当前位置:首页>文档>微专题求二项式展开式的特定项学案——2023届高考数学一轮《考点·题型·技巧》精讲与精练_2.2025数学总复习_赠品通用版(老高考)复习资料_一轮复习

微专题求二项式展开式的特定项学案——2023届高考数学一轮《考点·题型·技巧》精讲与精练_2.2025数学总复习_赠品通用版(老高考)复习资料_一轮复习

  • 2026-04-15 03:47:03 2026-03-20 05:46:33

文档预览

微专题求二项式展开式的特定项学案——2023届高考数学一轮《考点·题型·技巧》精讲与精练_2.2025数学总复习_赠品通用版(老高考)复习资料_一轮复习
微专题求二项式展开式的特定项学案——2023届高考数学一轮《考点·题型·技巧》精讲与精练_2.2025数学总复习_赠品通用版(老高考)复习资料_一轮复习
微专题求二项式展开式的特定项学案——2023届高考数学一轮《考点·题型·技巧》精讲与精练_2.2025数学总复习_赠品通用版(老高考)复习资料_一轮复习
微专题求二项式展开式的特定项学案——2023届高考数学一轮《考点·题型·技巧》精讲与精练_2.2025数学总复习_赠品通用版(老高考)复习资料_一轮复习
微专题求二项式展开式的特定项学案——2023届高考数学一轮《考点·题型·技巧》精讲与精练_2.2025数学总复习_赠品通用版(老高考)复习资料_一轮复习
微专题求二项式展开式的特定项学案——2023届高考数学一轮《考点·题型·技巧》精讲与精练_2.2025数学总复习_赠品通用版(老高考)复习资料_一轮复习
微专题求二项式展开式的特定项学案——2023届高考数学一轮《考点·题型·技巧》精讲与精练_2.2025数学总复习_赠品通用版(老高考)复习资料_一轮复习
微专题求二项式展开式的特定项学案——2023届高考数学一轮《考点·题型·技巧》精讲与精练_2.2025数学总复习_赠品通用版(老高考)复习资料_一轮复习
微专题求二项式展开式的特定项学案——2023届高考数学一轮《考点·题型·技巧》精讲与精练_2.2025数学总复习_赠品通用版(老高考)复习资料_一轮复习
微专题求二项式展开式的特定项学案——2023届高考数学一轮《考点·题型·技巧》精讲与精练_2.2025数学总复习_赠品通用版(老高考)复习资料_一轮复习
微专题求二项式展开式的特定项学案——2023届高考数学一轮《考点·题型·技巧》精讲与精练_2.2025数学总复习_赠品通用版(老高考)复习资料_一轮复习
微专题求二项式展开式的特定项学案——2023届高考数学一轮《考点·题型·技巧》精讲与精练_2.2025数学总复习_赠品通用版(老高考)复习资料_一轮复习
微专题求二项式展开式的特定项学案——2023届高考数学一轮《考点·题型·技巧》精讲与精练_2.2025数学总复习_赠品通用版(老高考)复习资料_一轮复习
微专题求二项式展开式的特定项学案——2023届高考数学一轮《考点·题型·技巧》精讲与精练_2.2025数学总复习_赠品通用版(老高考)复习资料_一轮复习
微专题求二项式展开式的特定项学案——2023届高考数学一轮《考点·题型·技巧》精讲与精练_2.2025数学总复习_赠品通用版(老高考)复习资料_一轮复习
微专题求二项式展开式的特定项学案——2023届高考数学一轮《考点·题型·技巧》精讲与精练_2.2025数学总复习_赠品通用版(老高考)复习资料_一轮复习
微专题求二项式展开式的特定项学案——2023届高考数学一轮《考点·题型·技巧》精讲与精练_2.2025数学总复习_赠品通用版(老高考)复习资料_一轮复习
微专题求二项式展开式的特定项学案——2023届高考数学一轮《考点·题型·技巧》精讲与精练_2.2025数学总复习_赠品通用版(老高考)复习资料_一轮复习
微专题求二项式展开式的特定项学案——2023届高考数学一轮《考点·题型·技巧》精讲与精练_2.2025数学总复习_赠品通用版(老高考)复习资料_一轮复习
微专题求二项式展开式的特定项学案——2023届高考数学一轮《考点·题型·技巧》精讲与精练_2.2025数学总复习_赠品通用版(老高考)复习资料_一轮复习
微专题求二项式展开式的特定项学案——2023届高考数学一轮《考点·题型·技巧》精讲与精练_2.2025数学总复习_赠品通用版(老高考)复习资料_一轮复习
微专题求二项式展开式的特定项学案——2023届高考数学一轮《考点·题型·技巧》精讲与精练_2.2025数学总复习_赠品通用版(老高考)复习资料_一轮复习
微专题求二项式展开式的特定项学案——2023届高考数学一轮《考点·题型·技巧》精讲与精练_2.2025数学总复习_赠品通用版(老高考)复习资料_一轮复习
微专题求二项式展开式的特定项学案——2023届高考数学一轮《考点·题型·技巧》精讲与精练_2.2025数学总复习_赠品通用版(老高考)复习资料_一轮复习
微专题求二项式展开式的特定项学案——2023届高考数学一轮《考点·题型·技巧》精讲与精练_2.2025数学总复习_赠品通用版(老高考)复习资料_一轮复习
微专题求二项式展开式的特定项学案——2023届高考数学一轮《考点·题型·技巧》精讲与精练_2.2025数学总复习_赠品通用版(老高考)复习资料_一轮复习
微专题求二项式展开式的特定项学案——2023届高考数学一轮《考点·题型·技巧》精讲与精练_2.2025数学总复习_赠品通用版(老高考)复习资料_一轮复习
微专题求二项式展开式的特定项学案——2023届高考数学一轮《考点·题型·技巧》精讲与精练_2.2025数学总复习_赠品通用版(老高考)复习资料_一轮复习

文档信息

文档格式
docx
文档大小
1.187 MB
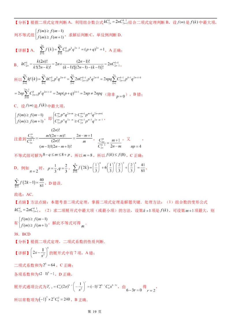
文档页数
28 页
上传时间
2026-03-20 05:46:33

文档内容

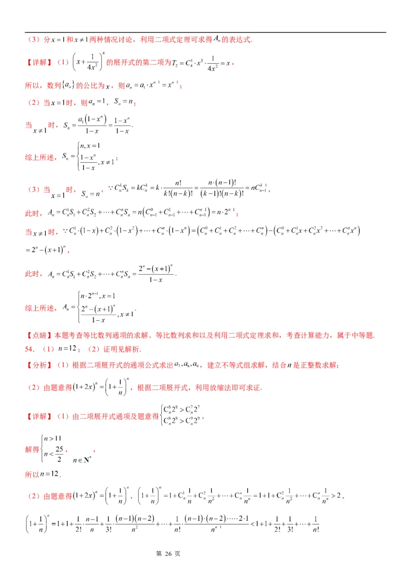
微专题:求二项式展开式的特定项 【考点梳理】 1. 二项式定理 概念 公式(a+b)n= C a n + C a n - 1 b 1 +…+ C a n - k b k +…+ C b n (n∈N*)叫做二项式定理. 二项式 各项的系数 C ( k=0,1,2,…,n)叫做二项式系数. 系数 通项 C a n - k b k 叫做二项展开式的通项,是展开式中的第 k + 1 项,可记做T =Can-k·bk(k=0,1,2,…,n). k+1 二项 Can+Can-1b1+Can-2b2+…+Can-kbk+…+Cbn(n∈N*)叫做(a+b)n的二项展开式. 展开式 2. 求二项展开式有关问题的常见类型及解题策略:①求展开式中的特定项,可依据条件写出第 r+1项,再由 特定项的特点求出r值即可;②已知展开式的某项,求特定项的系数,可由某项得出参数项,再由通项写出第r+ 1项,由特定项得出r值,最后求出其系数. 【题型归纳】 题型一:求二项展开式 1. 展开式中, 的系数为( ) A.20 B. C.160 D. 2.二项式 的展开式中为常数项的是( ) A.第3项 B.第4项 C.第5项 D.第6项 3. 展开式中的常数项为 A.第5项 B.第5项或第6项 C.第6项 D.不存在 题型二:求二项展开式的第k项 4.若 展开式中第2项与第12项的二项式系数相同,那么展开式的中间一项为( ) A. B. C. D. 第 1 页 学学科科网网((北北京京))股股份份有有限限公公司司5.在二项式 的展开式中只有第 项的二项式系数最大,则展开式中的第 项系数为( ) A. B. C. D. 6.已知 展开式的二项式系数之和为64,则展开式的第5项是( ) A.6 B.15 C. D. 题型三:根据二项式的第k项求值 7.若 的展开式中第4项是常数项,则n的值为( ) A.14 B.16 C.18 D.20 8. 展开式中的常数项为-160,则a=( ) A.-1 B.1 C.±1 D.2 9.已知 的展开式中常数项为45,则展开式中系数最大的是( ) A.第2项 B.第4项 C.第5项 D.第6项 【双基达标】 10.已知 的展开式中各项的二项式系数的和为512,则这个展开式中第( )项是常数项. A.3 B.4 C.5 D.6 11.杨辉是我国南宋末年的一位杰出的数学家.在他著的《详解九章算法》一书中,画了一张表示二项式展开后的 系数构成的三角形数阵(如图所示),称做“开方做法本源”,现在简称为“杨辉三角”,它是杨辉的一大重要 研究成果.它比西方的“帕斯卡三角形”早了393年.若用 表示三角形数阵的第 行第 个数,则 ( ) 第 2 页 学学科科网网((北北京京))股股份份有有限限公公司司A.5050 B.4851 C.4950 D.5000 12. 的展开式中,第二项为( ) A. B. C. D. 13.若 ,则 ( ) A.1 B.0 C. D. 14. 展开式中无理项的项数为( ) A.7 B.6 C.5 D.4 15.设i为虚数单位,则(1+i)6展开式中的第三项为( ) A.-20i B.15i C.20 D.-15 16. 的展开式中的常数项为( ). A.-120 B.120 C.-60 D.60 17.在二项式 的展开式中,仅第四项的二项式系数最大,则展开式中常数项为( ) A.﹣360 B.﹣160 C.160 D.360 18.若二项式 的展开式中所有项的系数的绝对值的和为 ,则展开式中二项式系数最大的项为( ) A. B. C. D. 19.设随机变量 ,若二项式 ,则( ) A. , B. , C. , D. , 第 3 页 学学科科网网((北北京京))股股份份有有限限公公司司20. 展开式的第 项为( ) A. B. C. D. 21. 展开式中的第2项是( ) A. B. C. D. 22.在 的展开式中,偶数项的二项式系数的和为128,则展开式的中间项为( ) A. B. C. D. 23.若 的展开式中 的系数为 ,则 等于( ) A. B. C.1 D.2 24.二项式 的展开式中的常数项为( ) A.80 B.-80 C.40 D.-40 25.在二项式 的展开式中,前三项的系数成等差数列,则展开式中二项式系数最大的项是第几项 ( ) A.2 B.3 C.4 D.5 26.已知 的展开式的常数项为 ,则 ( ) A.5 B.6 C.7 D.9 27.若a为正实数,且 2020的展开式中各项系数的和为1,则该展开式第2020项为( ) A. B.- C. D.- 28.在关于 的二项式 的展开式中,末尾两项的二项式系数之和为 ,且二项式系数最大的 第 4 页 学学科科网网((北北京京))股股份份有有限限公公司司项的值为 ,则 ( ) A. B. 或 C. D. 或 29.设 ,则 ( ) A.21 B.64 C.78 D.156 30.已知 的展开式中只有第 项的二项式系数最大,若展开式中所有项的系数和为 ,则不正确 的命题是( ) A. B. C.展开式中常数项为 D.展开式中含 的项为 【高分突破】 一、单选题 31.已知 ,则 可化简为( ) A. B. C. D. 32.在 的展开式中,只有第五项的二项式系数最大,则展开式中 的系数为( ) A. B. C. D. 33. 的展开式的中间项为( ) A.-40 B. C.40 D. 34. 的展开式中的常数项为-160,则a的值为( ) A.1 B.-1 C.2 D.-2 35.已知 的展开式中各项系数的和为2,则该展开式中常数项为( ) A. B. C. D. 第 5 页 学学科科网网((北北京京))股股份份有有限限公公司司36.若 的展开式有9项,则自然数 的值为( ) A.7 B.8 C.9 D.10 二、多选题 37.已知 , 设 ,其中 则( ) A. B. C.若 ,则 D. 38.对于 的展开式,下列说法正确的是( ) A.展开式共有6项 B.展开式中的常数项是240 C.展开式的二项式系数之和为64 D.展开式的各项系数之和为1 39.关于 及其展开式,下列说法正确的是( ) A.该二项式展开式中二项式系数和是 B.该二项式展开式中第8项为 C.当 时, 除以100的余数是9 D.该二项式展开式中不含有理项 40.将杨辉三角中的每一个数 都换成 ,得到如图所示的分数三角形,称为莱布尼茨三角形.莱布尼茨三 角形具有很多优美的性质,如从第0行开始每一个数均等于其“脚下”两个数之和,如果 ,那么下面 关于莱布尼茨三角形的结论正确的是( ) 第 6 页 学学科科网网((北北京京))股股份份有有限限公公司司A.当n是偶数时,中间的一项取得最大值;当n是奇数时,中间的两项相等,且同时取得最大值 B.第8行中间一项是 C. D. 41.下列关系式成立的是( ) A. B. C. D. 42.设常数 , ,对于二项式 的展开式,下列结论中,正确的是( ) A.若 ,则各项系数随着项数增加而减小 B.若各项系数随着项数增加而增大,则 C.若 , ,则第7项的系数最大 D.若 , ,则所有奇数项系数和为239 第 7 页 学学科科网网((北北京京))股股份份有有限限公公司司三、填空题 43.在 的展开式中,只有第4项的二项式系数最大,则展开式中含 项的系数为______. 44. 展开式的中间项为________. 45.若 ,则 的展开式中的常数项是___________. 46.二项式 的展开式的常数项是____ . 47.在 的展开式中,常数项为___________.(用数字作答) 48.已知 的展开式中各项系数的和为 ,则该展开式中x的系数为_________ 四、解答题 49.已知 的二项展开式中,第三项的系数为7. (1)求证:前三项系数成等差数列; (2)求出展开式中所有有理项(即 的指数为整数的项). 50.已知在 的展开式中,第9项为常数项.求: (1)n的值; (2)展开式中x5的系数; (3)含x的整数次幂的项的个数. 51.若 的展开式中第2项小于第1项,但不小于第3项,求实数x的范围. 52.已知在 的展开式中,_________(填写条件前的序号) 条件①第5项的系数与第3项的系数之比是14:3; 条件②第2项与倒数第3项的二项式系数之和为55; 第 8 页 学学科科网网((北北京京))股股份份有有限限公公司司条件③ . (1)求展开式中二项式系数最大的项; (2)求展开式中含 的项. 53.已知数列 是等比数列, ,公比是 的展开式的第二项(按 的降幂排列). (1)求数列 的通项 ; (2)求数列 前 项和 ; (3)若 ,求 . 54.已知 . (1)若 且 ,求n的值; (2)若 ,求证: . 第 9 页 学学科科网网((北北京京))股股份份有有限限公公司司参考答案 1.D 【分析】求出展开式的通项,令 的指数位置等于 即可求解. 【详解】 展开式通项为 , 令 可得 , 所以 的系数为 , 故选:D. 2.C 【分析】根据给定二项式求出其展开式的通项,再求出通项中x的幂指数为0所对项数即可. 【详解】依题意, 的展开式的通项为 , , 令 ,得 ,即 是二项式 的展开式的常数项, 所以展开式中的常数项是第5项. 故选:C 3.C 【分析】根据题意,写出 展开式中的通项为 ,令 的指数为0,可得 的值,由项数与 的关系,可得 答案. 【详解】解:根据题意, 展开式中的通项为 , 令 ,可得 ;则其常数项为第 项; 故选 . 【点睛】本题考查二项式系数的性质,解题的关键是正确应用二项式定理,写出二项式展开式,其次注意项数值 与 的关系,属于基础题. 4.B 【分析】由二项式系数相等求得 值,然后根据二项式定理求解. 【详解】由题意 ,所以 , 因此展开式共有13项,中间一项是第7项, . 故选:B. 5.B 【分析】根据题意得 ,则 ,分析求解即可. 【详解】由 的展开式中只有第 项的二项式系数最大可知 , 第 10 页则 的展开式的通项为 , 则展开式中的第 项为 ,系数为 , 故选:B. 6.D 【分析】根据二项式系数之和为64求出 ,从而求出展开式的通项公式,求出第5项. 【详解】由题意得: ,解得: , 则 展开式的通项公式为 , 第五项是 故选:D 7.C 【分析】写出二项式展开式的通项,令 时 的指数位置等于 即可求解. 【详解】 展开式的通项为 , 令 可得 为常数项,可得 ,可得 , 故选:C. 8.B 【分析】写出该二项展开式的通项公式,令x的幂指数等于0,求出r的值,即可求得常数项,再根据常数项等 于-160求得实数a的值. 【详解】 的展开式通项为 , ∴令 ,解得 , ∴ 的展开式的常数项为 , ∴ ∴ 故选:B. 9.D 【分析】先求出二项式展开式的通项公式,利用常数项列方程求出 值,进而可得展开式中系数最大的项. 【详解】 展开式的通项 .令 ,解得 ,所以展开 式中的常数项为 ,又 ,所以 ,所以 即 ,其展开式共有11 第 11 页项,且正中间一项的二项式系数最大,又 展开式中的二项式系数与对应项的系数相同,所以 展开式中第6项的系数最大, 故选:D 10.B 【分析】依题意求得 ,进而求得二项展开式通项公式为 ,令 可得结果. 【详解】由题设可得: ,解得: , ∴ 的展开式的通项公式为 , ,1,… ,9, 令 ,解得: ,∴ 为常数项, 故选:B. 11.B 【解析】依据二项展开式系数可知,得到第 行第 个数应为 ,即可求得 的值. 【详解】依据二项展开式系数可知,第 行第 个数应为 , 故第100行第3个数为 故选: . 【点睛】本题考查二项展开式的应用,其中解答中得出第 行第 个数应为 是解答的关键,着重考查推理与运 算能力,属于基础题. 12.C 【分析】先表示出展开式的通项,再令r=1可求得. 【详解】 , 第二项是 ,即 = 故选:C 13.C 【解析】由 结合二项式定理可得出 ,利用二项式系数和公式可求得 的 值. 【详解】 , 当 且 时, , 因此, . 故选:C. 【点睛】关键点睛:本题考查二项式系数和的计算,解题的关键是熟悉二项式系数和公式 第 12 页,考查学生的转化能力与计算能力,属于基础题. 14.D 【解析】写出二项式展开的通项公式 ,让 为分数,得到的即为无理项,求解符合条件的 r,即可得答案. 【详解】二项式展开的通项公式 ,当 ,3,5,7时,对应的项均为无理数,故无理项的 项数为4个, 故选:D. 15.D 【分析】直接利用二项展开式的通项求解即可. 【详解】解:(1+i)6展开式中的第三项为 . 故选:D 16.D 【分析】先求出展开式的通项 ,令 即得解. 【详解】 的展开式中的 项为 , 令 ,解得 , 所以 的展开式中的常数项为 . 故选:D. 17.B 【分析】根据展开式二项式系数最大,求出n=6,然后利用展开式的通项公式进行求解即可. 【详解】∵展开式中,仅第四项的二项式系数最大, ∴展开式共有7项,则n=6, 则展开式的通项公式为Tk =C x6﹣k( )k=(﹣2)kC x6﹣2k, +1 由6﹣2k=0得k=3, 即常数项为T=(﹣2)3C 160, 4 故选:B. 【点睛】本题主要考查二项展开式的应用,求出n的值,结合展开式的通项公式是解决本题的关键.属于中档题. 18.A 【分析】令 ,根据展开式中系数的绝对值的和得到 .再判断二项式系数最大的项为第4项,根据二项 式定理计算得到答案. 【详解】令 ,可得展开式中系数的绝对值的和为 ,解得 . 第 13 页展开式有 项, 二项式 展开式中二项式系数最大的为第 项, . 故选 . 19.C 【分析】利用二项式的展开式和题设条件,得到 且 ,结合选项和二项分布的期望与方程 的公式,逐项判定,即可求解. 【详解】由题意,二项式 , 因为 , 可得 且 , 若选项A成立,则 , 解得 , 代入上式验证不成立,所以A错误; 若选项B成立,则 , 解得 , 代入上式验证不成立,所以B错误; 若选项C成立,则 , 解得 , 代入上式验证成立,所以C正确; 若选项D成立,则 , 解得 ,显然不成,所以D错误. 故选:C. 20.B 【分析】由展开式的通项公式求解即可 【详解】因为 , 所以 展开式的第 项为 , 故选:B 21.C 【分析】直接利用二项展开式的通项公式计算后,即可做出判定. 【详解】 展开式中的第2项是 . 故选: . 【点睛】本题考查利用二项式的展开式的通项公式 求特定项,属于基础性题. 第 14 页22.C 【分析】由题知偶数项的二项式系数的和为 ,进而得 ,再求解对应项即可. 【详解】解:因为二项展开式中,奇数项的二项式系数与偶数项的二项式系数相等, 所以,偶数项的二项式系数的和为 ,即 , 所以,展开式的中间项为 . 故选:C 23.D 【解析】利用整式乘法将表达式展开,由二项展开式的通项可知当 出现 或 时,展开式中有 的项,进而 根据 的系数即可求得 的值. 【详解】将题中所给式子可化为 根据二项式定理展开式通项为 , 的通项为 令 解得 所以 的项为 令 解得 所以 的项为 综上可知, 的系数为 解得 故选:D 【点睛】本题考查了二项式定理展开式的应用,根据项的系数求参数,属于中档题. 24.B 【分析】求出二项式展开式的通项公式,令 的指数为 ,求出 的值,代入通项公式可得常数项. 【详解】二项式 的展开式的通项为Tk = ·(x3)5-k =(-2)k x15-5k.令15-5k=0,得k=3, +1 所以常数项为T=(-2)3 =-80. 4 故选:B 25.D 【解析】先求得二项式 的展开式的通项,再根据前三项的系数成等差数列,由 求得 ,从而由展开式中中间项二项式系数最大求解. 【详解】二项式 的展开式的通项为: ,因为前三项的系数 第 15 页成等差数列, 所以 , 即 , 解得 (舍去) 所以展开式中共9项,中间一项即第5项的二项式系数最大, 故选:D 26.B 【解析】先根据二项式定理的通项公式列出常数项,建立等量关系,解之即可求出a,然后根据定积分的定义求出 即可. 【详解】 展开式通项 , 当 展开式常数项为1, 当 ,展开式无常数项, 当 展开式常数项为 当 ,展开式无常数项, 因此 , 所以 , 故选:B. 【点睛】本题考查定积分,二项式定理,考点较为综合题,既考查了二项式定理的通项,又考查了定积分公式的 应用,属于中等题. 27.D 【分析】由二项式展开式的各项系数和求出 的值,进而利用二项式展开式的通项公式求出第2020项. 【详解】由条件知,(a-1)2020=1,所以a-1=±1.因为a为正实数,所以a=2. 所以展开式的第2020项为 T = ·(2x)· =-2 ·x-2018=-4040·x-2018=- . 2020 故选:D 28.D 【分析】根据末尾两项二项式系数和可求得 ,进而确定第 项的二项式系数最大,利用展开式第 项构造方程求 得 后,结合特殊角三角函数值可得结果. 【详解】由题意知: ,解得: , 展开式的第 项的二项式系数最大, ,即 , ,又 , 或 . 故选:D. 29.A 第 16 页【分析】首先写出展开式的通项,再根据等差数列前 项和公式计算可得; 【详解】解: 的展开式的通项为 , , 所以 . 故选:A. 30.C 【分析】由题意判断出展开式的项数,即可得 ;令 代入计算等于所有项系数的和 ,即可求得 的值,从 而写出通项公式 ,分别由选项C与D列式求解 值,并代入求解,即可判断选项C,D. 【详解】由题意,展开式中只有第 项的二项式系数最大,所以可知展开式中共有 项,即 ,故A正确; 若展开式中所有项的系数和为 ,令 ,则 ,所以得 ,故B正确; 由通项公式得 ,令 ,解得 ,所以展开式中的常数项为 ,故C错误; 令 ,解得 ,所以展开式中含 的项为 ,故D正确. 故选:C 31.A 【分析】根据二项式定理的逆用直接化简即可. 【详解】 , 故选:A. 32.C 【分析】根据二项式定理,展开项系数中,当n为奇数时最中间的那一项最大. 【详解】依题意,第五项二项式系数最大,一共是9项,所以n=8, 二项式展开项的通项公式为: , , ∴ 的系数为 故选:C. 33.B 【解析】根据二项式定义可知 一共有 项,通项为 可知第 项为中间项,计 算可得. 【详解】解: 的展开式的通项为 第 17 页则中间项为 . 故选:B. 【点睛】本题考查求二项式展开式中指定项的计算问题,属于基础题. 34.A 【分析】由已知,根据二项式列出其展开式的通项,根据要计算的常数项,先计算出 ,然后根据其常数项的系数 列出关于a的方程,解方程即可完成求解. 【详解】由已知, 展开式的通向为 , 所以其展开式的常数项即 , , 所以常数项为 ,解得 . 故选:A. 35.D 【分析】令 可得各项系数和,求出 ,根据二项展开式求出 的常数项和含 的项与 相乘,合 并同类项即可求解展开式的常数项. 【详解】令二项式中的 为1得到展开式的各项系数和为 , , 展开式中常数项为 的常数项与含 的系数和, 展开式的通项为 , 令 得 ;令 ,无整数解, 展开式中常数项为 , 故选:D 【点睛】本题主要考查了二项式定理,二项展开式各项的系数和,二项展开式的通项公式,赋值法,属于中档题. 36.B 【分析】根据二项式展开式的项数即可得解. 【详解】解:因为 的展开式共有 项,所以 ,所以 , 故选:B. 37.AC 第 18 页【分析】根据二项式定理判断A,利用组合数公式 结合二项式定理判断B,设 是 中最大项, 列不等式组 ,求解后判断C,举反例判断D. 【详解】A. ,A正确; B. , 所以 (除非 ),B错; C.设 是 中最大项, ,即 , 注意到 , ,又 , 不等式组可解为 ,所以 ,所以 ,C正确; D.例如 时, , , ,D错误. 故选:AC. 【点睛】方法点睛:本题考查二项式定理,掌握二项式定理是解题关键.处理方法:(1)组合数的变形公式 ,(2)求二项展开式中最大项(或最小项)的方法,设第 项是 ,可设第 项最大,则 有 ,解此不等式可得 . 38.BCD 【分析】根据二项式定理,二项式系数的性质判断. 【详解】 的展开式中有7项,A错; 二项式系数和为 ,C正确; 各项系数和为 ,D正确, 展开式通项公式为 ,由 得 , 所以常数项为 ,B正确. 第 19 页故选:BCD. 39.BC 【分析】由二项式系数和与各项系数和可判断A;由展开式通项可判断B和D,变形展开式可判断C. 【详解】对于选项A:令 得展开式各项系数和为 ,但其二项式系数和为 ,故A错误; 对于选项B:展开式中第8项为 ,故B正确; 对于选项C:当 时, , 能被100整除, 而 ,除以100的余数是9, 当 时, 除以100的余数是9,故 正确; 对于选项D: 的展开式的通项 , 当 为整数,即 ,3, ,2021时, 为有理项,故D错误. 故选:BC. 40.BCD 【分析】根据题意,结合“莱布尼茨三角形”的特点逐个分析判断即可 【详解】对于A,根据杨辉三角的特点,当 为偶数时,中间的一项取得最大值,当 为奇 数时,中间的两项相 等,且同时取得最大值,所以当每一项取倒数时,再乘以一个常数,可得当n是偶数时,中间的一项取得最小值; 当n是奇数时,中间的两项相等,且同时取得最小值,所以A错误, 对于B,第8行共有9个数,中间的项为第5项,即为 ,所以B正确, 对于C,每一行距离首末距离相等的两项相等,即 ,所以C正确, 对于D,由莱布尼茨三角形的特点可知,每个数均等于其“脚下”两个数之和,即 ,所以D正确, 故选:BCD 41.ABCD 【分析】A.由 ,利用二项式定理判断;B.原式左边 利用二项 式定理判断;C.由 结合组合数运算放缩判断; D.由 化简判断. 【详解】A. ,故正确; 第 20 页B.原式左边 =右边,故正确; C. ①. 由①式知 , 另一方面, , , ,故正确; D. , . 原式左边 =右边,故正确. 故选:ABCD 42.BCD 【解析】求出二项展开式的通项,取 即可判断A;利用反证法可判断B;依次求出各项系数即可判断C;直 接求出奇数项和即可判断D. 【详解】二项式 的展开式的通项为 , 对于A,当 时,则任意项的系数均为0(除常数项),故A错误; 对于B,若 ,则最后两项为 ,有 ,与已知矛盾,故 ,故B正确; 对于C,若 , ,则各项系数为 , , , , , , , , , , ,故第7项的系数最大,故C正确. 对于D,若 , ,则所有奇数项系数和为 ,故 D正确. 故选:BCD. 43. 第 21 页【分析】首先根据题意,可得 ,进而可得其二项式展开式的通项,令x的指数为3,可得r的值,最后将r的 值代入通项可得其展开式中的 项,即可得答案. 【详解】由题知 ,则 , 令 ,得 , 所以展开式中 的系数为 . 故答案为: . 44. 【分析】利用通项公式求解. 【详解】 展开式的中间项为 . 故答案为: 45. 【分析】利用 ,先求出 ,进而利用二项展开式的通项公式,直接计算求解即可 【详解】由 可得, 或 , 解得 或 (舍去),对于 ,其展开式通项为: ,所以,令 时,可得常数项为 故答案为: 46. 【分析】求得二项展开式的通项 ,令 ,即可求解展开式的常数项,得到答案. 【详解】由题意,二项式 的展开式的通项为 , 令 ,可得 ,即展开式的常数项是 . 故答案为: . 47.15 【分析】利用二项展开式的通项公式计算可得. 【详解】解: ,令 ,解得 ,所以常数项为 故答案为:15. 48. 第 22 页【分析】令 ,求得a,再利用通项公式求得x项求解. 【详解】解:因为 的展开式中各项系数的和为 , 所以令 ,得 , 解得 , 所以二项式为 , 则展开式中含x的项为 , 故x的系数为-120, 故答案为: 49.(1)证明见解析;(2) ; ; . 【分析】(1)先根据二项展开式通项公式得第三项的系数,再解方程得 ,最后根据二项展开式通项公式写出 前三项系数,根据等差中项性质即可判断; (2)先根据二项展开式通项公式得 的指数,再根据 的指数为整数确定对应项,即得结果. 【详解】解:(1) ∵ ,(负值舍去) 所以前三项分别为 , , 所以前三项系数分别为1,4,7, 前三项系数成等差数列. (2) , ∴ ,展开式中 的指数为整数, 所以展开式中所有有理项为: 、 、 . 【点睛】本题考查二项展开式通项公式、等差数列判断,考查基本分析求解能力,属基础题. 50.(1)n=10;(2) ;(3)6项. 【解析】(1)写出二项展开式的通项,根据第九项为常数项求出n的值; (2)令2n- k=5,得k= (2n-5)=6,即可得解; (3)要使2n- k,即 为整数,得出k的取值. 第 23 页【详解】二项展开式的通项Tk = =(-1)k . +1 (1)因为第9项为常数项,即当k=8时,2n- k=0,解得n=10. (2)令2n- k=5,得k= (2n-5)=6, 所以x5的系数为(-1)6 . (3)要使2n- k,即 为整数,只需k为偶数,由于k=0,1,2,3,…,9,10, 故符合要求的有6项,分别为展开式的第1,3,5,7,9,11项. 51. 【分析】利用二项展开式,求得第1、2、3项,根据题意列出不等式,求出 的范围. 【详解】解:通项公式 ,则 , 得 ,化简得 , 解得 . 【点睛】本题考查了二项式定理,通项公式的求解与应用是解决问题的关键,属于容易题. 52.(1) (2) 【分析】(1)求出二项展开式的通项,根据选择的条件求出 的值,即可知道二项式系数最大的项; (2)在通项公式中,令 的指数为 ,求出 ,再根据通项公式可求出结果. 【详解】通项公式为 , , 若填条件①, (1)依题意得 ,即 , 所以 ,整理得 , 所以 或 (舍), 因为 ,所以 的展开式共有 项, 所以展开式中二项式系数最大的项是第6项, 所以 . (2)通项公式为 , 令 ,得 , 第 24 页所以展开式中含 的项为 . 若填条件②, (1)依题意得 ,所以 , 所以 ,即 , 所以 或 (舍), 因为 ,所以 的展开式共有 项, 所以展开式中二项式系数最大的项是第6项, 所以 . (2)通项公式为 , 令 ,得 , 所以展开式中含 的项为 . 若填条件③, (1)依题意得 ,则 , 所以 ,所以 , 因为 ,所以 的展开式共有 项, 所以展开式中二项式系数最大的项是第6项, 所以 . (2)通项公式为 , 令 ,得 , 所以展开式中含 的项为 . 【点睛】关键点点睛:掌握二项展开式的通项公式和二项式系数的性质是解题关键. 53.(1) ;(2) ;(3) . 【分析】(1)利用二项式定理求得 的展开式的第二项,可求得数列 的公比,利用等比数列的通项 公式可求得 ; (2)分 和 两种情况讨论,利用等比数列的求和公式可求得 ; 第 25 页(3)分 和 两种情况讨论,利用二项式定理可求得 的表达式. 【详解】(1) 的展开式的第二项为 , 所以,数列 的公比为 ,则 ; (2)当 时,则 , ; 当 时, . 综上所述, ; (3)当 时, , , 此时, ; 当 时, , 此时, . 综上所述, . 【点睛】本题考查等比数列通项的求解、等比数列求和以及利用二项式定理求和,考查计算能力,属于中等题. 54.(1) ;(2)证明见解析. 【分析】(1)根据二项展开式的通项公式求出 ,建立不等式组求解,结合 是正整数求解; (2)由题意得 ,根据二项展开式,利用放缩法即可求证. 【详解】(1)由二项展开式通项及题意得 , 解得 , , 所以 . (2)由题意得 , , 第 26 页. 所以当 时, . 第 27 页第 28 页