当前位置:首页>文档>重难点05五种数列通项求法(核心考点讲与练)-2023年高考数学一轮复习核心考点讲与练(新高考专用)(解析版)_02高考数学_新高考复习资料_2023年新高考资料_一轮复习

重难点05五种数列通项求法(核心考点讲与练)-2023年高考数学一轮复习核心考点讲与练(新高考专用)(解析版)_02高考数学_新高考复习资料_2023年新高考资料_一轮复习

  • 2026-04-21 03:22:04 2026-04-21 03:22:04

文档预览

重难点05五种数列通项求法(核心考点讲与练)-2023年高考数学一轮复习核心考点讲与练(新高考专用)(解析版)_02高考数学_新高考复习资料_2023年新高考资料_一轮复习
重难点05五种数列通项求法(核心考点讲与练)-2023年高考数学一轮复习核心考点讲与练(新高考专用)(解析版)_02高考数学_新高考复习资料_2023年新高考资料_一轮复习
重难点05五种数列通项求法(核心考点讲与练)-2023年高考数学一轮复习核心考点讲与练(新高考专用)(解析版)_02高考数学_新高考复习资料_2023年新高考资料_一轮复习
重难点05五种数列通项求法(核心考点讲与练)-2023年高考数学一轮复习核心考点讲与练(新高考专用)(解析版)_02高考数学_新高考复习资料_2023年新高考资料_一轮复习
重难点05五种数列通项求法(核心考点讲与练)-2023年高考数学一轮复习核心考点讲与练(新高考专用)(解析版)_02高考数学_新高考复习资料_2023年新高考资料_一轮复习
重难点05五种数列通项求法(核心考点讲与练)-2023年高考数学一轮复习核心考点讲与练(新高考专用)(解析版)_02高考数学_新高考复习资料_2023年新高考资料_一轮复习
重难点05五种数列通项求法(核心考点讲与练)-2023年高考数学一轮复习核心考点讲与练(新高考专用)(解析版)_02高考数学_新高考复习资料_2023年新高考资料_一轮复习
重难点05五种数列通项求法(核心考点讲与练)-2023年高考数学一轮复习核心考点讲与练(新高考专用)(解析版)_02高考数学_新高考复习资料_2023年新高考资料_一轮复习
重难点05五种数列通项求法(核心考点讲与练)-2023年高考数学一轮复习核心考点讲与练(新高考专用)(解析版)_02高考数学_新高考复习资料_2023年新高考资料_一轮复习
重难点05五种数列通项求法(核心考点讲与练)-2023年高考数学一轮复习核心考点讲与练(新高考专用)(解析版)_02高考数学_新高考复习资料_2023年新高考资料_一轮复习
重难点05五种数列通项求法(核心考点讲与练)-2023年高考数学一轮复习核心考点讲与练(新高考专用)(解析版)_02高考数学_新高考复习资料_2023年新高考资料_一轮复习
重难点05五种数列通项求法(核心考点讲与练)-2023年高考数学一轮复习核心考点讲与练(新高考专用)(解析版)_02高考数学_新高考复习资料_2023年新高考资料_一轮复习
重难点05五种数列通项求法(核心考点讲与练)-2023年高考数学一轮复习核心考点讲与练(新高考专用)(解析版)_02高考数学_新高考复习资料_2023年新高考资料_一轮复习
重难点05五种数列通项求法(核心考点讲与练)-2023年高考数学一轮复习核心考点讲与练(新高考专用)(解析版)_02高考数学_新高考复习资料_2023年新高考资料_一轮复习
重难点05五种数列通项求法(核心考点讲与练)-2023年高考数学一轮复习核心考点讲与练(新高考专用)(解析版)_02高考数学_新高考复习资料_2023年新高考资料_一轮复习
重难点05五种数列通项求法(核心考点讲与练)-2023年高考数学一轮复习核心考点讲与练(新高考专用)(解析版)_02高考数学_新高考复习资料_2023年新高考资料_一轮复习
重难点05五种数列通项求法(核心考点讲与练)-2023年高考数学一轮复习核心考点讲与练(新高考专用)(解析版)_02高考数学_新高考复习资料_2023年新高考资料_一轮复习
重难点05五种数列通项求法(核心考点讲与练)-2023年高考数学一轮复习核心考点讲与练(新高考专用)(解析版)_02高考数学_新高考复习资料_2023年新高考资料_一轮复习
重难点05五种数列通项求法(核心考点讲与练)-2023年高考数学一轮复习核心考点讲与练(新高考专用)(解析版)_02高考数学_新高考复习资料_2023年新高考资料_一轮复习
重难点05五种数列通项求法(核心考点讲与练)-2023年高考数学一轮复习核心考点讲与练(新高考专用)(解析版)_02高考数学_新高考复习资料_2023年新高考资料_一轮复习
重难点05五种数列通项求法(核心考点讲与练)-2023年高考数学一轮复习核心考点讲与练(新高考专用)(解析版)_02高考数学_新高考复习资料_2023年新高考资料_一轮复习
重难点05五种数列通项求法(核心考点讲与练)-2023年高考数学一轮复习核心考点讲与练(新高考专用)(解析版)_02高考数学_新高考复习资料_2023年新高考资料_一轮复习
重难点05五种数列通项求法(核心考点讲与练)-2023年高考数学一轮复习核心考点讲与练(新高考专用)(解析版)_02高考数学_新高考复习资料_2023年新高考资料_一轮复习
重难点05五种数列通项求法(核心考点讲与练)-2023年高考数学一轮复习核心考点讲与练(新高考专用)(解析版)_02高考数学_新高考复习资料_2023年新高考资料_一轮复习
重难点05五种数列通项求法(核心考点讲与练)-2023年高考数学一轮复习核心考点讲与练(新高考专用)(解析版)_02高考数学_新高考复习资料_2023年新高考资料_一轮复习
重难点05五种数列通项求法(核心考点讲与练)-2023年高考数学一轮复习核心考点讲与练(新高考专用)(解析版)_02高考数学_新高考复习资料_2023年新高考资料_一轮复习
重难点05五种数列通项求法(核心考点讲与练)-2023年高考数学一轮复习核心考点讲与练(新高考专用)(解析版)_02高考数学_新高考复习资料_2023年新高考资料_一轮复习
重难点05五种数列通项求法(核心考点讲与练)-2023年高考数学一轮复习核心考点讲与练(新高考专用)(解析版)_02高考数学_新高考复习资料_2023年新高考资料_一轮复习
重难点05五种数列通项求法(核心考点讲与练)-2023年高考数学一轮复习核心考点讲与练(新高考专用)(解析版)_02高考数学_新高考复习资料_2023年新高考资料_一轮复习
重难点05五种数列通项求法(核心考点讲与练)-2023年高考数学一轮复习核心考点讲与练(新高考专用)(解析版)_02高考数学_新高考复习资料_2023年新高考资料_一轮复习
重难点05五种数列通项求法(核心考点讲与练)-2023年高考数学一轮复习核心考点讲与练(新高考专用)(解析版)_02高考数学_新高考复习资料_2023年新高考资料_一轮复习
重难点05五种数列通项求法(核心考点讲与练)-2023年高考数学一轮复习核心考点讲与练(新高考专用)(解析版)_02高考数学_新高考复习资料_2023年新高考资料_一轮复习
重难点05五种数列通项求法(核心考点讲与练)-2023年高考数学一轮复习核心考点讲与练(新高考专用)(解析版)_02高考数学_新高考复习资料_2023年新高考资料_一轮复习
重难点05五种数列通项求法(核心考点讲与练)-2023年高考数学一轮复习核心考点讲与练(新高考专用)(解析版)_02高考数学_新高考复习资料_2023年新高考资料_一轮复习
重难点05五种数列通项求法(核心考点讲与练)-2023年高考数学一轮复习核心考点讲与练(新高考专用)(解析版)_02高考数学_新高考复习资料_2023年新高考资料_一轮复习
重难点05五种数列通项求法(核心考点讲与练)-2023年高考数学一轮复习核心考点讲与练(新高考专用)(解析版)_02高考数学_新高考复习资料_2023年新高考资料_一轮复习
重难点05五种数列通项求法(核心考点讲与练)-2023年高考数学一轮复习核心考点讲与练(新高考专用)(解析版)_02高考数学_新高考复习资料_2023年新高考资料_一轮复习
重难点05五种数列通项求法(核心考点讲与练)-2023年高考数学一轮复习核心考点讲与练(新高考专用)(解析版)_02高考数学_新高考复习资料_2023年新高考资料_一轮复习
重难点05五种数列通项求法(核心考点讲与练)-2023年高考数学一轮复习核心考点讲与练(新高考专用)(解析版)_02高考数学_新高考复习资料_2023年新高考资料_一轮复习
重难点05五种数列通项求法(核心考点讲与练)-2023年高考数学一轮复习核心考点讲与练(新高考专用)(解析版)_02高考数学_新高考复习资料_2023年新高考资料_一轮复习
重难点05五种数列通项求法(核心考点讲与练)-2023年高考数学一轮复习核心考点讲与练(新高考专用)(解析版)_02高考数学_新高考复习资料_2023年新高考资料_一轮复习
重难点05五种数列通项求法(核心考点讲与练)-2023年高考数学一轮复习核心考点讲与练(新高考专用)(解析版)_02高考数学_新高考复习资料_2023年新高考资料_一轮复习
重难点05五种数列通项求法(核心考点讲与练)-2023年高考数学一轮复习核心考点讲与练(新高考专用)(解析版)_02高考数学_新高考复习资料_2023年新高考资料_一轮复习
重难点05五种数列通项求法(核心考点讲与练)-2023年高考数学一轮复习核心考点讲与练(新高考专用)(解析版)_02高考数学_新高考复习资料_2023年新高考资料_一轮复习
重难点05五种数列通项求法(核心考点讲与练)-2023年高考数学一轮复习核心考点讲与练(新高考专用)(解析版)_02高考数学_新高考复习资料_2023年新高考资料_一轮复习
重难点05五种数列通项求法(核心考点讲与练)-2023年高考数学一轮复习核心考点讲与练(新高考专用)(解析版)_02高考数学_新高考复习资料_2023年新高考资料_一轮复习
重难点05五种数列通项求法(核心考点讲与练)-2023年高考数学一轮复习核心考点讲与练(新高考专用)(解析版)_02高考数学_新高考复习资料_2023年新高考资料_一轮复习
重难点05五种数列通项求法(核心考点讲与练)-2023年高考数学一轮复习核心考点讲与练(新高考专用)(解析版)_02高考数学_新高考复习资料_2023年新高考资料_一轮复习
重难点05五种数列通项求法(核心考点讲与练)-2023年高考数学一轮复习核心考点讲与练(新高考专用)(解析版)_02高考数学_新高考复习资料_2023年新高考资料_一轮复习
重难点05五种数列通项求法(核心考点讲与练)-2023年高考数学一轮复习核心考点讲与练(新高考专用)(解析版)_02高考数学_新高考复习资料_2023年新高考资料_一轮复习
重难点05五种数列通项求法(核心考点讲与练)-2023年高考数学一轮复习核心考点讲与练(新高考专用)(解析版)_02高考数学_新高考复习资料_2023年新高考资料_一轮复习
重难点05五种数列通项求法(核心考点讲与练)-2023年高考数学一轮复习核心考点讲与练(新高考专用)(解析版)_02高考数学_新高考复习资料_2023年新高考资料_一轮复习
重难点05五种数列通项求法(核心考点讲与练)-2023年高考数学一轮复习核心考点讲与练(新高考专用)(解析版)_02高考数学_新高考复习资料_2023年新高考资料_一轮复习
重难点05五种数列通项求法(核心考点讲与练)-2023年高考数学一轮复习核心考点讲与练(新高考专用)(解析版)_02高考数学_新高考复习资料_2023年新高考资料_一轮复习
重难点05五种数列通项求法(核心考点讲与练)-2023年高考数学一轮复习核心考点讲与练(新高考专用)(解析版)_02高考数学_新高考复习资料_2023年新高考资料_一轮复习
重难点05五种数列通项求法(核心考点讲与练)-2023年高考数学一轮复习核心考点讲与练(新高考专用)(解析版)_02高考数学_新高考复习资料_2023年新高考资料_一轮复习
重难点05五种数列通项求法(核心考点讲与练)-2023年高考数学一轮复习核心考点讲与练(新高考专用)(解析版)_02高考数学_新高考复习资料_2023年新高考资料_一轮复习
重难点05五种数列通项求法(核心考点讲与练)-2023年高考数学一轮复习核心考点讲与练(新高考专用)(解析版)_02高考数学_新高考复习资料_2023年新高考资料_一轮复习
重难点05五种数列通项求法(核心考点讲与练)-2023年高考数学一轮复习核心考点讲与练(新高考专用)(解析版)_02高考数学_新高考复习资料_2023年新高考资料_一轮复习
重难点05五种数列通项求法(核心考点讲与练)-2023年高考数学一轮复习核心考点讲与练(新高考专用)(解析版)_02高考数学_新高考复习资料_2023年新高考资料_一轮复习
重难点05五种数列通项求法(核心考点讲与练)-2023年高考数学一轮复习核心考点讲与练(新高考专用)(解析版)_02高考数学_新高考复习资料_2023年新高考资料_一轮复习
重难点05五种数列通项求法(核心考点讲与练)-2023年高考数学一轮复习核心考点讲与练(新高考专用)(解析版)_02高考数学_新高考复习资料_2023年新高考资料_一轮复习
重难点05五种数列通项求法(核心考点讲与练)-2023年高考数学一轮复习核心考点讲与练(新高考专用)(解析版)_02高考数学_新高考复习资料_2023年新高考资料_一轮复习
重难点05五种数列通项求法(核心考点讲与练)-2023年高考数学一轮复习核心考点讲与练(新高考专用)(解析版)_02高考数学_新高考复习资料_2023年新高考资料_一轮复习
重难点05五种数列通项求法(核心考点讲与练)-2023年高考数学一轮复习核心考点讲与练(新高考专用)(解析版)_02高考数学_新高考复习资料_2023年新高考资料_一轮复习
重难点05五种数列通项求法(核心考点讲与练)-2023年高考数学一轮复习核心考点讲与练(新高考专用)(解析版)_02高考数学_新高考复习资料_2023年新高考资料_一轮复习
重难点05五种数列通项求法(核心考点讲与练)-2023年高考数学一轮复习核心考点讲与练(新高考专用)(解析版)_02高考数学_新高考复习资料_2023年新高考资料_一轮复习
重难点05五种数列通项求法(核心考点讲与练)-2023年高考数学一轮复习核心考点讲与练(新高考专用)(解析版)_02高考数学_新高考复习资料_2023年新高考资料_一轮复习
重难点05五种数列通项求法(核心考点讲与练)-2023年高考数学一轮复习核心考点讲与练(新高考专用)(解析版)_02高考数学_新高考复习资料_2023年新高考资料_一轮复习
重难点05五种数列通项求法(核心考点讲与练)-2023年高考数学一轮复习核心考点讲与练(新高考专用)(解析版)_02高考数学_新高考复习资料_2023年新高考资料_一轮复习
重难点05五种数列通项求法(核心考点讲与练)-2023年高考数学一轮复习核心考点讲与练(新高考专用)(解析版)_02高考数学_新高考复习资料_2023年新高考资料_一轮复习
重难点05五种数列通项求法(核心考点讲与练)-2023年高考数学一轮复习核心考点讲与练(新高考专用)(解析版)_02高考数学_新高考复习资料_2023年新高考资料_一轮复习
重难点05五种数列通项求法(核心考点讲与练)-2023年高考数学一轮复习核心考点讲与练(新高考专用)(解析版)_02高考数学_新高考复习资料_2023年新高考资料_一轮复习
重难点05五种数列通项求法(核心考点讲与练)-2023年高考数学一轮复习核心考点讲与练(新高考专用)(解析版)_02高考数学_新高考复习资料_2023年新高考资料_一轮复习
重难点05五种数列通项求法(核心考点讲与练)-2023年高考数学一轮复习核心考点讲与练(新高考专用)(解析版)_02高考数学_新高考复习资料_2023年新高考资料_一轮复习
重难点05五种数列通项求法(核心考点讲与练)-2023年高考数学一轮复习核心考点讲与练(新高考专用)(解析版)_02高考数学_新高考复习资料_2023年新高考资料_一轮复习

文档信息

文档格式
docx
文档大小
3.283 MB
文档页数
72 页
上传时间
2026-04-21 03:22:04

文档内容

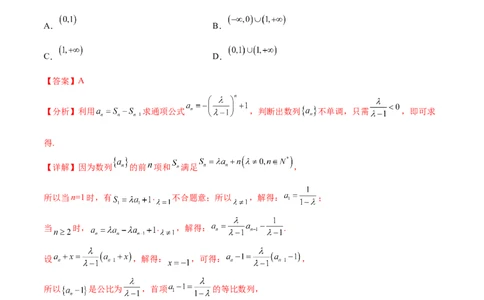
重难点 05 五种数列通项求法(核心考点讲与练) 能力拓展 题型一:公式法求数列通项 一、单选题 1.(2022·北京·二模)已知 为等差数列,首项 ,公差 ,若 ,则 ( ) A.1 B.2 C.3 D.4 【答案】D 【分析】首先求出通项公式,再代入得到方程,解得即可; 【详解】解:因为首项 ,公差 ,所以 , 因为 ,所以 ,解得 故选:D 2.(2022·河南·方城第一高级中学模拟预测(文))已知 为公差不为0的等差数列 的前n项和.若 , , , 成等比数列,则 ( ) A.11 B.13 C.23 D.24 【答案】C 【分析】设出公差,利用 , , 成等比数列,列出方程,求出公差,求出答案. 【详解】设等差数列 的公差为 , 因为 , , 成等比数列, 所以 , 化简得 (舍去)或 , 所以 .故选:C 3.(2022·陕西西安·三模(理))“中国剩余定理”又称“孙子定理”,可见于中国南北朝时期的数学著 作《孙子算经》卷下中的“物不知数”问题,原文如下:今有物不知其数,三三数之剩二,五五数之剩三, 七七数之剩二问物几何?现有一个相关的问题:将1到2022这2022个自然数中被3除余2且被5除余4的 数按照从小到大的顺序排成一列,构成一个数列14,29,44,…,则该数列的项数为( ) A.132 B.133 C.134 D.135 【答案】C 【分析】先得到新数列14,29,44,…是首项为14,公差为15的等差数列,求出通项公式,解不等式求 出数列的项数. 【详解】由题意得:新数列14,29,44,…是首项为14,公差为15的等差数列, 设新数列为 ,则通项公式为 , 令 ,解得: , 因为 ,所以这个数列的项数为134. 故选:C 4.(2022·新疆·三模(文))已知数列 是以1为首项,3为公差的等差数列, 是以1为首项,3为 公比的等比数列,设 , ,当 时,n的最大值为( ) A.4 B.5 C.6 D.7 【答案】C 【分析】先求出 ,进而得到 ,由分组求和得 ,由 判断出 为递增数 列,计算出 即可求解. 【详解】由题意知: , , , 又 ,故 为递增数列,又 , 故当 时,n的最大值为6. 故选:C. 5.(2022·浙江绍兴·模拟预测)已知数列 的前 项和 满足 .若存在 ,使得 ,则实数 的取值范围是( ) A. B. C. D. 【答案】A 【分析】利用 求通项公式 ,判断出数列 不单调,只需 ,即可求 得. 【详解】因为数列 的前 项和 满足 , 所以当n=1时,有 . 不合题意;所以 ,解得: ; 当 时, . ,解得: . 设 ,解得: ,可得: , 所以 是公比为 ,首项 的等比数列, 所以 ,所以 . 经检验, 对n=1也成立. 若存在 ,使得 ,则数列 不单调.只需 ,则 正负项交替出现,符合题意,此时 . 当 时, 单调递增,不符合题意; 当 时, 单调递减,不符合题意; 而 . 综上所述: . 故选:A 二、多选题 6.(2021·广东·高三阶段练习)已知Sn为等差数列{an}的前n项和,a+S=-18,a=-a,则( ) 3 5 6 3 A.an=2n-9 B.an=2n-7 C.Sn=n2-8n D.Sn=n2-6n 【答案】AC 【分析】利用等差数列的前n项和公式以及通项公式求出首项与公差进而可以求出结果. 【详解】因为 ,所以 .又 ,所以 , ,则 , . 故选:AC. 7.(2022·全国·高三专题练习)我国古代著名的数学专著《九章算术》里有一段叙述:“今有良马和驽马 发长安至齐,良马初日行一百九十三里,日增十三里;驽马初日行九十七里,日减半里.良马先至齐,复还 迎驽马,九日后二马相逢.”其大意为今有良马和驽马从长安出发到齐国,良马第一天走193里,以后每天 比前一天多走13里;驽马第一天走97里,以后每天比前一天少走 里.良马先到齐国,再返回迎接驽马, 9天后两马相遇.下列结论正确的是( ) A.长安与齐国两地相距1530里 B.3天后,两马之间的距离为 里 C.良马从第6天开始返回迎接驽马 D.8天后,两马之间的距离为 里 【答案】AB【分析】A, 设良马第 天行走的路程里数为 ,驽马第 天行走的路程里数为 ,求出良马和驽马各自走 的路程即得A正确; B,计算得到3天后,两马之间的距离为 里,即可判断B正确; C,计算得到良马前6天共行走了 里 里,故C不正确; D,计算得到8天后,两马之间的距离为390里,故D不正确. 【详解】解:设良马第 天行走的路程里数为 ,驽马第 天行走的路程里数为 ,则 . 良马这9天共行走了 里路程, 驽马这9天共行走了 里路程, 故长安与齐国两地相距 里,A正确. 3天后,良马共行走了 里路程,驽马共行走了 里路程,故它们之间的 距离为328.5里,B正确. 良马前6天共行走了 里 里,故良马行走6天还末到达齐国,C不正确. 良马前7天共行走了 里 里,则良马从第7天开始返回迎接驽马,故8天后, 两马之间的距离即两马第9天行走的距离之和,由 ,知8天后,两 马之间的距离为390里,故D不正确. 故选:AB 8.(2021·福建师大附中高三期中)各项均为正数的等比数列 的前 项积为 ,若 ,公比 , 则下列命题正确的是( ) A.若 ,则必有 B.若 ,则必有 是 中最大的项C.若 ,则必有 D.若 ,则必有 【答案】ABC 【分析】根据题意,结合等比数列的通项公式、等差数列的前n项和公式,以及等比数列的性质,逐项分 析,即可求解. 【详解】由等比数列 可知 ,由等比数列 的前 项积结合等差数列性质可知: 对于A,若 ,可得 ,即 , ,故A正确; 对于B,若 ,可得 ,即 ,又 ,故 ,又 ,可知 ,利用等比数 列性质知 ,可知 ,故 是 中最大的项,故B正确; 对于C,若 ,则 ,即 ,又 ,则 ,可得 ,故 , 故C正确; 对于D,若 ,则 , ,无法判断其与“1”的大小关系,故D错误. 故选:ABC 【点睛】关键点点睛:本题主要考查了等比数列的通项公式及等差数列前n项和公式,以及等比数列的性 质的应用,其中解答中熟记等比数列的通项公式和性质及等差数列的求和公式,准确运算是解答的关键, 着重考查了学生的推理与运算能力,属于较难题. 9.(2021·江苏南通·高三期中)在数列 中,已知 是首项为1,公差为1的等差数列, 是公差为 的等差数列,其中 ,则下列说法正确的是( ) A.当 时, B.若 ,则 C.若 ,则 D.当 时, 【答案】ACD【分析】利用等差数列的通项公式可判断A;利用已知条件结合等差数列的通项公式可判断B;利用等差 数列的求和公式可判断C;利用等比数列求和公式可判断D. 【详解】对于A,当 时, ,可知数列 是首项为1,公差为1的等差数列,所以 ,故A正确; 对于B,由已知 , 是公差为 的等差数列,则 , 是公差为 的等差数列,则 ,即 ,解得: 或 ,故B错误; 对于C, ,解得: ,故C正确; 对于D, ,故D正确; 故选:ACD 三、填空题 10.(2022·河南洛阳·三模(文))设各项为正数的等比数列 的前 项和为 ,且 , , 则 ___________. 【答案】 【分析】设公比为 ,依题意得到方程,求出 ,即可得解; 【详解】解:依题意设公比为 ,由 ,即 ,即 , 所以 ,即 ,解得 或 (舍去); 所以 ; 故答案为: 11.(2022·江西景德镇·三模(文))已知数列 和正项数列 ,其中 ,且满足,数列 满足 ,其中 .对于某个给定 或 的值,则下列结论中: ① ;② ;③数列 单调递减;④数列 单调递增.其中正确命题的序号为 ___________. 【答案】①②④ 【分析】根据 得 ,结合 ,解得 ,得 ,可判断①; 根据 , ,得 ,得 ,可判断②; 求出 ,利用 恒成立,可判断③; 由 , 得 , ,两式相减得 ,根据 ,结合 , ,可得 ,可 判断④. 【详解】依题意有 ,所以 ,所以 , 又 ,所以 ,解得 ,所以 ,即 ,故①正确; 因为 ,所以 ,又 , 所以 ,所以 ,所以 ,所以 ,即 ,故②正确; 因为 且 ,所以 ,所以 恒成立,所以数 列 单调递增;故③不正确; 由 得 ,由 得 ,所以 , 所以 , 所以 , 两式相减得 , 所以 , 由③知, 递增,所以 ,又 , 所以 , 因为 ,所以 ,所以 , 所以 ,所以 ,所以 ,又 为正项数列,所以 恒成立, 综上所述,数列 单调递增.故④正确. 故答案为:①②④. 【点睛】关键点点睛:判断数列 的单调性时,利用平方关系式消去 和 得到 是解题关键. 四、解答题 12.(2022·河北保定·二模)已知公差为2的等差数列 的前n项和为 ,且 . (1)求 的通项公式. (2)若 ,数列 的前n项和为 ,证明 . 【答案】(1) (2)证明见解析 【分析】(1)利用等差数列求和公式求出首项,从而求出通项公式;(2)裂项相消法求和证明不等式.(1)由题意,得 , 解得: , 故 . (2)证明:因为 , 所以 , 因为 , 所以 . 13.(2022·福建龙岩·模拟预测)已知等差数列 的前n项和为 , , . (1)求 的通项公式; (2)设 ,数列 的前n项和为 ,证明:当 , 时, . 【答案】(1) ;(2)证明见解析﹒ 【分析】(1)根据题中条件列出关于 和d的方程组,解出 和d,根据等差数列通项公式即可求 ; (2)分母有理化 ,裂项相消即可求 ,当 , 时,证明 即可. (1)由题可知, ,解得 ,∴ ;(2) , , , , . 14.(2022·陕西·西安中学模拟预测(文))记 为等比数列 的前 项和,且公比 ,已知 , . (1)求 的通项公式; (2)设 ,若 是递增数列,求实数 的取值范围. 【答案】(1) (2) 【分析】(1)利用等比数列通项公式和前n项和公式的基本量进行运算即可. (2) 是递增数列,利用 恒成立即可求解. (1)∵等比数列 中, , , ∴ ,解得 或 (舍), ∴ . (2)由 ,得 , 则 , 因为 是递增数列,所以 ,故 ,即 ,因为 是递减数列,所以该数列的最大项是 , 所以 的取值范围是 . 15.(2022·山东临沂·模拟预测)等比数列 中, , , 分别是下表第一、二、三行中的某一个数, 且 , , 中的任何两个数不在下表的同一列. 第一列 第二列 第三列 第一行 3 2 10 第二行 6 4 14 第三行 9 8 18 (1)求数列 的通项公式; (2)若数列 满足: ,求数列 的前 项和 . 【答案】(1) (2) 【分析】(1)先得到 , , ,求出公比,从而求出等比数列的通项公式;(2)求出 ,分组求和得到 ,从而求出 . (1)由题意知: , , , 因为 是等比数列,所以公比为3, 所以数列 的通项公式 . (2)因为 , 所以, 所以 . 题型二:Sn和an关系法求数列通项 一、单选题 1.(2022·四川·内江市教育科学研究所三模(理))已知等比数列 的公比为q,前n项和为 .若 , ,则 ( ) A.3 B.2 C. D. 【答案】A 【分析】将题中两等式作差可得出 ,整理得出 ,由此可计算出 的值. 【详解】将等式 与 作差得 , , 因此,该等比数列的公比 , 故选:A. 2.(2022·福建三明·模拟预测)已知数列 的前n项和为 ,若 ,且 ,则 ( ) A.-8 B.-3 C.-2 D.8 【答案】B 【分析】先由 求 ,判断出 从第二项起为公比为-1的等比数列,得到 ,代入n=2022即可解出 . 【详解】因为 ①,所以当 时,有 ,即 . 当 时,有 ②, ①-②得: ,所以 , 即 , 所以 从第二项起为公比为-1的等比数列. 所以 ,即 . 因为 ,所以 ,所以 . 所以 ,解得: -3. 故选:B 3.(2022·四川·内江市教育科学研究所三模(文))设 为数列 的前 项和.若 ,则“ ”是“ ”的( ) A.充分不必要条件 B.必要不充分条件 C.充分必要条件 D.既不充分也不必要条件 【答案】A 【分析】用定义法,分充分性和必要性分别进行讨论. 【详解】因为 为数列 的前 项和,且 , 所以当 时, ; 当 时, ; 所以 充分性:当 时, .所以 ; ;.满足 ,所以充分性满足; 必要性:由 可得: , , ,符合 ,但是不能推出 .所以 必要性不满足. 故“ ”是“ ”的充分不必要条件. 故选:A 二、多选题 4.(2022·山东临沂·模拟预测)设数列 的前 项和为 ,已知 .数列 满足 ,则( ) A. B. C.数列 的前 项和 D.数列 的前 项和 【答案】AC 【分析】根据 与 的关系,即可求出 ,利用错位相减法即可求出数列 的前 项和 ,据此,逐个 选项判断即可得出答案. 【详解】对于A,因为 ,所以,当 时, ,得 , 当 时, ,经检验,当 时,不符合 , 所以, 故A正确;对于B,因为 ,得 ,故B错误; 对于C,数列 的前 项和 ①, ②,所以, 得, ,得 ,故C正确,D错误; 故选:AC 5.(2022·江苏江苏·三模)已知各项都是正数的数列 的前 项和为 ,且 ,则( ) A. 是等差数列 B. C. D. 【答案】ABD 【分析】对于A,求出 ,再将 转化为 ,即可证明, 对于B,利用A的结论求出 ,再利用基本不等式,即可证明. 对于C,求出 ,即可判断正误, 对于D,构造函数 ,即可判断正误 【详解】 , ,解得: 时, ,整理得: 故 是等差数列,选项A正确; ,则 , ,选项B正确; ,选项C错误; 令 , , 在 递增, ,则 即 ,选项D正确; 故选:ABD. 三、填空题 6.(2022·辽宁·二模)若数列 的前n项和 ,则其通项公式为_______. 【答案】 【分析】根据 ,即可解出. 【详解】当 时, ; 当 时, ,当 时,不满足上式,所以, .故答案为: . 7.(2022·安徽·模拟预测(理))已知数列 满足 ,则 ___________. 【答案】 【分析】在题干条件下求出 ,进而用错位相减法求和. 【详解】 ①, ②, 两式相减得: , 所以 ,经检验符合要求. 则 , 则 ③, ④, ③-④得: , 所以 故答案为: 8.(2022·山东淄博·模拟预测)设等差数列 的前n项和为 ,若 , , ,则 ______.【答案】4 【分析】先利用 关系式,求出公差,进而用通项公式和求和公式得到方程组,求出 . 【详解】由题意得: , , 则等差数列的公差 , 则 , , 解得: 或 (舍去). 故答案为:4 9.(2022·四川绵阳·三模(理))已知数列 的前n项和为 ,若 , ,则 ______. 【答案】123 【分析】由已知,根据给的 ,通过 ,计算出 , 得到 之间的关系,然后构造 等比数列,得到数列 的通项公式,然后求和即可. 【详解】由已知, , ①, 当 时, , 当 时, ②, ① ②得: ,整理得: ,即 , 所以数列 是以 为首项,公比为2的等比数列,所以 , 所以 , 所以 . 故答案为:123.四、解答题 10.(2022·福建泉州·模拟预测)记数列{ }的前n项和为 .已知 ,___________. 从① ;② ;③ 中选出一个能确定{ }的条件, 补充到上面横线处,并解答下面的问题. (1)求{ }的通项公式: (2)求数列{ }的前20项和 . 【答案】(1) (2)210 【分析】(1)选①时, 未知,故数列的偶数项不确定,无法求解;选②,变形为 ,且 ,从而求出 ;选③:利用 与 的关 系式得到 ,利用等差数列求出通项;(2)在第一问的基础上,求出 ,从而分组进行求和. (1)选①: , 只能说明数列 的奇数项和偶数项分别构成等差数列,已知 ,数列的奇数项可以确定,但 未知, 故数列的偶数项不确定,因此数列 不确定,题设的两个条件均无法求解, 选②: , 由 得: , 因为 ,所以 故 ,即 ;选③: 由 得: ,故 当 时, , 两式相减得: , 又因为 满足 , 综上:对所有的 ,均有 , 所以 为首项为1,公差为2的等差数列, 故 (2)由(1)知: , 所以 , 故 , 所以 11.(2022·湖南·长沙一中一模)已知数列 的前n项和为 , , . (1)证明:数列 为等比数列; (2)在 和 中插入k个数构成一个新数列 : , , , , , , , , , , …,其中插入的所有数依次构成数列 ,通项公式 .求数列 的前30项和 . 【答案】(1)证明见解析(2) 【分析】(1)由已知 及 ,求得 的递推关系,从而可证 为等 比数列得;(2)插入k个数构成一个新数列 ,则数列 的前30项和 包含了数列 的前7项及数列 的 前23项,采用分组求和法求解即可. (1)由题意,当 时, , 得 ,解得 . 当 时, ,① ,② ①-②得 , 因为 , 所以 . 则 , ∵ ,∴ 所以 是以 为首项,2为公比的等比数列. (2)由(1)知 , . 在数列 中,项 之前(含 )共有 , 所以数列 的前30项中包含了数列 的前7项及数列 的前23项, 所以 .12.(2022·广东·三模)已知数列{ }的前n项和 , , , . (1)计算 的值,求{ }的通项公式; (2)设 ,求数列{ }的前n项和 . 【答案】(1) , (2) 【分析】(1)赋值即可求出 ,利用 与 的关系可求得 的递推关系,进而求出 (2)对 分奇 偶讨论,当n为偶数时,采用并项法求和,当n为奇数时, (1)当 时, ,解得 由题知 ① ② 由② ①得 , 因为 ,所以 所以数列 的奇数项是以 为首项,以4为公差的等差数列;偶数项是以 为首项,以4为公差 的等差数列; 当n为奇数时, 当n为偶数时, 所以 的通项公式 . (2)由(1)可得 . 当n为偶数时,当n为奇数时, 当 时, 当 时, 经检验, 也满足上式, 所以当n为奇数时, 综上,数列 的前n项和 13.(2022·内蒙古呼和浩特·二模(理))从① ,② ,这两个条件中选 择一个补充到下面问题中,并完成解答. 问题:已知数列 的前n项和为 ,且______, 为等差数列, , , , 成等差数列. (1)写出所选条件的序号,并求数列 、 的通项公式; (2)若 ,求数列 的前n项和 . 【答案】(1) , ;(2) . 【分析】(1)选择条件①和②,都是利用 与 的关系先求出数列 的通项,再求出等差数列的公差 即得 的通项公式; (2)利用裂项相消法求解. (1)解:选择条件①:由题意知: ,即 , 当 时, , 当 时, ,适合 . 综上数列 的通项公式为 . 选择条件②:由题意知: , 当 时, 解得 , 当 时, , , ∴ , 整理得 , ∴数列 是以2为首项,2为公比的等比数列, ∴ . ∵ , , 为等差数列, ∴ , 又∵数列 为等差数列,设公差为d且 , ∴ , 解得 , 所以等差数列 的通项公式为 . (2)解:由(1)知, , ,∴ , ∴ , ∴ . 14.(2022·湖南师大附中二模)已知数列 的前n项和为 , . (1)求数列 的通项公式; (2)若 ,则在数列 中是否存在连续的两项,使得它们与后面的某一项依原来顺序构成等差数 列?若存在,请举例写出此三项;若不存在,请说明理由. 【答案】(1) (2)存在, , , 【分析】(1)先求出 ,再当 时,由 ,得 ,两式相减整理可得 ,从而可求出其通项公式, (2)由(1)得 ,然后可得 , , 构成等差数列 (1)当 时, ,可得 ; 当 时, ,所以 ,即 , 因为 ,所以数列 是以2为首项,2为公比的等比数列, 所以 . (2)由 , 当 , ,显然不适合; , 适合,即 , , 构成公差为 的等差数列. 15.(2022·江苏江苏·三模)已知数列 的前 项和为 ,各项均为正数的数列 的前 项积为 , 且 , , . (1)求 的通项公式; (2)证明: 为等比数列. 【答案】(1) (2)证明见解析 【分析】(1)根据 可求得答案; (2)根据 ,证明 的定值,即可得证. (1)解:当 时, , , 当 时, , 所以 , 所以数列 是以1为首项,2为公比的等比数列, 所以 ; (2)证明: , , 当 时, ,则 , 由于 ,则 , 所以数列 是等比数列.题型三:累加法求数列通项 一、单选题 1.(2022·陕西·模拟预测(理))已知数列 满足 , ,且 ,则 ( ) A.6065 B.6064 C.4044 D.4043 【答案】B 【分析】先由 得到 ,再利用裂项抵消法进行求解. 【详解】因为 , 所以 , 即 , 所以 , , , , 累加,得 , 即 ,即 ,n=1成立 则 . 故选:B. 2.(2022·江西赣州·二模(理))已知数列{ }满足 ,当n为奇数时 ,当n为偶数时 ,则 时, ( ) A. B. C. D. 【答案】C【分析】分析知:当 时 , ,两式相减得 ,则 时,利用 累加法即可求出答案. 【详解】由n为奇数时 ,当n为偶数时 ,可得当 时 , , 两式相减得 ,所以 时 . 故选:C. 3.(2022·黑龙江·哈九中三模(理))南宋数学家杨辉在《详解九章算法》和《算法通变本末》中,提出 了一些新的垛积公式,所讨论的高阶等差数列与一般等差数列不同,前后两项之差并不相等,但是逐项差 数之差或者高次差成等差数列,如数列1,3,6,10,前后两项之差得到新数列2,3,4,新数列2,3,4 为等差数列,这样的数列称为二阶等差数列.对这类高阶等差数列的研究,在杨辉之后一般称为“垛积 术”.现有高阶等差数列,其前7项分别为3,4,6,9,13,18,24,则该数列的第17项为( ) A.139 B.160 C.174 D.188 【答案】A 【分析】根据高阶等差数列的知识,结合累加法求出数列的通项公式,进而可以求解. 【详解】由题意可知,设该数列为 ,数列的前7项分别为3,4,6,9,13,18,24, 则数列 满足 , , 所以 . 所以 . 故选:A. 二、多选题 4.(2022·福建宁德·模拟预测)数列{ }中,设 .若 存在最大值,则 可以是( )A. B. C. D. 【答案】BD 【分析】根据数列的单调性即可判断. 【详解】对于A, , 当n趋于无穷大时, 也趋于无穷大, 故 不存在最大值; 对于B, , 当 为偶数时, ,当 为奇数时, , 故 的最大值为1; 对于C, , 当 时, ,∴ 时 是递增的数列,不存在最大值; 对于D, 即当 时, , , 即 时, ,所以 是递减的数列, 最大值为 ; 故选:BD. 5.(2022·山东日照·二模)已知数列 满足 , ,则下列说法正确的有 ( ) A. B.C.若 ,则 D. 【答案】BCD 【分析】直接计算出 即可判断A选项;构造函数函数 ,由 ,得到 ,进而判断B选项; 由 得到 ,再结合累乘法得到 ,按照等比数列求和公式即可判断C选项; 构造函数 ,由 得到 ,结合累乘法求得 ,按 照等比数列求和公式即可判断D选项. 【详解】 ,则 ,又 ,所以 ,A不正确. 令函数 ,则 ,则 在 上单调递减,在 上单调递增, ,即 ,又易得 是递增数列, ,故 ,所以 ,B正 确. 易知 是递增数列,所以 ,则 ,则 ,即 ,所以 ,即 ,所以 ,所以 ,而当 时,则有 ,C正确. 令函数 ,则 ,所以 在 上单调递减,所以当 时, ,则 , 所以 , , , 所以 ,D正确. 故选:BCD. 【点睛】本题关键点在于B选项通过构造函数 进行放缩得到 ,结合 即可判断;C选项由 放缩得到 ,D选项构造函数 得到 ,再结合累乘法和求和公式进行判断. 6.(2022·重庆·二模)设数列 的前n项和为 ,已知 ,且 ,则下列 结论正确的是( ) A. 是等比数列 B. 是等比数列 C. D.【答案】BC 【分析】由条件变形,先求 的通项公式,再判断选项 【详解】由题意得 ,故 是首项为2,公比为2的等比数列, ,则 .故B,C正确,A错误 , , 两式相减得: ,故D错误. 故选:BC 三、填空题 7.(2022·安徽·巢湖市第一中学高三期中(文))已知首项为1的数列 的前n项和为 ,正项等比数 列 满足 , ,若 ,且在数列 中,仅有5项不小于实数 ,则 实数 的取值范围为___________. 【答案】 【分析】根据等比数列定义和通项公式求出 ,从而求出 ,根据前n项和定义结合累加法求出 ,作差分析 的单调性,从而结合题意求解即可. 【详解】设 , 则根据 ,得 , 两式相除得 , 结合正项等比数列 知 ,所以 , 所以 , 因为 , 所以 , 即 , 所以 , 累加得 ;n=1成立 , , 所以当 时 , 所以数列 在 时单调递减, 根据题意需要 , 所以 , 则实数 的取值范围为: . 故答案为: .8.(2022·安徽滁州·二模(文))已知数列 满足: ,设 , .则 __________. 【答案】 【分析】利用配凑法、累加法求得 ,利用裂项求和法求得正确答案. 【详解】依题意 , , 所以数列 是首项 ,公比为 的等比数列, 所以 , . , 也满足, 所以 , , 所以 . 故答案为: 四、解答题 9.(2022·河南·灵宝市第一高级中学模拟预测(文))已知数列 满足 ,且 .(1)求数列 的通项公式; (2)若数列 满足 ,求数列 的前 项和 . 【答案】(1) (2) 【分析】(1)根据递推关系的特征采用累加法求解即可(2)根据数列 通项公式的特征采用错位相减 法求和 (1)因为 , 所以 , , … , 所以 . 又 ,所以 ,所以 . 又 ,也符合上式, 所以 . (2)结合(1)得 ,所以 ,① ,② ① ②,得, 所以 . 10.(2022·广东茂名·二模)已知数列 满足 , , . (1)证明:数列 是等比数列; (2)若 ,求数列 的前 项和 . 【答案】(1)证明见解析(2) 【分析】(1)由递推关系式可得 ,由等比数列定义可得结论; (2)利用等比数列通项公式和累加法可求得 ,由此可得 ,分别在 为偶数 和 为奇数的情况下,利用裂项相消法和 求得结果,综合两种情况可得 . (1)由 得: ,又 , 数列 是以 为首项, 为公比的等比数列. (2)由(1)得: , 则 , , ,…, , 各式作和得: , 又 , ,, 当 为偶数时, ; 当 为奇数时, ; 综上所述: . 11.(2022·全国·模拟预测)已知数列 满足 , . (1)求 的通项公式; (2)若 ,求 的前n项和 . 【答案】(1) (2) 【分析】(1)由 ,得到 ,结合累加法求得 ,进而求得数 列 的通项公式; (2)由(1)得 ,结合裂项求和法,即可求解. (1)解:由 ,可得 ,即 , 所以当 时, , , , ,将上述式子进行累加得 ,- 将 代入可得 ,即 . 当 时也满足上式, 所以数列 的通项公式 . (2)解:由(1)得 , 则 . 12.(2022·全国·模拟预测)若无穷数列 满足 是公差为k的等差数列,则称 为 数 列. (1)若 为 数列, , ,求数列 的通项公式; (2)数列 的前n项和为 , , , 为 数列,求证: . 【答案】(1) (2)证明见解析 【分析】(1)根据题意得到 是首项为1,公差为0的等差数列,进而得到 , 得出 是首项为1,公差为1的等差数列,即可求得数列 的通项公式; (2)由 ,利用累加法求得 ,得到 ,进而求得 ,利用 ,即可求解. (1)证明:由题意,数列 为 数列, ,所以 是首项为1,公差为0的等差数列,所以 , 又由 ,所以 是首项为1,公差为1的等差数列, 所以 ,所以数列 的通项公式 . (2)证明:由 , ,所以 , 依题意 是首项为2,公差为2的等差数列, 所以 . 因为 , , ,…, , 以上 个等式累加,得 , , 所以 , . 因为 满足上式,所以 . 当 时, , 且 满足上式,所以 . 因为 , 所以 . 题型四:累乘法求数列通项 一、单选题 1.(2022·河南·模拟预测(理))已知数列 中, , ,则满足 的n的最 大值为( )A.3 B.5 C.7 D.9 【答案】B 【分析】根据数列的递推关系式,运用累乘法计算出数列 的通项公式,再根据不等式求解n的最大值. 【详解】根据题意, 化简得, 运用累乘法计算得 , 且 , , 符合该式, 时, 时, ; 时, 所以满足条件的n的最大值为5. 故选:B. 2.(2022·浙江省义乌中学模拟预测)已知数列 满足 , 则下列有可能成立的是( ) A.若 为等比数列,则 B.若 为递增的等差数列,则 C.若 为等比数列,则D.若 为递增的等差数列,则 【答案】B 【分析】若 为等比数列,可得 ,进而可得 可判断AC;若 为递增的等 差数列,利用累乘法可得 ,再利用裂项相消法可得 ,利用累加法可得 ,进而可得 ,可判断BD. 【详解】因为 , ∴ ,即 , 若 为等比数列,则 的公比为 , ∴ , 由 ,可得 , ∴ ,故AC错误; 若 为递增的等差数列, ,公差 , 由 则 , ∴ , ∴ ,即 ,∴ , ∴ , 又 , ∴ ,又 则 , ∴当 时,不等式 恒成立, 故 ,故B正确,D错误. 故选:B. 二、多选题 3.(2022·湖南·长郡中学高三阶段练习)已知数列 满足 , ,令 ,则( ) A. B.数列 是等差数列 C. 为整数 D.数列 的前2022项和为4044 【答案】ABD 【分析】由已知当 时,求得 ,当 时,由 ,得,两式相减化简,再利用累乘法可求得 ,从而可判断A,可求出 ,从 而可判断BC,将 代入 中化简,然后利用分求和法求解即可判断D, 【详解】因为 , 所以当 时, ,故 . 当 时,由 ,得 , 所以 ,整理 ,所以 , 所以 , 所以 , ,所以A正确, 所以 ,所以 ,所以 为等差数列,所以B 正确, 所以 不是整数,所以C错误, , 设数列 的前n项和为 , 则 . 因为 ,所以 .故 ,所以D正确, 故选:ABD 4.(2020·全国·高三专题练习)已知数列 满足 , , , ,若存在正整 数 , , 使得等式 成立,则下列结论正确的有 A. B. C. D. 【答案】ACD 【分析】 时,根据 可求出 ,利用累乘法可求得 , 【详解】 时, ,而 , ∴ 故A选项正确 ∴ ,即 ∴ 故C选项正确,B选项错误 假设存在正整数 , , 使得等式 成立 ∴ 化简整理得 , 令 ,解得 取 , 时, 成立 故D选项正确故选:ACD 【点睛】本题主要考查数列的基本知识,考查通项公式的求解,属于中档题. 三、填空题 5.(2022·山西太原·二模(文))已知数列 的首项为1,前n项和为 ,且 ,则数列 的通项公式 ___________. 【答案】n 【分析】先利用累乘法将 的通项公式求出,再利用 与 的关系,求出 的通项公式即可. 【详解】解:∵ ,∴ 当 时, , 当 时, 成立, ∴ , 当 时, , 当 时, 满足上式, ∴ . 故答案为:n 6.(2022·全国·高三专题练习)数列 中,若 , ,则 ___________. 【答案】【分析】依题意可得 ,再利用累乘法求出数列的通项公式,最后利用裂项相消法求和即可; 【详解】解:因为 ,所以 ,所以 , , , , , 累乘可得 即 ,因为 ,所以 ,所以 故答案为: 7.(2022·全国·高三专题练习)数列{an}的前n项和为Sn,数列{bn}的前n项和为Tn,满足a=2, 1 ,且 .若对任意 , 恒成立,则实数 的最大值为 ___________. 【答案】 【分析】先求得 ,然后利用累乘法求得 ,求得 ,求得 的最小值,由此求得 的最大值. 【详解】当 时, ,所以 , 当 时, , 所以 ,即 . 所以 , 也符合上式,所以 . 所以 .(当且仅当 时等号成立), 所以 的最大值为 . 故答案为: 四、解答题 8.(2022·浙江绍兴·模拟预测)设等差数列 的各项为正数,其前n项和为 ,且 构成 等比数列. (1)求 及 ; (2)若数列 满足 , ,求证: . 【答案】(1) ;(2)证明见解析. 【分析】(1)根据等比数列的性质,结合等差数列的通项公式和前n项和进行求解即可; (2)运用累积法,结合组合数的定义进行运算证明即可. (1)设等差数列 的首项为 ,公差为d, 因为 , , 构成等比数列, 所以 所以 又数列 的各项为正数,所以 所以 ; (2) ,所以 , 所以 , ,证毕. 9.(2022·浙江杭州·二模)已知数列 满足 , . (1)若 且 . (ⅰ)当 成等差数列时,求k的值; (ⅱ)当 且 , 时,求 及 的通项公式. (2)若 , , , .设 是 的前n项之和,求 的最大值. 【答案】(1)(ⅰ) ,(ⅰⅰ) , ;(2) . 【分析】(1)根据等差数列的定义以及等差中项的性质即可求 的值;由题可得 是首项为 ,公 比为2的等比数列,进而可得数列 的通项,再利用累乘法即可求 的通项公式; (2)利用分组求和可得 ,结合 , ,求出利 用基本不等式求 最大值,即可求出 的最大值. (1)(ⅰ)因为 成等差数列, 所以 , 所以 ,又所以 ; (ⅱ)因为 , 所以 , , 所以 ,所以 , 因为 ,又由 , 所以 是首项为 ,公比为2的等比数列, 所以 , 所以 , ∴所以 ; (2) 由 可得 , 所以 , 因为 ,所以 ,即 , 因为 , , , 所以 即 ,, 因为 , , 所以 ,因为 ,所以 , 所以 ,可得 , 所以 , 令 ,设 , ,对称轴为 ,是开口向上的抛物线,在 单调递增, 所以 时取得最大值, 故 最大值为 , 所以 最大值为 . 【点睛】方法点睛:数列求和的方法 (1)倒序相加法:如果一个数列 的前 项中首末两端等距离的两项的和相等或等于同一个常数,那么 求这个数列的前 项和即可以用倒序相加法 (2)错位相减法:如果一个数列的各项是由一个等差数列和一个等比数列的对应项之积构成的,那么这 个数列的前 项和即可以用错位相减法来求; (3)裂项相消法:把数列的通项拆成两项之差,在求和时,中间的一些项可相互抵消,从而求得其和; (4)分组转化法:一个数列的通项公式是由若干个等差数列或等比数列或可求和的数列组成,则求和时 可用分组转换法分别求和再相加减; (5)并项求和法:一个数列的前 项和可以两两结合求解,则称之为并项求和,形如 类型, 可采用两项合并求解.10.(2022·全国·模拟预测(理))已知数列 满足 . (1)求数列 的通项公式; (2)设数列 的前n项和为 ,若 ,则正整数n的最小值. 【答案】(1) ;(2)11﹒ 【分析】(1)利用累乘法可求数列 的通项公式; (2)利用错位相减法求出 ,代入 求解不等式即可. (1)当 时, , 则 ,即 , , n=1也满足上式,故 ; (2) ①, ②, ①-②得, ∴ ,代入 , 得 ,化简得 . ∵ , ∴正整数n的最小值为11. 题型五:构造法求数列通项一、单选题 1.(2022·河南洛阳·三模(文))若数列 和 满足 , , , ,则 ( ) A. B. C. D. 【答案】C 【分析】依题意可得 是以 为首项, 为公比的等比数列,即可求出 的通项公式,再根据 ,得到 ,即可得到 的通项公式,最后代入即可; 【详解】解:因为 , , 所以 ,即 , 又 , 所以 是以 为首项, 为公比的等比数列, 所以 , 又 ,即 , 所以 所以 ; 故选:C 2.(2022·河南商丘·三模(理))高斯是德国著名的数学家,近代数学奠基者之一,享有“数学王子”的 称号.用他的名字定义的函数称为高斯函数 ,其中 表示不超过x的最大整数.已知数列 满足 , , ,若 , 为数列 的前n项和,则( ) A.249 B.499 C.749 D.999 【答案】A 【分析】利用已知关系式构造两个新数列,求出 ,利用放缩技巧,可得到数列 的通项公式, 再利用裂项相消法求数列 前 项和后,带入函数解析式即可得到答案. 【详解】由 ,得 ,又 ,所以数列 是以3为首项, 4为公比的等比数列,则 ①; 由 得, ,又 ,所以数列 是常数列,则 ②,由①②联立可得 ; 因为 ,所以 即: 所以 , 故 ,所以 ,则 . 故选:A 3.(2022·江苏·涟水县第一中学高三期中)定义:在数列 中,若满足 为常 数),称 为“等差比数列”,已知在“等差比数列” 中, ,则 等于( )A. B. C. D. 【答案】A 【分析】由题知 是首项为1,公差为2的等差数列,则 ,利用 即可求 解. 【详解】由题意可得: , , , 根据“等差比数列”的定义可知数列 是首项为1,公差为2的等差数列, 则 , 所以 , , 所以 . 故选:A. 4.(2022·安徽黄山·二模(理))已知数列 满足 ,设 的前 项和为 , 则 的值为( ) A. B. C.2 D.1 【答案】C 【分析】由条件求得 的通项公式后求解 【详解】 ,则 ,即 , 得 ,故 是以2为首项,2为公比的等比数列, ,, . 故选:C 二、多选题 5.(2022·福建·三模)已知 是直角三角形, 是直角,内角 、 、 所对的边 分别为 、 、 ,面积为 ,若 , , , ,则( ) A. 是递增数列 B. 是递减数列 C. 存在最大项 D. 存在最小项 【答案】ACD 【分析】由题意推出 ,从而说明 ,利用三角形面积公式推出 ,构造数列 从而求得 ,由此可判断A,B由 结合 可求得 、 ,对数 列 中的奇数项和偶数项构成的数列的单调性以及项的符号进行分析,确定数列 的最大项和 最小项,可判断CD. 【详解】由题意知: , 故 ,即 ,即 , 所以 ,则 , 故 , , 由 得: , 即 ,所以 ,则 ,而 , 故 ,则 , 所以 ,由于 随 的增大而减小, 故 是随 的增大而增大, 由题意知 ,故 是递增数列,故A正确; 同理 随 的增大而增大, 是递增数列,B错误; 又 ,由于 , ,且 , 所以, 是首项为 ,公比为 的等比数列,故 , 所以, , 因为 , ,故 , , 所以, , 所以, ,其中 , ,其中 ,因为数列 随着 的增大而减小,数列 随着 的增大而增大, 故数列 随着 的增大而减小,故 为数列 中所有正项中最大的, 同理可知数列 随着 的增大而增大,故 为数列 中所有负项中最小的, 综上所述,数列 的最大项为 ,最小项为 ,CD均对. 故选:ACD. 【点睛】本题综合考查了数列的单调性问题以及数列的最大项和最小项问题,综合性较强,难度较大,解 答时要结合几何知识,能熟练的应用数列的相关知识作答,关键是要注意构造新数列解决问题. 6.(2021·辽宁·高三阶段练习)如图所示, , ,…, ,…,是函数C: 上的点, , ,…, ,…是x轴正半轴上的点,且 , ,…, ,…,均为等腰直角三角形( 为坐标原点).( ) A. B. , ,( ) C. D. 【答案】ABD 【分析】A根据题设写出 代入函数求坐标值判断;B由等腰三角形的性质找到 的坐标规律即可;C由B所得 坐标,代入函数式结合等差数列定义判断 的性质并写出通项公式,应用累加法求通 项公式;D应用裂项相消法求和即可. 【详解】由题意得: 代入 ,解得 ;又 代入 ,解得 , 故A正确; 由等腰三角形的性质可得: , ,( ),故B正确; ∵ , ,( ),满足 得, , 所以 ,又 ,两式相减得, , 又 , ∴ ,即 , ∴ 是以2为首项,1为公差的等差数列,则 , ∴ ,可得 ,故C错误, ∵ , ∴ ,D正确. 故选:ABD 7.(2022·全国·高三专题练习)已知数列 满足 , , ,则( ) A. 是等比数列 B.C. 是等比数列 D. 【答案】ACD 【分析】对选项A,根据递推公式得到 是以首项为 ,公比为 的等比数列,即可判断A正确,对 选项B,根据A得到 ,即可判断B错误,对选项C,根据递推公式得到 ,从而判断 C为正确,对选项D,根据 是等比数列, 是等比数列,即可得到 ,即可判断D正确. 【详解】对选项A,当 是奇数时, , 所以 , 又因为 ,所以 , 所以当 是奇数时, ,即 . 即数列 是以首项为 ,公比为 的等比数列,故A正确. 对选项B,由A知:当 是奇数时, , 所以 ,故B错误. 对选项C, 为偶数时, ,即 , 又因为 ,所以 ,即 , 所以 是以首项为 ,公比为 的等比数列,故C正确., 故D正确. 故选:ACD 8.(2022·全国·高三专题练习)已知数列 满足 , ,前n项和为 ,则下 列选项中正确的是( )(参考数据: , ) A. B. C. D. 是单调递增数列, 是单调递减数列 【答案】ACD 【分析】对于A:由已知得 ,令 , 有 , ,由 ,由此可判断; 对于B:由 ,得 ,由此可判断; 对于C:由 , ,得 ,由此可判断; 对于D:令 ,则有 与 异号, 与 同 号,继而得 , ,再得 ,得出 , ,由此可判断. 【详解】解:对于A:由 得 ,令 , 即 ,则, 又 ,所以 ,则 在 上单调递减,所以 , 所以 ,故A正确; 对于B:因为 , ,故B不正 确; 对于C:因为 ,所以 , ,所以 ,即 ,所以 ,故C正确; 对于D:因为 , ,令 ,所以 与 异 号, 与 同号, 又 ,所以 , ,即 , , 又 ,所以 , 所以 , , 所以 是单调递增数列, 是单调递减数列, 所以 是单调递增数列, 是单调递减数列,故D正确, 故选:ACD. 三、填空题9.(2022·湖北·宜城市第一中学高三阶段练习)五名运动员 、 、 、 、 相互传球.每个人在接到 球后随机传给其他四人中的一人.设首先由 开始进行第 次传球,那么恰好在第 次传球把球传回到 手 中的概率是______(用最简分数表示). 【答案】 【分析】设第 次传球把球传回到 的手中的概率为 ,根据独立事件的概率乘法公式可得出 的递推 公式,即可求得 的值. 【详解】设第 次传球把球传回到 的手中的概率为 , 第 次传球 将球传给其他运动员,故 ; 表示第 次传球把球传回到 的手中,故传球前球不在 手中, 而每名运动员传给其他一名指定运动员的概率为 ,由乘法原理,故 . 于是 ,且 , 故数列 为首项为 ,公比为 的等比数列, 于是 ,即 , , 故 . 故答案为: . 10.(2022·辽宁抚顺·一模)设数列 的前n项和为 ,且 ,若 ,则k的值为 ________. 【答案】4【分析】根据题意,结合 及待定系数求通项法,可求得 的表达式,根据题意及结合 ,即可得答案. 【详解】因为 ①, 所以当 时 ,解得 又 ②, 两式①②相减可得 ,即 ,而a-6=5不为零, 1 所以 ,即 , 所以 是以5为首项,2为公比的等比数列, 所以 ,即 , 因为 , 所以 , 所以 ,且 ,解得k=4, 故答案为:4 11.(2022·四川宜宾·二模(理))在数列 中, , ,且满足 , 则 ___________. 【答案】 【分析】由递推公式两边同除 得到 ,即可得到 ,即可得到是以 为首项、 为公比的等比数列,则 ,再利用累加法求出 ,即可得到数列 的通项公式; 【详解】解:因为 , , ,显然 ,所以 , 同除 得 ,所以 ,所以 ,所以 是以 为首项、 为公比的等比数列,所以 ,所以 所以 故答案为: 四、解答题 12.(2022·陕西西安·三模(理))设公差不为零的等差数列 的前 项和为 , , , , 成等比数列,数列 满足 , . (1)求数列 和 的通项公式; (2)求 的值.【答案】(1) , ;(2) . 【分析】(1)根据等差数列所给条件列方程求出首项公差即可得出数列 的通项公式,再由递推关系 构造等比数列求 的通项即可; (2)分 为奇数、偶数分类讨论化简通项,利用并项求和得解. (1)设等差数列 的公差为 ( ), 由题意得 ,解得 , 故数列 的通项公式 . ∵ ,∴ ,即 ( ),又 , ∴ 是以2为首项,2为公比的等比数列, , ∴ . (2)当 , 时, , 当 , 时, , ∴ . 13.(2022·山东·德州市教育科学研究院二模)已知数列{ }的首项 ,且满足 . (1)证明 是等比数列,并求数列 的通项公式;(2)记 ,求{ }的前n项和 . 【答案】(1)证明见解析; (2) 【分析】(1)对于 两边取倒数,可推得 ,结合等比数列的通项公 式,求得答案; (2)由(1)求得 的表达式,利用错位相减法,即可求得答案. (1)由题意得, , 所以 , 即 是等比数列, 则 的首项为 ,公比为3,所以 , 所以 . (2)由(1)得: , 所以 ①, ②, ①-②得 ,所以 . 14.(2022·全国·模拟预测(理))设数列 满足 , . (1)求证: 为等比数列,并求 的通项公式; (2)若 ,求数列 的前 项和 . 【答案】(1)证明见解析, (2) 【分析】(1)由递推公式可得 ,即可得到 是以 为首项, 为公比的等比数 列,再根据等比数列的通项公式求出 的通项公式; (2)由(1)可得 ,再利用错位相减法求和即可; (1)解:因为 , , 所以 ,即 又 ,所以 是以 为首项, 为公比的等比数列, 所以 ,所以 (2)解:由(1)可得 , 所以 ①, 所以 ②, ① ②得 即 ,所以 ; 15.(2022·全国·模拟预测(文))已知数列 满足 .(1)求数列 的通项公式; (2)当 时,求数列 的前n项和为 . 【答案】(1) (2) 【分析】(1)当 时可得 ,令 ,则 ,即可得到数列 是首项为 ,公比 为 的等比数列,从而求出 ,即可求出数列 的通项公式; (2)利用分组求和法及等差数列前 项和公式求和即可; (1)解:当 时, ,则 ,令 ,则 , 又因为 ,所以数列 是首项为 ,公比为 的等比数列, 所以 ,即 ,从而 ; (2)解:因为 , 所以 . 16.(2022·重庆·模拟预测)为有效防控新冠疫情从境外输入,中国民航局根据相关法律宣布从2020年6 月8日起实施航班熔断机制,即航空公司同一航线航班,入境后核酸检测结果为阳性的旅客人数达到一定 数量的民航局对其发出“熔断”指令,暂停该公司该航线的运行(达到5个暂停运行1周,达到10个暂停 运行4周),并规定“熔断期”的航班量不得调整用于其他航线,“熔断期”结束后,航空公司方可恢复 每周1班航班计划.已知某国际航空公司A航线计划每周有一次航班入境,该航线第一次航班被熔断的概率 是 ,且被熔断的一次航班的下一次航班也被熔断的概率是 ,未被熔断的一次航班的下一次航班也未被熔断的概率是 .一条航线处于“熔断期”的原计划航班不记入该航线的航班次数,记该航空公司A航线的 第n次航班被熔断的概率为 . (1)求 ; (2)证明: 为等比数列; (3)求数列 的前 项和 ,并说明 的实际意义. 【答案】(1) (2)证明见解析 (3) , 表示前 次航班一共被熔断的次数 【分析】(1)分第1次航班被熔断和不被熔断计算即可; (2)先列出递推关系式,再构造等比数列证明; (3)按照分组求和等比数列求和计算即可. (1) ; (2)由题得 , ∴ , 又 ,∴数列 是以 为首项、 为公比的等比数列; (3)由(2)知 ,故 , 从而 , 由于 可以理解为第 次航班平均被熔断的次数,∴ 表示前 次航班一共被熔断的次数.