当前位置:首页>文档>专题12运用空间向量研究立体几何问题(1)(解析版)_2.2025数学总复习_2024年新高考资料_2.2024二轮复习_2024年高三数学二轮优化提优专题训练

专题12运用空间向量研究立体几何问题(1)(解析版)_2.2025数学总复习_2024年新高考资料_2.2024二轮复习_2024年高三数学二轮优化提优专题训练

  • 2026-04-15 22:24:11 2026-03-14 08:06:39

文档预览

专题12运用空间向量研究立体几何问题(1)(解析版)_2.2025数学总复习_2024年新高考资料_2.2024二轮复习_2024年高三数学二轮优化提优专题训练
专题12运用空间向量研究立体几何问题(1)(解析版)_2.2025数学总复习_2024年新高考资料_2.2024二轮复习_2024年高三数学二轮优化提优专题训练
专题12运用空间向量研究立体几何问题(1)(解析版)_2.2025数学总复习_2024年新高考资料_2.2024二轮复习_2024年高三数学二轮优化提优专题训练
专题12运用空间向量研究立体几何问题(1)(解析版)_2.2025数学总复习_2024年新高考资料_2.2024二轮复习_2024年高三数学二轮优化提优专题训练
专题12运用空间向量研究立体几何问题(1)(解析版)_2.2025数学总复习_2024年新高考资料_2.2024二轮复习_2024年高三数学二轮优化提优专题训练
专题12运用空间向量研究立体几何问题(1)(解析版)_2.2025数学总复习_2024年新高考资料_2.2024二轮复习_2024年高三数学二轮优化提优专题训练
专题12运用空间向量研究立体几何问题(1)(解析版)_2.2025数学总复习_2024年新高考资料_2.2024二轮复习_2024年高三数学二轮优化提优专题训练
专题12运用空间向量研究立体几何问题(1)(解析版)_2.2025数学总复习_2024年新高考资料_2.2024二轮复习_2024年高三数学二轮优化提优专题训练
专题12运用空间向量研究立体几何问题(1)(解析版)_2.2025数学总复习_2024年新高考资料_2.2024二轮复习_2024年高三数学二轮优化提优专题训练
专题12运用空间向量研究立体几何问题(1)(解析版)_2.2025数学总复习_2024年新高考资料_2.2024二轮复习_2024年高三数学二轮优化提优专题训练
专题12运用空间向量研究立体几何问题(1)(解析版)_2.2025数学总复习_2024年新高考资料_2.2024二轮复习_2024年高三数学二轮优化提优专题训练
专题12运用空间向量研究立体几何问题(1)(解析版)_2.2025数学总复习_2024年新高考资料_2.2024二轮复习_2024年高三数学二轮优化提优专题训练
专题12运用空间向量研究立体几何问题(1)(解析版)_2.2025数学总复习_2024年新高考资料_2.2024二轮复习_2024年高三数学二轮优化提优专题训练
专题12运用空间向量研究立体几何问题(1)(解析版)_2.2025数学总复习_2024年新高考资料_2.2024二轮复习_2024年高三数学二轮优化提优专题训练
专题12运用空间向量研究立体几何问题(1)(解析版)_2.2025数学总复习_2024年新高考资料_2.2024二轮复习_2024年高三数学二轮优化提优专题训练
专题12运用空间向量研究立体几何问题(1)(解析版)_2.2025数学总复习_2024年新高考资料_2.2024二轮复习_2024年高三数学二轮优化提优专题训练
专题12运用空间向量研究立体几何问题(1)(解析版)_2.2025数学总复习_2024年新高考资料_2.2024二轮复习_2024年高三数学二轮优化提优专题训练
专题12运用空间向量研究立体几何问题(1)(解析版)_2.2025数学总复习_2024年新高考资料_2.2024二轮复习_2024年高三数学二轮优化提优专题训练
专题12运用空间向量研究立体几何问题(1)(解析版)_2.2025数学总复习_2024年新高考资料_2.2024二轮复习_2024年高三数学二轮优化提优专题训练
专题12运用空间向量研究立体几何问题(1)(解析版)_2.2025数学总复习_2024年新高考资料_2.2024二轮复习_2024年高三数学二轮优化提优专题训练
专题12运用空间向量研究立体几何问题(1)(解析版)_2.2025数学总复习_2024年新高考资料_2.2024二轮复习_2024年高三数学二轮优化提优专题训练
专题12运用空间向量研究立体几何问题(1)(解析版)_2.2025数学总复习_2024年新高考资料_2.2024二轮复习_2024年高三数学二轮优化提优专题训练
专题12运用空间向量研究立体几何问题(1)(解析版)_2.2025数学总复习_2024年新高考资料_2.2024二轮复习_2024年高三数学二轮优化提优专题训练
专题12运用空间向量研究立体几何问题(1)(解析版)_2.2025数学总复习_2024年新高考资料_2.2024二轮复习_2024年高三数学二轮优化提优专题训练
专题12运用空间向量研究立体几何问题(1)(解析版)_2.2025数学总复习_2024年新高考资料_2.2024二轮复习_2024年高三数学二轮优化提优专题训练
专题12运用空间向量研究立体几何问题(1)(解析版)_2.2025数学总复习_2024年新高考资料_2.2024二轮复习_2024年高三数学二轮优化提优专题训练
专题12运用空间向量研究立体几何问题(1)(解析版)_2.2025数学总复习_2024年新高考资料_2.2024二轮复习_2024年高三数学二轮优化提优专题训练
专题12运用空间向量研究立体几何问题(1)(解析版)_2.2025数学总复习_2024年新高考资料_2.2024二轮复习_2024年高三数学二轮优化提优专题训练
专题12运用空间向量研究立体几何问题(1)(解析版)_2.2025数学总复习_2024年新高考资料_2.2024二轮复习_2024年高三数学二轮优化提优专题训练
专题12运用空间向量研究立体几何问题(1)(解析版)_2.2025数学总复习_2024年新高考资料_2.2024二轮复习_2024年高三数学二轮优化提优专题训练
专题12运用空间向量研究立体几何问题(1)(解析版)_2.2025数学总复习_2024年新高考资料_2.2024二轮复习_2024年高三数学二轮优化提优专题训练
专题12运用空间向量研究立体几何问题(1)(解析版)_2.2025数学总复习_2024年新高考资料_2.2024二轮复习_2024年高三数学二轮优化提优专题训练
专题12运用空间向量研究立体几何问题(1)(解析版)_2.2025数学总复习_2024年新高考资料_2.2024二轮复习_2024年高三数学二轮优化提优专题训练
专题12运用空间向量研究立体几何问题(1)(解析版)_2.2025数学总复习_2024年新高考资料_2.2024二轮复习_2024年高三数学二轮优化提优专题训练
专题12运用空间向量研究立体几何问题(1)(解析版)_2.2025数学总复习_2024年新高考资料_2.2024二轮复习_2024年高三数学二轮优化提优专题训练
专题12运用空间向量研究立体几何问题(1)(解析版)_2.2025数学总复习_2024年新高考资料_2.2024二轮复习_2024年高三数学二轮优化提优专题训练
专题12运用空间向量研究立体几何问题(1)(解析版)_2.2025数学总复习_2024年新高考资料_2.2024二轮复习_2024年高三数学二轮优化提优专题训练
专题12运用空间向量研究立体几何问题(1)(解析版)_2.2025数学总复习_2024年新高考资料_2.2024二轮复习_2024年高三数学二轮优化提优专题训练
专题12运用空间向量研究立体几何问题(1)(解析版)_2.2025数学总复习_2024年新高考资料_2.2024二轮复习_2024年高三数学二轮优化提优专题训练
专题12运用空间向量研究立体几何问题(1)(解析版)_2.2025数学总复习_2024年新高考资料_2.2024二轮复习_2024年高三数学二轮优化提优专题训练
专题12运用空间向量研究立体几何问题(1)(解析版)_2.2025数学总复习_2024年新高考资料_2.2024二轮复习_2024年高三数学二轮优化提优专题训练

文档信息

文档格式
docx
文档大小
3.052 MB
文档页数
41 页
上传时间
2026-03-14 08:06:39

文档内容

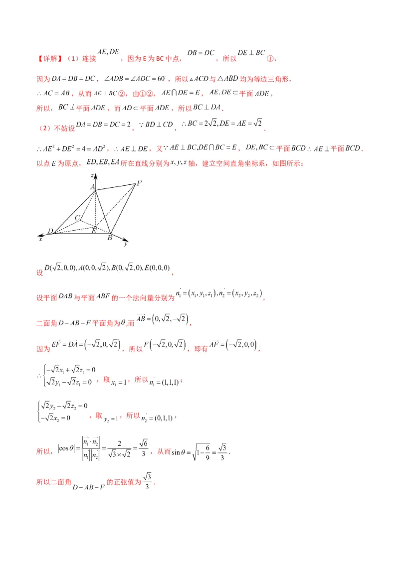
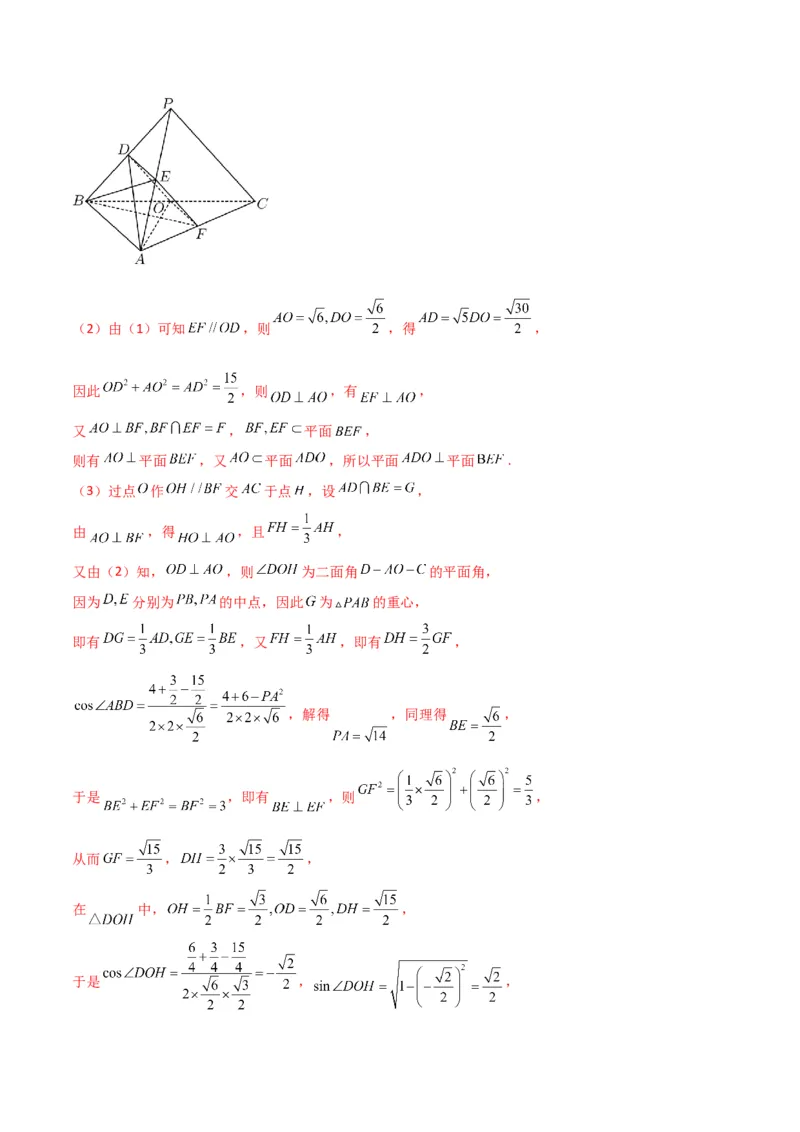
专题 12 运用空间向量研究立体几何问题(1) 1、(2023年全国甲卷数学(理))在三棱柱 中, , 底面ABC, , 到平面 的距离为1. (1)求证: ; (2)若直线 与 距离为2,求 与平面 所成角的正弦值. 【答案】(1)证明见解析 (2) 【详解】(1)如图, 底面 , 面 , ,又 , 平面 , ,平面ACC1A1,又 平面 , 平面 平面 , 过 作 交 于 ,又平面 平面 , 平面 , 平面 到平面 的距离为1, , 在 中, , 设 ,则 , 为直角三角形,且 , , , , ,解得 , , (2) , , 过B作 ,交 于D,则 为 中点, 由直线 与 距离为2,所以 , , ,在 , , 延长 ,使 ,连接 , 由 知四边形 为平行四边形, , 平面 ,又 平面 , 则在 中, , , 在 中, , , , 又 到平面 距离也为1, 所以 与平面 所成角的正弦值为 . 2、(2023年新课标全国Ⅰ卷)如图,在正四棱柱 中, .点 分 别在棱 , 上, . (1)证明: ;(2)点 在棱 上,当二面角 为 时,求 . 【答案】(1)证明见解析; (2)1 【详解】(1)以 为坐标原点, 所在直线为 轴建立空间直角坐标系,如图, 则 , , , 又 不在同一条直线上, . (2)设 , 则 , 设平面 的法向量 , 则 , 令 ,得 ,, 设平面 的法向量 , 则 , 令 ,得 , , , 化简可得, , 解得 或 , 或 , 3、(2023年新课标全国Ⅱ卷)如图,三棱锥 中, , , ,E为BC的中点. (1)证明: ; (2)点F满足 ,求二面角 的正弦值. 【答案】(1)证明见解析; (2) .【详解】(1)连接 ,因为E为BC中点, ,所以 ①, 因为 , ,所以 与 均为等边三角形, ,从而 ②,由①②, , 平面 , 所以, 平面 ,而 平面 ,所以 . (2)不妨设 , , . , ,又 , 平面 平面 . 以点 为原点, 所在直线分别为 轴,建立空间直角坐标系,如图所示: 设 , 设平面 与平面 的一个法向量分别为 , 二面角 平面角为 ,而 , 因为 ,所以 ,即有 , ,取 ,所以 ; ,取 ,所以 , 所以, ,从而 . 所以二面角 的正弦值为 .4、(2023年全国乙卷数学(理)(文))如图,在三棱锥 中, , , , ,BP,AP,BC的中点分别为D,E,O, ,点F在AC上, . (1)证明: 平面 ; (2)证明:平面 平面BEF; (3)求二面角 的正弦值. 【答案】(1)证明见解析; (2)证明见解析; (3) . 【详解】(1)连接 ,设 ,则 , , , 则 , 解得 ,则 为 的中点,由 分别为 的中点, 于是 ,即 ,则四边形 为平行四边形, ,又 平面 平面 , 所以 平面 .(2)由(1)可知 ,则 ,得 , 因此 ,则 ,有 , 又 , 平面 , 则有 平面 ,又 平面 ,所以平面 平面 . (3)过点 作 交 于点 ,设 , 由 ,得 ,且 , 又由(2)知, ,则 为二面角 的平面角, 因为 分别为 的中点,因此 为 的重心, 即有 ,又 ,即有 , ,解得 ,同理得 , 于是 ,即有 ,则 , 从而 , , 在 中, , 于是 , ,所以二面角 的正弦值为 . 5、【2022年全国甲卷】在四棱锥P−ABCD中,PD⊥底面 ABCD,CD∥AB,AD=DC=CB=1,AB=2,DP=√3. (1)证明:BD⊥PA; (2)求PD与平面PAB所成的角的正弦值. 【解析】(1)证明:在四边形ABCD中,作DE⊥AB于E,CF⊥AB于F, 因为CD//AB,AD=CD=CB=1,AB=2, 所以四边形ABCD为等腰梯形, 1 所以AE=BF= , 2 √3 故DE= ,BD=√DE2+BE2=√3, 2 所以AD2+BD2=AB2, 所以AD⊥BD, 因为PD⊥平面ABCD,BD⊂平面ABCD, 所以PD⊥BD, 又PD∩AD=D, 所以BD⊥平面PAD, 又因PA⊂平面PAD,所以BD⊥PA; (2)解:如图,以点D为原点建立空间直角坐标系, BD=√3, 则A(1,0,0),B(0,√3,0),P(0,0,√3), 则⃗AP=(−1,0,√3),⃗BP=(0,−√3,√3),⃗DP=(0,0,√3), 设平面PAB的法向量⃗n=(x,y,z), → → n⋅AP=−x+√3z=0 则有{ ,可取⃗n=(√3,1,1), → → n⋅BP=−√3 y+√3z=0 ⃗n⋅⃗DP √5 则cos〈⃗n,⃗DP〉= = , |⃗n||⃗DP| 5 √5 所以PD与平面PAB所成角的正弦值为 . 5 6、【2022年全国乙卷】如图,四面体ABCD中,AD⊥CD,AD=CD,∠ADB=∠BDC,E为AC的 中点. (1)证明:平面BED⊥平面ACD; (2)设AB=BD=2,∠ACB=60°,点F在BD上,当△AFC的面积最小时,求CF与平面ABD所成的角的正弦值. 【解析】(1)因为AD=CD,E为AC的中点,所以AC⊥DE; 在△ABD和△CBD中,因为AD=CD,∠ADB=∠CDB,DB=DB, 所以△ABD≌△CBD,所以AB=CB,又因为E为AC的中点,所以AC⊥BE; 又因为DE,BE⊂平面BED,DE∩BE=E,所以AC⊥平面BED, 因为AC⊂平面ACD,所以平面BED⊥平面ACD. (2)连接EF,由(1)知,AC⊥平面BED,因为EF⊂平面BED, 1 所以AC⊥EF,所以S = AC⋅EF, △AFC 2 当EF⊥BD时,EF最小,即△AFC的面积最小. 因为△ABD≌△CBD,所以CB=AB=2, 又因为∠ACB=60°,所以△ABC是等边三角形, 因为E为AC的中点,所以AE=EC=1,BE=√3, 1 因为AD⊥CD,所以DE= AC=1, 2 在△DEB中,DE2+BE2=BD2,所以BE⊥DE. 以E为坐标原点建立如图所示的空间直角坐标系E−xyz, 则A(1,0,0),B(0,√3,0),D(0,0,1),所以⃑AD=(−1,0,1),⃑AB=(−1,√3,0), 设平面ABD的一个法向量为⃑n=(x,y,z), 则¿,取y=√3,则⃑n=(3,√3,3), ( √3 3) ( √3 3) 又因为C(−1,0,0),F 0, , ,所以⃑CF= 1, , , 4 4 4 4 ⃑n⋅⃑CF 6 4√3 cos⟨⃑n,⃑CF⟩= = = 所以 |⃑n||⃑CF| √7 7 , √21× 4 ( π) 设CF与平面ABD所成的角的正弦值为θ 0≤θ≤ , 2 4√3 所以sinθ=|cos⟨⃑n,⃑CF⟩|= , 7 4√3 所以CF与平面ABD所成的角的正弦值为 . 77、【2022年新高考1卷】如图,直三棱柱ABC−A B C 的体积为4,△A BC的面积为2√2. 1 1 1 1 (1)求A到平面A BC的距离; 1 (2)设D为A C的中点,A A =AB,平面A BC⊥平面ABB A ,求二面角A−BD−C的正弦值. 1 1 1 1 1 【解析】(1) 在直三棱柱ABC−A B C 中,设点A到平面A BC的距离为h, 1 1 1 1 1 2√2 1 1 4 则V = S ⋅ℎ = ℎ =V = S ⋅A A= V = , A−A 1 BC 3 △A 1 BC 3 A 1 −ABC 3 △ABC 1 3 ABC−A 1 B 1 C 1 3 解得ℎ =√2, 所以点A到平面A BC的距离为√2; 1 (2)取A B的中点E,连接AE,如图,因为A A =AB,所以AE⊥A B, 1 1 1 又平面A BC⊥平面ABB A ,平面A BC∩平面ABB A =A B, 1 1 1 1 1 1 1 且AE⊂平面ABB A ,所以AE⊥平面A BC, 1 1 1 在直三棱柱ABC−A B C 中,BB ⊥平面ABC, 1 1 1 1 由BC⊂平面A BC,BC⊂平面ABC可得AE⊥BC,BB ⊥BC, 1 1 又AE,BB ⊂平面ABB A 且相交,所以BC⊥平面ABB A , 1 1 1 1 1 所以BC,BA,BB 两两垂直,以B为原点,建立空间直角坐标系,如图, 1由(1)得AE=√2,所以A A =AB=2,A B=2√2,所以BC=2, 1 1 则A(0,2,0),A (0,2,2),B(0,0,0),C(2,0,0),所以A C的中点D(1,1,1), 1 1 则⃗BD=(1,1,1),⃗BA=(0,2,0),⃗BC=(2,0,0), ⃗m⋅⃗BD=x+ y+z=0 设平面ABD的一个法向量⃗m=(x,y,z),则{ , ⃗m⋅⃗BA=2y=0 可取⃗m=(1,0,−1), ⃗m⋅⃗BD=a+b+c=0 设平面BDC的一个法向量⃗n=(a,b,c),则{ , ⃗m⋅⃗BC=2a=0 可取⃗n=(0,1,−1), ⃗m⋅⃗n 1 1 则cos〈⃗m,⃗n〉= = = , |⃗m|⋅|⃗n| √2×√2 2 √ 1 2 √3 所以二面角A−BD−C的正弦值为 1−( ) = . 2 2 8、【2022年新高考2卷】如图,PO是三棱锥P−ABC的高,PA=PB,AB⊥AC,E是PB的中点. (1)证明:OE//平面PAC; (2)若∠ABO=∠CBO=30°,PO=3,PA=5,求二面角C−AE−B的正弦值. 【解析】(1)证明:连接BO并延长交AC于点D,连接OA、PD, 因为PO是三棱锥P−ABC的高,所以PO⊥平面ABC,AO,BO⊂平面ABC, 所以PO⊥AO、PO⊥BO,又PA=PB,所以△POA≅△POB,即OA=OB,所以∠OAB=∠OBA, 又AB⊥AC,即∠BAC=90°,所以∠OAB+∠OAD=90°,∠OBA+∠ODA=90°, 所以∠ODA=∠OAD 所以AO=DO,即AO=DO=OB,所以O为BD的中点,又E为PB的中点,所以OE//PD, 又OE⊄平面PAC,PD⊂平面PAC, 所以OE//平面PAC (2)解:过点A作Az//OP,如图建立平面直角坐标系, 因为PO=3,AP=5,所以OA=√AP2−PO2=4, 又∠OBA=∠OBC=30°,所以BD=2OA=8,则AD=4,AB=4√3, ( 3) 所以AC=12,所以O(2√3,2,0),B(4√3,0,0),P(2√3,2,3),C(0,12,0),所以E 3√3,1, , 2 ( 3) 则⃑AE= 3√3,1, ,⃑AB=(4√3,0,0),⃑AC=(0,12,0), 2 设平面AEB的法向量为⃑n=(x,y,z),则¿,令z=2,则y=−3,x=0,所以⃑n=(0,−3,2); 设平面AEC的法向量为⃑m=(a,b,c),则¿,令a=√3,则c=−6,b=0,所以⃑m=(√3,0,−6); ⃑n⋅⃑m −12 4√3 所以cos⟨⃑n,⃑m⟩= = =− |⃑n||⃑m| √13×√39 13 设二面角C−AE−B为θ,由图可知二面角C−AE−B为钝二面角,4√3 11 所以cosθ=− ,所以sinθ=√1−cos2θ= 13 13 11 故二面角C−AE−B的正弦值为 13 题组一、线面角 1-1、(2023·安徽宿州·统考一模)如图,四棱锥 中, 底面ABCD, , , , , 为棱 靠近点 的三等分点. (1)证明: 平面 ; (2)求 与平面 所成的角的正弦值. 【答案】(1)见解析;(2) 【分析】(1) 记 为棱 靠近点 的三等分点,连接 ,证明 ,根据线面平行判定定理证 明 平面 ; (2)建立空间直角坐标系,求直线 的方向向量和平面 的法向量,根据向量夹角公式求两向量的夹角 余弦,由此可得 与平面 所成的角的正弦值. 【详解】(1)记 为棱 靠近点 的三等分点,连接 又 为棱 靠近点 的三等分点. 所以 ,且 , 又 且 , 所以 且 ,即四边形ADEF为平行四边形,所以 ,又因为 平面 , 平面 , 所以 平面 . (2)在BC上取一点G,使得 ,所以 , 又 , 知四边形AGCD为矩形,从而 , 又 底面ABCD,所以AG,AD,AP两两垂直,以A为坐标原点,AG,AD,AP所在直线分别为x轴, y轴,z轴建立如图所示的空间直角坐标系 ,则 , , , , , 从而 , , , 设平面 的法向量为 ,则 ,即 , 取 ,可得 , 为平面PBC的一个法向量,则 , 设 与平面 所成的角为 ,则 , 即 与平面 所成的角的正弦值为 .1-2、(2023·吉林通化·梅河口市第五中学校考一模)如图,在正三棱柱 中,D为棱 上的 点,E,F,G分别为AC, , 的中点, . (1)求证: ; (2)若直线FG与平面BCD所成角的正弦值为 ,求AD的长. 【答案】(1)见解析;(2) 【分析】(1)由已知可得 ,所以E、F、B、G四点共面,再证明 平面 即可证明; (2)以 为原点,建立空间直角坐标系 ,设 ,求出 ,平面 的一个法向量,由向量的夹 角公式建立方程即可求解. 【详解】(1)在正三棱柱 中, 平面 , 因为E,F,G分别为 , , 的中点,所以 ,又 , 所以 ,所以E、F、B、G四点共面, 平面 , , 又因为 ,且 ,又 平面 , 所以 平面 ,又 平面 ,所以 . (2)以 为原点,建立如图所示的空间直角坐标系 ,设 , 则 , , .设平面 的一个法向量为 ,则 即 ,令 ,则 , 设直线 与平面 所成角的大小为 , 所以 , 即 , ,解得 故AD的长 . 1-3、(2023·山西晋中·统考三模)如图,在四棱锥P-ABCD中,底面ABCD为矩形,E是CD的中点,AE 与BD交于点F,G是 的重心. (1)求证: 平面PCD; (2)若平面PAD⊥平面ABCD, 为等腰直角三角形,且 ,求直线AG与平面PBD 所成角的正弦值.【答案】(1)证明见解析 (2) . 【详解】(1)证明:连接AG并延长交PD于H,∵G为 的重心,∴ . 又 ,∴ ,∴ , ∴ .又 平面PCD, 平面PCD, ∴ 平面PCD. (2)连接PG并延长交AD于O,显然O为AD的中点, 因为平面PAD⊥平面ABCD,平面 平面 ,又PO⊥AD, ∴PO⊥平面ABCD. 取BC中点M,以O为坐标原点,OA,OM,OP分别为x轴、y轴、z轴建立如图所示空间直角坐标系,则 PO=2,于是, , , , , , 于是 , , . 设平面PBD的法向量为 ,则 ,∴ ,∴ ,不妨取z=1, 则 , ∴ , ∴AG与平面PBD所成角的正弦值为题组二、面面角 2-1、(2023·黑龙江大庆·统考一模)如图,在长方体 中,底面 是边长为2的正方形, , , 分别是 , 的中点. (1)证明: ∥平面 ; (2)求平面 与平面 夹角的余弦值. 【答案】(1)见解析;(2) 【分析】(1)取 的中点 ,连接 , ,由三角形中位线定理结合已知条件可得四边形 是 平行四边形,则 ∥ ,再由线面平行的判定定理可证得结论; (2)以 为坐标原点, , , 的方向分别为 , , 轴的正方向,建立如图所示的空间直角 坐标系,利用空间向量求解. 【详解】(1)证明:取 的中点 ,连接 , ,∵ , 分别是 , 的中点, ∴ ∥ , ∵底面 是矩形, 是 的中点, ∴ ∥ ∥ , ∴四边形 是平行四边形, ∴ ∥ , ∵ 平面 , 平面 , ∴ ∥平面 . (2)解:以 为坐标原点, , , 的方向分别为 , , 轴的正方向,建立如图所示的空间 直角坐标系, 则 , , , , , , , ,设平面 的法向量为 , 则 , 令 ,得 . 取平面 的一个法向量 . 设平面 与平面 的夹角为 ,由图可知 为锐角, 则 故平面 与平面 夹角的余弦值为 . 2-2、(2023·山西临汾·统考一模)在三棱锥 中, , , ,取直 线 与 的方向向量分别为 , ,若 与 夹角为 . (1)求证: ; (2)求平面 与平面 的夹角的余弦值. 【答案】(1)见解析;(2) 【分析】(1)将 补全为矩形 ,证明 平面 ,建立空间直角坐标系,计算 和的数量积,证明 ; (2)求平面 和平面 的法向量,计算夹角余弦的绝对值,可得所求. 【详解】(1) 证明:过 作 ,且 ,连接 , , 取 的中点 ,连接 , , , 则 为 与 的夹角,即 . 设 ,则 , 因为 ,所以 为等边三角形, 则 , , . 因为 ,所以平行四边形 为矩形, 所以 ,所以 ,即 . 因为 , 平面 , 所以 平面 . 取 的中点 ,连接 ,分别以 , , 为 , , 轴建立空间直角坐标系. 则 , , , , 所以 , ,,所以 . (2) , , , 设平面 的法向量为 , 则 ,即 ,令 ,得 , 设平面 的法向量为 , 则 ,即 ,令 ,得 , 所以 , 所以平面 与平面 夹角的余弦值为 . 2-3、(2023·云南红河·统考一模)如图,在多面体ABCDEF中,A,B,C,D四点共面, , ,AF⊥平面ABCD, . (1)求证:CD⊥平面ADF; (2)若 , ,求平面 和平面 的夹角的余弦值.【答案】(1)见解析;(2) 【分析】(1)利用线面垂直的性质和勾股定理得到线线垂直,再利用线面垂直的判定即可证明; (2)建立空间直角坐标系,求出相应的坐标,分别求出平面 和平面 的法向量,利用向量的夹角公 式即可求解. 【详解】(1)因为AF⊥平面 ,且 平面 ,所以CD⊥AF,AD⊥AF. 因为AF∥CE,所以CE⊥平面 , 平面 ,所以CE⊥CD. 所以在 和 中,由勾股定理得 , . 又因为 ,所以 ,即CD⊥AD. 由 , 平面 ,所以CD⊥平面 . (2)由(1)得CD⊥AD,当 时,点D在线段AC的垂直平分线上,D到直线AC的距离为1,由 ,AF⊥平面 ,故以点A为坐标原点,建立如图所示空间直角标系. 则 , , , , , , . 设平面 的一个法向量为 , 由 ,得 ,令 ,得 . 设平面 的一个法向量为 ,则由 ,得 ,令 ,得 . 则 . 所以平面 和平面 的夹角的余弦值为 题组三、线面角与面面角的综合 3-1、(2023·湖南邵阳·统考三模)如图所示,在直四棱柱ABCD- 中,底面ABCD为菱形, , ,E为线段 上一点. (1)求证: ; (2)若平面 与平面ABCD的夹角的余弦值为 ,求直线BE与平面 所成角的正弦值. 【答案】(1)证明见解析 (2) 【详解】(1)连接 , 底面 为菱形, . 又 平面 平面 . 又 面 , 平面 .又 平面 .(2)设 的中点为 ,连接 ,如图: 为等边三角形, ,又 ,则 . 又 平面 ,则 . 以A为坐标原点建立如图所示空间直角坐标系, 则 , , , 设平面 的一个法向量为 , 令 ,则 . 又平面 的一个法向量为 , 则 . 又平面 与平面 的夹角的余弦值为 , ,, , . 直线 与平面 所成角的正弦值为 . 3-2、(2023·湖南岳阳·统考三模)如图,在三棱柱 中,D为AC的中点,AB=BC=2, . (1)证明: ; (2)若 ,且满足:三棱柱 的体积为 ,二面角 的大小为60°,求二面角 的正弦值. 【答案】(1)证明见解析 (2) 【详解】(1)在三棱柱 中,由题意可得 , , , ∴ , 又∵AD=DC,∴ , 同时在△ABC中,∵AB=BC,AD=DC, ∴ ,∵ , , 平面 , ∴ 平面 , 又∵ 平面 ,∴ (2)∵ 且 ,∴ 平面ABC, ∵ 平面ABC,∴ ,又∵ , ∴ 为二面角 的平面角,即 , ,取BC的中点O,则 ,∴ , 又∵三棱柱 的体积为 ,∴ 如图所示,建立空间直角坐标系, 设平面 的一个法向量为 ,且 , , 则 ,令 ,则 , , 故 , 设平面 的一个法向量为 , 且 , ,则 , 令 ,则b=0, ,故 , ,故二面角 的正弦值为 1、(2022·山东青岛·高三期末)如图所示,已知四棱锥P-ABCD的底面是矩形, 底面ABCD,M为BC 中点,且 .(1)求证:面 面PDB; (2)若两条异面直线AB与PC所成的角为45°,求面PAM与面PBC夹角的余弦值. 【答案】 (1)证明见解析; (2) . 【分析】 (1)根据给定条件证明 ,再结合线面垂直性质推理作答. (2)以 点为原点,射线DA,DC,DP分别为x,y,z轴非负半轴建立空间直角坐标系,借助空间向量计算 作答. (1) 矩形 中,M为BC中点,则 ,即有 , 于是得 ,则有 , 因 底面 , 平面 ,则 , 又 , 平面 ,从而有 平面 ,又 平面 , 所以平面 平面 . (2) 因 ,则 是异面直线 与 所成的角,即 ,有 , 以 点为原点,射线DA,DC,DP分别为x,y,z轴非负半轴建立空间直角坐标系,如图,则 , , , , 设平面 的一个法向量为 ,则 ,令 ,得 , 设平面 的一个法向量 ,则 ,令 ,得 , 因此, , 所以平面 与平面 所成角 的余弦值 2、(2022·山东德州·高三期末)如图,在直三棱柱 中, , ,点Q为BC的中点, 平面 平面 . (1)证明: 平面 ; (2)若直线AC与平面 所成角的大小为30°,求锐二面角 的大小. 【答案】 (1)证明见解析(2)60° 【分析】 (1)根据面面垂直性质可得 面 ,再根据线面垂直性质可得 ,再结合直棱柱性质即可 证明 平面 ; (2)先通过线面角证明 ,再通过建立空间直角坐标系,将锐二面角 表示转化为求向 量的夹角,即向量法求二面角. (1) 证明:取 中点D,连结CD, 因为 , ,所以 又面 面 ,面 面 ,所以 面 因为 面 ,所以 又因为 , ,所以 面 . (2) 连结AD,由(1)知, 面 ,则 是直线AC与平面 所成角, , 中, ,又 , , , 得 ,所以 . 以A为原点,AB,AC, 所在直线分别为x,y,z轴建立空间直角坐标系, , , , 设平面 得法向量为 , 则 令 ,则 . 又 面 ,则 为面 的一个法向量. 设二面角 大小为 ,则 所以锐二面角 的大小为60°. 3、(2023·黑龙江·黑龙江实验中学校考一模)如图,在四棱锥 中,四边形ABCD是直角梯形, , , 底面ABCD, , ,E是PB的中点.(1)求证:平面 平面PBC; (2)若二面角 的余弦值为 ,求a的值; (3)在(2)的条件下求直线PA与平面EAC所成角的正弦值. 【答案】(1)见解析;(2)4;(3) 【分析】(1)由线线垂直证 平面PBC,再证平面 平面PBC; (2)以C为原点建立如图所示空间直角坐标系,由向量法求平面 与平面 的夹角余弦值,进而由 二面角 的余弦值建立方程,解得a的值; (3)由向量法求得 ,即可求得直线PA与平面EAC所成角的正弦值. 【详解】(1)证明:由题意得,直角梯形ABCD中, , , 由 得 . 底面ABCD, 平面ABCD,∴ . ∵ 平面PBC,∴ 平面PBC, ∵ 平面 ,∴平面 平面PBC; (2)由(1)得,以C为原点建立如图所示空间直角坐标系,则有 , 设平面 的法向量为 , , , 则有 ,令 有 ; 平面 的其中一个法向量为 . 故 . 由二面角 的余弦值为 得 ,解得 ; (3)由(2)得 , , ∴ , ∴直线PA与平面EAC所成角的正弦值为 . 4、(2023·湖北·校联考三模)已知平行六面体(底面是平行四边形的四棱柱) 的各条棱 长均为2,且有 .(1)求证:平面 平面 ; (2)求直线 与平面 所成角的正弦值. 【答案】(1)证明见解析 (2) 【详解】(1)连接AC和 ,由底面是菱形得, 由 与 全等,得 为 的中点, 又 平面 , 平面 , 平面 , 又 平面 平面 平面 . (2)以 为x轴,以 为y轴,以过O与底面垂直的直线为z轴,建立如图空间坐标系, 则 过A作底面的垂线,垂足为H,由 为正三棱锥知H为 的重心, 设 ,由 ,得 , 又取平面 的法向量为 , 设直线 与平面 所成角为 , 则 ∴直线 与平面 所成角的正弦值为 5、(2023·江苏连云港·统考模拟预测)如图,直三棱柱 内接于圆柱, ,平 面 平面 . (1)证明: 为圆柱底面的直径; (2)若M为 中点,N为 中点,求平面 与平面 所成锐二面角的余弦值. 【答案】(1)见解析;(2) 【分析】(1)根据面面垂直的性质定理证明 平面 ,继而证明 平面 ,根据线面垂直的性质定理证明 ,即可证明结论; (2)建立空间直角坐标系,求得相关点坐标,求得平面 与平面 的法向量,根据空间向量的夹 角公式,即可求得答案. 【详解】(1)证明:连接 ,在直三棱柱 中, , ∴四边形 为正方形, ∴ 又平面 平面 ,平面 平面 , 平面 , ∴ 平面 ,又 平面 , ∴ 又 平面 , 平面 , ∴ . 又 , , 平面 , ∴ 平面 ,又 平面 , ∴ ,∴ 为圆柱底面的直径. (2)由已知 平面 , , ∴以 为正交基底建立空间直角坐标系 ,∴ , , , , , . ∵ 为 , 中点, ∴ , . 设平面 的一个法向量为 . 则 ,又 , , ∴ ,取 ,得 , ,∴ , 设平面 的一个法向量为 . 则 ,又 , , ∴ ,取 ,得 , . ∴ , ∴ , 所以平面 与平面 所成锐二面角的余弦值为6、(2023·江苏南通·统考一模)如图,在 中, 是 边上的高,以 为折痕,将 折至 的位置,使得 . (1)证明: 平面 ; (2)若 ,求二面角 的正弦值. 【答案】(1)见解析;(2) 【分析】(1)先证明出线面垂直,得到 ,进而证明出 平面 ; (2)建立空间直角坐标系,利用空间向量求解二面角的余弦值,进而求出正弦值. 【详解】(1)证明:∵ 是 边上的高, ∴ , ∵ , 平面 , 平面 , ∵ 平面 , , 又 平面 , ∴ 平面 ; (2)以D为坐标原点,DA所在直线为x轴,DB所在直线为y轴,垂直ADB平面为z轴,建立空间直角 坐标系, , 则 ,, 设平面 与平面 的一个法向量分别为 , 故 ,解得: ,令 ,得: , 则 , ,解得: ,令 ,则 , 故 , 设二面角 平面角为 ,显然 为锐角, , .