当前位置:首页>文档>专题13特殊的平行四边形中的的图形变换模型之翻折(折叠)模型(教师版)_初中数学_八年级数学下册(人教版)_常见几何模型全归纳-V13_2024版

专题13特殊的平行四边形中的的图形变换模型之翻折(折叠)模型(教师版)_初中数学_八年级数学下册(人教版)_常见几何模型全归纳-V13_2024版

  • 2026-04-09 19:50:33 2026-03-22 06:20:10

文档预览

专题13特殊的平行四边形中的的图形变换模型之翻折(折叠)模型(教师版)_初中数学_八年级数学下册(人教版)_常见几何模型全归纳-V13_2024版
专题13特殊的平行四边形中的的图形变换模型之翻折(折叠)模型(教师版)_初中数学_八年级数学下册(人教版)_常见几何模型全归纳-V13_2024版
专题13特殊的平行四边形中的的图形变换模型之翻折(折叠)模型(教师版)_初中数学_八年级数学下册(人教版)_常见几何模型全归纳-V13_2024版
专题13特殊的平行四边形中的的图形变换模型之翻折(折叠)模型(教师版)_初中数学_八年级数学下册(人教版)_常见几何模型全归纳-V13_2024版
专题13特殊的平行四边形中的的图形变换模型之翻折(折叠)模型(教师版)_初中数学_八年级数学下册(人教版)_常见几何模型全归纳-V13_2024版
专题13特殊的平行四边形中的的图形变换模型之翻折(折叠)模型(教师版)_初中数学_八年级数学下册(人教版)_常见几何模型全归纳-V13_2024版
专题13特殊的平行四边形中的的图形变换模型之翻折(折叠)模型(教师版)_初中数学_八年级数学下册(人教版)_常见几何模型全归纳-V13_2024版
专题13特殊的平行四边形中的的图形变换模型之翻折(折叠)模型(教师版)_初中数学_八年级数学下册(人教版)_常见几何模型全归纳-V13_2024版
专题13特殊的平行四边形中的的图形变换模型之翻折(折叠)模型(教师版)_初中数学_八年级数学下册(人教版)_常见几何模型全归纳-V13_2024版
专题13特殊的平行四边形中的的图形变换模型之翻折(折叠)模型(教师版)_初中数学_八年级数学下册(人教版)_常见几何模型全归纳-V13_2024版
专题13特殊的平行四边形中的的图形变换模型之翻折(折叠)模型(教师版)_初中数学_八年级数学下册(人教版)_常见几何模型全归纳-V13_2024版
专题13特殊的平行四边形中的的图形变换模型之翻折(折叠)模型(教师版)_初中数学_八年级数学下册(人教版)_常见几何模型全归纳-V13_2024版
专题13特殊的平行四边形中的的图形变换模型之翻折(折叠)模型(教师版)_初中数学_八年级数学下册(人教版)_常见几何模型全归纳-V13_2024版
专题13特殊的平行四边形中的的图形变换模型之翻折(折叠)模型(教师版)_初中数学_八年级数学下册(人教版)_常见几何模型全归纳-V13_2024版
专题13特殊的平行四边形中的的图形变换模型之翻折(折叠)模型(教师版)_初中数学_八年级数学下册(人教版)_常见几何模型全归纳-V13_2024版
专题13特殊的平行四边形中的的图形变换模型之翻折(折叠)模型(教师版)_初中数学_八年级数学下册(人教版)_常见几何模型全归纳-V13_2024版
专题13特殊的平行四边形中的的图形变换模型之翻折(折叠)模型(教师版)_初中数学_八年级数学下册(人教版)_常见几何模型全归纳-V13_2024版
专题13特殊的平行四边形中的的图形变换模型之翻折(折叠)模型(教师版)_初中数学_八年级数学下册(人教版)_常见几何模型全归纳-V13_2024版
专题13特殊的平行四边形中的的图形变换模型之翻折(折叠)模型(教师版)_初中数学_八年级数学下册(人教版)_常见几何模型全归纳-V13_2024版
专题13特殊的平行四边形中的的图形变换模型之翻折(折叠)模型(教师版)_初中数学_八年级数学下册(人教版)_常见几何模型全归纳-V13_2024版
专题13特殊的平行四边形中的的图形变换模型之翻折(折叠)模型(教师版)_初中数学_八年级数学下册(人教版)_常见几何模型全归纳-V13_2024版
专题13特殊的平行四边形中的的图形变换模型之翻折(折叠)模型(教师版)_初中数学_八年级数学下册(人教版)_常见几何模型全归纳-V13_2024版
专题13特殊的平行四边形中的的图形变换模型之翻折(折叠)模型(教师版)_初中数学_八年级数学下册(人教版)_常见几何模型全归纳-V13_2024版
专题13特殊的平行四边形中的的图形变换模型之翻折(折叠)模型(教师版)_初中数学_八年级数学下册(人教版)_常见几何模型全归纳-V13_2024版
专题13特殊的平行四边形中的的图形变换模型之翻折(折叠)模型(教师版)_初中数学_八年级数学下册(人教版)_常见几何模型全归纳-V13_2024版
专题13特殊的平行四边形中的的图形变换模型之翻折(折叠)模型(教师版)_初中数学_八年级数学下册(人教版)_常见几何模型全归纳-V13_2024版
专题13特殊的平行四边形中的的图形变换模型之翻折(折叠)模型(教师版)_初中数学_八年级数学下册(人教版)_常见几何模型全归纳-V13_2024版
专题13特殊的平行四边形中的的图形变换模型之翻折(折叠)模型(教师版)_初中数学_八年级数学下册(人教版)_常见几何模型全归纳-V13_2024版
专题13特殊的平行四边形中的的图形变换模型之翻折(折叠)模型(教师版)_初中数学_八年级数学下册(人教版)_常见几何模型全归纳-V13_2024版
专题13特殊的平行四边形中的的图形变换模型之翻折(折叠)模型(教师版)_初中数学_八年级数学下册(人教版)_常见几何模型全归纳-V13_2024版
专题13特殊的平行四边形中的的图形变换模型之翻折(折叠)模型(教师版)_初中数学_八年级数学下册(人教版)_常见几何模型全归纳-V13_2024版
专题13特殊的平行四边形中的的图形变换模型之翻折(折叠)模型(教师版)_初中数学_八年级数学下册(人教版)_常见几何模型全归纳-V13_2024版
专题13特殊的平行四边形中的的图形变换模型之翻折(折叠)模型(教师版)_初中数学_八年级数学下册(人教版)_常见几何模型全归纳-V13_2024版
专题13特殊的平行四边形中的的图形变换模型之翻折(折叠)模型(教师版)_初中数学_八年级数学下册(人教版)_常见几何模型全归纳-V13_2024版
专题13特殊的平行四边形中的的图形变换模型之翻折(折叠)模型(教师版)_初中数学_八年级数学下册(人教版)_常见几何模型全归纳-V13_2024版
专题13特殊的平行四边形中的的图形变换模型之翻折(折叠)模型(教师版)_初中数学_八年级数学下册(人教版)_常见几何模型全归纳-V13_2024版
专题13特殊的平行四边形中的的图形变换模型之翻折(折叠)模型(教师版)_初中数学_八年级数学下册(人教版)_常见几何模型全归纳-V13_2024版
专题13特殊的平行四边形中的的图形变换模型之翻折(折叠)模型(教师版)_初中数学_八年级数学下册(人教版)_常见几何模型全归纳-V13_2024版
专题13特殊的平行四边形中的的图形变换模型之翻折(折叠)模型(教师版)_初中数学_八年级数学下册(人教版)_常见几何模型全归纳-V13_2024版
专题13特殊的平行四边形中的的图形变换模型之翻折(折叠)模型(教师版)_初中数学_八年级数学下册(人教版)_常见几何模型全归纳-V13_2024版
专题13特殊的平行四边形中的的图形变换模型之翻折(折叠)模型(教师版)_初中数学_八年级数学下册(人教版)_常见几何模型全归纳-V13_2024版
专题13特殊的平行四边形中的的图形变换模型之翻折(折叠)模型(教师版)_初中数学_八年级数学下册(人教版)_常见几何模型全归纳-V13_2024版
专题13特殊的平行四边形中的的图形变换模型之翻折(折叠)模型(教师版)_初中数学_八年级数学下册(人教版)_常见几何模型全归纳-V13_2024版
专题13特殊的平行四边形中的的图形变换模型之翻折(折叠)模型(教师版)_初中数学_八年级数学下册(人教版)_常见几何模型全归纳-V13_2024版
专题13特殊的平行四边形中的的图形变换模型之翻折(折叠)模型(教师版)_初中数学_八年级数学下册(人教版)_常见几何模型全归纳-V13_2024版

文档信息

文档格式
docx
文档大小
5.637 MB
文档页数
45 页
上传时间
2026-03-22 06:20:10

文档内容

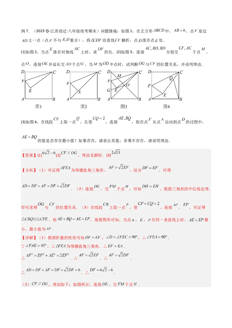
专题13 特殊的平行四边形中的的图形变换模型之翻折(折叠)模型 几何变换中的翻折(折叠、对称)问题是历年中考的热点问题,试题立意新颖,变幻巧妙,主要考查 学生的识图能力及灵活运用数学知识解决问题的能力。翻折以矩形对称最常见,变化形式多样。无论如何 变化,解题工具无非全等、相似、勾股以及三角函数,从条件出发,找到每种对称下隐藏的结论,往往是 解题关键。本专题以各类几个图形(菱形、矩形、正方形等)为背景进行梳理及对应试题分析,方便掌握。 【知识储备】 折叠问题的解决,大都是以轴对称图形的性质作为切入点,而数形变化,是解决这类问题的突破口。有 了“折”就有了”形”--轴对称图形、全等形;有了“折”就有了“数”--线段之间、角与角之间的数量 关系。"折” 就为“数”与“形”之间的转化搭起了桥梁。特殊平行四边形中的折叠问题,还要考虑特殊 平行四边形本身的性质,有时也需要用到计算工具:相似和勾股定理。 折叠的性质:重合部分是全等图形,对应边、对应角相等;对称点的连线被对称轴垂直平分。 【知识储备】 1)矩形的翻折模型 【模型解读】例1.(2023春·辽宁葫芦岛·八年级统考期末)如图,在矩形 中, 是 的中点,将 沿 翻折得到 ,延长 交 于点 ,若 , ,则 的长度为( ) A. B. C. D.3 【答案】A 【分析】根据题意连接 ,证明 ,得出 ,在 中运用勾股定理 即可解答; 【详解】连接 , 为矩形, 是 的中点 由 翻折得到, , , ,设 ,则 . 在 和 中 在 中 即 解得: 故选A 【点睛】该题考查了矩形知识点和勾股定理的运用,掌握矩形性质和勾股定理是解答该题的关键 例2.(2023春·陕西西安·八年级校考期末)如图,在矩形 中, , , 是 上一个动 点, 是 上一点 点 不与点 重合 .连接 ,将 沿 翻折,使点 的对应点 落在边 上,连接 ,若 ,则 的面积为( )A. B. C. D. 【答案】B 【分析】由折叠可知 , ,设 则 在 中,利用 勾股定理可建立方程 ,解得 ,则 , ,再根据等腰三角形的 性质得到 ,进而算出 ,设 则 在 中,利用勾股 定理可建立方程 ,解得 ,则 ,再利用三角形面积公式计算即可求解. 【详解】解:如图,过点 作 于点 , 四边形 为矩形, , , , , , 由折叠可知, , , , , 设 则 在 中, , ,解得: , , , , 四边形 为矩形, , , , , , 设 则 在 中, , ,解得: , , 故选:B. 【点睛】本题主要考查矩形的性质、折叠的性质、等腰三角形的性质、勾股定理,熟练掌握折叠的性质以 及勾股定理是解题的关键.例3.(2023春·安徽安庆·九年级校联考阶段练习)如图,长方形 沿着对角线 翻折,点C落在点 处, 与 相交于点E,若 , ,求 的长. 【答案】 【分析】根据翻折的性质,证明 ,然后求出 ,最后根据勾股定理即可求出结果. 【详解】由翻折的性质可知,在 与 中, , , , , , 长方形 , , . 【点睛】本题考查了全等三角形的判定及性质、勾股定理和矩形的性质,掌握全等三角形的判定及性质是 解题的关键. 例4.(2023春·湖北·八年级专题练习)如图,在长方形 中, , , 为 上一点,将 沿 翻折至 , , 与 分别相交于点 , ,且 .则 的长为( ) A. B. C. D. 【答案】D 【分析】由折叠的性质得出 , , ,证明 ,得出 , ,设 ,则 , ,求出 ,,根据勾股定理得出方程,解方程即可. 【详解】解:∵四边形 是矩形,∴ , , , 根据题意得: ,∴ , , , ∵ , , ,∴ ,∴ , ,∴ , 设 ,则 , ,∴ , , 根据勾股定理得: ,即 ,解得: ,∴ ,故选:D 【点睛】本题考查了矩形的性质、折叠的性质、全等三角形的判定与性质以及勾股定理的运用,熟练掌握 翻折变换和矩形的性质,并能进行推理计算是解决问题的关键. 例5.(2023春·陕西商洛·八年级统考期末)如图,在矩形 中, , ,将矩形折叠, 使点C与点A重合,则 的长为( ) A.20 B.18 C.16 D.15 【答案】D 【分析】设 ,则 ,根据勾股定理列出关于x的方程 ,据此 即可求解. 【详解】解:设 ,则 ,∵沿 翻折后点C与点A重合,∴ , 在 中, ,即 ,解得 , ∴ ,由翻折的性质得, , ∵矩形 的对边 ,∴ ,∴ ,∴ ,故选:D. 【点睛】本题主要考查了折叠的性质,勾股定理,矩形的性质,解题的关键是作出辅助线,熟练掌握折叠 的性质和矩形的性质. 例6.(2023春·江苏宿迁·八年级统考期末)如图,在矩形 中, , .点O为矩形的对称中心,点E为边 上的动点,连接 并延长交 于点F.将四边形 沿着 翻折, 得到四边形 ,边 交边 于点G,连接 ,则 的面积的最小值为( ) A.18-3 B. C. D. 【答案】D 【分析】在 上截取 ,连接 ,证明 ,所以 ,即可得 最短时, 也就最短,而当 时, 最短,且 ,再过点 作 ,得 ,又因为 ,就可以根据勾股定理计算 、 的长,从而计算出最小面积. 【详解】解:在 上截取 ,连接 , 由折叠得: ,又 , , , 最短时, 也就最短,而当 时, 最短, 此时, 点 为矩形 的对称中心, ,即 的最小值是4, 在 中, 点 为矩形 的对称中心, 长度是矩形对角线长度的一半,即是5,定值, 度数也不变,是定值, 当 最小值时, 面积最小.过点 作 , 点 为矩形 的对称中心, , 中, , 中, , ,面积的最小值是 .故选:D. 【点睛】本题考查矩形的性质、全等三角形的判定与性质及垂线段最短等知识,解题关键是找到 最小 值. 例7.(2023春·浙江金华·八年级统考期末)如图,在矩形 中, , ,点P,Q分别为 AB,AD上的动点,将 沿 翻折得到 ,将 沿 翻折得到 在动点P,Q所有位 置中,当F,E,P三点共线, 时, . 【答案】3 【分析】利用矩形和翻折的性质求出 , , , ,在 中利用勾股定理求出 ,设 ,则 , , ,根据 可构建关于x 的方程,然求解即可解答. 【详解】解:在矩形 中, , ,∴ , , ∵翻折,∴ , , , ,∴ , 又 ,∴ ,设 ,则 , , , ∴ ,∴ ,∴ .故答案为:3. 【点睛】本题考查矩形的性质,翻折的性质,勾股定理等知识,解题的关键是灵活运用所学知识解决问题. 例8.(2023秋·山西·九年级专题练习)综合与实践: 在综合与实践课上,老师让同学们以“矩形纸片的折叠”为主题开展数学活动.在矩形 中,E为 边上一点,F为 边上一点,连接 、 ,分别将 和 沿 、 翻折,点D、B的对应点分别为点G、H,且C、H、G三点共线. (1)如图1,若F为 边的中点, ,点G与点H重合,则 = °, = ; (2)如图2,若F为 的中点, 平分 , , ,求 的度数及 的长; (3) , ,若F为 的三等分点,请直接写出 的长 . 【答案】(1)45;2(2) ; (3)2或 【分析】(1)根据正方形的性质和翻折的性质,可得出 ;设 ,用x 表示出 的三条边,然后根据勾股定理列出方程,即可得出 的长;(2)如图,由折叠性质和 平分 ,得出 ,即可求出 的度数;先证明 和 是等腰直角三角 形,得出 , ,即可求出 的长; (3)根据F为 的三等分点,分两种情况: 当 时,过点E作 ,交 的延长线于点P,连接 ,证明 ,得出 ,进而求出 的长;当 时,点E作 ,交 的延长线于点P,连接 ,根 据 ,计算即可求出 的长. 【详解】(1)∵ ,四边形 是矩形, ∴四边形 是正方形,∴ , , ∵将 和 沿 、 翻折,点D、B的对应点分别为点G、H, ∴ , ,∵ ,∴ , ∵F为 的中点,∴ , ∵将 和 沿 、 翻折,点D、B的对应点分别为点G、H, ∴ , ,设 ,则 ,∴ ,∵ ,∴ ,∴ ,∴ .故答案为:45;2; (2)如图2,延长 ,交 于点M, ∵ 平分 ,∴ ,由折叠的性质可知, , , ∴ ,∴ , ∵ , ,∴ 和 均为等腰直角三角形, ∴ , ,∴ ,即 ,解得 . (3)分两种情况:①当 时,如图3,过点E作 ,交 的延长线于点P,连接 ,则 四边形 为矩形, , , 由折叠的性质可知, , ,∴ , ∵ ,∴ , ,∴ , 在 和 中, ,∴ ,∴ , 设 , , ,∴ ,解得 ,∴ . ②当 时,如图4,过点E作 ,交 的延长线于点P,连接 ,则四边形 为矩 形, , ,由折叠的性质可知, , ,∴ , ∵ ,∴ , ,设 , , , ∵ ,∴ ,解得 ,∴ . 综上可知, 的长为2或 . 【点睛】本题主要综合考查了矩形的折叠问题,涉及到正方形的性质,矩形的判定和性质,轴对称的性质, 全等三角形的判定和性质,勾股定理等知识,属于压轴题,难度较大,熟练掌握并灵活运用相关知识进行分类讨论是解题的关键. 2)菱形的翻折模型 【模型解读】 例1.(2023·四川成都·模拟预测)如图,在菱形 中, ,将菱形折叠,使点 恰好落在 对角线 上的点 处 不与 、 重合 ,折痕为 ,若 , ,则 的长为 . 【答案】 【分析】作 于 ,根据折叠的性质得到 ,根据菱形的性质、等边三角形的判定定理得到为等边三角形,得到 ,根据勾股定理列出方程,解方程即可. 【详解】解:作 于 ,由折叠的性质可知, ,由题意得, , 四边形 是菱形, , , 为等边三角形, ,设 ,则 , 在 中, , , 在 中, ,即 , 解得, ,即 ,故答案为: . 【点睛】本题考查的是翻转变换的性质、菱形的性质、勾股定理、解直角三角形,掌握翻转变换是一种对 称变换,折叠前后图形的形状和大小不变,位置变化,对应边和对应角相等是解题的关键. 例2.(2023·安徽·统考一模)如图,在边长为2的菱形ABCD中,∠A=60°,点M是AD边的中点,点N是 AB边上一动点,将△AMN沿MN所在的直线翻折得到△A’MN,连结A’C,则A’C长度的最小值是( ). A. B. C. D.2 【答案】B 【分析】根据题意,在N的运动过程中A′在以M为圆心、AD为直径的圆上的弧AD上运动,当A′C取最小 值时,由两点之间线段最短知此时M、A′、C三点共线,得出A′的位置,进而利用锐角三角函数关系求出 A′C的长即可. 【详解】如图所示:∵MA′是定值,A′C长度取最小值时,即A′在MC上时,过点M作MF⊥DC于点F, ∵在边长为2的菱形ABCD中,∠A=60°,M为AD中点,∴2MD=AD=CD=2,∠FDM=60°, ∴∠FMD=30°,∴FD= MD= ,∴FM=DM×cos30°= , ∴MC= ,∴A′C=MC-MA′= -1.故选B. 例3.(2023·山东八年级统考期末)如图,在菱形纸片ABCD中,∠A=60°,将菱形纸片翻折,使点A落 在CD的中点P处,折痕为MN,点M,N分别在边AB,AD上,则BM:AM的值为( ) A. B. C. D. 【答案】B 【分析】连接 , ,证明 是等边三角形,证得 ,由折叠可得 ,由 可求出 的长,进而得出答案. 【详解】解:如图,连接 , , 四边形 为菱形, , , , 是等边三角形, 是 中点, , , , , , ,由折叠可得 ,设 ,∴ , , ,即 , , .故答案为:B. 【点睛】本题主要考查折叠的性质、菱形的性质、勾股定理及等边三角形的性质与判定,熟练掌握折叠的 性质、菱形的性质、勾股定理及等边三角形的性质与判定是解题的关键. 例4.(2023秋·广西 九年级专题练习)如图,在菱形纸片 中, ,P为 中点.折叠该纸 片使点C落在点 处且点P在 上,折痕为 ,则 的大小为( ) A. B. C. D. 【答案】D 【分析】连接 ,易得 为等边三角形,根据三线合一,易得 ,利用菱形的性质,易得: ,根据折叠的性质,易得 ,再利用三角形的内角和求出 的度数即可. 【详解】解:∵在菱形纸片 中, ,∴ ,连接 , ∴ 为等边三角形,∵P为 中点,∴ ,∵ ,∴ ,∴ , ∵折叠该纸片使点C落在点 处且点P在 上,折痕为 ,∴ ,∴ ;故选D. 【点睛】本题考查菱形的性质,等边三角形的判定和性质,折叠的性质,三角形的内角和个定理.熟练掌 握并灵活运用相关知识点,是解题的关键. 例5.(2023春·浙江·八年级专题练习)对角线长分别为6和8的菱形 如图所示,点O为对角线的交 点,过点O折叠菱形,使B, 两点重合, 是折痕.若 ,则 的长为( ) A.3.5 B.4.5 C.5.5 D.6.5 【答案】A 【分析】连接 、 ,利用菱形的性质得 , , ,再利用 勾股定理计算出 ,由 证得 得到 ,然后根据折叠的性质得 ,则 ,即可得出结果. 【详解】解:连接 、 ,如图, ∵点O为菱形 的对角线的交点,∴ , , , 在 中, ,∵ ,∴ , 在 和 中, ,∴ ,∴ , ∵过点O折叠菱形,使B, 两点重合, 是折痕,∴ ,∴ ,∴ ,故选:A. 【点睛】本题考查了菱形与折叠问题,熟练掌握菱形的性质,勾股定理,全等三角形的性质与判定和折叠 的性质是解题的关键. 例6.(2023·山东九年级课时练习)如图,在折叠千纸鹤时,其中某一步需要将如图所示的菱形纸片 分别沿 , 所在直线进行折叠,使得菱形的两边 , 重合于 .若此时 , 则 . 【答案】30°/30度 【分析】根据菱形的性质得∠B=∠D,∠B+∠BAD=180°,再由折叠的性质得∠B=∠AOM,∠D=∠AON, ∠BAM=∠OAM=∠DAN=∠OAN= ∠BAD,所以∠AOM=∠AON= (360°-∠MON )=140°,所以 ∠B=∠AOM=140°,从而可求得∠BAD=40°,继而求得 ∠OAM=10°,再由三角形内角和定理求解即可. 【详解】解:∵四边形ABCD为菱形,∴∠B=∠D,∠B+∠BAD=180°, 由折叠的性质得:∠B=∠AOM,∠D=∠AON,∠BAM=∠OAM=∠DAN=∠OAN= ∠BAD, ∵∠MON=80°,∴∠AOM=∠AON= (360°-80°)=140°, ∴∠B=∠AOM=140°,∴∠BAD=40°,∴∠OAM=10°,∴∠AMO=180°-140°-10°=30°,故答案为:30°. 【点睛】本题考查菱形的性质,折叠的性质,三角形内角和定理,熟练掌握菱形的性质、折叠的性质是解 题的关键.3)正方形的翻折模型 【模型解读】 例1.(2023·湖南郴州·八年级校考期末)如图,正方形ABCD的边长为4,E是AD边的中点,连接BE, 将△ABE沿直线BE翻折至△FBE,延长EF交CD于点G,则CG的长度是( )A. B. C. D. 【答案】C 【分析】连接BG,根据折叠的性质和正方形的性质可得AB=BF=BC=4,AE=FE= AD=2=DE,∠A =∠BFE=90°=∠C,即可证明Rt△BFG≌Rt△BCG得到FG=CG,设CG=FG=x,则DG=4﹣x,EG= 2+x,在Rt△DEG中,由勾股定理进行求解即可. 【详解】解:如图所示,连接BG,∵四边形ABCD是正方形, ∴AB=BC=DC=4,∠A=∠ABC=∠C=90°, 由折叠的性质可得,AB=BF=BC=4,AE=FE= AD=2=DE,∠A=∠BFE=90°=∠C, ∵∠BFE+∠BFG=180°,∴∠C=∠BFG=90°, 又∵BG=BG,∴Rt△BFG≌Rt△BCG(HL),∴FG=CG, 设CG=FG=x,则DG=4﹣x,EG=2+x,在Rt△DEG中,由勾股定理得, EG2=DE2+DG2,∴(2+x)2=22+(4﹣x)2,解得x= ,即CG= ,故选C. 【点睛】本题主要考查了正方形的性质,折叠的性质,勾股定理,全等三角形的性质与判定,解题的关键 在于能够熟练掌握相关知识进行求解. 例2.(2023·江苏·八年级假期作业)如图,在正方形ABCD中,E为CD边上一点,将△AED沿着AE翻 折得到△AEF,点D的对应点F恰好落在对角线AC上,连接BF.若EF=2,则BF2=( )A.4 +4 B.6+4 C.12 D.8+4 【答案】D 【分析】点F作FG⊥BC交于G点,设正方形的边长为x,则AC x,由折叠可知,DE=EF,AD= AF,∠D=∠EFA=90°,可得DE=2,EC=x﹣2,AC x,在Rt△EFC中,由勾股定理可得(x﹣2)2 =4+( x﹣x)2,解得x,即为正方形的边长为2 2,再求出FC=2,由∠ACB=45°,可求FG= CG ,BG 2,在Rt△BFG中,由勾股定理可得BF2=( 2)2+2=8+4 . 【详解】解:过点F作FG⊥BC交于G点, 由折叠可知,DE=EF,AD=AF,∠D=∠EFA=90°,设正方形的边长为x, ∵EF=2,∴DE=2,EC=x﹣2,AC x, 在Rt△EFC中,EC2=FE2+FC2,∴(x﹣2)2=4+( ﹣x)2, 解得x=2 2,∴FC= x﹣x=2, ∵∠ACB=45°,∴FG=CG ,∴BG 2, 在Rt△BFG中,BF2=BG2+GF2=( 2)2+2=8+4 ,故选:D. 【点睛】本题考查正方形性质,翻折的性质,熟练掌握翻折的性质,灵活应用勾股定理是解题的关键. 例3.(2023·江苏·九年级专题练习)如图,ABCD是一张边长为4cm的正方形纸片,E,F分别为AB,CD 的中点,沿过点D的折痕将A角翻折,使得点A落在EF上的点A′处,则EG= cm.【答案】 【分析】由ABCD是一张边长为4cm的正方形纸片,E,F分别为AB,CD的中点,可得AE=DF=2cm, EF=AD=4cm,由翻折的性质可得AG=A′G,AD=A′D,在Rt△DFA′与Rt△A′EG中,用勾股定理可求得答案. 【详解】解:∵ABCD是一张边长为4cm的正方形纸片,E、F分别为AB,CD的中点, ∴AE=DF=2cm,EF=AD=4cm, ∵沿过点D的折痕将A角翻折,使得点A落在EF上的点A′处,∴AG=A′G,AD=A′D=4cm, 在Rt△DFA′中, ,∴ , 在Rt△A′EG中,设EG=x,则A′G=AG=(2−x)cm, , 即 ,解得 .故答案为: . 【点睛】本题考查了正方形的性质及图形的翻折问题;利用相关知识找出等量关系,两次利用勾股定理是 正确解答本题的关键. 例 4.(2023·山西朔州·校联考模拟预测)如图,在正方形 中, ,将其沿 翻折,使 ,顶点 恰好落在线段 上的点 处,点 的对应点为点 .则线段 的长为 . 【答案】 【分析】设 ,则 ,由翻折性质,得 , ,所以,在 中,利用三角函数可求出 ,从而得到线段 的长. 【详解】解:设 , 正方形 中, , , , , , 四边形 是四边形 折叠得到, , , , 在 中, ,即 ,解得 , 经检验 是原方程的解, 原方程的解为 , ,故答案为: . 【点睛】本题考查翻折变换,正方形的性质,解直角三角形,熟练运用相关图形的性质是解题的关键. 例5.(2023·广东九年级课时练习)如图,正方形 中, ,点E在边 上,且 .将 沿 对折至 ,延长 交边 于点G,连接 ,则下列结论:① ; ② ③ ;④AG//CF;其中正确的有 (填序号). 【答案】①②③④ 【分析】根据折叠,得到AD=AF,∠D=∠AFE=90°,推出AB=AF,∠AFG=∠B=90°,可证明 Rt ABG≌Rt AFG,即可判断①正确;根据 ,进而可得 ,根据 △ △ 三角形内角和定理即可得∠AEF+∠ADF=135°,得到∠AGB+∠AED=135°,进而判断②正确;设BG=GF =x,则CG=6﹣x,EG=x+2, CE=4,在Rt EGC中,根据勾股定理建立方程(x+2)2=(6﹣x)2+42, 解方程可得 ,即可判断③正确;根据BG△=FG=3,得到CG=BC-BG=6-3=3,得到CG=FG,推出 ∠GCF=∠GFC,根据∠AGB=∠AGF,得到∠BGF=2∠AGF=2∠GFC,得到∠AGF=∠GFC,推出AG∥CF,即 可判断④正确 【详解】∵四边形 是正方形,∴ ,AB=BC=CD=AD=6, ∵ ,∴DE=2,∴CE=4, ∵将 ADE沿AE对折至 AFE, ∴∠AFE=∠ADE=90°,AF=AD,EF=DE△=2,∴∠AFG=∠△ABG=90°,AF=AB,在Rt ABG和Rt AFG中, ,∴Rt ABG≌Rt AFG(HL),∴①正确; △ △ △ △ ∵将 ADE沿AE对折至 AFE,∴ ,∵Rt ABG≌Rt AFG,∴ , △ △ △ △ ∵ ,∴ , ∴∠AEF+∠ADF=135°,∴∠AGB+∠AED=135°,∴②正确; 设BG=GF=x,则CG=6﹣x, EG=x+2, ∵ CE=4,∴(x+2)2=(6﹣x)2+42,解得x=3,∴BG=GF=3,∴③正确; ∵BG=FG=3,∴CG=BC-BG=6-3=3,∴CG=FG,∴∠GCF=∠GFC, ∵∠AGB=∠AGF,∴∠BGF=2∠AGF=2∠GFC,∴∠AGF=∠GFC,∴AG∥CF∴④正确; 故答案为:①②③④. 【点睛】本题考查了正方形性质,折叠图形全等的性质,三角形全等的判断和性质,三角形内角和定理, 勾股定理,熟练掌握以上知识是解题的关键. 例6.(2023·江苏扬州·校考二模)如图,将正方形 沿着 、 翻折,点 、 的对应点分别是点 、 ,若 ,则 . 【答案】 【分析】由正方形的性质及折叠的性质可得 , , ,利用角之间 的和差关系可得 ,进而求得 ,再利用 即可求得结果. 【详解】解:∵四边形 是正方形,∴ , 由折叠可知, , , ∵ , , ∴ ,即: ,∴ , ∴ ,故答案为: . 【点睛】本题考查正方形与折叠的性质,利用正方形与折叠的性质得到 的度数是解决问题的 关键.例7.(2023春·江苏宿迁·八年级统考期末)问题情境:如图1,在正方形 中, ,点 是边 上一点(点 不与 重合),将 沿直线 翻折,点 落在点 处. (1)如图2,当点 落在对角线 上时,求 的长.(2)如图3,连接 分别交 于点 , 点 ,连接 并延长交 于点 ,当 为 中点时,试判断 与 的位置关系,并说明理由. (3)如图4,在线段 上取一点 ,且使 ,连接 ,则在点 从点 运动到点 的过程中, 的值是否存在最小值?如果存在,请求出其值;若果不存在,请说明理由. 【答案】(1) (2) ,理由见解析.(3) 【分析】(1)可证得 为等腰直角三角形, ,结合 ,可得 .(2)连接 ,交 于点 ,可知 ,根据三角形的中位线定理, 即可求得 与 的位置关系.(3)在线段 上取一点 ,使 ,连接 , ,可证得 ,则 ,观察图形可知,当点 , , 在同一条直线上时, 最 小,最小值为 . 【详解】(1)根据折叠的性质可知 , ,∴ . ∵ ,∴ 为等腰直角三角形.∴ . ∴ .∴ .∴ . ∴ .∴ . (2) ,理由如下:如图所示,连接 ,交 于点 .根据题意可知 为线段 的垂直平分线,∴ .∵ 为 中点,∴ ,即 . (3)如图所示,在线段 上取一点 ,使 ,连接 , . 在 和 中, ∴ .∴ .∴ . 观察图形可知,当点 , , 在同一条直线上时, 最小,最小值为 . ∴ . 【点睛】本题主要考查图形折叠的性质、全等三角形的判定及性质、勾股定理、等腰三角形的判定及性质、 三角形的中位线定理,能根据题意作出辅助线是解题的关键. 课后专项训练 1.(2023·湖北随州·八年级统考期末)如图,在菱形纸片ABCD中,AB=4,∠A=60°,将菱形纸片翻折,使 点A落在CD的中点E处,折痕为FG,点F,G分别在边AB,AD上,则EF的长为( ) A. B. C. D.【答案】A 【分析】连接BE,BD,则△BCD是等边三角形,则求出BE的长度,由折叠的性质和勾股定理,即可求出 EF的长度. 【详解】解:如图,连接BE,BD,∵AB=4=BC=CD,∠A=60°=∠C,∴△BCD是等边三角形, ∵E是CD中点∴DE=2=CE,BE⊥CD,∠EBC=30°,∴BE= CE=2 , ∵CD∥AB,∴∠ABE=∠CEB=90°,由折叠可得AF=EF, ∵EF2=BE2+BF2,∴EF2=12+(4-EF)2,∴EF= .故选:A. 【点睛】本题考查了折叠问题,菱形的性质,勾股定理,关键是添加恰当的辅助线构造直角三角形,利用 勾股定理求线段长度. 2.(2023春·江西新余·八年级统考期末)如图,正方形 的边长为6,点 是 上的一点,连接 并延长,交射线 于点 ,将 沿直线 翻折,点 落在点 处, 的延长线交 于点 , 当 时,则 的长为( ) A. B.1 C. D. 【答案】A 【分析】由折叠的性质可得 , ,再由平行线的性质得到 ,则可证 明 得到 ,设 ,则 , ,在 中,由勾股定 理得 ,解方程求出 ,则 .【详解】解:∵ 沿直线 翻折,点 落在点 处,∴ , , ∵正方形 中, ,∴ ,∴ ,∴ , 设 ,∵ ,∴ ,∴ , , 在 中,由勾股定理得, ,即 , 解得 ,∴ ,∴ .故选:A. 【点睛】本题主要考查了正方形的性质,勾股定理,等腰三角形的判定,证明 是解题的关键. 3.(2023春·江苏宿迁·八年级校考阶段练习)如图,正方形ABCD的边长为4,点E在边CD上,且 CE=1,连结AE,点F在边AD上,连结BF,把 沿BF翻折,点A恰好落在AE上的点G处,下列 结论:①AE=BF;②AD=3DF;③ ;④GE=0.2,其中正确的是( ) A.①②③④ B.①③④ C.①②③ D.①③ 【答案】B 【分析】根据翻折的性质证△ABF≌△DAE(ASA),得出AF=DE=3,BF=AE,即可判断①正确;根据 DF=AD﹣AF=4﹣3=1,即可判断②错误;由勾股定理得出BF=5,由S ABF求出即可求得③正确;根 △ 据S ABF= AB•AF= BF•AH,求出AH,即可判断④正确,进而得出答案. △ 【详解】解:∵四边形ABCD为正方形,∴AB=AD=CD=4,∠BAD=∠D=90°, ∵CE=1,∴DE=3,由折叠的性质可知,△ABF≌△GBF,BF垂直平分AG, ∴BF⊥AE,AH=GH,∴∠BAH+∠ABH=90°,∵∠FAH+∠BAH=90°,∴∠ABH=∠FAH, 在△ABF和△DAE中, ,∴△ABF≌△DAE(ASA), ∴AF=DE=3,BF=AE,故①正确;∵DF=AD﹣AF=4﹣3=1,∴AD=4DF,故②错误;在Rt△ABF中,∵BF= = =5∴S ABF= AB•AF= ×4×3=6,故③正确; △ ∵S ABF= AB•AF= BF•AH,∴4×3=5AH,∴AH= ,∴AG=2AH= , △ ∵AE=BF=5,∴GE=AE﹣AG=5﹣ =0.2,故④正确; 综上所述:正确的是①③④,故选:B. 【点睛】本题考查了翻折变换,全等三角形的判定与性质,勾股定理,正方形的性质,解决本题的关键是 掌握翻折的性质. 4.(2023春·山西长治·八年级统考期末)如图,在菱形 中, ,将边 沿 折叠得到 交 于点 ,当 为 中点时, 的大小为( ) A. B. C. D. 【答案】D 【分析】延长 交 的延长线于点 ,过点 作 于点 ,可证 ,故 ,即 ,即可求解. 【详解】解:延长 交 的延长线于点 ,过点 作 于点 ∵ ,∴ ,∵ 为 中点,∴ , ∵ ,∴ ,∵在菱形 中,∴ ,∴ , ∵ , ,∴ , ∵ ,∴在 中: ,∴ ,∴ ,由折叠可知: , ∴ ,∴ ,故选:D. 【点睛】本题考查了菱形的性质、全等三角形的判定与性质、含 角的直角三角形以及折叠的性质.掌 握相关几何结论是解题关键. 5.(2023春·黑龙江哈尔滨·八年级统考期末)将矩形纸片 按如图所示的方式折叠, 、 为折 痕, , ,折叠后,点C落在AD边上的 处,并且点B落在 边上的 处.则BC的 长为( ) A.6 B. C.4 D. 【答案】A 【分析】由勾股定理得出 ,求出 , ,根据翻折和对边平行可得 和 为等边三角形,那么就得到 ,相加即可. 【详解】解:连接 , 在 中, , , , ∴ , ,∴ ,∴ ,∴ , ∵四边形 是矩形,∴ ,∴ ,∴ 为等边三角形, 同理 也为等边三角形,∴ ,∴ ,故选:A.【点睛】本题考查了翻折变换(折叠问题),矩形的性质,勾股定理等边三角形的判定和性质,正确的作 出辅助线是解题的关键. 6.(2023春·浙江杭州·八年级统考期末)如图,将菱形 沿 折叠,点B的对应点为F,若E、F、 D刚好在同一直线上,设 , , ,则关系正确的是( ) A. B. C. D. 【答案】C 【分析】可求 , ,可求 ,可证 ,即可求解. 【详解】解: , , , 根据折叠可知, , , , ,在菱形 中, , , , , , , , .故选:C. 【点睛】本题主要考查了折叠的性质,菱形的性质,三角形的内角和定理,等腰三角形的性质,掌握相关 的性质是解题的关键. 7.(2023·广东江门·统考二模)如图,在矩形片 中,边 , ,将矩形片 沿 折 叠,使点A与点C重合,折叠后得到的图形是图中阴影部分.给出下列结论:①四边形 是菱形;② 的长是1.5;③ 的长为 ;④图中阴影部分的面积为5.5,其中正确的结论有( )A.1个 B.2个 C.3个 D.4个 【答案】D 【分析】根据矩形、折叠性质即可得出CF=CE = AE =AF,则证明结论①正确;设DF=x,故DF= BE =x,在Rt△ADF中,利用勾股定理即可求解结论②正确;过点F作FH⊥AB于点H,利用矩形判定与性质 并结合勾股定理求得EF的长,则可推出结论③正确;由DF=BE可知阴影部分的面积为矩形ABCD面积的 一半与△CGF面积的和,利用面积公式即可求得结果,证明结论④正确. 【详解】解:∵四边形 是矩形,∴AB∥CD, ∴∠AEF=∠CFE, 由折叠性质可知:AE=CE,AF=CF,∠AEF=∠CEF,∴∠CFE =∠CEF, ∴CF=CE,∴CF=CE = AE =AF,∴四边形 是菱形;故①正确; ∵四边形 是菱形,∴CF =AE,∵四边形 是矩形, , , ∴AB =CD=4,∠D=90°,∴AB-CF =CD-AE,即DF=BE, 设DF=x,则CF = AF=4-x,在Rt△ADF中, DF2+AD2= AF2,即x2+22=(4-x)2解得x=1.5, 即 的长是1.5;故②正确; 过点F作FH⊥AB于点H,∴四边形 是矩形,∴FH=AD=2,AH=DF=1.5, ∵AE=AB-BE=2.5,∴HE=AE-AH=1,由勾股定理得 ;故③正确; ∵DF=BE,AD=GC=2,DF=GF= ,∴S =S BCFE+S CGF, 阴影部分 四边形 △ = S ABCD+S CGF,= AB•AD+ CG•GF,= ×4×2+ ×2× ,=4+ = ;故④正确.故选:D. 矩形 △【点睛】本题考查了四边形的综合问题,熟练掌握菱形的判定与性质、矩形的判定与性质及折叠的性质等 知识是解题的关键. 8.(2023·陕西西安·校考模拟预测)如图,将矩形ABCD的四个角向内翻折后,恰好拼成一个无缝隙无重 叠的四边形EFGH, cm, cm,则边AB的长度等于 . 【答案】 【分析】由翻折的规律证明四边形EFGH是矩形及AB=2EM,再由矩形的性质结合已知条件求出EM的长 度,即可求出AB的长度. 【详解】解:如图所示, ∵将矩形ABCD的四个角向内翻折后,恰好拼成一个无缝隙无重叠的四边形EFGH, ∴EA=EM,BE=EM,∠AEH=∠HEM,∠BEF=∠FEM,∠EMH=∠A=90°,∴AB=AE+EB=2EM, ∵∠AEH+∠HEM+∠BEF+∠FEM=180°, ∴∠HEF=∠HEM+∠FEM= ×180°=90°,同理,∠EFG=∠FGH=90°,∴四边形EFGH是矩形, ∵EH=3cm,EF=4cm,∴ , ∵EM·HF=EH·EF,∴ ,∴ 故答案为: . 【点睛】本题考查了翻折变换,矩形的判定与性质,掌握翻折变换的规律,矩形的判定与性质,勾股定理, 等积法是解决问题的关键. 9.(2023·河北衡水·八年级校联考期中)如图,在矩形 中, , , 是边 上一点,将矩形沿 向上翻折,点 落在点 处,点 落在点 处, 与 交于点 ,设 的长为 . (1)当点 与点A重合时, 的长为 ;(2)当 时, 的取值范围是 . 【答案】 / 【分析】(1)当点 与点A重合时,BP平分∠ABC,则∠ABP= ∠ABC=45°,进而得 即可 求解;(2)当 时,AM=0;当 时,F、P、D重合,此时AM最大,再由勾股定理列方 程求解即可. 【详解】解:(1)如图,当点 与点A重合时,BP平分∠ABC, 则∠ABP= ∠ABC=45°,∵∠BAP=90°,∴ , ∵ ,∴ ,故答案为: . (2)由(1)可知,当 时,AM=0; 当 时,F、P、D重合,此时AM最大,如图: 在矩形ABCD中,∵AD//BC,∴∠BPM=∠PBC,∵BP平分∠MBC,∴∠BPM=∠PBM,∴BM=PM, 设AM=x, ,在RT 中, ,∴ ,解得: ,∴AM的长m的取值范围是: ,故答案为: . 【点睛】本题主要考查矩形中的翻折问题,解题的关键是掌握翻折的性质,能熟练应用勾股定理列方程解 决问题. 10.(2023·广东深圳·统考二模)如图,已知正方形纸片 , , 、 分别是边 、 的 中点,把 边向上翻折,使点 恰好落在 上的 点处, 为折痕,且 交 于点 ,则 的面积为 . 【答案】 【分析】根据折叠的性质和正方形的性质得出BP=BC=AB=2 ,∠PBQ=∠CBQ,∠BPQ=∠C=90°,得出BN= BC= BP,证出∠BPN=30°,∠PBN=60°,根据翻折不变性得出∠PBQ=∠QBC=30°=∠BPN,证出 PEQ是等 △ 边三角形,由直角三角形的性质得出BC= CQ=2 ,得出CQ=2,BQ=2CQ=4,求出BE=EQ=2,作PF⊥BQ于F,PF= BP= ,由三角形面积公式即可得出结果. 【详解】根据折叠的性质知:BP=BC=AB=2 ,∠PBQ=∠CBQ,∠BPQ=∠C=90°, ∴BN= BC= BP,∵∠BNP=90°,∴∠BPN=30°,∴∠PBN=90°-30°=60°, 根据翻折不变性,∠PBQ=∠QBC=30°=∠BPN,∴∠QPE=∠PEQ=60°,∴△PEQ是等边三角形, ∵∠C=90°,∴BC= CQ=2 ,∴CQ=2,BQ=2CQ=4, ∵MN∥CD,BN=CN,∴BE=EQ=2,作PF⊥BQ于F,如图所示:则PF= BP= ,∴△PEQ的面积= ×2× = ;故答案为 【点睛】本题考查了翻折变换的性质、正方形的性质、直角三角形的性质、等边三角形的判定、三角形面 积公式等知识;熟练掌握翻折变换的性质,证出∠BPN=30°是解题的关键. 11.(2023春·广西崇左·八年级统考期末)在矩形 中, , ,点 是边 的中点,连接 并延长交射线 于点 ,将 沿直线 翻折到 延长 与直线 交于点 ,则 的 长为 . 【答案】 【分析】根据中点的性质 ,根据利用矩形的性质 , , ,推得 ,根据折叠的性质可得 ,推 得 ,根据等角对等边可得 ,根据全等三角形的判定和性质可得 ,设 ,根据勾股定理即可求解. 【详解】解:∵点 是边 的中点,∴ ,∵四边形 是矩形, , ∴ , , ,∴ , 又∵ ,∴ ,∴ , ∵ ,∴ ,∴ ,设 , ∴ , ,在 中, ,∴ ,解得: ,故答案为: . 【点睛】本题考查了中点的性质,利用矩形的性质,折叠的性质,等角对等边,全等三角形的判定和性质, 勾股定理,熟练掌握以上性质是解题的关键. 12.(2023春·江苏宿迁·八年级统考期末)如图,在矩形 中, , ,M为 的三等分 点( ),N是从B出发,以每秒1个单位的速度沿 方向运动的动点,点N运动t秒后 沿 所在直线,将矩形纸片进行翻折,若点B恰好落在边 上,则t的值为 . 【答案】 或7 【分析】分两种情况进行讨论:①点 在 上;②点 在 上,结合折叠的性质,可得直角三角形, 再利用勾股定理即可求解. 【详解】解:①如图,过点 作 交 于点 , 在 上, 可得四边形 是矩形, , , 是 的三等分点, , 由折叠性质得 , 在 中, , , 设 ,则 , 在 中, ,解得: , ,即 ; ②如图,过点 作 交 于点 , 在 上,∴四边形 是矩形, , , 在 中, , , 设 ,则 , , 在 中, ,解得: ,即 , . 综上所述, 或7.故答案为: 或7. 【点睛】本题考查矩形性质,翻折变换的性质,勾股定理,熟练掌握分类讨论及方程思想是解题关键. 13.(2023春·安徽淮南·八年级统考阶段练习)如图,在矩形 中, , ,将 沿 翻折,使得点D落在 边上 处,则(1) 的长是 ;(2)折痕 的长是 . 【答案】 2 / 【分析】(1)根据矩形的性质及折叠的性质可得 , ,然后利用勾股定理求出 的长,进而求出 的长;(2)设 ,在 中利用勾股定理即可求出 的值,继而再利 用勾股定理即可求得答案. 【详解】解:(1) 四边形 是矩形, , , , 将 沿 翻折,点D落在 边上 处, , , , ;故答案为:2; (2)设 ,则 , 在 中, ,即 ,解得 ,即 ,,故答案为: . 【点睛】本题考查矩形的性质,折叠的性质,勾股定理解直角三角形等,解题的关键是掌握折叠前后对应 边相等. 14.(2023·江苏·八年级假期作业)如图,在菱形纸片ABCD中,AB=4,∠A=60°,将菱形纸片翻折,使 点A落在CD边的中点E处,折痕为FG,点F、G分别在边AB、AD上,则GE= . 【答案】 【分析】过点E作EH⊥AD于H,根据勾股定理可求DH的长度,由折叠的性质得出AG=GE,在Rt HGE 中,由勾股定理可求出答案. △ 【详解】解:过点E作EH⊥AD于H, ∵ABCD是菱形,∴AB∥CD,AD=AB=4,∴∠BAD=∠HDE=60°, ∵E是CD中点,∴DE=2,在Rt DHE,中,DE=2,HE⊥DH,∠HDE=60°,∴DH=1,HE= , △ ∵将菱形纸片翻折,使点A落在CD边的中点E处,∴AG=GE, 在Rt HGE中,GE2=GH2+HE2,∴GE2=(4﹣GE+1)2+3,∴GE=2.8.故答案为:2.8. 【点睛△】本题考查了折叠问题,菱形的性质,勾股定理,关键是添加恰当的辅助线构造直角三角形,利用 勾股定理求线段长度. 15.(2023春·重庆南岸·八年级校考期末)如图,正方形 边长为6,点 为 边的中点,连接 , 将 沿 翻折得到 ,延长 交 于点 ,则 长为 .【答案】 【分析】先判定 ,即可得出 ,设 为 ,则 , , ,由勾股定理得: ,解方程得出 的值,即可得到 的长. 【详解】解:如图,连接 , 由折叠可得, , , , , 是 的中点, , , 又 , , , 设 为 ,则 , , , 由勾股定理得: ,即 , 解得 . , .故答案为: . 【点睛】此题考查了翻折变换的性质,全等三角形的判定与性质以及勾股定理等知识.解题时,我们常常 设要求的线段长为 ,然后根据折叠和轴对称的性质用含 的代数式表示其他线段的长度,选择适当的直 角三角形,运用勾股定理列出方程求出答案. 16.(2023春·河南南阳·八年级统考期末)如图,在矩形 中, , ,E为 边上一点,将 沿 翻折,点B落在点F处.当 为直角三角形时, . 【答案】2或5/5或2 【分析】分 三种情形计算. 【详解】解:当 时,连接 ,∵四边形 是矩形, , , ∴ , , , ∵ ,∴ ,∴ 三点共线, 根据折叠的性质,得 ,∴ , 设 ,则 ,根据勾股定理,得 ,解得 ,故 ; 当 时,∵四边形 是矩形, , ,∴ , , ∵ ,∴四边形 是矩形,根据折叠的性质,得 , ∴四边形 是正方形,∴ ,∴ ,故 ; 当 时,∵ , ∴ 点不可能落到 上, 故 不成立,故 或 ,答案:2或5. 【点睛】本题考查了矩形的性质,折叠的性质,正方形的判定和性质,勾股定理,分类思想,熟练掌握矩 形的性质,折叠的性质,正方形的判定和性质,勾股定理是解题的关键. 17.(2023·重庆巴南·九年级统考期中)如图,在边长为9的正方形 中, 为 上一点,连接 、 ,将四边形 沿 翻折,使点 恰好落在 上的 处,若 ,则 的长为 .【答案】2 【分析】连接B′E,则B′E=BE,设CE=x,则DE=9-x,根据 , ,构建 方程求出x即可解决问题. 【详解】解:如图,连接B′E,则B′E=BE,设CE=x,则DE=9-x, ∵ ,∴ ,∵∠D=∠C=90°,∴ , , ∴ ,解得: ,∴ ,故答案为:2. 【点睛】本题考查了正方形的性质、翻折变换的性质以及勾股定理的应用,熟练掌握翻折变换的性质,通 过勾股定理构建出方程是解题的关键. 18.(2023春·江苏泰州·八年级校联考阶段练习)如图, 中,已知 , 于 , , ,把 、 分别以 、 为对称轴翻折变换, 点的对称点为 , ,延长 、 相交于 点.(1)求证:四边形 是正方形;(2)求 的长.【答案】(1)见解析(2)6 【分析】(1)先根据△ABD≌△ABE,△ACD≌△ACF,得出∠EAF=90°;再根据对称的性质得到AE=AF, 从而说明四边形AEGF是正方形; (2)利用勾股定理,建立关于x的方程模型(x−2)2+(x−3)2=52,求出AD=x=6. 【详解】(1)证明:由对折的性质可得,△ABD≌△ABE,△ACD≌△ACF, ∴∠DAB=∠EAB,∠DAC=∠FAC,∵∠BAC=45°,∴∠EAF=90°, ∵AD⊥BC,∴∠E=∠ADB=90°,∠F=∠ADC=90°,∴四边形AEGF为矩形, ∵AE=AD,AF=AD,∴AE=AF,∴矩形AEGF是正方形; (2)解:根据对称的性质可得:BE=BD=2,CF=CD=3, 设AD=x,则正方形AEGF的边长是x,则BG=EG−BE=x−2,CG=FG−CF=x−3, 在Rt△BCG中,根据勾股定理可得:(x−2)2+(x−3)2=52,解得:x=6或−1(舍去).∴AD=6. 【点睛】本题考查了对折的性质,全等三角形和勾股定理,以及正方形的判定,解本题的关键是熟练掌握 翻折变换的性质:翻折前后图形的对应边或对应角相等;有四个角是直角的四边形是矩形,有一组邻边相 等的矩形是正方形. 19.(2023春·广西南宁·八年级统考期末)综合与实践 综合实践课上,老师让同学们以“简单矩形折叠”为主题开展数学活动,同学们积极参与了矩形的折叠活 动. (1)操作与证明:①小李将矩形 沿 折叠后,使得点C与点A重合,如图1,若 ,则 __________;②小张将矩形 沿对角线 折叠后,使得点C与点E重合,如图2所示,求证: 是等腰三角形;(2)迁移与应用:在(1)②的前提下,连接 ,如图3所示,若 , ,求 的长. 【答案】(1)① ,②见详解(2) 【分析】(1)①根据两直线平行,内错角相等即可作答;②根据 ,可得 ,根据 折叠的性质有: ,即有 ,问题得证;(2)在(1)②中已经证明 ,结合 , ,可得 ,即 ,进 而可得 ,再证明 ,即有 ,可得 , 问题随之得解. 【详解】(1)解:①∵在矩形 中, ,∴ , ∵ ,∴ ,故答案为: ; ②证明∵在矩形 中, ,∴ , 根据折叠的性质有: ,∴ ,即 ,∴ 是等腰三角形; (2)在(1)②中已经证明 , 根据折叠的性质有: , , , ∵在矩形 中, ,∴ , ∴ ,∴ ,∴ , ∵在(1)②中已经证明 ,∴ ,∴ , ∴ ,∴ , ∵在矩形 中, ,∴ , ∵ ,∴ ,∴ ,∴ , ∵ , ,∴ . 【点睛】本题考查了矩形的折叠,矩形的性质,平行线的性质等知识,掌握折叠的性质是解答本题的关键. 20.(2023春·河南商丘·八年级统考期末)如图,点 在正方形 的 边上(不与点 重合), 连接 ,将 沿 翻折,使点 落在点 处,作射线 交 于点 ,交 于点 ,连接 . (1)求证: .(2)过点 作 交射线 于点 .①求 的度数;②直接写出线段 与 之间的数量关系. 【答案】(1)见解析(2)① ;②【分析】(1)根据正方形的性质得到 ,然后利用 证明 ; (2)①根据轴对称得到 ,求出 ,利用 ,求出 ,即可根据 四边形内角和求出 ,进而得到 ,然后利用平行线的性质求解即可; ②过点A作 于点P,得到 是等腰直角三角形,求出 ,证明 ,得 到 ,由 ,即可得到 . 【详解】(1)证明:∵四边形 是正方形,∴ , ∴ ,∴ , ∴ ,∴ ; (2)①如图,∵点D与点F关系 对称,∴ ,∴ , ∵ ,∴ ,∴ ,∴ , ∴ ,∴ , ∵ ,∴ ; ②过点A作 点P, ∵ ,∴ ,∴ 是等腰直角三角形,∴ , ∵ ,∴ , , ∴ ,∴ , 又∵ ,∴ ,∴ ,∴ , ∵ ,∴ . 【点睛】此题考查了正方形的性质,全等三角形的判定及性质,轴对称的性质,等边对等角求角度,等腰直角三角形的判定及性质,熟练掌握各知识并应用是解题的关键. 21.(2023·山西临汾·统考二模)综合与实践 问题情境:在综合与实践课上,老师让同学们以“矩形纸片的折叠”为主题开展数学活动. 在矩形 中, 为 边上一点, 为 边上一点,连接 ,分别将 和 沿 翻折, 的对应点分别为 ,且 三点共线. 观察发现:(1)如图1,若 为 边的中点, ,点 与点 重合,则 __________ , __________.问题探究:(2)如图2,若 ,求 的长. 拓展延伸:(3) ,若 为 的三等分点,请直接写出 的长. 【答案】(1) ; ;(2) ;(3)6或 【分析】(1)由折叠得 ,即可求出 ;在 中,由勾股定理得 ,列得 ,即可求出 ; (2)延长 交 于点 ,由折叠的性质得到 ,推出 和 均为等腰直角三角形, 求出 ,根据 求出 ,再利用 求出 ;(3)分两 种情况:①当 ,②当 求解即可. 【详解】解:(1)在矩形 中, 为 边的中点, , ∴ , ,∵折叠后点 与点 重合, ∴ , , ∴ , , ∴ 在 中, ,∴ ,解得 ;故答案为: ; . (2)如图1,延长 交 于点 , 由折叠的性质可知 , . ∵ , 和 均为等腰直角三角形, . ,即 ,解得 , . (3)6或 .分两种情况:①当 时, 如图2,过点 作 交 的延长线于点 ,连接 , 则四边形 为矩形, , 由折叠的性质可知 , . . 在 和 中, ,∴ ,∴ . 设 , , 解得 .∴ , ; ②当 时,如图3,过点 作 交 的延长线于点 ,连接 ,则四边形 为矩形, .由折叠的性质可知 , . .设 ,则 . , , 解得 , .综上, 的长为6或 . 【点睛】此题考查了矩形的性质,折叠的性质,勾股定理,全等三角形的判定和性质,等腰直角三角形的 判定和性质,正确理解矩形的性质掌握各定理是解题的关键.