,−2x2+6x+8=0, 解得:x =4,x =−1, 1 2 ∴A(−1,0),B(4,0); (2)解:如图: 当x=0时,y=8, ∴C(0,8), 设直线BD的解析式为:y=kx+b, ∵D(0,−3), ∴¿, 解得:¿, 3 ∴BD的解析式为:y= x−3, 4 设点E的横坐标为x,则点E的坐标为(x,−2x2+6x+8), ∵EF⊥x轴, ( 3 ) ∴F x, x−3 , 4 ∵CE=DF, 24关注公众号:陆陆高分冲刺 ~领取:最新版“小中高考-总复习”、最新试卷下载 ∴CE2=DF2, ∴(x−0) 2+(−2x2+6x+8−8) 2 =(x−0) 2+ (3 x−3+3 ) 2 , 4 21 27 解得:x =0(舍),x = ,x = , 1 2 8 3 8 21 27 ∴点E的横坐标是 或 ; 8 8 (3)解:直线EM经过一个定点(0,2.5),理由如下: 设点M的坐标为(a,−2a2+6a+8),点E的坐标为(t,−2t2+6t+8), 由平移得:DE∥MN,DE=MN, ∵D(0,−3), ∴N(a+t,−2a2+6a+8+3−2t2+6t+8), 即点N的坐标为(a+t,−2a2+6a+19−2t2+6t), ∵点N在抛物线上, ∴−2a2+6a+19−2t2+6t, 11 ∴at=− , 4 设直线EM的解析式为:y=k x+b , 1 1 ¿, ②−①得:(a−t)k =−2a2+6a+8+2t2−6t−8, 1 (a−t)k =2(t−a)(t+a)+6(a−t), 1 ∵a≠t, ∴k =−2t−2a+6③, 1 把③代入①得:(−2t−2a+6)t+b =−2t2+6t+8, 1 ∴b =2.5, 1 ∴直线EM的解析式为:y=(−2t−2a+6)x+2.5, ∴直线EM经过一个定点(0,2.5). 【点睛】本题是二次函数的综合题,考查了二次函数的性质,待定系数法求函数解析式,两点的距离公式, 平移的性质等知识,解题的关键是熟练掌握二次函数的性质和平移的性质. 25关注公众号:陆陆高分冲刺 ~领取:最新版“小中高考-总复习”、最新试卷下载 题型03 恒定值的有关计算问题 9.(2023·四川绵阳·中考真题)如图,抛物线经过△AOD的三个顶点,其中O为原点,A(2,4),D(6,0), 点F在线段AD上运动,点G在直线AD上方的抛物线上,GF∥AO,¿⊥DO于点E,交AD于点I, AH平分∠OAD,C(−2,−4),AH⊥CH于点H,连接FH. (1)求抛物线的解析式及△AOD的面积; (2)当点F运动至抛物线的对称轴上时,求△AFH的面积; FG (3)试探究 的值是否为定值?如果为定值,求出该定值;不为定值,请说明理由. GI 1 【答案】(1)y=− x2+3x,△AOD的面积为12 2 (2)当点F运动至对称轴上时,△AFH的面积为3 FG √5 (3) 的值是定值,定值为 GI 3 1 【分析】(1)运用待定系数法可得y=− x2+3x.设点O到AD的距离为d,点A的纵坐标为y ,根据三 2 A 角形面积公式即可求得S =12; △AOD 1 (2)当点F运动至对称轴上时,点F的横坐标为3,可得AF= AD.连接OC、OH,由点A与点C关于 4 原点O对称,可得点A、O、C三点共线,且O为AC的中点.推出HO∥AD,可得点H到AD的距离为d. 再根据三角形面积公式即可求得答案; (3)过点A作AL⊥OD于点L,过点F作FK⊥≥¿于点K.运用勾股定理可得OA=√AL2+OL2=2√5. 再证得△FIK为等腰直角三角形.设FK=m,则KI=m,再运用解直角三角形可求得GK=2m, FG=√5m,即可求得答案. 26关注公众号:陆陆高分冲刺 ~领取:最新版“小中高考-总复习”、最新试卷下载 【详解】(1)解:设抛物线解析式为y=ax2+bx(a≠0), 将A(2,4),D(6,0)代入上式,得¿, 整理得¿, 解得¿, 1 ∴y=− x2+3x, 2 设点O到AD的距离为d,点A的纵坐标为y ,则d= y =4,AD=6, A A 1 1 1 ∴△AOD的面积S = ×AD×d= ×OD×y = ×6×4=12; △AOD 2 2 A 2 (2)解:由(1)得抛物线的对称轴为x=3, 当点F运动至对称轴上时,点F的横坐标为3, AF 3−2 1 = = , AD 6−2 4 1 即AF= AD, 4 连接OC,OH, ∵C(−2,−4),A(2,4), ∴A与点C关于原点O对称, ∴点A,O,C三点共线,且O为AC的中点, ∵AH⊥CH, 1 ∴OH= AC=OA, 2 ∴∠OAH=∠AHO. ∵AH平分∠CAD, ∴∠OAH=∠DAH, 27关注公众号:陆陆高分冲刺 ~领取:最新版“小中高考-总复习”、最新试卷下载 ∴∠AHO=∠DAH, ∴HO∥AD, ∴HO与AD间的距离为d, ∴点H到AD的距离为d, 1 1 ∴ S = ×AF×d,S = ×AD×d=12, △AFH 2 △AOD 2 1 1 1 1 (1 ) 1 ∴S = ×AF×d= × AD×d= × ×AD×d = ×12=3, △AFH 2 2 4 4 2 4 ∴当点F运动至对称轴上时,△AFH的面积为3; (3)解:过点A作AL⊥OD于点L,过点F作FK⊥≥¿于点K, 由题意得AL=4,OL=2, ∴OA=√AL2+OL2=√42+22=2√5, ∴DL=OD−OL=6−2=4, ∴在Rt△ADL中,AL=DL, ∴∠ADL=45°. ∵≥⊥DO, ∴∠FIK=45°,即△FIK为等腰直角三角形, 设FK=m,则KI=m, ∵CF∥AO, ∴∠AOL=∠GFK, 在Rt△AOL和Rt△GFK中,tan∠AOL=tan∠GFK, AL GK 即 = , OL FK 28关注公众号:陆陆高分冲刺 ~领取:最新版“小中高考-总复习”、最新试卷下载 4 GK ∴ = , 2 m 解得GK=2m, ∴GI=GK+KI=2m+m=3m, 又sin∠AOL=sin∠GFK, AL GK 即 = , AO FG 4 2m ∴ = ,解得FG=√5m, 2√5 FG FG √5m √5 ∴ = = , GI 3m 3 FG √5 ∴ 的值是定值,定值为 . GI 3 【点睛】本题是二次函数综合题,考查了待定系数法求函数解析式,二次函数的图象和性质,等腰直角三 角形的判定和性质,图形的面积计算,解直角三角形等,添加辅助线构造直角三角形是解题关键. 10.(2024·河南商丘·模拟预测)已知抛物线y=ax2+bx+3交x轴于A(1,0)B(3,0)两点,M为抛物线 的顶点,C,D为抛物线上不与A,B重合的相异两点,记AB的中点为E,直线AD,BC的交点为P. (1)求抛物线的函数表达式; 3 (2)若C(4,3),D(m,− ),且m<2,求证:C,D,E三点共线; 4 (3)小明研究发现,无论C,D在抛物线上如何运动,只要C,D,E三点共线,△ABP的面积恒为定值, 请求出此定值. 【答案】(1)y=x2−4x+3 (2)证明见解析 (3)2 【分析】本题考查属于二次函数综合题,考查二次函数的交点式,一次函数解析式,两条直线的交点坐标 等. (1)根据抛物线与x轴的交点坐标设交点式,与y=ax2+bx+3对比,求出a的值即可; (2)先利用待定系数法求出直线CE的解析式,再求出点D坐标,证明点D满足直线CE的解析式即可; (3)在(2)的条件下,求出直线AD,BC的解析式,联立求出点P的坐标,即可求解. 【详解】(1)解:由题意得:y=a(x−1)(x−3)=a(x2−4x+3)=ax2+bx+3, 则a=1,b=−4 29关注公众号:陆陆高分冲刺 ~领取:最新版“小中高考-总复习”、最新试卷下载 即抛物线的函数表达式为y=x2−4x+3; (2)证明:设直线CE对应的函数表达式为y=kx+n(k≠0), ∵ E为AB中点, ∴ E(2,0). 又∵ C(4,3), ∴ ¿,解得:¿, ∴直线CE对应的函数表达式为y=1.5x−3, 3 ∵点D(m,− )在抛物线上, 4 3 ∴ m2−4m+3=− , 4 3 5 解得:m= 或 , 2 2 ∵ m<2, 3 3 ∴ D( ,− ), 2 4 3 3 3 ∵ × −3=− ,即D满足直线CE对应的函数表达式, 2 2 4 ∴点D在直线CE上,即C,D,E三点共线; (3)解:∵小明研究发现,无论C,D在抛物线上如何运动,只要C,D,E三点共线,△ABP的面积恒 为定值, 3 3 故在(2)的条件下,∵B(3,0),C(4,3),D( ,− ), 2 4 3 3 ∴直线BC对应的函数表达式为y=3x−9,直线AD对应的函数表达式为y=− x+ , 2 2 3 3 联立上述两式得:3x−9=− x+ , 2 2 7 解得:x= , 3 7 则点P( ,−2), 3 1 1 此时△ABP的面积= ×AB×|y |= ×(3−1)×2=2. 2 P 2 11.(2023·云南·模拟预测)已知抛物线y=x2+(2−m)x−2m,其中m>0. 30关注公众号:陆陆高分冲刺 ~领取:最新版“小中高考-总复习”、最新试卷下载 (1)求证:该抛物线与x轴恒有两个不同的交点; 2 (2)如图,设抛物线与x轴的交点为A,B(点A在点B的左边),与y轴的交点为C,已知点D(0, ),直 m 线AD交抛物线于另一点E,连接CE,过点B作BF⊥x轴,交CE于F. ①请直接写出A,B,C的坐标(可用含m的式子表示); ②求证:当m(m>0)变化时,线段BF的长度恒为定值. 【答案】(1)见解析 (2)①A(−2,0),B(m,0),C(0,−2m) ;②见解析 【分析】(1)只需证明△>0即可; (2)①令y=0,解方程可求A、B点坐标,令x=0,可求C点坐标;②先求出直线AD的解析式,再求直 线AD与抛物线的交点E的坐标,用待定系数法求出直线CE的解析式,即可求F点坐标,由于F(m,1), 即可得到BF=1为定值. 【详解】(1)证明:∵y=x2+(2−m)x−2m, ∴△=(2−m) 2+8m=m2+4m+4=(m+2) 2, ∵m>0, ∴△>0, ∴该抛物线与x轴恒有两个不同的交点; (2)①解:令y=0,则x2+(2−m)x−2m=0, ∴x=−2或x=m, ∵点A在点B的左边,m>0, ∴A(−2,0),B(m,0), 令y=0,则x=−2m, 31关注公众号:陆陆高分冲刺 ~领取:最新版“小中高考-总复习”、最新试卷下载 ∴C(0,−2m); ②证明:设直线AD的解析式为y=kx+b, ∴ ¿, ∴ ¿, 1 2 ∴y= x+ , m m 联立方程组¿, 1 2 ∴x2+(2−m− )x−2m− =0, m m ∵x=−2是方程的一个根, 1 1 ∴方程的另一个根为−(2−m− )−(−2)=m+ , m m 1 2 1 ∴E(m+ ,1+ + ), m m m2 设直线CE的解析式为y=k'x+b', ∴ ¿, ∴ ¿, 1+2m ∴y= x−2m, m ∵BF⊥x轴,交CE于F, ∴F(m,1), ∴BF=1, ∴当m(m>0)变化时,线段BF的长度恒为定值1. 【点睛】本题是二次函数的综合题,熟练掌握二次函数的图象及性质,用待定系数法求一次函数解析式的 方法是解题的关键. 12.(2024·湖北武汉·模拟预测)在平面直角坐标系中,抛物线y=ax²+bx+c与x轴交于A(−1,0), B(3,0)两点,与y轴交于点C(0,−3). 32关注公众号:陆陆高分冲刺 ~领取:最新版“小中高考-总复习”、最新试卷下载 (1)直接写出抛物线的解析式; (2)如图1,点T是x轴上一动点,将顶点M绕点T旋转90°刚好落在抛物线上的点N处,求点T的坐标; (3)点P为抛物线y=ax²+bx+c的对称轴上一定点,过点P的直线交抛物线于点E、F(点E在F的左侧). 1 1 若 + 恒为定值m,求m的值. PE PF 【答案】(1)y=x2−2x−3 (11−√33 ) (11+√33 ) (−7+√33 ) (−7−√33 ) (2)T ,0 或T ,0 或T ,0 或T ,0 ; 2 2 2 2 (3)m=4 【分析】(1)直接利用待定系数法求解抛物线的解析式即可; (2)求解M(1,−4),如图,当M绕T逆时针旋转90°得到点N,且N在抛物线上,过T作y轴的平行线, 分别过M,N作平行线的垂线,垂足分别为F,H,证明△NTH≌△TMF, 可得NH=TF=4, HT=MF=x−1,则N(x−4,x−1),再建立方程求解即可,如图,当M绕T顺时针旋转90°得到点N, 且N在抛物线上,同理可得答案; (3)如图,过E作EK⊥x轴于K,过F作FQ⊥x轴于Q,对称轴与x轴的交点记为G,可得 PE KG PF GQ 1 PE⋅PF PE⋅PF KG⋅GQ EK∥PG∥FQ,可得 = , = ,可得 = = ⋅EF= ⋅EF设 EF KQ EF KQ m EF EF2 KQ2 P(1,t),直线EF为y=kx+n,E(x ,y ),F(x ,y ),再结合根与系数的关系进一步解答即可. 1 1 2 2 【详解】(1)解:∵抛物线y=ax2+bx+c过C(0,−3), ∴c=−3, ∵抛物线y=ax2+bx−3与x轴交于点A(−1,0),B(3,0)两点, ∴¿, 33关注公众号:陆陆高分冲刺 ~领取:最新版“小中高考-总复习”、最新试卷下载 解得:¿, ∴抛物线的解析式为 y=x2−2x−3; (2)解:∵y=x2−2x−3=(x−1) 2−4, ∴M(1,−4), 如图,当M绕T顺时针旋转90°得到点N,且N在抛物线上, ∴TM=TN,∠NTM=90°, 过T作y轴的平行线,分别过M,N作此平行线的垂线,垂足分别为F,H, ∴∠NHT=90°=∠NTM=∠MFT, ∴∠MTF+∠NTH=90°=∠MTF+∠TMF, ∴∠NTH=∠TMF, ∴△NTH≌△TMF,而TF=4,OT=x, ∴NH=TF=4,HT=MF=x−1, ∴N(x−4,x−1), ∴(x−5) 2−4=x−1, 整理得:x2−11x+22=0, 11−√33 11+√33 解得:x = ,x = , 1 2 2 2 (11−√33 ) (11+√33 ) ∴T ,0 或T ,0 ; 2 2 第二个点如图示: 34关注公众号:陆陆高分冲刺 ~领取:最新版“小中高考-总复习”、最新试卷下载 如图,当M绕T逆时针旋转90°得到点N,且N在抛物线上, 同理可得:N(4+x,1−x), ∴(x+3) 2−4=1−x,即x2+7x+4=0, −7±√33 解得:x= , 2 (−7+√33 ) (−7−√33 ) ∴T ,0 或T ,0 ; 2 2 (11−√33 ) (11+√33 ) (−7+√33 ) (−7−√33 ) 综上:T ,0 或T ,0 或T ,0 或T ,0 ; 2 2 2 2 (3)解:如图,过E作EK⊥x轴于K,过F作FQ⊥x轴于Q,对称轴与x轴的交点记为G, ∴EK∥PG∥FQ, PE KG PF GQ ∴ = , = , EF KQ EF KQ 35关注公众号:陆陆高分冲刺 ~领取:最新版“小中高考-总复习”、最新试卷下载 1 1 PE+PF EF ∵m= + = = , PE PF PE⋅PF PE⋅PF 1 PE⋅PF PE⋅PF KG⋅GQ ∴ = = ⋅EF= ⋅EF m EF EF2 KQ2 设P(1,t),直线EF为y=kx+n,E(x ,y ),F(x ,y ), 1 1 2 2 ∴k+n=t, ∴n=t−k, ∴直线EF为y=kx+t−k, ∴¿, 整理得:x2−(2+k)x+k−t−3=0, ∴x +x =2+k,x x =k−t−3, 1 2 1 2 y −y =k(x −x ), 1 2 1 2 而KG=1−x ,QG=x −1,KQ=x −x , 1 2 2 1 EF=√(x −x ) 2+(y −y ) 2=√(1+k2)(x −x ) 2, 1 2 1 2 1 2 1 KG⋅GQ ∴ = ⋅EF m KQ2 (1−x )(x −1) = 1 2 ⋅√(x −x ) 2+(y −y ) 2 (x −x ) 2 1 2 1 2 1 2 √ 1+k2 =(x +x −x x −1)⋅ 1 2 1 2 (x −x ) 2 1 2 √ 1+k2 =(t+4) (x +x ) 2−4x x 1 2 1 2 36关注公众号:陆陆高分冲刺 ~领取:最新版“小中高考-总复习”、最新试卷下载 √ 1+k2 =(t+4) , k2+4t+16 设e=t+4=MP,由P为定点,则e为定值, 1 √(1+k2)e2 ∴ = , m k2+4e k2+4e ∴m2= ,而m为定值,则m,e的值与k无关, (1+k2)e2 ∴(m2e2−1)k2+m2e2−4e=0, ∴m2e2−1=0,而m>0,e>0, 1 ∴me=1,即e= , m 1 k2+4× m ∴m2= , 1 (1+k2)⋅ m2 整理得:m2−4m=0, 解得:m=4;(不符合题意的根舍去) 【点睛】本题属于二次函数的综合题,难度很大,考查求解二次函数的解析式,二次函数与旋转及角度问 题,平行线分线段成比例的应用,定值的应用,熟练的利用数形结合的方法以及根与系数的关系解题是关 键. 题型04 特殊角的唯一存在性 13.(2024·湖北武汉·模拟预测)如图1,抛物线C :y=ax2−2ax−3a(a<0)与x轴交于A,B两点(A 1 在B的左边),与y轴正半轴交于点C,△ABC的面积为4. 37关注公众号:陆陆高分冲刺 ~领取:最新版“小中高考-总复习”、最新试卷下载 (1)求抛物线的解析式; (2)如图2,点D是第一象限抛物线C 上一点,△ABD外接圆的圆心在抛物线C 的对称轴上,若D点的纵坐 1 1 标为2,求tan∠ADB的值; (3)如图3,已知直线l:y=2x−1,将抛物线沿直线l方向平移,平移过程中抛物线与直线l相交于E,F两 点.设平移过程中若抛物线的顶点D的横坐标为m,在x轴上存在唯一的一点P,使∠EPF=90°,求m的 值. 2 4 【答案】(1)y=− x2+ x+2 3 3 (2)8 √95 √19 (3)m=2± 或m=2± 4 2 1 【分析】(1)先求出C(0,−3a),A(−1,0),B(3,0),则AB=4,根据S = AB⋅OC=4,即可算 △ABC 2 2 出a=− ,即可求解; 3 (2)作AG⊥DB于G点.根据题意求出D(2,2),算出DB=√5.根据等面积法求出AG.两点距离公式 AG 求出AD,勾股定理求出DG,再根据tan∠ADB= 即可求解. DG 2 ( 2) (3)根据抛物线平移方式可设顶点沿直线y=2x+b平移,求出b= .得出平移后的顶点D m,2m+ , 3 3 2 2 即可得出抛物线平移后解析式为y=− (x−m) 2+2m+ ,联立解析式得 3 3 38关注公众号:陆陆高分冲刺 ~领取:最新版“小中高考-总复习”、最新试卷下载 − 2 x2+ (4 m−2 ) x− 2 m2+2m+ 5 =0,根据一元二次方程根与系数关系可得x +x =2m−3, 3 3 3 3 E F x x =m2−3m− 5 ,y + y =4m−8,则EF的中点R ( m− 3 ,2m−4 ) .分为①如图4,当⊙R与x轴 E F 2 E F 2 EF 相切时,PR=|y |= ,根据EF2=4 y2,列方程求解;②如图5,当⊙R与x轴有一个交点是直线l与x R 2 R 轴交点 (1 ,0 ) 时,也有唯一P点,使∠EPF=90°,将 (1 ,0 ) 代入抛物线y=− 2 (x−m) 2+2m+ 2 ,即可 2 2 3 3 求解; 【详解】(1)解:∵抛物线C :y=ax2−2ax−3a(a<0), 1 令x=0,得y=−3a, ∴C(0,−3a), ∴OC=−3a. 令y=0,得x2−2x−3=0, ∴(x−3)(x+1)=0, ∴x =−1,x =3, A B ∴A(−1,0),B(3,0),则AB=4. 1 ∵S = AB⋅OC=4, △ABC 2 1 ∴4× ×(−3a)=4, 2 2 ∴a=− , 3 2 4 ∴y=− x2+ x+2. 3 3 (2)作AG⊥DB于G点. 39关注公众号:陆陆高分冲刺 ~领取:最新版“小中高考-总复习”、最新试卷下载 2 4 ∵C :y=− x2+ x+2 1 3 3 , 2 4 ∵D点的纵坐标为2,则2=− x2+ x+2,解得x=2或0(舍去), 3 3 ∴D(2,2), ∴DB=√(3−2) 2+(0−2) 2=√5. ∵AB=3−(−1)=4, AB⋅y 4×2 8 ∴AG= D= = √5. DB √5 5 又∵AD=√(−1−2) 2+(0−2) 2=√13, √5 ∴DG=√AD2−AG2= , 5 8 √5 AG 5 ∴tan∠ADB= = =8. DG √5 5 2 8 (3)∵抛物线y=− (x−1) 2+ 沿直线l方向平移, 3 3 ( 8) 8 ∴可设顶点沿直线y=2x+b平移,将 1, 代入,得 =2+b, 3 3 2 ∴b= . 3 2 ( 2) ∴y=2x+ ,平移后的顶点D m,2m+ , 3 3 2 2 ∴抛物线平移后解析式为y=− (x−m) 2+2m+ , 3 3 联立¿, 40关注公众号:陆陆高分冲刺 ~领取:最新版“小中高考-总复习”、最新试卷下载 得− 2 x2+ (4 m−2 ) x− 2 m2+2m+ 5 =0, 3 3 3 3 5 ∴x +x =2m−3,x x =m2−3m− , E F E F 2 y + y =2(x +x )−2=4m−8, E F E F ( 3 ) 则EF的中点R m− ,2m−4 . 2 EF ①如图4,当⊙R与x轴相切时,PR=|y |= , R 2 ∴EF2=4 y2 , R 而EF2=(1+4)(x −x ) 2=5[(x +x ) 2−4x x ]=5×19=95, E F E F E F ∴4×(2m−4) 2=95, 95 ∴(2m−4) 2= , 4 √95 ∴m=2± ; 4 41关注公众号:陆陆高分冲刺 ~领取:最新版“小中高考-总复习”、最新试卷下载 (1 ) ②如图5,当⊙R与x轴有一个交点是直线l与x轴交点 ,0 时,也有唯一P点,使∠EPF=90°, 2 将 (1 ,0 ) 代入抛物线y=− 2 (x−m) 2+2m+ 2 , 2 3 3 2(1 ) 2 2 得− −m +2m+ =0, 3 2 3 2(1 ) 2 2 ∴ −m =2m+ , 3 2 3 3 √19 ∴m2−4m− =0,解得m=2± . 4 2 √95 √19 综上可知,m=2± 或m=2± . 4 2 【点睛】本题考查的是二次函数综合运用,涉及到待定系数法、二次函数图象和性质、二次函数的最值、 勾股定理、解直角三角形、圆的基本知识、根与系数关系的运用、图形的平移等,利用辅助圆是解题关键. 14.(2020·山东淄博·中考真题)如图,在直角坐标系中,四边形OABC是平行四边形,经过A(﹣2, 8 0),B,C三点的抛物线y=ax2+bx+ (a<0)与x轴的另一个交点为D,其顶点为M,对称轴与x轴交于 3 点E. (1)求这条抛物线对应的函数表达式; 42关注公众号:陆陆高分冲刺 ~领取:最新版“小中高考-总复习”、最新试卷下载 3 (2)已知R是抛物线上的点,使得△ADR的面积是平行四边形OABC的面积的 ,求点R的坐标; 4 (3)已知P是抛物线对称轴上的点,满足在直线MD上存在唯一的点Q,使得∠PQE=45°,求点P的坐 标. 1 2 8 4 4 4 【答案】(1)y=﹣ x2+ x+ ;(2)(1+√5, )或(1−√5, )或(1+√13,− )或(1﹣√13 3 3 3 3 3 3 4 3 ,− );(3)点P的坐标为(1, )或(1,3)或(1,-3). 3 2 b 【分析】(1)根据平行四边形的性质及点A坐标可得抛物线的对称轴为直线x=1,可得﹣ =1,把点A 2a 8 坐标代入抛物线不等式可得0=4a﹣2b+ ,解方程组求出a、b的值即可得答案; 3 (2)根据抛物线对称轴方程及点A坐标可得点D坐标,根据△ADR的面积是平行四边形OABC的面积的 3 可得出点R的纵坐标,代入抛物线解析式可求出点R横坐标,即可得答案; 4 (3)作△PEQ的外接圆R,根据圆周角定理可得∠PRE=90°,可得△PRE为等腰直角三角形,由在直线 MD上存在唯一的点Q,使得∠PQE=45°可得⊙R与直线MD相切,可得RQ⊥MD,根据对称轴可得点M 坐标,即可得出DE、DE的长,根据勾股定理可求出DM的长,设点P(1,2m),根据等腰直角三角形 的性质可得PH=HE=HR=m,即可得出R(1+m,m),利用S MED=S MRD+S MRE+S DRE可求出m △ △ △ △ 的值,即可得点P坐标;根据DE=ME可得∠MDE=45°,可得点M符合题意,过点D作DF⊥DM交对称 轴于F,可得∠FDE=45°,可得点F符合题意,根据DE=EF可求出点F坐标,综上即可得答案. 【详解】(1)∵A(-2,0),四边形OABC是平行四边形, ∴BC//OA,BC=OA=2, 43关注公众号:陆陆高分冲刺 ~领取:最新版“小中高考-总复习”、最新试卷下载 ∵抛物线与y轴交于点B, 0+2 b ∴抛物线的对称轴为直线x= =1,则x=﹣ =1①, 2 2a 8 将点A的坐标代入抛物线表达式得:0=4a﹣2b+ ②, 3 联立①②得¿, 解得¿, 1 2 8 ∴抛物线的表达式为:y=﹣ x2+ x+ ; 3 3 3 (2)∵A(-2,0),抛物线对称轴为直线x=1, ∴点D(4,0); 3 ∵△ADR的面积是▱OABC的面积的 , 4 1 3 1 3 8 ∴ ×AD×|y |= ×OA×OB,则 ×6×|y |= ×2× , 2 R 4 2 R 4 3 4 解得:y =± , R 3 4 1 2 8 4 当y= 时,− x2+ x+ = , 3 3 3 3 3 解得:x =1+√5,x =1−√5, 1 2 4 4 ∴R(1+√5, )或R(1−√5, ), 1 3 2 3 4 1 2 8 4 当y=- 时,− x2+ x+ =− , 3 3 3 3 3 解得:x=1+√13,x=1−√13, 3 2 4 4 ∴R(1+√13,− )或R(1−√13,− ) 3 3 4 3 4 4 4 4 综上所述:点R的坐标为(1+√5, )或(1−√5, )或(1+√13,− )或(1﹣√13,− ). 3 3 3 3 (3)作△PEQ的外接圆R,过点R作RH⊥ME于点H, ∵∠PQE=45°, ∴∠PRE=90°, ∵RP=RE, ∴△PRE为等腰直角三角形, 44关注公众号:陆陆高分冲刺 ~领取:最新版“小中高考-总复习”、最新试卷下载 ∵直线MD上存在唯一的点Q, ∴⊙R与直线MD相切, ∴RQ⊥MD, ∵抛物线对称轴为直线x=1, 1 2 8 ∴当x=1时y=− + + =3, 3 3 3 ∴点M坐标为(1,3), ∵D(4,0), ∴ME=3,ED=4﹣1=3, ∴MD=√DE2+M E2=3√2, 设点P(1,2m),则PH=HE=HR=m,则圆R的半径为√2m,则点R(1+m,m), 1 1 1 1 ∵S MED=S MRD+S MRE+S DRE,即 ×ME•ED= ×MD×RQ+ ×ED•y + ×ME•RH, 2 2 2 R 2 △ △ △ △ 1 1 1 1 ∴ ×3×3= ×3√2×√2m+ ×4×m+ ×3×m, 2 2 2 2 3 解得m= , 4 3 ∴点P坐标为(1, ), 2 ∵ME=MD=3, ∴∠MDE=45°, ∴点P与点M重合时,符合题意,即P(1,3), 过点D作DF⊥MD,交对称轴于F,则∠FDE=45°,符合题意, ∴EF=DE=3, 45关注公众号:陆陆高分冲刺 ~领取:最新版“小中高考-总复习”、最新试卷下载 ∴点F坐标为(1,-3), ∴点P坐标为(1,-3), 3 综上所述:点P的坐标为(1, )或(1,3)或(1,-3). 2 【点睛】本题考查平行四边形的性质、待定系数法求二次函数解析式,熟练掌握二次函数的性质并灵活运 用分类讨论的思想是解题关键. 15.(2024·湖北·模拟预测)如图,在平面直角坐标系xOy中,抛物线y=−x2+bx+c与x轴交于A(1,0)和 B(3,0),点D为线段BC上一点,过点D作y轴的平行线交抛物线于点E,连结BE. (1)求抛物线的解析式; (2)当△BDE为直角三角形时,求线段DE的长度; (3)在抛物线上是否存在这样的点P,使得∠ACP=45°,若存在,求出点P的坐标;若不存在,请说明理 由. 【答案】(1)y=−x2+4x−3 (2)2 (7 5) (3)存在, ,− 2 4 【分析】本题是一道二次函数的综合题,主要考查了待定系数法确定函数的解析式,二次函数图象的性质, 46关注公众号:陆陆高分冲刺 ~领取:最新版“小中高考-总复习”、最新试卷下载 一次函数图象的性质,二次函数图象上点的坐标的特征,一次函数图象上点的坐标的特征,等腰直角三角 形的性质,相似三角形的判定与性质. (1)利用待定系数法即可求得抛物线的解析式; (2)利用分类讨论的方法分两种情况①点B为直角顶点,②点E为直角顶点讨论解答,设D(m,m−3), 则点E(m,−m2+4m−3),用m的代数式表示出DE的长度,利用已知条件列出方程,解方程即可求得结 论; (3)在抛物线上存在点P,使得∠ACP=45°,延长CP交x轴于点F,利用△AFC∽△ACB求得线段AF 的长,利用待定系数法求得直线CP的解析式,与抛物线解析式联立,解方程组即可求得结论. 【详解】(1)∵抛物线y=−x2+bx+c与x轴交于A(1,0)和B(3,0), ∴¿, 解得:¿. ∴抛物线的解析式为y=−x2+4x−3. (2)令x=0,则y=−3, ∴C(0,−3). 设直线BC的解析式为y=kx+n, ∴¿, 解得:¿. ∴直线BC的解析式为y=x−3. ∵点D为线段BC上一点, ∴设D(m,m−3),则点E(m,−m2+4m−3), ∴DE=(−m2+4m−3)−(m−3)=−m2+3m. ∵B(3,0),C(0,−3), ∴OB=OC=3. ∴∠OBC=∠OCB=45°. ∵DE∥y轴, ∴∠EDB=∠OCB=45°, ∴点D不可能是直角的顶点. ①当点B为直角的顶点时,设DE交x轴于点F, 47关注公众号:陆陆高分冲刺 ~领取:最新版“小中高考-总复习”、最新试卷下载 ∵∠BDE=45° ∠EBD=90° , , ∴∠DEB=45°. ∴△BED为等腰直角三角形. 1 ∴EF=FD= DE. 2 ∵DF=3−m. 1 ∴3−m= (−m2+3m). 2 解得:m=2或3(m=3不合题意,舍去). ∴m=2. ∴DE=−22+3×2=−4+6=2. ②当点E为直角顶点时,此时边EB在x轴上,点E与点A重合, ∴m=1. ∴DE=−12+3×1=−1+3=2. 综上,当△BDE为直角三角形时,线段DE的长度为2. (3)在抛物线上存在点P,使得∠ACP=45°,理由: ∵A(1,0), ∴OA=1. ∴AB=OB−OA=2. ∴AC=√OA2+OC2=√10. 延长CP交x轴于点F,如图, 由(2)知:∠OBC=∠OCB=45°, 48关注公众号:陆陆高分冲刺 ~领取:最新版“小中高考-总复习”、最新试卷下载 ∴∠AFC+∠FCB=45°. ∵∠ACP=45°, ∴∠ACB+∠FCB=∠ACP=45°. ∴∠AFC=∠ACB. ∵∠FAC=∠CAB, ∴△AFC∽△ACB. AF AC ∴ = . AC AB AF √10 ∴ = . √10 2 ∴AF=5. ∴OF=OA+AF=6, ∴F(6,0). 设直线CF的解析式为y=dx+e, ∴¿, 解得:¿. 1 ∴直线FC的解析式为y= x−3. 2 ∴¿, 解得:¿,¿. (7 5) ∴点P的坐标为 ,− . 2 4 16.(2024·江苏苏州·一模)如图1,在平面直角坐标系中,O为坐标原点,拋物线y=x2+bx+c与轴交于 1 5 点A( ,0)、B两点,与y轴交于点C(0, ),连接BC. 2 4 49关注公众号:陆陆高分冲刺 ~领取:最新版“小中高考-总复习”、最新试卷下载 (1)求抛物线的解析式; (2)点Q为抛物线上的一点(不与点A重合),当△QBC的面积等于△ABC面积的2倍时,求此时点Q的 坐标; (3)如图2,点P在x轴下方的抛物线上,点D为抛物线的顶点.过点D作DE⊥x轴于点E,连接BD,AD 交PB于点F,连接EF,∠EFB=2∠FBD,探究抛物线上是否存在点M,使 ∠MBC+∠CBO+∠AFB=180°,若存在,请直接写出点M的坐标;若不存在,请说明理由. 5 【答案】(1)y=x2−3x+ 4 (5+√57 21−√57) (5−√57 21+√57) (2) , , 4 8 4 8 (5 5) (3)存在点M,使∠MBC+∠CBO+∠AFB=180°,M的坐标为¿)或 ,− 6 9 【分析】(1)用待定系数法即可求得抛物线的解析式; (2)设Q ( m,m2−3m+ 5) ,求出B (5 ,0 ) ,直线BC函数表达式为y=− 1 x+ 5 ,知 4 2 2 4 G ( m,− 1 m+ 5) ,PG= | −m2+ 5 m | ,分为当点Q在直线BC下方时和点Q在直线BC上方时,分别求解 2 4 2 即可. (3)过A作AG⊥x轴交BP延长线于G,过C作CK⊥BM于K,过K作HT⊥y轴于H,过B作 (3 ) (3 ) BT⊥HT于T,分两种情况:当BM在BC上方时,求出顶点D ,−1 ,E ,0 ,可得 2 2 AE=BE=DE=1,∠EAD=∠ADE=∠EDB=∠EBD=4 5°,故∠ADB=90°,有 ∠FBD+∠BFD=90°,而∠EFB=2∠FBD,即可得∠BFD=∠AFE,从而证明△AGF≌△AEF, 50关注公众号:陆陆高分冲刺 ~领取:最新版“小中高考-总复习”、最新试卷下载 5 AG 1 OC 4 1 得AG=AE=1,tan∠ABG= = ,得tan∠CBO= = = ,故∠ABG=∠CBO,即可得 AB 2 OB 5 2 2 ∠MBC= ∠BAF=45°,△BCK是等腰直角三角形,证明△CKH≌△KBT,有HK=TB,CH=KT,设 (15 15) 15 K(p,q),则¿,解得K , ,得直线BK函数表达式为y=−3x+ ,联法¿,可得M;当BM'在 8 8 2 BC下方时,同理可得M'. (1 ) ( 5) 【详解】(1)解:把A ,0 ,C 0, 代入y=x2+bx+c得: 2 4 ¿, 解得:¿, 5 ∴抛物线的解析式为y=x2−3x+ ; 4 (2)解:设Q ( m,m2−3m+ 5) ,过点Q作QG⊥x轴,交BC于点G, 4 5 5 在y=x2−3x+ 中,令y=0得0=x2−3x+ , 4 4 1 5 解得:x= 或x= , 2 2 (5 ) ∴B ,0 , 2 (5 ) (1 ) ( 5) ∵B ,0 ,A ,0 ,C 0, , 2 2 4 1 (5 1) 5 5 ∴S = × − × = , △ABC 2 2 2 4 4 51关注公众号:陆陆高分冲刺 ~领取:最新版“小中高考-总复习”、最新试卷下载 5 ∴S =2S = ; △QBC △ABC 2 (5 ) ( 5) ∵B ,0 ,C 0, , 2 4 5 5 5 1 ∴设直线BC的函数表达式为y=kx+ ,代入B得0= k+ ,解得:k=− , 4 2 4 2 1 5 ∴直线BC的函数表达式为y=− x+ , 2 4 ( 1 5) ∴G m,− m+ , 2 4 ∴QG= |( − 1 m+ 5) − ( m2−3m+ 5)| = | −m2+ 5 m | , 2 4 4 2 1 5 当点Q在直线BC下方时:S = ⋅QG⋅(x −x )= , △QBC 2 B C 2 即 1 ⋅ ( −m2+ 5 m ) ⋅ 5 = 5 ,无解; 2 2 2 2 当点Q在直线BC上方时: 1 5 S =|S −S |= ⋅QG⋅x = , △QBC △QBG △QGC 2 B 2 即 1 ⋅ ( m2− 5 m ) ⋅ 5 = 5 ,解得:m= 5+√57 或 5−√57 ; 2 2 2 2 4 4 (5+√57 21−√57) (5−√57 21+√57) 综上,此时,点Q的坐标为 , 或 , ; 4 8 4 8 (3)解:存在点M,使∠MBC+∠CBO+∠AFB=180°, 理由如下:过A作AG⊥x轴交BP延长线于G,过C作CK⊥BM于K,过K作HT⊥y轴于H,过B作 BT⊥HT于T, 52关注公众号:陆陆高分冲刺 ~领取:最新版“小中高考-总复习”、最新试卷下载 当BM在BC上方时,如图: ∵y=x2−3x+ 5 = ( x− 3) 2 −1, 4 2 (3 ) (3 ) ∴顶点D ,−1 ,E ,0 , 2 2 (1 ) (5 ) ∵A ,0 ,B ,0 , 2 2 ∴AE=BE=DE=1, ∴∠EAD=∠ADE=∠EDB=∠EBD=45°, ∴∠ADB=90°, ∴∠FBD+∠BFD=90°, ∵∠AFE+∠EFB+∠BFD=180°,∠EFB=2∠FBD, ∴∠AFE+∠FBD+∠FBD+∠BFD=180°, ∴∠AFE+∠FBD+90°=180°, ∴∠AFE+∠FBD=90°, ∴∠BFD=∠AFE, ∴∠AFG=∠AFE, ∵∠GAE=90°,∠FAE=45°, ∴∠GAF=45°=∠FAE, ∵AF=AF, ∴△AGF≌△AEF(ASA), ∴AG=AE=1, AG 1 ∴tan∠ABG= = , AB 2 53关注公众号:陆陆高分冲刺 ~领取:最新版“小中高考-总复习”、最新试卷下载 5 OC 4 1 ∵tan∠CBO= = = , OB 5 2 2 ∴∠ABG=∠CBO, ∵∠AFB+∠BFD=180°,∠AFB+∠MBC+∠CBO=180°, ∴∠BFD=∠MBC+∠CBO=∠MBC+∠ABG, ∵∠BFD=∠BAF+∠ABG, ∴∠MBC=∠BAF=45°, ∴△BCK是等腰直角三角形, ∴∠HKC=90°−∠TKB=∠TBK,CK=BK, ∵∠KHC=90°=∠BTK, ∴△CKH≌△KBT(AAS), ∴HK=TB,CH=KT, 设K(p,q), ∴¿, 解得¿, (15 15) ∴K , , 8 8 (5 ) (15 15) ∵B ,0 ,K , 2 8 8 设直线BK函数表达式为y=ax+n,则¿, 解得¿, 15 故直线BK函数表达式为y=−3x+ , 2 联立¿, 解得¿或¿, ( 5 ) ∴M − ,15 ; 2 当BM'在BC下方时,同理可得∠M'BC=45°, 1 5 可得BM'函数表达式为y= x− , 3 6 联立¿, 解得¿或¿, 54关注公众号:陆陆高分冲刺 ~领取:最新版“小中高考-总复习”、最新试卷下载 ∴M'(5 ,− 5) , 6 9 ( 5 ) (5 5) 综上所述,M的坐标为 − ,15 或 ,− . 2 6 9 【点睛】本题考查二次函数综合应用,涉及全等三角形判定与性质,等腰直角三角形性质及应用,待定系 数法等知识,解题的关键是用含字母的式子表示相关点坐标和相关线段的长度. 题型05 等角与相似三角形存在性综合 17.(2023·湖北武汉·一模)抛物线y=−x2+2mx−m2+2m (m>0)交x轴于A,B两点(A在B的左边), C是抛物线的顶点. (1)当m=2时,直接写出A,B两点的坐标: (2)点D是对称轴右侧抛物线上一点,∠COB=∠OCD, ①如图(1),求线段CD长度; ②如图(2),当m>2,T(t,0)(t>0),P为线段OC上一点.若△PCD与△POT相似,并且符合条件的点 P有2个,求t和m之间的数量关系. 【答案】(1)A(0,0),B(4,0) 20 (2)①CD= ;② 9m2−16t>0 9 【分析】(1)根据m=2,得y=−x2+4x,即可求出于A,B两点的坐标; b (2)①根据y=−x2+2mx−m2+2m,对称轴x=− =m,得到顶点坐标C,延长CD交x轴于点E,根 2a 据∠COB=∠OCD,得|OE|=|CE|,求出点E的坐标;设直线CE的解析式为:y=k x+b (k≠0),求出 1 1 解析式,根据点D在CD上,求出点D的坐标;再根据两点间的距离,即可;②由①得,CD的值,设直 线OC的解析式为:y=k x(k≠0),求出解析式,则设点P(b,2b),求出OP,CP,OT;根据相似三角 1 形的性质,分类讨论,对应边成比例,即可得到t和m之间的数量关系. 【详解】(1)∵抛物线y=−x2+2mx−m2+2m (m>0)交x轴于A,B两点, 55关注公众号:陆陆高分冲刺 ~领取:最新版“小中高考-总复习”、最新试卷下载 ∴当m=2, ∴y=−x2+4x, ∴x =0,x =4, 1 2 ∴A(0,0),B(4,0). (2)①∵y=−x2+2mx−m2+2m, b ∴对称轴x=− =m, 2a ∴顶点坐标C(m,2m), 延长CD交x轴于点E,设点E(a,0) a>m, ∵∠COB=∠OCD, ∴|OE|=|CE|, ∴a2=(a−m) 2+(2m) 2 5 解得:a= m, 2 (5 ) ∴点E的坐标为: m,0 , 2 设直线CE的解析式为:y=k x+b (k≠0), 1 1 ∴¿, 解得:¿, 4 10 ∴y=− x+ m, 3 3 4 10 ∴− x+ m=−x2+2mx−m2+2m, 3 3 4 解得:x =m(舍),x =m+ ; 1 2 3 ( 4 16) ∴点D m+ ,2m− , 3 9 20 ∴CD= . 9 56关注公众号:陆陆高分冲刺 ~领取:最新版“小中高考-总复习”、最新试卷下载 ②设直线OC的解析式为:y=k x(k≠0), 1 ∴y=2x, ∴设点P(b,2b), ∴OP=√b 2+4b2=√5b,CP=√(m−b) 2+(2m−2b) 2=√5(m−b), ❑ 当△OPT∼△CDP, OP OT ∴ = , CD CP 9 t ∴√5b× = , 20 √5(m−b) 整理得:9b2−9mb+4t=0, ∵Δ>0, ∴81m2−4×9×4t>0, ∴9m2−16t>0; 当△OTP∼△CDP, OT OP ∴ = , CD CP 9 √5b ∴t× = , 20 √5(m−b) 9tm 整理得:b= , 20+9t ∵仅存在一个点P, ∴不符合题意; ∴综上,t和m之间的数量关系为:9m2−16t>0. 【点睛】本题考查二次函数与几何的综合,解题的关键是掌握二次函数的图象和性质,相似三角形的判定 和性质. 18.(21-22九年级下·浙江绍兴·阶段练习)如图,抛物线y=−x2+bx+c经过点B(3,0),点C(0,3),D 为抛物线的顶点. 57关注公众号:陆陆高分冲刺 ~领取:最新版“小中高考-总复习”、最新试卷下载 (1)求抛物线的表达式; (2)在抛物线的对称轴上找一点Q,使∠AQC=90°,求点Q的坐标; (3)在坐标平面内找一点P,使△OCD与△CBP相似,且∠COD=∠BCP,求出所有点P的坐标. 【答案】(1)y=−x2+2x+3 (2)(1,1)或(1,2) (45 24) (27 6 ) (3)(5,0)或(3,−2)或 , 或 , 17 17 17 17 【分析】(1)利用待定系数法转化为解方程组即可解决; 1 (2)如图2中,点M是AC中点,求出点M坐标,设点Q(1,m),根据MQ= AC,列出方程即可解决 2 问题; (3)如图3中,作DK⊥OC于K,当CP在直线BC上方时,因为∠CBO=45°,所以当 CD CO ∠CBP =∠DCO时,点P 在x轴上,根据 = ,求解即可,当∠CP B=∠DCO时, 1 1 BP BC 2 1 CP CB P M CM CP 2= ,求出CP ,作P M⊥CO于M,利用 2 = = 2 即可解决问题.当直线CP在直线 CO DO 2 2 OP CO CP 1 1 BC下方时,根据对称性,即可解决问题. 【详解】(1)把B(3,0),C(0,3)代入y=−x2+bx+c得¿解得¿, 故抛物线的解析式为y=−x2+2x+3. (2)令y=0得到−x2+2x+3=0, 解得x=−1或3, 故点A(−1,0), 如图2中,连接AC. 58关注公众号:陆陆高分冲刺 ~领取:最新版“小中高考-总复习”、最新试卷下载 ∵y=−x2+2x+3=−(x−1) 2+4, ∴抛物线对称轴是直线x=1, 设点Q(1,m),取AC的中点M, ∵A(−1,0),, 1 3 ∴M(− , ), 2 2 ∵∠AQC=90°, 1 ∴MQ= AC, 2 √ 1 2 3 2 1 ∴ (1+ ) +(m− ) = √12+32, 2 2 2 解得m=1或2, ∴点Q坐标(1,1)或(1,2). (3)如图3中,作DK⊥OC于K, ∵点D坐标(1,4),点C坐标(0,3), ∴CK=DK,∠KCD=45°, ∴∠DCO=135°, ∵△OCD与△CBP相似,∠COD=∠B, 当CP在直线BC上方时, ∵∠CBO=45°, ∴当∠CBP =∠DCO时,点P 在x轴上, 1 1 CD CO = ∴ , BP BC 1 √2 3 ∴ = , BP 3√2 1 59关注公众号:陆陆高分冲刺 ~领取:最新版“小中高考-总复习”、最新试卷下载 ∴BP =2, 1 ∴P (5,0), 1 CP CB 当∠CP B=∠DCO时, 2= , 2 CO DO CP 3√2 ∴ 2= , 3 √17 18 ∴CP = , 2 √34 作P M⊥CO于M, 2 P M CM CP ∵ 2 = = 2 , OP CO CP 1 1 27 45 ∴CM= ,P M= , 17 2 17 24 ∴OM= , 17 45 24 ∴P ( , ), 2 17 17 当直线CP在直线BC下方时,根据对称性,可知:BP =BP =2,此时P (3,−2), 3 1 3 18 27 6 ∵CP =CP = ,同理可得P ( , ). 4 2 √34 4 17 17 (45 24) (27 6 ) 综上所述点P坐标(5,0)或(3,−2)或 , 或 , . 17 17 17 17 . 【点睛】本题考查二次函数综合题、待定系数法、相似三角形的性质、勾股定理.直角三角形斜边中线性 质等知识,解题的关键是灵活应用这些知识解决问题,学会正确画出图形,本题一题多解,属于中考压轴 题. 60关注公众号:陆陆高分冲刺 ~领取:最新版“小中高考-总复习”、最新试卷下载 19.(2023·湖南长沙·模拟预测)已知抛物线y=ax2+bx+4(a>0)与x轴交于点A(1,0)和B(4,0),与y轴 交于点C (1)求抛物线的表达式; (2)如图1,点P是线段BC上的一个动点(不与点B,C重合),过点P作x轴的垂线交抛物线于点Q,连接 OQ,当四边形OCPQ恰好是平行四边形时,求点Q的坐标; (3)如图2,在(2)的条件下,D是OC的中点,过点Q的直线与抛物线交于点E,且∠DQE=2∠ODQ, 在直线QE上是否存在点F,使得△BEF与△ADC相似?若存在,求点F的坐标;若不存在,请说明理由. 【答案】(1)y=x2−5x+4 (2)Q(2,−2) (3)存在,F的坐标为(4,2)或(1.6,−2.8). 【分析】(1)用待定系数法可得y=x2−5x+4; (2)由B(4,0),C(0,4)可得直线BC解析式为y=−x+4,设P(m,−m+4),由OC=PQ,有 −m2+4m=4,即可解得Q(2,−2); (3)可得直线DQ的表达式为y=−2x+2,知A在直线DQ上,AD=√5,AC=√17,过点Q作QH⊥x 轴于点H,过E作EK⊥x轴于K,根据∠DQE=2∠ODQ,可得直线AQ和直线QE关于直线QH对称, 有∠DAO=∠QAH=∠QGH=∠EGB,GH=AH=1,G(3,0),从而可得直线QE的表达式为 y=2x−6,点E的坐标为(5,4),即得△EKB∽△COA,∠EBK=∠CAO,故∠DAC=∠GEB, △BEF与△ADC相似,点E与点A是对应点,设点F的坐标为(t,2t−6),当△BEF∽△CAD时,有 √17 √(5−t) 2+(10−2t) 2 √17 √(5−t) 2+(10−2t) 2 = ,解得F(4,2);当△BEF∽△DAC时, = ,解得 √17 √5 √5 √17 F(1.6,−2.8). 61关注公众号:陆陆高分冲刺 ~领取:最新版“小中高考-总复习”、最新试卷下载 【详解】(1)解:把A(1,0),B(4,0)代入y=ax2+bx+4得: ¿, 解得:¿, ∴y=x2−5x+4; (2)解:由B(4,0),C(0,4)可得直线BC解析式为y=−x+4, 设P(m,−m+4),则Q(m,m2−5m+4), ∴PQ=−m+4−(m2−5m+4)=−m2+4m, ∵OC∥PQ,要使四边形OCPQ恰好是平行四边形,只需OC=PQ, ∴−m2+4m=4, 解得m=2, ∴Q(2,−2); (3)解:在直线QE上存在点F,使得△BEF与△ADC相似,理由如下: ∵D是OC的中点,点C(0,4), ∴点D(0,2), 由(2)知Q(2,−2), ∴直线DQ的表达式为y=−2x+2, ∵A(1,0), ∴A在直线DQ上,AD=√5,AC=√17, 过点Q作QH⊥x轴于点H,过E作EK⊥x轴于K,如图: ∵QH∥CO,故∠AQH=∠ODQ, ∵∠DQE=2∠ODQ, ∴∠HQA=∠HQE, ∴直线AQ和直线QE关于直线QH对称, ∴∠DAO=∠QAH=∠QGH=∠EGB,GH=AH=1, ∴G(3,0), 由点Q(2,−2),G(3,0)可得直线QE的表达式为y=2x−6, 联立¿, 解得¿或¿, ∴点E的坐标为(5,4), ∵B(4,0), 62关注公众号:陆陆高分冲刺 ~领取:最新版“小中高考-总复习”、最新试卷下载 ∴BK=1,EK=4,BE=√17, BK 1 OA ∴ = = , EK 4 OC ∵∠EKB=90°=∠COA, ∴△EKB∽△COA, ∴∠EBK=∠CAO, ∴∠CAO−∠DAO=∠EBK−∠EGB,即∠DAC=∠GEB, ∴△BEF与△ADC相似,点E与点A是对应点, 设点F的坐标为(t,2t−6),则EF=√(5−t) 2+(10−2t) 2, BE EF 当△BEF∽△CAD时,有 = , AC AD √17 √(5−t) 2+(10−2t) 2 ∴ = , √17 √5 解得t=4或t=6(在E右侧,舍去), ∴F(4,2); BE EF 当△BEF∽△DAC时, = , AD AC √17 √(5−t) 2+(10−2t) 2 ∴ = , √5 √17 解得t=8.4(舍去)或t=1.6, ∴F(1.6,−2.8), 综上所述,F的坐标为(4,2)或(1.6,−2.8). 【点睛】本题考查二次函数的综合应用,涉及待定系数法求一次函数、二次函数的解析式,平行四边形, 相似三角形等知识,难度较大,综合性较强,解题的关键是证明∠DAC=∠GEB,从而得到△BEF与 63关注公众号:陆陆高分冲刺 ~领取:最新版“小中高考-总复习”、最新试卷下载 △ADC相似,点E与点A是对应点. 题型06 新定义与函数综合 c 20.(2025·湖南长沙·一模)定义:若一次函数y=ax+b和反比例函数y=− 交于两点(x , y )和(x , y ), x 1 1 2 2 满足x =k y (x 0)与反比例函数y = 交于A, B两点,它们的“−a属合成”函数为y ,若 1 2 x 3 点A在直线y=−ax+5上,求y 的解析式; 3 3 (3)如图,若y=ax+b与y=− 的“2属合成”函数的图象与x轴交于M, N两点(M在N点左侧),它 2x 的顶点为D(1, y ),P为第三象限的抛物线上一动点,NP与y轴交于点E,将线段DE绕点D逆时针旋转 0 90°得到线段DF,射线ME与射线FN交于点G,连接MP,若∠MGN=2∠MPN,求点P的坐标. 【答案】(1)存在,k=−1,“−1属合成”函数解析式为y=x2−2x−3 (2)y 的解析式为y =x2+3x−4或y =−x2+√41x−4 3 3 3 (3)P(1−2√2, −2) 【分析】(1)根据“k属合成”函数的定义,联立方程组求解即可; 4 (2)设两函数图象的交点横坐标为x 和x (x 0)与反比例函数y = 的两个交点为A(x ,y ),B(x ,y )(x 0,当a<0两种情况讨论求解即可; (4)根据(3)所求分当a>0,当a<0两种情况讨论求解即可. 【详解】(1)解:由题意得,A(2,0),B(0,2), 当直线y=kx+b恰好经过A、B时符合题意, ∴¿, ∴k=−1, ∴y=−x+2, 故答案为:y=−x+2(答案不唯一); m (2)解:把C(1,2)代入y= 中得m=2, x 2 ∴反比例函数解析式为y= , x 由题意得,A(3,0),,B(0,3), ∴直线AB的解析式为y=−x+3. 联立¿,解得¿或¿, 2 ∴y= 与线段AB有两个交点,分别为(1,2)和(2,1),且都是整点; x 2 ∴函数y= 是“整点函数”; x 72关注公众号:陆陆高分冲刺 ~领取:最新版“小中高考-总复习”、最新试卷下载 (3)解:当n=4时,A(4,0),B(0,4), ∴AB中点坐标(2,2), ∵y=ax2+bx+2过(2,2), ∴2=4a+2b+2, ∴b=−2a, ∴y=ax2−2ax+2=a(x−1) 2+2−a, ∴抛物线的对称轴为直线x=1, 由题意,抛物线一定经过点(0,2), 当a>0时,∵抛物线是“整点函数”,且顶点坐标为(1,2−a), ∴2−a>0, ∴a<2, ∴00,∴16a−8a+2>0, 1 ∴a>− , 4 1 ∴− 1, ∴抛物线开口向上,在对称轴右侧,y随x的增大而增大, ∴最高点为点Q,最低点为点P. ∴a(a+2) 2−2a(a+2)+2−[a(a+1) 2−2a(a+1)+2]=3a. 解得a =0(舍),a =1. 1 2 综上所述,a的值为1. 73关注公众号:陆陆高分冲刺 ~领取:最新版“小中高考-总复习”、最新试卷下载 【命题预测】 1.(2024·湖北·模拟预测)如图,抛物线y=−x2+3x+4与x轴分别交于A,B两点(点A在点B的左 侧),与y轴交于点C. (1)直接写出A,B,C三点的坐标; (2)如图(1),P是抛物线上异于A,B的一点,将点B绕点P顺时针旋转45°得到点Q,若点Q恰好在直 线AP上,求点P的坐标 (3)如图(2),M,N是抛物线上异于B,C的两个动点,直线BN与直线CM交于点T,若直线MN经过定 点(1,3),求证:点T的运动轨迹是一条定直线. 【答案】(1)A(−1,0),B(4,0),C(0,4) (2)P(1,6)或P(2,6) (3)见解析 【分析】(1)分别令x,y=0,即可求解; (3 5) 1 (2)以AB为斜边向上作等腰直角三角形△ABD,得出D , ,依题意,∠APB=45° = ∠ADB, 2 2 2 5 P是半径为 √2的⊙D与抛物线的交点,设P(m,−m2+3m+4),其中−10)与x轴交于点A,与 抛物线E:y=ax2交于B,C两点(B在C的左边). 95关注公众号:陆陆高分冲刺 ~领取:最新版“小中高考-总复习”、最新试卷下载 (1)求A点的坐标; (2)如图1,若B点关于x轴的对称点为B'点,当以点A,B',C为顶点的三角形是直角三角形时,求实数a 的值; (3)定义:将平面直角坐标系中横坐标与纵坐标均为整数的点叫作格点,如(−2,1),(2,0)等均为格点.如图 2,直线l与抛物线E所围成的封闭图形即阴影部分(不包含边界)中的格点数恰好是26个,求a的取值 范围. 【答案】(1)(−2,0) √15 (2)a=1或a= ; 5 13 20 (3) 0时和当n<0,x≥0时分类讨论即可. 4 【详解】(1)解:函数y=− 的图象上存在点(1,2)的“k级变换点” x 根据“k级变换点”定义,点(1,2)的“k级变换点”为(k,−2k), 4 把点(k,−2k)代入y=− 中, x 98关注公众号:陆陆高分冲刺 ~领取:最新版“小中高考-总复习”、最新试卷下载 得k⋅(−2k)=−4,解得k=±√2. ( 1 ) (2)证明:∵点B为点A t, t−2 的“k级变换点”, 2 ( 1 ) ∴点B的坐标为 kt,− kt+2k . 2 1 1 ∴直线l ,l 的解析式分别为y= x−2和y=− x+2k. 1 2 2 2 当x=m2时,y −y = 1 m2−2− ( − 1 m2+2k ) =m2−2k−2. 1 2 2 2 ∵ k≤−2, ∴ −2k−2≥2. ∵ m2≥0, ∴ m2−2k−2≥2. ∴ y −y ≥2. 1 2 (3)解:由题意得,二次函数y=nx2−4nx−5n(x≥0)的图象上的点的 “1级变换点”都在函数y=−nx2+4nx+5n(x≥0)的图象上. 由−nx2+4nx+5n=−x+5,整理得nx2−(4n+1)x+5−5n=0. ∵ △=[−(4n+1)] 2 −4n(5−5n)=36n2−12n+1=(6n−1) 2≥0, ∴函数y=−nx2+4nx+5n的图象与直线y=−x+5必有公共点. 由y=−nx2+4nx+5n=−n(x−5)(x+1)得该公共点为(5,0). 1 ①当n>0时,由(6n−1) 2≠0得n≠ . 6 又5n≤5得n≤1, 1 ∴ 00)的“关联抛物线”为C ,C 与y轴交于点E. 2 1 99关注公众号:陆陆高分冲刺 ~领取:最新版“小中高考-总复习”、最新试卷下载 (1)若点E的坐标为(0,−1),求C 的解析式; 1 (2)设C 的顶点为F,若△OEF是以OF为底的等腰三角形,求点E的坐标; 2 (3)过x轴上一点P,作x轴的垂线分别交抛物线C ,C ,于点M,N. 1 2 ①当MN=6a时,求点P的坐标; ②当a−4≤x≤a−2时,C 的最大值与最小值的差为2a,求a的值. 2 1 【答案】(1)y=2x2+ x−1 2 ( 13) (2) 0,− 6 (3)①P(−1,0)或(2,0);②a的值为√2或2−√2 【分析】(1)根据“关联抛物线”的定义可直接得出C 的解析式,再将该解析式化成顶点式,可得出C 2 2 的顶点坐标; (2)根据“关联抛物线”的定义可得C 的解析式,之后得到函数的顶点,过点F作FH⊥y轴于点H,连 2 接EF,进而得到OE,EH,FH,于是根据EF2=OE2即可得到结论; (3)①设点P的横坐标为m,则可表达点M和点N的坐标,根据两点间距离公式可表达MN的长,列出方 程,可求出点P的坐标; ②当a−4≤−2≤a−2时得出C 的最大值和最小值,进而列出方程,可求出a的值. 2 【详解】(1)解:∵C 与y轴交点的坐标为E(0,−1), 1 1 ∴4a−3=−1,解得a= . 2 1 ∴C 的解析式为y=2x2+ x−1 ; 1 2 (2)解:根据“关联抛物线”的定义可得C 的解析式为y=ax2+4ax+4a−3, 2 ∵y=ax2+4ax+4a−3=a(x+2) 2−3, ∴C 的顶点F的坐标为(−2,−3) 2 易得点E(0,4a−3), 过点F作FH⊥y轴于点H,连接EF. 100关注公众号:陆陆高分冲刺 ~领取:最新版“小中高考-总复习”、最新试卷下载 ∴OE=3−4a,EH=4a,FH=2, ∵OE=EF, ∴EF2=OE2,即22+(4a) 2=(3−4a) 2. 5 解得a= , 24 ( 13) ∴点E的坐标为 0,− ; 6 (3)解:①设点P的横坐标为m, ∵过点P作x轴的垂线分别交抛物线C ,C 于点M,N, 1 2 ∴M(m,4am2+am+4a−3),N(m,am2+4am+4a−3), ∴MN=|4am2+am+4a−3−(am2+4am+4a−3)|=|3am2−3am|, ∵MN=6a, ∴|3am2−3am|=6a,解得m=−1或m=2, ∴P(−1,0)或P(2,0); ②∵C 的解析式为y=a(x+2) 2−3, 2 ∴当x=−2时,y=−3, 当x=a−4时,y=a(a−4+2) 2−3=a(a−2) 2−3; 当x=a−2时,y=a(a−2+2) 2−3=a3−3. 101关注公众号:陆陆高分冲刺 ~领取:最新版“小中高考-总复习”、最新试卷下载 根据题意可知,需要分三种情况讨论: Ⅰ.当a−4<−2