当前位置:首页>文档>专题17圆锥曲线中的双曲线与抛物线问题(解析版)_2.2025数学总复习_2024年新高考资料_2.2024二轮复习_2024年高三数学二轮优化提优专题训练

专题17圆锥曲线中的双曲线与抛物线问题(解析版)_2.2025数学总复习_2024年新高考资料_2.2024二轮复习_2024年高三数学二轮优化提优专题训练

  • 2026-04-09 20:08:42 2026-03-16 09:38:46

文档预览

专题17圆锥曲线中的双曲线与抛物线问题(解析版)_2.2025数学总复习_2024年新高考资料_2.2024二轮复习_2024年高三数学二轮优化提优专题训练
专题17圆锥曲线中的双曲线与抛物线问题(解析版)_2.2025数学总复习_2024年新高考资料_2.2024二轮复习_2024年高三数学二轮优化提优专题训练
专题17圆锥曲线中的双曲线与抛物线问题(解析版)_2.2025数学总复习_2024年新高考资料_2.2024二轮复习_2024年高三数学二轮优化提优专题训练
专题17圆锥曲线中的双曲线与抛物线问题(解析版)_2.2025数学总复习_2024年新高考资料_2.2024二轮复习_2024年高三数学二轮优化提优专题训练
专题17圆锥曲线中的双曲线与抛物线问题(解析版)_2.2025数学总复习_2024年新高考资料_2.2024二轮复习_2024年高三数学二轮优化提优专题训练
专题17圆锥曲线中的双曲线与抛物线问题(解析版)_2.2025数学总复习_2024年新高考资料_2.2024二轮复习_2024年高三数学二轮优化提优专题训练
专题17圆锥曲线中的双曲线与抛物线问题(解析版)_2.2025数学总复习_2024年新高考资料_2.2024二轮复习_2024年高三数学二轮优化提优专题训练
专题17圆锥曲线中的双曲线与抛物线问题(解析版)_2.2025数学总复习_2024年新高考资料_2.2024二轮复习_2024年高三数学二轮优化提优专题训练
专题17圆锥曲线中的双曲线与抛物线问题(解析版)_2.2025数学总复习_2024年新高考资料_2.2024二轮复习_2024年高三数学二轮优化提优专题训练
专题17圆锥曲线中的双曲线与抛物线问题(解析版)_2.2025数学总复习_2024年新高考资料_2.2024二轮复习_2024年高三数学二轮优化提优专题训练
专题17圆锥曲线中的双曲线与抛物线问题(解析版)_2.2025数学总复习_2024年新高考资料_2.2024二轮复习_2024年高三数学二轮优化提优专题训练
专题17圆锥曲线中的双曲线与抛物线问题(解析版)_2.2025数学总复习_2024年新高考资料_2.2024二轮复习_2024年高三数学二轮优化提优专题训练
专题17圆锥曲线中的双曲线与抛物线问题(解析版)_2.2025数学总复习_2024年新高考资料_2.2024二轮复习_2024年高三数学二轮优化提优专题训练
专题17圆锥曲线中的双曲线与抛物线问题(解析版)_2.2025数学总复习_2024年新高考资料_2.2024二轮复习_2024年高三数学二轮优化提优专题训练
专题17圆锥曲线中的双曲线与抛物线问题(解析版)_2.2025数学总复习_2024年新高考资料_2.2024二轮复习_2024年高三数学二轮优化提优专题训练
专题17圆锥曲线中的双曲线与抛物线问题(解析版)_2.2025数学总复习_2024年新高考资料_2.2024二轮复习_2024年高三数学二轮优化提优专题训练
专题17圆锥曲线中的双曲线与抛物线问题(解析版)_2.2025数学总复习_2024年新高考资料_2.2024二轮复习_2024年高三数学二轮优化提优专题训练
专题17圆锥曲线中的双曲线与抛物线问题(解析版)_2.2025数学总复习_2024年新高考资料_2.2024二轮复习_2024年高三数学二轮优化提优专题训练
专题17圆锥曲线中的双曲线与抛物线问题(解析版)_2.2025数学总复习_2024年新高考资料_2.2024二轮复习_2024年高三数学二轮优化提优专题训练
专题17圆锥曲线中的双曲线与抛物线问题(解析版)_2.2025数学总复习_2024年新高考资料_2.2024二轮复习_2024年高三数学二轮优化提优专题训练
专题17圆锥曲线中的双曲线与抛物线问题(解析版)_2.2025数学总复习_2024年新高考资料_2.2024二轮复习_2024年高三数学二轮优化提优专题训练
专题17圆锥曲线中的双曲线与抛物线问题(解析版)_2.2025数学总复习_2024年新高考资料_2.2024二轮复习_2024年高三数学二轮优化提优专题训练
专题17圆锥曲线中的双曲线与抛物线问题(解析版)_2.2025数学总复习_2024年新高考资料_2.2024二轮复习_2024年高三数学二轮优化提优专题训练
专题17圆锥曲线中的双曲线与抛物线问题(解析版)_2.2025数学总复习_2024年新高考资料_2.2024二轮复习_2024年高三数学二轮优化提优专题训练
专题17圆锥曲线中的双曲线与抛物线问题(解析版)_2.2025数学总复习_2024年新高考资料_2.2024二轮复习_2024年高三数学二轮优化提优专题训练
专题17圆锥曲线中的双曲线与抛物线问题(解析版)_2.2025数学总复习_2024年新高考资料_2.2024二轮复习_2024年高三数学二轮优化提优专题训练
专题17圆锥曲线中的双曲线与抛物线问题(解析版)_2.2025数学总复习_2024年新高考资料_2.2024二轮复习_2024年高三数学二轮优化提优专题训练

文档信息

文档格式
docx
文档大小
1.177 MB
文档页数
27 页
上传时间
2026-03-16 09:38:46

文档内容

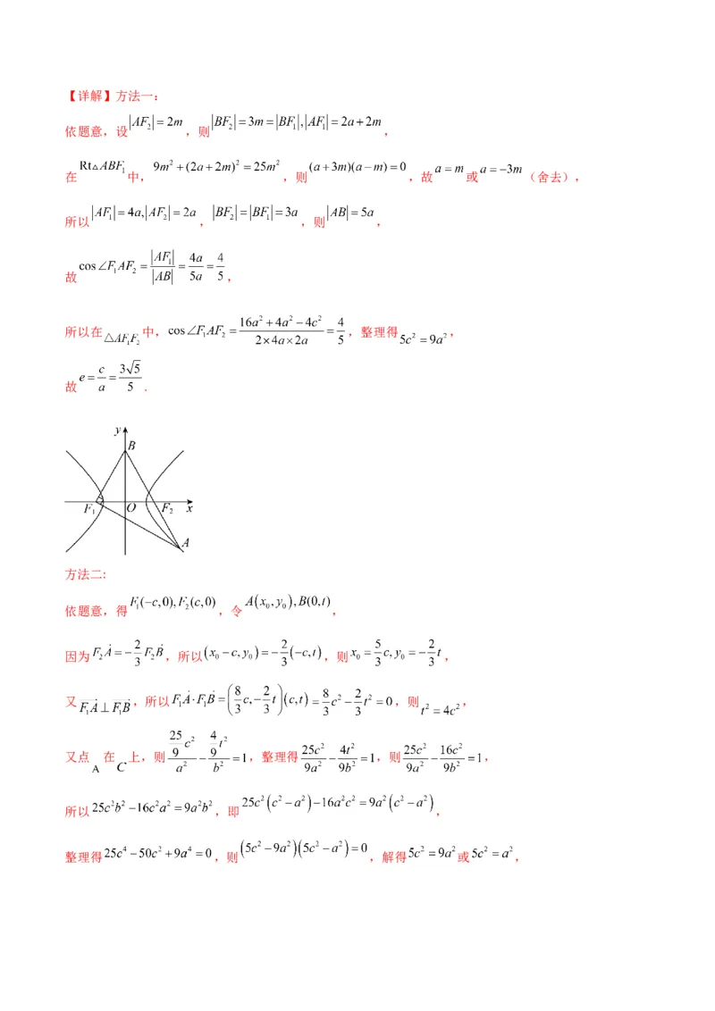
专题17 圆锥曲线中的双曲线与抛物线问题 1、(2023年全国甲卷数学(文)(理))已知双曲线 的离心率为 ,其中一条渐近 线与圆 交于A,B两点,则 ( ) A. B. C. D. 【答案】D 【详解】由 ,则 , 解得 , 所以双曲线的一条渐近线不妨取 , 则圆心 到渐近线的距离 , 所以弦长 . 故选:D 2、(2023年全国乙卷数学(文)(理))设A,B为双曲线 上两点,下列四个点中,可为线段AB 中点的是( ) A. B. C. D. 【答案】D 【详解】设 ,则 的中点 ,可得 , 因为 在双曲线上,则 ,两式相减得 , 所以 . 对于选项A: 可得 ,则 , 联立方程 ,消去y得 , 此时 , 所以直线AB与双曲线没有交点,故A错误; 对于选项B:可得 ,则 , 联立方程 ,消去y得 , 此时 , 所以直线AB与双曲线没有交点,故B错误; 对于选项C:可得 ,则 由双曲线方程可得 ,则 为双曲线的渐近线, 所以直线AB与双曲线没有交点,故C错误; 对于选项D: ,则 ,联立方程 ,消去y得 , 此时 ,故直线AB与双曲线有交两个交点,故D正确; 故选:D. 3、 【2022年全国乙卷】设F为抛物线C:y2=4x的焦点,点A在C上,点B(3,0),若|AF|=|BF|, 则|AB|=( ) A.2 B.2√2 C.3 D.3√2 【答案】B 【解析】由题意得,F(1,0),则|AF|=|BF|=2, 即点A到准线x=−1的距离为2,所以点A的横坐标为−1+2=1, 不妨设点A在x轴上方,代入得,A(1,2), 所以|AB|=√(3−1) 2+(0−2) 2=2√2. 故选:B 4、【2022年全国乙卷】双曲线C的两个焦点为F ,F ,以C的实轴为直径的圆记为D,过F 作D的切线 1 2 1 3 与C的两支交于M,N两点,且cos∠F N F = ,则C的离心率为( ) 1 2 5 √5 3 √13 √17 A. B. C. D. 2 2 2 2 【答案】C 【解析】解:依题意不妨设双曲线焦点在x轴,设过F 作圆D的切线切点为G, 1 3 所以OG⊥N F ,因为cos∠F N F = >0,所以N在双曲线的右支, 1 1 2 5 所以|OG|=a,|OF |=c,|GF |=b,设∠F N F =α,∠F F N=β, 1 1 1 2 2 1 3 3 4 a b 由cos∠F N F = ,即cosα= ,则sinα= ,sinβ= ,cosβ= , 1 2 5 5 5 c c 在△F F N中,sin∠F F N=sin(π−α−β)=sin(α+β) 2 1 1 2 4 b 3 a 3a+4b =sinαcosβ+cosαsinβ= × + × = , 5 c 5 c 5c2c |N F | |N F | 5c 由正弦定理得 = 2 = 1 = , sinα sinβ sin∠F F N 2 1 2 5c 5c 3a+4b 3a+4b 5c 5c a 5a 所以|N F |= sin∠F F N= × = ,|N F |= sinβ= × = 1 2 1 2 2 5c 2 2 2 2 c 2 3a+4b 5a 4b−2a 又|N F |−|N F |= − = =2a, 1 2 2 2 2 b 3 所以2b=3a,即 = , a 2 c √ b2 √13 所以双曲线的离心率e= = 1+ = a a2 2 故选:C 5、(2023年新课标全国Ⅱ卷)(多选题)设O为坐标原点,直线 过抛物线 的焦点,且与C交于M,N两点,l为C的准线,则( ). A. B. C.以MN为直径的圆与l相切 D. 为等腰三角形 【答案】AC 【详解】A选项:直线 过点 ,所以抛物线 的焦点 , 所以 ,则A选项正确,且抛物线 的方程为 . B选项:设 ,由 消去 并化简得 , 解得 ,所以 ,B选项错误. C选项:设 的中点为 , 到直线 的距离分别为 , 因为 , 即 到直线 的距离等于 的一半,所以以 为直径的圆与直线 相切,C选项正确. D选项:直线 ,即 , 到直线 的距离为 , 所以三角形 的面积为 , 由上述分析可知 , 所以 , 所以三角形 不是等腰三角形,D选项错误. 故选:AC. 6、【2022年新高考1卷】(多选题)已知O为坐标原点,点A(1,1)在抛物线C:x2=2py(p>0)上,过 点B(0,−1)的直线交C于P,Q两点,则( ) A.C的准线为y=−1 B.直线AB与C相切C.|OP|⋅|OQ|>|OA| 2 D.|BP|⋅|BQ|>|BA|2 【答案】BCD 1 【解析】将点A的代入抛物线方程得1=2p,所以抛物线方程为x2= y,故准线方程为y=− ,A错误; 4 1−(−1) k = =2,所以直线AB的方程为y=2x−1, AB 1−0 联立¿,可得x2−2x+1=0,解得x=1,故B正确; 设过B的直线为l,若直线l与y轴重合,则直线l与抛物线C只有一个交点, 所以,直线l的斜率存在,设其方程为y=kx−1,P(x ,y ),Q(x ,y ), 1 1 2 2 联立¿,得x2−kx+1=0, 所以¿,所以k>2或k<−2,y y =(x x ) 2=1, 1 2 1 2 又|OP|=√x2+ y2=√y + y2,|OQ|=√x2+ y2=√y + y2, 1 1 1 1 2 2 2 2 所以|OP|⋅|OQ|=√y y (1+ y )(1+ y )=√kx ×kx =|k|>2=|OA|2 ,故C正确; 1 2 1 2 1 2 因为|BP|=√1+k2|x |,|BQ|=√1+k2|x |, 1 2 所以|BP|⋅|BQ|=(1+k2 )|x x |=1+k2>5,而|BA|2=5,故D正确. 1 2 故选:BCD 7、【2022年新高考2卷】(多选题)已知O为坐标原点,过抛物线C:y2=2px(p>0)焦点F的直线与C 交于A,B两点,其中A在第一象限,点M(p,0),若|AF|=|AM|,则( ) A.直线AB的斜率为2√6 B.|OB|=|OF| C.|AB|>4|OF| D.∠OAM+∠OBM<180° 【答案】ACD 【解析】p p +p 对于A,易得F( ,0),由|AF|=|AM|可得点A在FM的垂直平分线上,则A点横坐标为 2 3p, 2 = 2 4 √6p 3p 3 3p √6p 2 代入抛物线可得y2=2p⋅ = p2 ,则A( , ),则直线AB的斜率为 =2√6,A正确; 4 2 4 2 3p p − 4 2 1 p 1 对于B,由斜率为2√6可得直线AB的方程为x= y+ ,联立抛物线方程得y2− py−p2=0, 2 √6 2 √6 √6 √6 √6p ( √6p) 2 p 设B(x ,y ),则 p+ y = p,则y =− ,代入抛物线得 − =2p⋅x ,解得x = ,则 1 1 2 1 6 1 3 3 1 1 3 p √6p B( ,− ), 3 3 √ (p) 2 ( √6p) 2 √7p p 则|OB|= + − = ≠|OF|= ,B错误; 3 3 3 2 3p p 25p 对于C,由抛物线定义知:|AB|= + +p= >2p=4|OF|,C正确; 4 3 12 3p √6p p √6p 3p p √6p ( √6p) 3p2 对于D,⃑OA⋅⃑OB=( , )⋅( ,− )= ⋅ + ⋅ − =− <0,则∠AOB为 4 2 3 3 4 3 2 3 4 钝角, p √6p 2p √6p p ( 2p) √6p ( √6p) 5p2 又⃑MA⋅⃑MB=(− , )⋅(− ,− )=− ⋅ − + ⋅ − =− <0,则 4 2 3 3 4 3 2 3 6 ∠AMB为钝角, 又∠AOB+∠AMB+∠OAM+∠OBM=360∘,则∠OAM+∠OBM<180∘,D正确. 故选:ACD. 8、(2023年新课标全国Ⅰ卷)已知双曲线 的左、右焦点分别为 .点 在 上, 点 在 轴上, ,则 的离心率为________. 【答案】 /【详解】方法一: 依题意,设 ,则 , 在 中, ,则 ,故 或 (舍去), 所以 , ,则 , 故 , 所以在 中, ,整理得 , 故 . 方法二: 依题意,得 ,令 , 因为 ,所以 ,则 , 又 ,所以 ,则 , 又点 在 上,则 ,整理得 ,则 , 所以 ,即 , 整理得 ,则 ,解得 或 ,又 ,所以 或 (舍去),故 . 故答案为: . x2 y2 9、【2022年全国甲卷】记双曲线C: − =1(a>0,b>0)的离心率为e,写出满足条件“直线y=2x与 a2 b2 C无公共点”的e的一个值______________. 【答案】2(满足10,b>0),所以C的渐近线方程为y=± x, a2 b2 a b b2 结合渐近线的特点,只需0< ≤2,即 ≤4, a a2 可满足条件“直线y=2x与C无公共点” c √ b2 所以e= = 1+ ≤√1+4=√5, a a2 又因为e>1,所以1