当前位置:首页>文档>专题06相似三角形中的基本模型之半角模型解读与提分精练(人教版)(教师版)_初中数学_九年级数学下册(人教版)_常见几何模型全归纳-V13_2025版

专题06相似三角形中的基本模型之半角模型解读与提分精练(人教版)(教师版)_初中数学_九年级数学下册(人教版)_常见几何模型全归纳-V13_2025版

  • 2026-03-23 04:57:36 2026-03-21 02:07:21

文档预览

专题06相似三角形中的基本模型之半角模型解读与提分精练(人教版)(教师版)_初中数学_九年级数学下册(人教版)_常见几何模型全归纳-V13_2025版
专题06相似三角形中的基本模型之半角模型解读与提分精练(人教版)(教师版)_初中数学_九年级数学下册(人教版)_常见几何模型全归纳-V13_2025版
专题06相似三角形中的基本模型之半角模型解读与提分精练(人教版)(教师版)_初中数学_九年级数学下册(人教版)_常见几何模型全归纳-V13_2025版
专题06相似三角形中的基本模型之半角模型解读与提分精练(人教版)(教师版)_初中数学_九年级数学下册(人教版)_常见几何模型全归纳-V13_2025版
专题06相似三角形中的基本模型之半角模型解读与提分精练(人教版)(教师版)_初中数学_九年级数学下册(人教版)_常见几何模型全归纳-V13_2025版
专题06相似三角形中的基本模型之半角模型解读与提分精练(人教版)(教师版)_初中数学_九年级数学下册(人教版)_常见几何模型全归纳-V13_2025版
专题06相似三角形中的基本模型之半角模型解读与提分精练(人教版)(教师版)_初中数学_九年级数学下册(人教版)_常见几何模型全归纳-V13_2025版
专题06相似三角形中的基本模型之半角模型解读与提分精练(人教版)(教师版)_初中数学_九年级数学下册(人教版)_常见几何模型全归纳-V13_2025版
专题06相似三角形中的基本模型之半角模型解读与提分精练(人教版)(教师版)_初中数学_九年级数学下册(人教版)_常见几何模型全归纳-V13_2025版
专题06相似三角形中的基本模型之半角模型解读与提分精练(人教版)(教师版)_初中数学_九年级数学下册(人教版)_常见几何模型全归纳-V13_2025版
专题06相似三角形中的基本模型之半角模型解读与提分精练(人教版)(教师版)_初中数学_九年级数学下册(人教版)_常见几何模型全归纳-V13_2025版
专题06相似三角形中的基本模型之半角模型解读与提分精练(人教版)(教师版)_初中数学_九年级数学下册(人教版)_常见几何模型全归纳-V13_2025版
专题06相似三角形中的基本模型之半角模型解读与提分精练(人教版)(教师版)_初中数学_九年级数学下册(人教版)_常见几何模型全归纳-V13_2025版
专题06相似三角形中的基本模型之半角模型解读与提分精练(人教版)(教师版)_初中数学_九年级数学下册(人教版)_常见几何模型全归纳-V13_2025版
专题06相似三角形中的基本模型之半角模型解读与提分精练(人教版)(教师版)_初中数学_九年级数学下册(人教版)_常见几何模型全归纳-V13_2025版
专题06相似三角形中的基本模型之半角模型解读与提分精练(人教版)(教师版)_初中数学_九年级数学下册(人教版)_常见几何模型全归纳-V13_2025版
专题06相似三角形中的基本模型之半角模型解读与提分精练(人教版)(教师版)_初中数学_九年级数学下册(人教版)_常见几何模型全归纳-V13_2025版
专题06相似三角形中的基本模型之半角模型解读与提分精练(人教版)(教师版)_初中数学_九年级数学下册(人教版)_常见几何模型全归纳-V13_2025版
专题06相似三角形中的基本模型之半角模型解读与提分精练(人教版)(教师版)_初中数学_九年级数学下册(人教版)_常见几何模型全归纳-V13_2025版
专题06相似三角形中的基本模型之半角模型解读与提分精练(人教版)(教师版)_初中数学_九年级数学下册(人教版)_常见几何模型全归纳-V13_2025版
专题06相似三角形中的基本模型之半角模型解读与提分精练(人教版)(教师版)_初中数学_九年级数学下册(人教版)_常见几何模型全归纳-V13_2025版
专题06相似三角形中的基本模型之半角模型解读与提分精练(人教版)(教师版)_初中数学_九年级数学下册(人教版)_常见几何模型全归纳-V13_2025版
专题06相似三角形中的基本模型之半角模型解读与提分精练(人教版)(教师版)_初中数学_九年级数学下册(人教版)_常见几何模型全归纳-V13_2025版
专题06相似三角形中的基本模型之半角模型解读与提分精练(人教版)(教师版)_初中数学_九年级数学下册(人教版)_常见几何模型全归纳-V13_2025版
专题06相似三角形中的基本模型之半角模型解读与提分精练(人教版)(教师版)_初中数学_九年级数学下册(人教版)_常见几何模型全归纳-V13_2025版
专题06相似三角形中的基本模型之半角模型解读与提分精练(人教版)(教师版)_初中数学_九年级数学下册(人教版)_常见几何模型全归纳-V13_2025版
专题06相似三角形中的基本模型之半角模型解读与提分精练(人教版)(教师版)_初中数学_九年级数学下册(人教版)_常见几何模型全归纳-V13_2025版
专题06相似三角形中的基本模型之半角模型解读与提分精练(人教版)(教师版)_初中数学_九年级数学下册(人教版)_常见几何模型全归纳-V13_2025版
专题06相似三角形中的基本模型之半角模型解读与提分精练(人教版)(教师版)_初中数学_九年级数学下册(人教版)_常见几何模型全归纳-V13_2025版
专题06相似三角形中的基本模型之半角模型解读与提分精练(人教版)(教师版)_初中数学_九年级数学下册(人教版)_常见几何模型全归纳-V13_2025版
专题06相似三角形中的基本模型之半角模型解读与提分精练(人教版)(教师版)_初中数学_九年级数学下册(人教版)_常见几何模型全归纳-V13_2025版
专题06相似三角形中的基本模型之半角模型解读与提分精练(人教版)(教师版)_初中数学_九年级数学下册(人教版)_常见几何模型全归纳-V13_2025版
专题06相似三角形中的基本模型之半角模型解读与提分精练(人教版)(教师版)_初中数学_九年级数学下册(人教版)_常见几何模型全归纳-V13_2025版
专题06相似三角形中的基本模型之半角模型解读与提分精练(人教版)(教师版)_初中数学_九年级数学下册(人教版)_常见几何模型全归纳-V13_2025版
专题06相似三角形中的基本模型之半角模型解读与提分精练(人教版)(教师版)_初中数学_九年级数学下册(人教版)_常见几何模型全归纳-V13_2025版
专题06相似三角形中的基本模型之半角模型解读与提分精练(人教版)(教师版)_初中数学_九年级数学下册(人教版)_常见几何模型全归纳-V13_2025版
专题06相似三角形中的基本模型之半角模型解读与提分精练(人教版)(教师版)_初中数学_九年级数学下册(人教版)_常见几何模型全归纳-V13_2025版
专题06相似三角形中的基本模型之半角模型解读与提分精练(人教版)(教师版)_初中数学_九年级数学下册(人教版)_常见几何模型全归纳-V13_2025版
专题06相似三角形中的基本模型之半角模型解读与提分精练(人教版)(教师版)_初中数学_九年级数学下册(人教版)_常见几何模型全归纳-V13_2025版
专题06相似三角形中的基本模型之半角模型解读与提分精练(人教版)(教师版)_初中数学_九年级数学下册(人教版)_常见几何模型全归纳-V13_2025版
专题06相似三角形中的基本模型之半角模型解读与提分精练(人教版)(教师版)_初中数学_九年级数学下册(人教版)_常见几何模型全归纳-V13_2025版
专题06相似三角形中的基本模型之半角模型解读与提分精练(人教版)(教师版)_初中数学_九年级数学下册(人教版)_常见几何模型全归纳-V13_2025版
专题06相似三角形中的基本模型之半角模型解读与提分精练(人教版)(教师版)_初中数学_九年级数学下册(人教版)_常见几何模型全归纳-V13_2025版
专题06相似三角形中的基本模型之半角模型解读与提分精练(人教版)(教师版)_初中数学_九年级数学下册(人教版)_常见几何模型全归纳-V13_2025版
专题06相似三角形中的基本模型之半角模型解读与提分精练(人教版)(教师版)_初中数学_九年级数学下册(人教版)_常见几何模型全归纳-V13_2025版
专题06相似三角形中的基本模型之半角模型解读与提分精练(人教版)(教师版)_初中数学_九年级数学下册(人教版)_常见几何模型全归纳-V13_2025版

文档信息

文档格式
docx
文档大小
4.875 MB
文档页数
46 页
上传时间
2026-03-21 02:07:21

文档内容

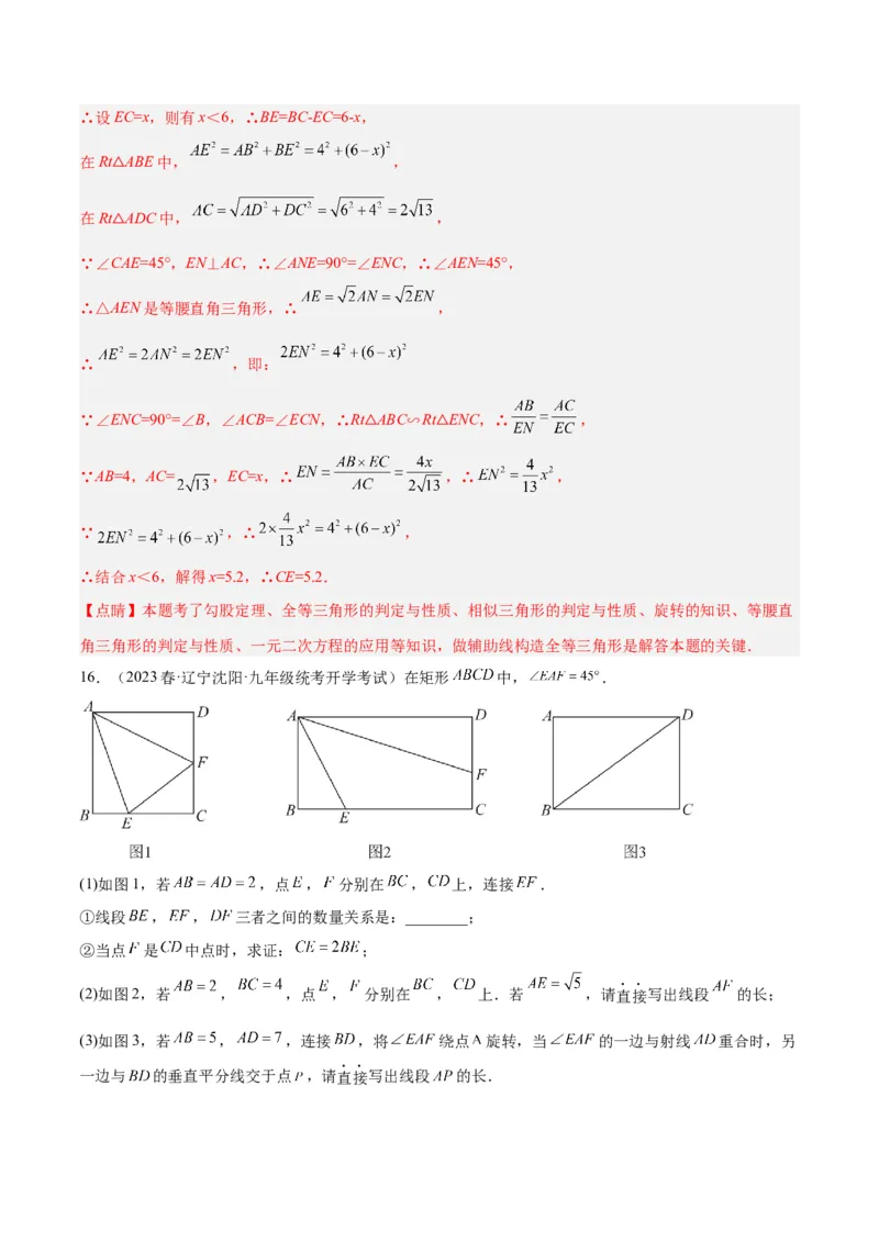
专题 06 相似三角形中的基本模型之半角模型 相似三角形在中考数学几何模块中占据着重要地位。相似三角形与其它知识点结合以综合题的形式呈 现,其变化很多,难度大,是中考的常考题型。如果大家平时注重解题方法,熟练掌握基本解题模型,再 遇到该类问题就信心更足了。本专题就半角模型进行梳理及对应试题分析,方便掌握。 大家在掌握几何模型时,多数同学会注重模型结论,而忽视几何模型的证明思路及方法,导致本末倒 置。要知道数学题目的考察不是一成不变的,学数学更不能死记硬背,要在理解的基础之上再记忆,这样 才能做到对于所学知识的灵活运用,并且更多时候能够启发我们解决问题的关键就是基于已有知识、方法 的思路的适当延伸、拓展,所以学生在学习几何模型要能够做到的就是:①认识几何模型并能够从题目中 提炼识别几何模型;②记住结论,但更为关键的是记住证明思路及方法;③ 明白模型中常见的易错点, 因为多数题目考察的方面均源自于易错点。当然,以上三点均属于基础要求,因为题目的多变性,若想在 几何学习中突出,还需做到的是,在平时的学习过程中通过大题量的训练,深刻认识几何模型,认真理解 每一个题型,做到活学活用! ....................................................................................................................................................2 模型1.半角模型...............................................................................................................................................2 ..................................................................................................................................................14模型1.半角模型 半角模型特征:①共端点的等线段; ②共顶点的倍半角; 半角模型辅助线的作法:由旋转(或翻折)构造两对全等,从而将边转化,找到边与边的关系(将分散的 条件集中,隐蔽的关系显现)。 常见的考法包括:90°与45°(正方形、直角三角形);120°与60°(等边三角形)等。 1)半角模型(正方形(或等腰直角三角形)中的半角相似模型) 条件:已知,如图,在正方形ABCD中,∠EAF的两边分别交BC、CD边于M、N两点,且∠EAF=45° 结论:如图1,△MDA∽△MAN∽△ABN; 图1 图2 证明:∵ABCD是正方形,∴∠ADM=45°,∵∠EAF=45°,∴∠ADM=∠EAF, ∵∠AMD=∠NMA,∴△MDA∽△MAN,同理:△MAN∽△ABN,∴△MDA∽△MAN∽△ABN; 结论:如图2,△BME∽△AMN∽△DFN. 证明:∵ABCD是正方形,∴∠NDF=45°,∵∠EAF=45°,∴∠NDF=∠EAF, ∵∠DNF=∠ANM,∴△AMN∽△DFN,同理:△BME∽△AMN,∴△BME∽△AMN∽△DFN;结论:如图3,连接AC,则△AMB∽△AFC,△AND∽△AEC.且 ; A D A D 45° 45° N N F F M M B E C B E C 图3 图4 证明:∵ABCD是正方形,∴∠BAC=∠ABC=∠ACF=45°, ,∴∠BAM+∠MAC=45°, ∵∠EAF=45°,∴∠FAC+∠MAC=45°,∴∠BAM=∠FAC,∴△AMB∽△AFC,∴ 。 同理:△AND∽△AEC, ;即 。 结论:如图4,△AMN∽△AFE且 . 证明:∵ABCD 是正方形,∴AB∥CD,∴∠DFA=∠BAN;∵∠AFE=∠AFD,∠BAN=∠AMD, ∴∠AFE=∠AMN; 又∠MAN=∠FAE,∴△AMN∽△AFE,由图3证明知: ,∴ 。 2)半角模型(含120-60°半角模型) 图1 条件:如图1,已知∠BAC=120°, ; 结论:①△ABD∽△CAE∽△CBA;② ;③ ( )。 证明:∵ ,∴∠ADE=60°,∴∠ADB=120°,∵∠BAC=120°,∴∠ADB=∠BAC, ∵∠ABD=∠CBA,∴△ABD∽△CBA;∴ ,即: , 同理:△CAE∽△CBA,∴ ,即: ,即:△ABD∽△CAE∽△CBA; ,∴ ,∵AD=AE=DE,∴ 例1.(23-24九年级上·辽宁丹东·阶段练习)如图,正方形 的对角线相交于 ,点 , 分别是边 , 上的动点(不与点 , , 重合), , 分别交 于 , 两点,且 , 则下列结论:① ;② ;③ ;④ 是等腰三角形.其中正确 的有( ) A.1个 B.2个 C.3个 D.4个 【答案】D 【分析】将 绕点 逆时针旋转 至 ,根据正方形的性质和且 可证明 ;根据三角形的内角和得到 ,得到 ,推出 , 于是得到 ,故②正确;根据相似三角形的判定定理得到 ,根据相似三角形的 性质得到 ,推出 是等腰直角三角形,于是得到 ;故③正确;根据全等 三角形的性质得到 ,等量代换得到 是等腰三角形,故④正确. 【详解】解:如图,将 绕点 逆时针旋转 至 ,, , , , , , , , ;故①正确; , , , , , , , , ,故②正确; ,即 , , , , 是等腰直角三角形, ;故③正确; 在 与 中, , , , , , 是等腰三角形,故④正确;故选: . 【点睛】本题考查了相似三角形的判定和性质,全等三角形的判定和性质,正方形的性质,旋转的性质, 等腰直角三角形的判定和性质,正确的识别图形是解题的关键. 例2.(2023·浙江·九年级专题练习)如图,在矩形ABCD中,AB=4,BC=8,点E,F分别在BC,CD 上.若BE=2,∠EAF=45°,则DF的长是 . 【答案】 【分析】取AD,BC的中点M,N,连接MN,交AF于H,延长CB至G,使BG=MH,连接AG,先证出 四边形ABNM是正方形,利用SAS证出 ABG≌ AMH,再利用SAS证出 AEG≌ AEH,利用勾股定理 求出MH,然后利用平行证出 AHM∽ AFD,列出比例式即可求出结论. 【详解】解:取AD,BC的中点M,N,连接MN,交AF于H,延长CB至G,使BG=MH,连接AG,∵点M,点N是AD,BC的中点,∴AM=MD=BN=NC=4, ∵AD∥BC,∴四边形ABNM是平行四边形,∵AB=AM=4,∴四边形ABNM是菱形, ∵∠BAD=90°,∴四边形ABNM是正方形,∴MN=AB=BN=4,∠AMH=90°, ∵AB=AM,∠ABG=∠AMH=90°,BG=MH, ∴ ABG≌ AMH(SAS),∴∠BAG=∠MAH,AG=AH, ∵∠EAF=45°,∴∠MAH+∠BAE=45°,∴∠GAB+∠BAE=∠GAE=∠EAH=45°, 又∵AG=AH,AE=AE∴ AEG≌ AEH(SAS)∴EH=GE,∴EH=2+MH, 在Rt HEN中,EH2=NH2+NE2,∴(2+MH)2=(4﹣MH)2+4,∴MH= ∵MN∥CD,∴ AHM∽ AFD,∴ ∴DF= × = ,故答案为: . 【点睛】此题考查的是相似三角形的判定与性质、全等三角形的判定及性质、正方形的判定及性质和矩形 的性质,此题难度较大,掌握相似三角形的判定与性质、全等三角形的判定及性质、正方形的判定及性质 和矩形的性质是解决此题的关键. 例3.(2024·吉林长春·九年级校考开学考试)在同一平面内,如图①,将两个全等的等腰直角三角形摆放 在一起,其中 , ,点 为公共顶点, .如图②,若 固定不动, 把 绕点 逆时针旋转,使 、 与边 的交点分别为 、 ,点 不与点 重合,点 不与 点 重合.(1)求证: ;(2)已知等腰直角三角形的斜边长为4. ①请求出 的值;②若 ,请求出 的长.【答案】(1)见解析(2)①8②4 ﹣4 【分析】(1)利用三角形外角的性质可证 等于 ,再由 等于 ,可证明结论. (2)①首先求出等腰直角三角形的直角边长,再由 相似于 ,即可得出结论.②先求 等于 ,再求 等于 ,从而得出答案. 【详解】(1)证明:∵△ABC为等腰直角三角形,∠BAC=90°, ∴∠B=∠C=45°,同理,∠DAE=45°, ∵∠BAN=∠BAM+∠DAE=∠BAM+45°,∠AMC=∠BAM+∠B=∠BAM+45°, ∴∠BAN=∠AMC,∴△BAN∽△CMA; (2)解:①∵等腰直角三角形的斜边长为4,∴AB=AC= , ∵△BAN∽△CMA,∴ ,∴ ,∴BN•CM=8,故BN•CM的值为8; ②∵BM=CN,∴BN=CM,∵BN•CM=8,∴BN=CM= , ∴MN=BN+CM﹣BC= ,故MN的长为 . 【点睛】本题是相似形综合题,主要考查了等腰直角三角形的性质,相似三角形的判定与性质,利用前面 的结论解决新的问题是解题的关键. 例4.(23-24九年级上·陕西汉中·期末)如图, 中, , ,点 为 边上一 点. (1)如图1,若 , .①求证: ;②若 ,求 的值. (2)如图2,点 为线段 上一点,且 , , ,求 的长. 【答案】(1)①见解析,② (2) 【分析】(1)①通过证明 ,即可求证;②由①可得 ,再根据等边对等角求出和 的度数,即可得出 ,最后根据直角三角形中 角所对的边是斜边的一半即 可求证;(2)过点E作 于G,过A作 于F,证明 ,可以求出 ,利用 勾股定理可以求出 的长,从而可以求解. 【详解】(1)证明:①∵ , , ∴ ,即 , 在 和 中, ,∴ ,∴ ; ②∵ , ,∴ , 由①可得: ,∴ ,∴ , ∵ ,∴在 中, , ∴ ,整理得: ,由①可得 ,∴ . (2)过点A作 于点F,过点E作 于点G, ∵ , ,∴ , ∵ , ,∴ , 在 中,根据勾股定理可得: , ∵ ,∴ ,∵ , ,∴ , 在 中,根据勾股定理可得: ,∴ , ∵ , , ,∴ , ∵ ,∴ ,即 , ∵ ,∴ ,∴ ,即 , 解得: ,∴ .【点睛】本题主要考查了全等三角形的性质与判定,等腰三角形的性质,含30度角的直角三角形的性质, 勾股定理等等,解题的关键在于能够熟练掌握相关知识进行求解. 例5.(23-24九年级上·四川成都·期中)如图,已知在菱形 中, 是锐角, 是 边上的动 点,将射线 绕点 按逆时针方向旋转,交 于点 . (1)如图 ,当 , 时,证明: ; (2)如图 ,连接 ,射线 与线段 的延长线交于点 ,射线 与线段 的延长线交于点 ,当 时, ,设 , ,求 与 之间的函数关系式; (3)在( )的条件下,若 ,当 为直角三角形时,求 的长; 【答案】(1)证明见解析;(2) ;(3) 或 . 【分析】(1)由 得到 ,继而得到 ,进一步得到 ,即可证明 ;(2)通过角之间的关系可得到 , ,继而得到 ,即可证明 ,故得到 ,即有 ; (3)根据(2) ,分两种情况讨论,即可求出 的长. 【详解】(1)解:∵四边形 是菱形,∴ , , , 在 中, ,∴ , ∵ ,∴ ,即 , ∵ ,∴ ,∴ ,在 和 中, , ∴ ; (2)解:在菱形 中, , 即 ,∵ ,∴ ,∴ , , ∵ ,∴ ,∴ ,∵ ,∴ ,∴ , 在 和 中, , ∴ ,∴ ,即 ,∴ ; (3)解:当 时,∵ ,∴ , ,∴ , ∵ ,∴ ,∴ ,∴ , 由( )知: ,∴ ,当 时,同理可得: , ∵ ,∴ ,∴ ,∴ ,∴ 或 . 【点睛】本题考查了三角形全等的判定和性质,相似三角形的判定和性质,菱形的性质,熟练掌握这些定 理是解题的关键. 例6.(2023秋·湖北·九年级专题练习)折一折:将正方形纸片ABCD折叠,使边AB、AD都落在对角线 AC上,展开得折痕AE、AF,连接EF,如图1.(1)∠EAF= °,写出图中两个等腰三角形: (不需要添加字母); (2)转一转:将图1中的∠EAF绕点A旋转,使它的两边分别交边BC、CD于点P、Q,连接PQ,如图2. 线段BP、PQ、DQ之间的数量关系为 ; (3)连接正方形对角线BD,若图2中的∠PAQ的边AP、AQ分别交对角线BD于点M、点N,如图3,则 ; (4)剪一剪:将图3中的正方形纸片沿对角线BD剪开,如图4.求证:BM2+DN2=MN2. 【答案】(1)45;△AEF,△CEF,(2)PQ=BP+DQ(3) (4)见解析 【分析】(1)利用翻折变换的性质可得∠EAF=45°,证明△BAE≌△DAF(ASA),推出BE=DF,AE= AF,可得结论.(2)结论:PQ=BP+DQ.如图2中,延长CB到T,使得BT=DQ.证明△PAT≌△PAQ (SAS),可得结论.(3)证明△CAQ∽△BAM,可得 . (4)如图4中,将△ADN绕点A顺时针旋转90°得到△ABR,连接RM.证明△AMR≌△AMN(SAS), ∠RBM=90°,可得结论. 【详解】(1)解:如图1中, ∵四边形ABCD是正方形,∴AB=AD=BC=CD,∠BAD=90°,∴ABC,△ADC都是等腰三角形,∵∠BAE=∠CAE,∠DAF=∠CAF,∴∠EAF (∠BAC+∠DAC)=45°, ∵∠BAE=∠DAF=22.5°,∠B=∠D=90°,AB=AD, ∴△BAE≌△DAF(ASA),∴BE=DF,AE=AF, ∵CB=CD,∴CE=CF,∴△AEF,△CEF都是等腰三角形,故答案为:45,△AEF,△EFC. (2)解:结论:PQ=BP+DQ.理由:如图2中,延长CB到T,使得BT=DQ. ∵AD=AB,∠ADQ=∠ABT=90°,DQ=BT, ∴△ADQ≌△ABT(SAS),∴AT=AQ,∠DAQ=∠BAT, ∵∠PAQ=45°,∴∠PAT=∠BAP+∠BAT=∠BAP+∠DAQ=45°,∴∠PAT=∠PAQ=45°, ∵AP=AP,∴△PAT≌△PAQ(SAS),∴PQ=PT, ∵PT=PB+BT=PB+DQ,∴PQ=BP+DQ.故答案为:PQ=BP+DQ. (3)解:如图3中,∵四边形ABCD是正方形,∴∠ABM=∠ACQ=∠BAC=45°,AC AB, ∵∠BAC=∠PAQ=45°,∴∠BAM=∠CAQ,∴△CAQ∽△BAM,∴ ,故答案为: . (4)证明:如图4中,将△ADN绕点A顺时针旋转90°得到△ABR,连接RM. ∵∠BAD=90°,∠MAN=45°,∴∠DAN+∠BAM=45°,∵∠DAN=∠BAR,∴∠BAM+∠BAR=45°,∴∠MAR=∠MAN=45°, ∵AR=AN,AM=AM,∴△AMR≌△AMN(SAS),∴RM=MN, ∵∠D=∠ABR=∠ABD=45°,∴∠RBM=90°,∴RM2=BR2+BM2, ∵DN=BR,MN=RM,∴BM2+DN2=MN2. 【点睛】本题属于四边形综合题,考查了正方形的性质,全等三角形的判定和性质,勾股定理,相似三角 形的判定和性质等知识,解题的关键是正确寻找全等三角形或相似三角形解决问题,属于中考压轴题. 例7.(2023·河南平顶山·一模)(1)如图1,在正方形 中,点 , 分别在边 , 上.连接 , , . ,将 绕点 顺时针旋转 ,点 与点 重合,得到 .易证: ,从而可得:线段 , 与 的关系:______.(请直接写出结论,不必说明理 由) (2)如图2,在正方形 中,点 , 分别在边 , 上,连接 , , , ,若 ,求证: . (3)如图3,在矩形 中, , ,点 , 分别在边 , 上,连接 , , 已知 , ,则 的长是______. 【答案】(1) ,(2)证明见解析,(3)8 【分析】(1)利用旋转的性质结合 可以证明 ,从而得到 . (2)根据设 , ,则 ,利用 ∠BAN ,可得正方形边长为 ,从而得到 , ,根据勾股定理得到: ,代入可得关于m,n得方程,继而得到 ,最后代入 ,即可证明结论.(3)延长AB至P,使 ,过P作 的平行线交 的延长线于Q,延长 交 于 ,连接 ,将图③补充成边长为16的正方形,从而得到与前两问的图形,利用 可得 , 继而求出 的长度,从而利用前面的结论,并利用勾股定理列方程即可求出结果. 【详解】(1)解:∵四边形 是正方形, ∴ , ,由旋转的性质得: , ∴ , , , , ∴ ,即 , ∵ ,∴ ,∴ , 在 和 中, ,∴ ,∴ , ∵ ,∴ ,故答案为: ; (2)证明:设 , ,由(1)可知, , ∵ , ,∴ ,∴ , ∴ , ,在 中,由勾股定理得: ∴ ,整理得: ,∴ , (3)解:延长AB至P,使 ,过P作 的平行线交 的延长线于 ,延长 交 于 , 连接 ,如图③所示:则四边形 是正方形,∴ , 设 ,则 ,∵ ,∴ ,∴ ,∴ ,∴ , 由(1)得: ,在 中,由勾股定理得: ,解得: ,即 的长是 ;故答案为: . 【点睛】本题考查了旋转的性质,全等三角形的判定与性质,相似三角形的判定与性质,利用勾股定理解 直角三角形等知识,灵活运用前两问中结论DM+BN=MN,已知直角三角形CMN中勾股定理结论 是解题的关键. 1.(2024·广东九年级期中)如图,在 中, 是斜边 上两点,且 将 绕点 顺时针旋转90°后,得到 连接 下列结论: ① ② ③ 的面积等于四边形 的面积; ④ ⑤ 其中正确的是( ) A.①②④ B.③④⑤ C.①③④ D.①③⑤ 【答案】C 【分析】①利用图形的旋转不变性得到△ADC≌△AFB,∠DAF=90°,利用SAS即可判定 △AED≌△AEF;②利用相似三角形的判定与性质可以验证结论错误;③利用全等三角形的面积相等,可得S =S ,根 ADC AFB △ △ 据S =S + =S +S =S ,可得③的结论正确;④利用已知条件得到∠FBE=90°, ABC ACD S ABD ABF ABD 四边形AFBD △ △ △ △ △ 利用勾股定理和等量代换可得结论正确;⑤利用④中结论和三角形任意两边之差小于第三边,再利用等量 代换可得BE>EF−CD,可得⑤的结论错误. 【详解】解:∵将△ADC绕点A顺时针旋转90°后,得到△AFB, ∴△ADC≌△AFB,∠DAF=90°.∴AF=AD. ∵∠DAE=45°,∴∠FAE=90°−∠EAD=45°.∴∠FAE=∠DAE. 在△AED和△AEF中, ,∴△AED≌△AEF(SAS).∴①的结论正确; ∵AB=AC.,∴∠ABE=∠ACD.∴当∠BAE=∠CAD时,△ABE∽△ACD,∴ . 当∠BAE≠∠CAD时,△ABE与△ACD不相似,比例式 不成立, ∴ 不一定成立.∴②的结论错误;∵△ADC≌△AFB,∴S ADC=S AFB. △ △ ∵S ABC=S ACD+S ABD=S ABF+S ABD=S AFBD,∴③的结论正确; 四边形 △ △ △ △ △ ∵△ADC≌△AFB,∴BF=CD,∠FBA=∠C=45°. 在Rt ABC中,∵AB=AC,∴∠ABC=∠ACB=45°.∴∠FBE=∠ABF+∠ABC=90°. ∴BF△2+BE2=EF2.∴CD2+BE2=EF2.由①得:△AED≌△AEF, ∴EF=DE.∴CD2+BE2=DE2.∴④的结论正确; ∵△ADC≌△AFB,∴BF=CD.∵△AED≌△AEF,∴EF=ED. 在△BEF中,由④知:∠FBE=90°, ∵三角形任意两边之差小于第三边,∴EF−BF<BE.∴BE>EF−CD.∴⑤的结论错误. 综上,结论正确的有:①③④,故选C. 【点睛】本题主要考查了等腰直角三角形的性质,图形的旋转变换,三角形全等的判定与性质,勾股定理, 相似三角形的判定与性质,三角形三边的关系定理,利用图形的旋转不变性是解题的关键. 2.(2024·安徽·校联考一模)如图,正方形ABCD边长为2,BM、DN分别是正方形的两个外角的平分线, 点P,Q分别是平分线BM、DN上的点,且满足∠PAQ=45°,连接PQ、PC、CQ.则下列结论: ①BP•DQ=3.6;②∠QAD=∠APB;③∠PCQ=135°;④ .其中正确的有( )A.1个 B.2个 C.3个 D.4个 【答案】C 【分析】运用正方形的性质;角平分线的定义;全等三角形的判定和性质;勾股定理;相似三角形的判定 和性质;旋转变换的性质综合推理判断. 【详解】∵四边形ABCD是正方形,∴AD=AB=2,∠BAD=90°, ∵∠PAQ=45°,∴∠BAP+∠QAD =45°, ∵BM是正方形的外角的平分线,∴∠MBC=135°, ∴∠BAP+∠APB=45°,∴∠QAD=∠APB,∴②正确; ∵BM、DN分别是正方形的两个外角的平分线,∴∠ABP=∠QDA=135°, ∵∠QAD=∠APB,∴ ABP∽ QDA,∴BP:DA=BA:DQ, ∴BP•DQ= △,∴①错△误; ∵ ABP∽ QDA,∴BP:DA=BA:DQ, ∵△四边形A△BCD是正方形,∴AB=BC=CD=DA,∴BP:BC=DC:DQ, ∵BM、DN分别是正方形的两个外角的平分线,∴∠PBC=∠QDC=45°, ∴ BPC∽ DCQ,∴∠BCP=∠DQC, ∴△∠PCQ=3△60°-∠BCD-∠BCP-∠DCQ=270°-(∠DQC+∠DCQ)=270°-(180°-∠CDQ)=135°.∴③正确; 如图,将 AQD绕点A顺时针旋转90°得到 ABF,连接PF.则 ABF≌△ADQ. ∴∠1=∠△3,AF=AQ,BF=DQ,∠AFB=∠A△QD. △ ∴∠PAF=∠1+∠2=∠2+∠3=∠BAD-∠PAQ=45°.∴∠PAF=∠PAQ. 又∵AP=AP,∴△APF≌△APQ.∴PF=PQ. ∵∠PBF=(∠AFB+∠1)+45°=(∠AQD+∠3)+45°=90°. ∴在Rt BPF中, ,∴ .∴④正确;故选C. △【点睛】本题考查了正方形的性质;角平分线的定义;全等三角形的判定和性质;勾股定理;相似三角形 的判定和性质;旋转变换的性质.熟练掌握上述性质,灵活运用旋转构图求解是解题的关键. 3.(2023·山东·统考一模)如图,在同一平面内,将两个全等的等腰直角三角形ABC和AFG摆放在一起, A为公共顶点,∠BAC=∠AGF=90°,它们的斜边长为2,若△ABC固定不动,△AFG绕点A旋转,AF、 AG与边BC的交点分别为D、E(点D不与点B重合,点E不与点C重合),设BE=m,CD=n.下列结论: (1)图中有三对相似而不全等的三角形;(2)m•n=2;(3)BD2+CE2=DE2; (4)△ABD≌△ACE;(5)DF=AE.其中正确的有( ) A.2个 B.3个 C.4个 D.5个 【答案】A 【详解】试题分析:(1)根据已知及相似三角形的判定方法进行分析即可; (2)可根据(1)中的相似三角形BAE和CDA得出关于AB,BE,CD,AC的比例关系,AB,AC可通 过等腰直角三角形求出,因此根据比例关系即可得出m,n的函数关系式. (3)根据旋转角,我们知道HB⊥BD,那么DH2=BH2+BD2,而BH=CE,于是关键是证明HD=DE,连接 AH,DH那么可通过证三角形AHD和ADE全等来求解. (4)若△ABC固定不动,△AFG绕点A旋转,得到∠BAD≠∠CAE,于是△ABD与△ACE不一定全等,(5)当AF与AB重合时,AE= AF,AB= AF,得到DF≠ AF,于是由AE与DF不一定相等; 试题解析:(1)△ABE∽△DAE,△ABE∽△DCA, 故(1)错误; (2)∵△ABE∽△DCA,∴ 由题意可知CA=BA= , ∴ ∴m= , ∴mn=2;(1<n<2); 故(2)正确; (3)证明:将△ACE绕点A顺时针旋转90°至△ABH的位置,则CE=HB,AE=AH, ∠ABH=∠C=45°,旋转角∠EAH=90°.连接HD,在△EAD和△HAD中, ∵AE=AH,∠HAD=∠EAH-∠FAG=45°=∠EAD,AD=AD, ∴△EAD≌△HAD.∴DH=DE. 又∠HBD=∠ABH+∠ABD=90°, ∴BD2+CE2=DH2, 即BD2+CE2=DE2; 故(3)正确; (4)若△ABC固定不动,△AFG绕点A旋转, ∴∠BAD≠∠CAE, ∴△ABD与△ACE不一定全等, ∴(4)错误; (5)当AF与AB重合时, AE= AF,AB= AF,∴DF≠ AF, ∴AE与DF不一定相等; ∴(5)错误.故选A. 考点:1.相似三角形的判定与性质;2.全等三角形的判定与性质;3.等腰直角三角形. 4.(2023·广东东莞·校考模拟预测)如图,正方形 中,点 , 分别在边 , 上,且 , 分别交 , 于点 , ,以点 为圆心, 长为半径画 .下列结论不正确的 是( ) A. B. C. 与 相切 D. 【答案】D 【分析】延长 到 ,使 ,连接 .根据全等三角形的性质得到 , ,求得 .证得 ,在 上截取 .根据全等三角形的性质得到 , ,证得 .根据勾股定理得到 .根据全等三 角形的性质得到 .等量代换得到 ;判断 选项,根据平行线的性质得到 .推出 ,又 ,于是得到 ,判断B选项;过 作 于 ,根据角平分线的性质得到 ,于是得到 与 相切;判断C选项;由 ,而 不一定等于 ,于是得到 不一定平行于 ,判断D选项. 【详解】解:延长 到 ,使 ,连接 . 在 和 中, , , , , 又 , , , . 在 和 中, , 在 上截取 ,连接 、 , 在 和 中, , , , 又 , . . 在 和 中, , . ;故A正确; , ., , , 又 , ,故B正确; 过 作 于 , , , , 与 相切;故C正确; ,而 不一定等于 , 不一定等于 , 不一定平行于 ,故D错误,故选:D. 【点睛】本题考查了正方形的性质,全等三角形的判定和性质,相似三角形的判定和性质,切线的判定, 勾股定理,正确的作出辅助线是解题的关键. 5.(2023·广东深圳·九年级校考期中)如图,在正方形ABCD中,点E、F分别在边BC、DC上,AE、AF 分别交BD于点M、N,连接CN、EN,且CN=EN.下列结论:①AN =EN,AN⊥EN;②BE+DF=EF; ③ ;④图中只有4对相似三角形,其中正确结论的个数是( ) A.4 B.3 C.2 D.1 【答案】B 【分析】①证明 NBA≌△NBC,∠ABE+∠ANE=180°即可解决问题; ②证明 AFH≌△△AFE即可; △ ③如图2中,首先证明 AMN∽△AFE,可得 ,即可解决问题; △ ④相似三角形不止4对相似三角形. 【详解】将 ABE绕点A逆时针旋转90°得到 ADH. ∵四边形AB△CD是中正方形,∴AB=BC=AD△,∠BAD=∠ABC=90°,∠ABD=∠CBD=45°, 在 BNA和 BNC中, ,∴△NBA≌△NBC(SAS),∴AN=CN,∠BAN=∠BCN, △ △∵EN=CN,∴AN=EN,∠NEC=∠NCE=∠BAN, ∵∠NEC+∠BEN=180°,∴∠BAN+∠BEN=180°,∴∠ABC+∠ANE=180°, ∴∠ANE=90°,∴AN=NE,AN⊥NE,故①正确,∴∠3=∠AEN=45°, ∵∠3=45°,∠1=∠4,∴∠2+∠4=∠2+∠1=45°, ∴∠3=∠FAH=45°,∵AF=AF,AE=AH,∴△AFE≌△AFH(SAS), ∴EF=FH=DF+DH=DF+BE,∠AFH=∠AFE,故②正确, ∵∠MAN=∠EAF,∠AMN=∠AFE,∴△AMN∽△AFE,∴ ,故③正确, 图中相似三角形有 ANE∽△BAD~ BCD, ANM∽△AEF, ABN∽△FDN, BEM∽△DAM等,故④ 错误,故选B. △ △ △ △ △ 【点睛】本题考查正方形的性质、全等三角形的判定和性质、勾股定理、相似三角形的判定和性质等知识, 解题的关键是灵活运用所学知识解决问题,学会利用旋转法,添加辅助线构造全等三角形解决问题. 6.(2023春·贵州遵义·九年级校考阶段练习)如图,在Rt ABC 中,AB=AC,D、E是斜边BC上两点, 且∠DAE=45°,将△ADC绕点 顺时针旋转90 后,得到△△AFB,连接EF,下列结论: ①△ADE≌△AFE.②△ABE∽△ACD.③BE+DC=DE.④BE2+DC2=DE2.其中一定正确的是( ) A.②④ B.①③ C.②③ D.①④ 【答案】D【分析】①根据旋转的性质可得 ,根据 ,可得 ,进而即可证明 ; ②在△ABE和△ACD中,从已知条件只能得到 ,无法证明△ABE∽△ACD;③由①可 得 ,则 ,由旋转可得 , 中, ,即 ; ④由旋转可得 ,则 ,根据勾股定理可得 ,由 , ,即可得 【详解】解:∵Rt ABC 中,AB=AC,∴ △ 将△ADC绕点 顺时针旋转90 后,得到△AFB,则 , 又 故①正确; ②在△ABE和△ACD中,从已知条件只能得到 , 无法证明△ABE∽△ACD; 故②不正确; ③由①可得 ,则 ,由旋转可得 , 中, ,即 ;故③不正确; ④由旋转可得 ,则 , 根据勾股定理可得 ,由 , , 故④正确综上,①④正确 故选D 【点睛】本题考查了旋转的性质,三角形全等的性质与判定,相似的判定,勾股定理,掌握相关性质定理 是解题的关键. 7.(2023·广东汕头·校考三模)如图,在正方形 中, , 为 中点, 为 上的一点, 且 , ,连接 ,延长 交 于点 ,交 于点 ,则以下结论;① ② ③ ④ ;中正确的有( )A.1个 B.2个 C.3个 D.4个 【答案】C 【分析】延长 至H,使 ,证明 ,推出 , , 利用 证明 ,可判断①;利用三角形外角的性质求出 ,然后利用 三角形内角和求出 ,可判断②;在 中,由勾股定理计算可判断③;证明 ,利用相似三角形的性质可判断④. 【详解】解:延长 至H,使 , ∵四边形 是正方形,∴ , , ∴ ,∴ , , , ∵ ,∴ ,即 , 又 ,∴ ,∴ ,①正确; ∵ , ,∴ , ∵ ,∴ ,∴ , ∴ ,∴ ,②正确;设 , ∵ 为 中点,∴ ,∴ , , 在 中,由勾股定理得 ,解得 ,即 ,③不正确; ∵ , ,∴ , 又 ,∴ , ∵ ,∴ , ∴ ,∴ ,④正确;综上,正确的有①②④,故选:C. 【点睛】本题考查了相似三角形的判定和性质,正方形的性质,全等三角形的判定和性质,勾股定理,解 题的关键是学会利用参数构建方程解决问题. 8.(2023·江苏南京·九年级专题练习)如图,已知正方形 边长为 , 为 边上一点,将 以点 为中心按顺时针方向旋转得到 ,连接 ,分别交 , 于点 , 若 ,则 . 【答案】 【分析】过点 作 于点 ,则 ,设 ,则 ,证明点 、 、 在同一条直线上,再证明 ∽ ,根据相似三角形的对应边成比例列方程求出 的值,即得到 的长,再求出 的长,可证明 是等腰直角三角形,即可求得 的长,再根据勾股定理求出 的长,再求出 的值即可. 【详解】解:如图,过点 作 于点 ,则 , 四边形 是正方形,且正方形 的边长为 , , , , , ,设 ,则 , , ,由旋转得 , , , , 点 、 、 在同一条直线上, , , ∽ ,, ,整理得 ,解得 , 不符合题意,舍去 , , , , , , ,故答案为: . 【点睛】此题考查旋转的性质、正方形的性质、相似三角形的判定与性质,锐角三角函数、勾股定理、解 直角三角形等知识与方法,证明 ∽ 并且求出 的长是解题的关键. 9.(2023上海市中考数学二模试题)已知:Rt ABC斜边AB上点D,E,满足∠DCE=45°. △ (1)如图1,当AC=1, ,且点D与A重合时,求线段BE的长. (2)如图2,当△ABC是等腰直角三角形时,求证:AD2+BE2=DE2. (3)如图3,当AC=3,BC=4时,设AD=x,BE=y,求y关于x的函数关系式,并写出定义域. 【答案】(1) ;(2)证明见解析;(3) . 【分析】(1)如图1,根据勾股定理得到AB=2,过B作BF∥AC交CE的延长线于F,得到∠F=∠ACE, 根据相似三角形的性质即可得到结论; (2)作AF⊥AB,使AF=BE,连接DF,根据SAS证得△CAF≌△CBE和△CDF≌△CDE,再由勾股定理 和等量代换即可解答;(3)如图3,作△BCE≌△FCE,△GCD≌△ACD,由∠HFG=∠B,∠HGF= ∠CGD=∠A,∠A+∠B=90°,得到∠DHF=90°,根据勾股定理即可得到结论. 【详解】解:(1)如图1,∵∠ACB=90°, ,AC=1,∴AB=2, 过B作BF∥AC交CE的延长线于F,∴∠F=∠ACE, ∵∠BCA=90°,∠DCE=45°,∴∠BCE=∠DCE,∴∠BCE=∠F,∴ ,∵△BEF∽△AEC,∴ ,∴ ; (2)证明:过点A作AF⊥AB,使AF=BE,连接DF,CF, ∵在△ABC中,AC=BC,∠ACB=90°,∴∠CAB=∠B=45°, ∴∠FAC=45°,∴△CAF≌△CBE(SAS),∴CF=CE,∠ACF=∠BCE, ∵∠ACB=90°,∠DCE=45°,∴∠ACD+∠BCE=∠ACB﹣∠DCE=90°﹣45°=45°, ∵∠ACF=∠BCE,∴∠ACD+∠ACF=45°,即∠DCF=45°,∴∠DCF=∠DCE, 又∵CD=CD,∴△CDF≌△CDE(SAS),∴DF=DE, ∵AD2+AF2=DF2,∴AD2+BE2=DE2; (3)如图3,作△BCE≌△FCE,△GCD≌△ACD, ∵∠DCE=45°,∠ACB=90°,则C,F,G在同一直线上, ∵∠HFG=∠B,∠HGF=∠CGD=∠A,∠A+∠B=90°,∴∠DHF=90°, ∵FG=4-3=1,∠B=∠F,当AC=3,BC=4时 ∵△ABC∽△GFH∴ ∴ , ∵EH2+HD2=ED2,∴ ,∴ . ∵x≥0,60-28x≥0,21-5x>0∴ 故 . 【点睛】本题属于三角形综合题,主要考查了相似三角形的判定与性质,等腰三角形的性质,勾股定理以 及解直角三角形的综合应用,解决问题的关键是中辅助线构造直角三角形,根据勾股定理以及面积法进行 求解. 10.(2023江苏九年级期末)已知正方形ABCD的边长为4,一个以点A为顶点的45°角绕点A旋转,角 的两边分别与边BC、DC的延长线交于点E、F,连接EF.设CE=a,CF=b.(1)如图1,当∠EAF被对角线AC平分时,求a、b的值;(2)当 AEF是直角三角形时,求a、b的值; (3)如图3,探索∠EAF绕点A旋转的过程中a、b满足的关系式,并△说明理由. 【答案】(1) ;(2)见解析;(3) . 【分析】(1)当∠EAF被对角线AC平分时,易证 ACF≌△ACE,因此CF=CE,即a=b.(2)分两种 情况进行计算:①当∠AFE=90°时,判断出 ADF≌△△FCE,②当∠AEF=90°时,同①的方法,即可得出结 论;(3)先判断出∠AFC+∠CAF=45°,判△断出∠CAF=∠AEC,进而判断出 ACF∽△ECA,即可得出结 论. △ 【详解】(1)∵四边形ABCD是正方形,∴∠BCF=∠DCE=90° ∵AC是正方形ABCD的对角线,∴∠ACB=∠ACD=45°,∴∠ACF=∠ACE, ∵∠EAF被对角线AC平分,∴∠CAF=∠CAE, 在 ACF和 ACE中, ,∴△ACF≌△ACE,∴CF=CE, △ △ ∵CE=a,CF=b,∴a=b,∵△ACF≌△ACE,∴∠AEF=∠AFE, ∵∠EAF=45°,∴∠AEF=∠AFE=67.5°,∵CE=CF,∠ECF=90°,∠AEC=∠AFC=22.5°, ∵∠CAF=∠CAE=22.5°,∴∠CAE=∠CEA,∴CE=AC=4 ,即:a=b=4 ; (2)当 AEF是直角三角形时, ①当∠A△FE=90°时,∴∠AFD+∠CFE=90°, ∵∠CEF+∠CFE=90°,∴∠AFD=∠CEF ∵∠AFE=90°,∠EAF=45°,∴∠AEF=45°=∠EAF∴AF=EF, 在 ADF和 FCE中 ∴△ADF≌△FCE, △ △∴FC=AD=4,CE=DF=CD+FC=8,∴a=8,b=4 ②当∠AEF=90°时,同①的方法得,CF=8,CE=4,∴a=4,b=8. (3)ab=32,理由:如图, ∵AB∥CD∴∠BAG=∠AFC,∵∠BAC=45°,∴∠BAG+∠CAF=45°,∴∠AFC+∠CAF=45°, ∵∠AFC+∠AEC=180°-(∠CFE+∠CEF)-∠EAF=180°-90°-45°=45°,∴∠CAF=∠AEC, ∵∠ACF=∠ACE=135°,∴△ACF∽△ECA,∴ , ∴EC×CF=AC2=2AB2=32∴ab=32. 【点睛】此题是四边形综合题,主要考查了全等三角形的判定和性质,直角三角形的性质,相似三角形的 性质和判定,解本题的关键是判断 ACF∽△ECA,也是本题的难点. 11.(2023江苏中考数学一模)(△1)如图①,在正方形 中,E,F分别是 , 边上的动点,且 ,将 绕点D逆时针旋转 ,得到 ,可以证明 ,进一步推出 , , 之间的数量关系为 ;(2)在图①中,连接 分别交 和 于P,Q两点,求证: ;(3)如图②,在菱形 中, ,点E,F分别是边 , 上的动点 (不与端点重合),且 ,连接 分别与边 , 交于M,N.当 时,猜想 , , 之间存在什么样的数量关系,并证明你的结论.【答案】(1) ;(2)见解析;(3) ,证明见解析 【分析】(1)证明 ,可得出 和 的数量关系,即可得出结论; (2)根据正方形的性质可证明 和 ,即可证明 ; (3)将 绕点 顺时针旋转 ,此时 与 重合, 转到点 ,在 上取 ,连接 , ,利用 ,证明 , ,再证明 是直角三角形即可. 【详解】解:(1)结论: ; 理由: 绕点 逆时针旋转 ,得到 , , , , , , , 、 、 三点共线, 在 和 中, , , , ∵ , ; (2)如图,由(1)知: , ,又四边形 是正方形, , , , 是正方形 的对角线, , , , 又 , , 又 , ; (3)将 绕点 顺时针旋转 ,此时 与 重合, 转到点 ,在 上取 ,连接, ,如图, ,又 , , , , , 四边形 是菱形, , , , , , , , , , , . 【点睛】本题主要考查了旋转的性质,正方形的性质,全等三角形的判定与性质,相似三角形的判定与性 质,解答本题的关键是学会运用旋转法添加辅助线,构造全等三角形解决问题. 12.(2024·广东广州·九年级校考期中)在正方形ABCD中,点E,F分别在边BC,CD上,且∠EAF= ∠CEF=45°.(1)若点G在边CB的延长线上,且BG=DF,(如图①),求证:△AEG≌△AEF; (2)若直线EF与AB,AD的延长线分别交于点M,N(如图②),求证: ; (3)将正方形改为长与宽不相等的矩形(如图③),∠EAF=∠CEF=45°,BE=4,DF=1,请你直接写出 △CEF的面积. 【答案】(1)见解析(2)见解析(3) 【分析】(1)先证明△ABG≌ADF,可得AF=AG,∠EAF=∠GAE=45°,故可证△AEG≌△AEF; (2)将△ADF绕着点A顺时针旋转90°,得到△ABG,连接GM.由(1)知△AEG≌△AEF,则EG=EF.再由△BME、△DNF、△CEF均为等腰直角三角形,得出CE=CF,BE=BM,NF DF,然后证 明∠GME=90°,MG=NF,利用勾股定理得出 ,等量代换即可证明 ; (3)延长EF交AB延长线于M点,交AD延长线于N点,将△ADF绕着点A顺时针旋转90°,得到 △AGH,连接HM,HE.由(1)知△AEH≌△AEF,结合勾股定理以及相等线段可得 ,所以 ,利用结论求出EF即可解决问题. 【详解】(1)证明:在正方形ABCD中,AB=AD,∠ABC=∠D=∠BAD=90°,∴∠ABG=∠D=90°, ∵BG=DF,∴△ABG≌ADF,∴∠BAG=∠DAF,AG=AF, ∴∠GAE=∠BAG+∠BAE=∠DAF+∠BAE,∵∠EAF=45°,∴∠GAE=45°, 在△AGE与△AFE中, ,∴△AGE≌△AFE(SAS); (2)证明:设正方形ABCD的边长为a. 将△ADF绕着点A顺时针旋转90°,得到△ABG,连接GM.则△ADF≌△ABG,DF=BG. 由(1)知△AEG≌△AEF,∴EG=EF.∵∠CEF=45°,∴∠BEM=∠DFN=45°, ∴△BME、△DNF、△CEF均为等腰直角三角形, ∴CE=CF,BE=BM,NF DF,∴a﹣BE=a﹣DF,∴BE=DF, ∴BE=BM=DF=BG,∴∠BMG=45°,∴∠GME=45°+45°=90°,∴ , ∵EG=EF,MG BM DF=NF,∴ ; (3)解:如图所示,延长EF交AB延长线于M点,交AD延长线于N点,将△ADF绕着点A顺时针旋转 90°,得到△AGH,连接HM,HE.过点H作OH⊥BC交CB延长线于点O,∴AH=AF,∠DAF=∠HAG,∴∠HAE=∠HAG+∠EAG=∠DAF+∠EAG=90°-∠EAF=45°, ∴∠HAE=∠EAF, ∵AE=AE,∴△AEH≌△AEF,∵∠CEF=45°,∴∠BEM=∠CFE=∠DFN=45°, ∴△BEM,△DFN为等腰直角三角形,∴BM=BE=BG+GM, ∵∠BOH=∠OBG=∠BGH=90°,∴四边形OBGH是矩形, ∴OB=HG,OH=BG,∠BOH=90°,∴ , ∴ ,即 又∴EF=HE,DF=GH=GM,BE=BM,∴ ,即 , ∵BE=4,DF=1,∴ ,∵△ECF是等腰直角三角形,∴ . 【点睛】本题是四边形综合题,其中涉及到正方形的性质,旋转的性质,全等三角形的判定与性质,等腰 直角三角形的判定与性质,矩形的性质,勾股定理.准确作出辅助线利用数形结合及类比思想是解的关键. 13.(2023春·山东泰安·九年级统考期末)在 中, , . (1)如图1,若点D关于直线 的对称点为点F,求证: ; (2)如图2,在(1)的条件下,若 ,求证: ;(3)如图3,若 ,点E在 的延长线上,则等式 仍成立,请说明理由. 【答案】(1)见解析(2)见解析(3)结论仍然成立,理由见解析 【分析】(1)根据轴对称的性质可得 ,再求出 ,然后根据两边 对应成比例,夹角相等两三角形相似证明; (2)根据轴对称的性质可得 ,再求出 ,然后利用“边角边”证明 和 全等,根据全等三角形对应边相等可得 ,全等三角形对应角相等可得 ,然后求出 ,最后利用勾股定理证明即可; (3)解法一:作点D关于 的对称点F,连接 ,根据轴对称的性质可得 , 再根据同角的余角相等求出 ,然后利用“边角边”证明 和 全等,根据全等三 角形对应边相等可得 ,全等三角形对应角相等可得 ,然后求出 ,最后利 用勾股定理证明即可. 解法二:将 绕点A顺时针旋转 ,得 .由旋转的性质得到 , 证明 , 由勾股定理得到由旋转的性质,再证明 ,得到 ,即可证明 . 【详解】(1)解: 关于直线 对称, , , , , 又 , , (2)证明: , ∴ ,即 , 又 , , , , , , , , 在 中,由勾股定理得 ; (3)解:结论仍然成立,理由如下: 解法一:作D,F关于直线 对称, , , , , ∴ ,即 , , ,, , , , , 解法二:将 绕点A顺时针旋转 ,得 . , , , , ∴ 由旋转的性质, , , , , , , . 【点睛】本题主要考查了相似三角形的判定,全等三角形的性质与判定,勾股定理,旋转的性质,等腰直 角三角形的性质,轴对称的性质等等,熟知全等三角形的性质与判定定理是解题的关键. 14.(2023春·陕西西安·八年级校考阶段练习)【问题发现与证明】 如图①,正方形 中, 分别在边 、 上,且 ,连接 ,这种模型属于“半角模 型”中的一类,在解决“半角模型”问题时,旋转是一种常用的分析思路.例如图中 与 可以 看作绕点A旋转 的关系.这可以证明结论“ ”,请补充辅助线的作法,并写出证明过程.(1)延长 到点 ,使 ___________,连接 ;(2)求证: . 【问题拓展与应用】(3)某公园管理人员发现该公园有一块绿地,如图②所示,四边形 是平行四 边形,已知 米, 米, .为提升游客游览的体验感,准备修建三条赏花通道 、 、 ,要求点 在 边上,点 为 边的中点,且 ,现计划在 所在区域种 植郁金香,种植郁金香的费用为每平方米12元,求该公园种植郁金香需要投入多少资金. 【答案】(1) ;(2)见解析;(3) 元 【分析】(1)由于 与 可以看作绕点A旋转 的关系,根据旋转的性质知 ,从而 得到辅助线的做法; (2)先证明 ,得到 , ,结合 ,易知 ,再证 明 即可得到 ;(3)如图,分别过点E,F作 于点 N, 于点M,取 中点H,连接 交 于点K,则 , , ,利用F为 中点,求出 和 ,从而求出 ,再证明 ,得到 , 继而求出 ,最后用三角形面积公式求 的面积和所需资金. 【详解】解:(1)根据旋转的性质知 ,从而得到辅助线的做法:延长 到点G,使 , 连接 ;故答案是: ; (2)∵四边形 为正方形,∴ , , 在 和 中 ∴ ,∴ , ∵ ,∴ , ∴ ,∴ ,在 和 中 ∴ , ∴ ,∴ ; (3)如图,分别过点E,F作 于点N, 于点M,取 中点H,连接 交 于点K ∵四边形 是平行四边形∴ , , ∵点H是 的中点,点 为 边的中点,∴ , 又∵ ,∴四边形 是平行四边形,∴ , ∴ , ∴ , ∵F为 中点, ,∴ , 又∵ , ∴ ∴ ∴ ∵ , ∴ , ∴ 即 ∴ ∴ ∴ ∴ ∴需投入的资金为: (元) 答:该公园种植郁金香需要投入 元资金 【点睛】本题属于四边形综合题,主要考查正方形的性质及全等三角形的判定和性质,相似三角形的判定 与性质,平行四边形的性质,勾股定理,解直角三角形等知识,解题的关键是学会利用旋转方法提示构造 全等三角形和正确作出辅助线.15.(2024·江西吉安·统考模拟预测)【模型建立】 (1)如图1,在正方形 中, , 分别是边 , 上的点,且 ,探究图中线段 , , 之间的数量关系. 小明的探究思路如下:延长 到点 ,使 ,连接 ,先证明 ,再证明 .① , , 之间的数量关系为________; ②小亮发现这里 可以由 经过一种图形变换得到,请你写出这种图形变换的过程________.像 上面这样有公共顶点,锐角等于较大角的一半,且组成这个较大角的两边相等的几何模型称为半角模型. 【类比探究】(2)如图2,在四边形 中, , 与 互补, , 分别是边 , 上的点,且 ,试问线段 , , 之间具有怎样的数量关系?判断并说明理由. 【模型应用】(3)如图3,在矩形 中,点 在边 上, , , ,求 的长. 【答案】(1)①BE+DF=EF,②将△ADF绕A点顺时针旋转90°(2)EF=DF+BE,理由见详解(3)5.2 【分析】(1)①沿着小明的思路,先证△ADF≌△ABG,再证△AEF≌△AEG,即可得出结论;②在①的 基础上,证明∠GAF=90°即可得解;(2)延长CB至点M,使得BM=DF,连接AM,先证 △ABM≌△ADF,再证△MAE≌△FAE,即可得出结论;(3)过E点作EN⊥AC于N点,设EC=x,则有x <6,即BE=6-x,分别在Rt ABE和Rt ADC中,表示出 和求出AC,再证△AEN是等腰直角三角形, △ △ 即可得 ,则有 ,再证Rt ABC∽Rt ENC,即有 ,进而有 △ △ ,则可得一元二次方程 ,解方程就可求出CE. 【详解】(1)①BE+DF=EF,理由如下:沿着小明的思路进行证明, 在正方形ABCD中,有AD=AB,∠D=∠ABC=90°,即有∠ABG=90°, ∵BG=DF,AD=AB,∠D=∠ABG=90°, ∴△ADF≌△ABG,∴AF=AG,∠DAF=∠BAG,∵∠BAD=90°,∠EAF=45°,∴∠BAE+∠DAF=45°,∴∠BAE+∠BAG=45°=∠EAF, ∵AF=AG,AE=AE,∴△AEF≌△AEG,∴EG=EF, ∵EG=BG+BE,BG=DF,∴EF=BE+DF,结论得证; ②将△ADF绕A点顺时针旋转90°即可得到△ABG. 理由如下:在①已经证得△ADF≌△ABG,并得到∠BAE+∠BAG=45°=∠EAF, ∴∠GAF=∠EAG+∠EAF=45°+45°=90°, ∴将△ADF绕A点顺时针旋转90°即可得到△ABG; 故答案为:①BE+DF=EF,②将△ADF绕A点顺时针旋转90°; (2)EF=DF+BE,理由如下:延长CB至点M,使得BM=DF,连接AM,如图, ∵∠ABC与∠D互补,∴∠D+∠ABC=180°, ∵∠ABC+∠ABM=180°,∴∠ABM=∠D, ∵AB=AD,BM=DF,∴△ABM≌△ADF,∴∠DAF=∠BAM,AM=AF, ∵∠EAF= ∠BAD,∴∠BAE+∠FAD= ∠BAD,∴∠BAE+∠FAD=∠EAF, ∵∠DAF=∠BAM,∴∠BAM+∠BAE=∠EAF,∴∠MAE=∠EAF, ∵AM=AF,AE=AE,∴△MAE≌△FAE,∴ME=EF, ∵ME=BE+MB,MB=DF,∴EF=DF+BE,结论得证; (3)过E点作EN⊥AC于N点,如图, ∵AD=6,AB=4,∴在矩形ABCD中,AD=BC=6,AB=DC=4,∠D=∠B=90°,∴设EC=x,则有x<6,∴BE=BC-EC=6-x, 在Rt ABE中, , △ 在Rt ADC中, , △ ∵∠CAE=45°,EN⊥AC,∴∠ANE=90°=∠ENC,∴∠AEN=45°, ∴△AEN是等腰直角三角形,∴ , ∴ ,即: ∵∠ENC=90°=∠B,∠ACB=∠ECN,∴Rt ABC∽Rt ENC,∴ , △ △ ∵AB=4,AC= ,EC=x,∴ ,∴ , ∵ ,∴ , ∴结合x<6,解得x=5.2,∴CE=5.2. 【点睛】本题考了勾股定理、全等三角形的判定与性质、相似三角形的判定与性质、旋转的知识、等腰直 角三角形的判定与性质、一元二次方程的应用等知识,做辅助线构造全等三角形是解答本题的关键. 16.(2023春·辽宁沈阳·九年级统考开学考试)在矩形 中, . (1)如图1,若 ,点 , 分别在 , 上,连接 . ①线段 , , 三者之间的数量关系是:________; ②当点 是 中点时,求证: ; (2)如图2,若 , ,点 , 分别在 , 上.若 ,请直接写出线段 的长; (3)如图3,若 , ,连接 ,将 绕点 旋转,当 的一边与射线 重合时,另 一边与 的垂直平分线交于点 ,请直接写出线段 的长.【答案】(1)① ;②见解析(2) (3) 或 【分析】(1)①将 绕点 顺时针旋转 得到 ,则 ,证明 , 即可得出结论; ②设正方形的边长为 , ,在 中, ,得出 ,进而即可求解; (2)取 的中点 ,连接 交 于点 ,由(1)②可得 ,则 ,勾股定理求 得 ,根据 即可求解; (3)分 在 上, 在 上,分类讨论即可求解. 【详解】(1)①解: ,如图所示, ∵四边形 是正方形,∴ , 将 绕点 顺时针旋转 得到 ,则 , ∴ , ,∴ 与 重合, ∵ ,则 ,即 三点共线,∴ , ∵ ,则 ∴ 又∵ ,∴ ∴ ,故答案为: . ②当点 是 中点时,设正方形的边长为 , ,则 , , ∵ ,∴ , 在 中, ,即 , ∴ ,∴ , ∵ ,∴ ,∴ ,即 ; (2)解:如图,取 的中点 ,连接 交 于点 ,∵ ,∴四边形 是菱形, 又∵ ∴四边形 是正方形,∵ 则 是 的中点 由(1)②可得 ,∴ ,∴ ∵ ∴ ∴ ∴ (3)解:如图所示,当 与 重合时,过点 作 , ∵ ,则 是等腰直角三角形, ∴ ,即 是等腰直角三角形, ∴四边形 是正方形,∴ , ∵ ,则 ,又∵ ∴ 三点共圆, 又∵ ,∴ 都在 上,∴ , 又∵ ∴ 是等腰直角三角形,则 如图,延长 交 的延长线于点 ,∴ 是等腰直角三角形,∴ , ∵ ,∴ ∴ , ∵ ,即 是等腰直角三角形,∴ ; ②当 与 重合时,如图所示,同理可得 在 上, 是等腰直角三角形,∴ ∴ ,综上所述, 或 . 【点睛】本题考查了圆周角定理,正方形的性质,矩形的性质,相似三角形的性质与判定,勾股定理,全 等三角形的性质与判定,综合运用以上知识是解题的关键. 17.(2024·广东深圳·二模)【问题提出】(1)如图1,在正方形 中,点E,F分别在边 和对角线 上, ,点G,H分别在边 和 上, ,求证: ; 【尝试应用】(2)如图2,在矩形 中, ,点E,F分别在边 和对角线 上, ,求 的长; 【拓展提高】(3)如图3,在平行四边形 中, ,点E,F分别在边 和 对角线 上, , ,试求 的长. 【答案】(1)证明见解析;(2)1;(3) 【分析】此题考查了正方形的性质、相似三角形的判定和性质、解直角三角形等知识,熟练相似三角形的 判定和解直角三角形是解题的关键.(1)证明 , ,即可证明结论; (2)在 上截取 ,连接 ,作 ,得到 ,证明 , ,证明 ,得到 ,则 ,作 于W,设 ,则 ,得到 ,得到 ,解方程即可;(3)在 上截取 ,连接 ,作 ,作 ,交 的延长线于X,设 ,证明 是等边三角形, , ,则 ,得到 ,同理 (2)可得, ,则 ,作 于V,则 ,得到 ,则 , ,得到 , ,得到 ,进一步即可 得到答案. 【详解】(1)证明:∵四边形 是正方形,∴ ,∵ ,∴ , ∵ ,∴ ,∴ ,∴ ;(2)解:如图1,在 上截取 ,连接 ,作 ,∴ , ∵四边形 是矩形,∴ , ∴ ,∴ , , ∵ ,∴ ,∴ ,∴ , ∴ ,∴ ,作 于W,设 , ∵ ,∴ , ∵ ,∴ ,∴ , ∵ ,∴ ,∴ ,∴ ; (3)解:如图2,在 上截取 ,连接 ,作 ,作 ,交 的延长线 于X,设 ,∵四边形 是平行四边形,∴ , ∴ ,∴ 是等边三角形, , , ∴ , , 同理(2)可得, ,∴ , 作 于V,∴ ,∴ , ∴ ,∴ ,∴ , , ∴ , , ∴ ,∴ ,∴ ,∴ .