当前位置:首页>文档>专题18.29平行四边形(分层练习)(提升练)-(人教版)_初中数学_八年级数学下册(人教版)_专题突破练习-V4

专题18.29平行四边形(分层练习)(提升练)-(人教版)_初中数学_八年级数学下册(人教版)_专题突破练习-V4

  • 2026-04-05 18:56:38 2026-03-24 00:22:41

文档预览

专题18.29平行四边形(分层练习)(提升练)-(人教版)_初中数学_八年级数学下册(人教版)_专题突破练习-V4
专题18.29平行四边形(分层练习)(提升练)-(人教版)_初中数学_八年级数学下册(人教版)_专题突破练习-V4
专题18.29平行四边形(分层练习)(提升练)-(人教版)_初中数学_八年级数学下册(人教版)_专题突破练习-V4
专题18.29平行四边形(分层练习)(提升练)-(人教版)_初中数学_八年级数学下册(人教版)_专题突破练习-V4
专题18.29平行四边形(分层练习)(提升练)-(人教版)_初中数学_八年级数学下册(人教版)_专题突破练习-V4
专题18.29平行四边形(分层练习)(提升练)-(人教版)_初中数学_八年级数学下册(人教版)_专题突破练习-V4
专题18.29平行四边形(分层练习)(提升练)-(人教版)_初中数学_八年级数学下册(人教版)_专题突破练习-V4
专题18.29平行四边形(分层练习)(提升练)-(人教版)_初中数学_八年级数学下册(人教版)_专题突破练习-V4
专题18.29平行四边形(分层练习)(提升练)-(人教版)_初中数学_八年级数学下册(人教版)_专题突破练习-V4
专题18.29平行四边形(分层练习)(提升练)-(人教版)_初中数学_八年级数学下册(人教版)_专题突破练习-V4
专题18.29平行四边形(分层练习)(提升练)-(人教版)_初中数学_八年级数学下册(人教版)_专题突破练习-V4
专题18.29平行四边形(分层练习)(提升练)-(人教版)_初中数学_八年级数学下册(人教版)_专题突破练习-V4
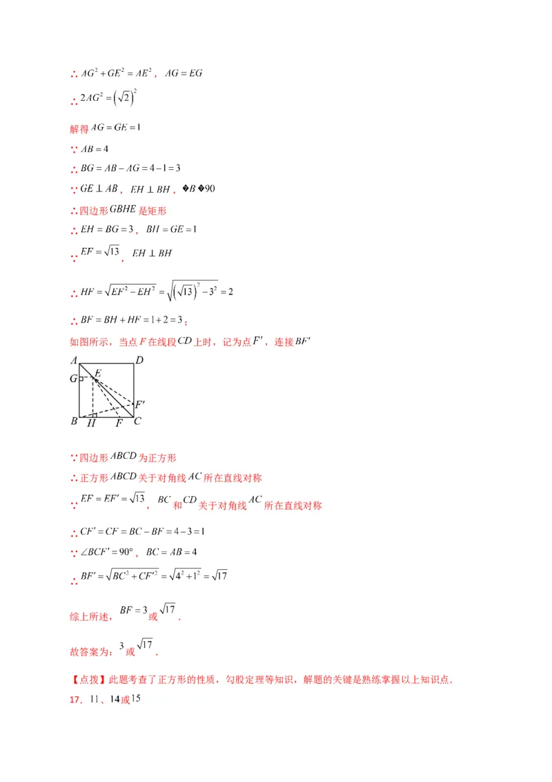
专题18.29平行四边形(分层练习)(提升练)-(人教版)_初中数学_八年级数学下册(人教版)_专题突破练习-V4
专题18.29平行四边形(分层练习)(提升练)-(人教版)_初中数学_八年级数学下册(人教版)_专题突破练习-V4
专题18.29平行四边形(分层练习)(提升练)-(人教版)_初中数学_八年级数学下册(人教版)_专题突破练习-V4
专题18.29平行四边形(分层练习)(提升练)-(人教版)_初中数学_八年级数学下册(人教版)_专题突破练习-V4
专题18.29平行四边形(分层练习)(提升练)-(人教版)_初中数学_八年级数学下册(人教版)_专题突破练习-V4
专题18.29平行四边形(分层练习)(提升练)-(人教版)_初中数学_八年级数学下册(人教版)_专题突破练习-V4
专题18.29平行四边形(分层练习)(提升练)-(人教版)_初中数学_八年级数学下册(人教版)_专题突破练习-V4
专题18.29平行四边形(分层练习)(提升练)-(人教版)_初中数学_八年级数学下册(人教版)_专题突破练习-V4
专题18.29平行四边形(分层练习)(提升练)-(人教版)_初中数学_八年级数学下册(人教版)_专题突破练习-V4
专题18.29平行四边形(分层练习)(提升练)-(人教版)_初中数学_八年级数学下册(人教版)_专题突破练习-V4
专题18.29平行四边形(分层练习)(提升练)-(人教版)_初中数学_八年级数学下册(人教版)_专题突破练习-V4
专题18.29平行四边形(分层练习)(提升练)-(人教版)_初中数学_八年级数学下册(人教版)_专题突破练习-V4
专题18.29平行四边形(分层练习)(提升练)-(人教版)_初中数学_八年级数学下册(人教版)_专题突破练习-V4
专题18.29平行四边形(分层练习)(提升练)-(人教版)_初中数学_八年级数学下册(人教版)_专题突破练习-V4
专题18.29平行四边形(分层练习)(提升练)-(人教版)_初中数学_八年级数学下册(人教版)_专题突破练习-V4
专题18.29平行四边形(分层练习)(提升练)-(人教版)_初中数学_八年级数学下册(人教版)_专题突破练习-V4
专题18.29平行四边形(分层练习)(提升练)-(人教版)_初中数学_八年级数学下册(人教版)_专题突破练习-V4
专题18.29平行四边形(分层练习)(提升练)-(人教版)_初中数学_八年级数学下册(人教版)_专题突破练习-V4
专题18.29平行四边形(分层练习)(提升练)-(人教版)_初中数学_八年级数学下册(人教版)_专题突破练习-V4
专题18.29平行四边形(分层练习)(提升练)-(人教版)_初中数学_八年级数学下册(人教版)_专题突破练习-V4

文档信息

文档格式
docx
文档大小
3.622 MB
文档页数
32 页
上传时间
2026-03-24 00:22:41

文档内容

专题18.29 平行四边形(分层练习)(提升练) 一、单选题(本大题共10小题,每小题3分,共30分) 1.(2023下·河南南阳·八年级校考阶段练习)对角线( )的四边形是平行四边形 A.相等 B.互相平分 C.垂直 D.垂直且相等 2.(2022下·河北唐山·八年级统考期末)平行四边形相邻两角中,其中一个角的度数 与另一个角的 度数 之间的关系是( ) A. B. C. D. 3.(2021下·吉林长春·八年级统考期末)如图,直线 ,点Q是直线 上的动点,点C和点D是 直线 上的定点,当点Q从左向右运动时, 的面积将( ). A.不变 B.变大 C.变小 D.无法确定 4.(2022·河北邯郸·校考三模)如图,菱形 是轴对称图形,对称轴可以是( ) A.直线 B.对角线 和直线 C. D. 5.(2023下·浙江温州·八年级校联考期中)如图,点 在 的边 上,连接 ,作 交 于点 ,点 是 的中点,且 ,若 ,则 的长为( )A.10 B.9 C. D.8 6.(2024上·江苏无锡·九年级统考期末)正方形 , 如图放置, , , 相交于 点P,Q为 边上一点,且 ,则 的最大值为( ) A. B. C.7 D. 7.(2023·四川德阳·统考中考真题)如图, 的面积为12, , 与 交于点 O.分别过点C,D作 , 的平行线相交于点F,点G是 的中点,点P是四边形 边上的动 点,则 的最小值是( ) A.1 B. C. D.3 8.(2023上·浙江金华·九年级义乌市绣湖中学教育集团校考开学考试)三国时期,我国数学家赵爽创 造了一副“勾股图方图”,证明了勾股定理,它由4个全等的直角三角形拼成一个大正方形和一个小正方 形,如图大正方形 的面积为5,小正方形 的面积为1,分别取 和 的中点M,N,连接 ,则 的长为 ( )A. B.2 C. D.3 9.(2022下·浙江湖州·八年级统考期末)如图1,已知动点 在 的边上沿 的顺 序运动,其运动速度为每秒1个单位.连结 ,记点 的运动时间为 秒, 的面积为 .如图2是 关于 的函数图象,则下列说法中错误的是( ) A. 的值13 B. 的周长为16 C. 秒时,线段 最短 D. 的面积为12 10.(2023下·新疆巴音郭楞·八年级校考期末)如图,平行四边形 中, 与 交于点O,点 E是 边上的中点,连接 , , , .有下列结论:① 是等边三角形;② 的周长是20,③ 的 边上的高是 ,④ 是菱形,⑤ 的面积是48.其 中正确的是( ) A.②③④ B.②④⑤ C.①②③④ D.②③④⑤ 二、填空题(本大题共8小题,每小题4分,共32分) 11.(2024上·浙江金华·八年级统考期末)如图,在直角坐标系中,点 的坐标 ,把线段 沿轴正方向移动4个单位,得到四边形 .若点 在 轴上,当 时,点 的坐标为 . 12.(2024上·江苏苏州·八年级期末)如图,在 中, ,作点 关于直线 的对称点 ,如果 也等于直角,直线 必然经过一个定点,这个定点应该是 . 13.(2024·江苏盐城·校考模拟预测)如图,平行四边形 的对角线 相交于点O, 的平分线与边 相交于点P,E是 中点,若 , ,则 的长为 . 14.(2023上·江苏泰州·八年级统考期中)如图,将长方形 沿 折叠得到两个全等的小长方形, 点G 在 上运动,当点 A 关于 的对称点 落在右侧长方形 内部(含边 界)时,则 的长度 m 的取值范围为 . 15.(2023下·广东深圳·八年级统考期末)如图, 沿某方向平移一定距离得到 ,直角顶点C恰为 中点,连接 .给出结论:① ;② ;③四边形 为 菱形,其中正确结论的序号是 . 16.(2023下·江苏泰州·八年级校联考期中)如图,四边形 为正方形, ,点E为对角线 上一点, .点F为正方形 一边上一点,且 ,则 . 17.(2024·全国·八年级竞赛)如图,矩形 的边 厘米, 厘米,在直角梯形 中, 厘米, 厘米, 厘米,点 , , , 在同一直线上,且 厘米,矩形从 点开始以 厘米/秒的速度沿直线 向右运动,同时点 从点 出发沿 的路线,以 厘 米/秒的速度运动,到点 停止.当点 共运动 秒时,点 与点 相距 厘米. 18.(2023上·湖北·九年级校联考阶段练习)已知E、F两点分别在矩形纸片 的边 、边 上.操作如下∶ 第一步∶如图① ,以 为折痕,折叠 得到 ; 第二步∶如图② ,再以 为折痕,折叠 得到 ,此时,点 恰好落在边 上,且 .若 , ,则 的长为 , 的长为 . 三、解答题(本大题共6小题,共58分) 19.(8分)(2023下·湖北武汉·八年级江夏一中校考阶段练习)如图,在平行四边形 中,点 G,H分别是 , 的中点,点E、F在对角线 上,且 . (1)求证:四边形 是平行四边形; (2)连接 交 于点O,若 , ,求 的长. 20.(8分)(2023下·江苏泰州·八年级校联考阶段练习)如图,在四边形 中, ,点 在 的延长线上, ,连接 ,交 边于点 ,且 . (1)求证: ; (2)连接 、 ,若 ,求证:四边形 为菱形.21.(10分)(2024下·全国·八年级专题练习)如图,在等腰 中, , 平分 , 过点A作 交 的延长线于D,连接 ,过点D作 交 的延长线于E. (1)判断四边形 的形状,并说明理由; (2)若 , ,求 的长. 22.(10分)(2024下·全国·八年级专题练习)如图, 是四边形 的对角线, , ,过点A作 交C的延长于E. (1)求证:四边形 是平行四边形; (2)过点E作 交 的延长线于点F,连接 ,若 ,求 的长.23.(10分)(2023下·江苏苏州·八年级校考阶段练习)在正方形纸片 中,点 、 分别是 、 上的点,连接 . (1)问题探究:如图1,作 ,交 于点 ,求证: ; (2)问题解决:如图2,将正方形纸片 沿过点 、 的直线折叠,点 的对应点 恰好落在 上,点 的对应点为点 ,若 , ,求线段 的长. 24.(12分)(2023上·浙江金华·九年级校考开学考试)如图1,两个全等的直角三角形 和 的斜边 和 在同一直线上, ,将 沿直线 平移,并连接 , . 【基础巩固】 (1)求证:在 沿直线 平移过程中,四边形 是平行四边形; 【操作思考】 (2)如图2,已知 ,当 沿 平移到某一个位置时,四边形 为菱形,求此 时 的长; 【拓展探究】 (3)如图3,连接 ,若四边形 为菱形,且 ,求 的度数.参考答案: 1.B 【分析】根据平行四边形的判定定理即可求解. 解:对角线互相平分的四边形是平行四边形, 故选:B. 【点拨】本题考查了平行四边形的判定,熟练掌握平行四边形的判定定理是解题的关键. 2.C 【分析】根据平行四边形邻角互补解答. 解:由题意可得 x+y=180°即 故选:C. 【点拨】本题考查平行四边形的性质,是基础考点,掌握相关知识是解题关键. 3.A 【分析】根据平行线间的距离处处相等,可知 的高不变,再结合点C和点D是直线 上的定点, 易知底边CD的长也是不变的,由三角形面积公式判断 的面积不变. 解:∵ ,根据平行线间的距离处处相等, ∴点Q到 的距离不变,即 的高不变, ∵点C和点D是直线 上的定点, ∴ 的底边CD的长也是不变的, ∴ 的面积不变. 故选:A. 【点拨】本题主要考查了平行线的性质以及三角形面积公式,熟练掌握平行线间的距离处处相等是解 题关键. 4.A 【分析】根据菱形的对称轴是对角线所在的直线求解即可. 解:∵菱形的对称轴是对角线所在的直线,又对称轴是一条直线,而菱形的对角线是线段, ∴图中直线 是菱形 的对称轴, 故选:A. 【点拨】本题主要考查菱形的轴对称性质,考查逻辑推理能力,熟知菱形的对称轴是对角线所在的直 线是解答的关键. 5.B 【分析】延长 交 于点 ,可推出四边形 是平行四边形,得 ;根据“点 是 的中点”可得 、 ,设 ,根据 即可求解. 解:延长 交 于点 ,如图:∵ , , , , ∴四边形 是平行四边形, , ∵点 是 的中点且 , , ∵点 是 的中点且 , , , 设 , , 解得: , ∴ , 故选:B. 【点拨】本题考查了平行四边形的判定与性质、中位线定理、等腰三角形的性质等,熟记相关知识点 是解题关键. 6.B 【分析】如图,连接 ,取 的中点O,连接 ,延长 至E,使 ,连接 , ,利 用等腰直角三角形性质可得 ,由 ,可得 , ,利用勾股定 理可得 ,再由三角形中位线定理可得 ,再证得 ,进而得出 是 的中线,即 ,由 ,即可求得答案. 解:如图,连接 ,取 的中点O,连接 ,延长 至E,使 ,连接 , ,∵四边形 、 是正方形, , ∴ , , , ∴ , ∵ , ∴ , , ∴ , ∴ ,即Q是 的中点, 又∵点O是 的中点, ∴ , ∵ , ∴ , ∴ , 在 和 中, , ∴ , ∴ , ∵ , ∴ , ∴ ,∵点O是 的中点, ∴ , 在 中, , ∴ 的最大值为 , 故选:B. 【点拨】本题考查了正方形性质,直角三角形性质,勾股定理,全等三角形的判定和性质,三角形中 位线定理等,熟练运用三角形中位线定理和全等三角形的判定和性质是解题关键. 7.A 【分析】先证明 ,四边形 是菱形,如图,连接 , ,而点G是 的中点,可得 为菱形对角线的交点, ,当 时, 最小,再利用等面积法求解最小值即可. 解:∵ , , ∴ 是矩形, ∴ , ∵ , , ∴四边形 是菱形, 如图,连接 , ,而点G是 的中点, ∴ 为菱形对角线的交点, , ∴当 时, 最小, ∵ 即矩形 的面积为12, , ∴ , , ∴ , ∴ ,由菱形的性质可得: , ∴ , ∴ ,即 的最小值为1. 故选A 【点拨】本题考查的是平行四边形的性质,矩形的性质与判定,菱形的判定与性质,垂线段最短的含 义,理解题意,利用数形结合的方法解题是关键. 8.C 【分析】设4个全等的直角三角形中较短的直角边长为x,根据勾股定理解 求出x的值,作 交 的延长线于点K,易证四边形 是矩形,再用勾股定理解 即可. 解: 大正方形 的面积为5,小正方形 的面积为1, , , 设4个全等的直角三角形中较短的直角边长为x,即 , 则 , 在 中,由勾股定理得: , , 解得 , , M,N分别是 和 的中点, , . 如图,作 交 的延长线于点K, 则 , 四边形 是矩形,, , , , , 故选C. 【点拨】本题考查勾股定理中的弦图问题,涉及矩形的判定与性质,解题的关键是求出全等直角三角 形中较短的直角边长. 9.C 【分析】根据图象上点的坐标和图象的特点,利用平行四边形的性质可以判断出答案. 解:∵P在BC上时, ABP的面积为S随t的增大而增大, ∴根据点(5,6)可以△得到BC=5,S=6, ∴A到BC的距离为 , 当P在CD上时,S不变, ∴CD=8-5=3, ∴a=5+3+5=13,▱ABCD的周长为2×(5+3)=16,▱ABCD的面积,5× =12, 故A,B,D都不符合题意; 当AP⊥BC时,AP最短,根据勾股定理, ,故C符合题意. 故选:C. 【点拨】本题考查了动点问题的函数图象、平行四边形的性质,解决本题的关键是读懂图1与图2的 对应关系. 10.A 【分析】根据平行四边形的性质得到 , ,根据中位线定理求出 ,根据已知线段 求出 ,即可证明 ,得到 是菱形,再根据菱形的性质求出面积和周长, 利用等积法求出 边上的高,分别算出 的三边,可证明不是等边三角形. 解:在平行四边形 中, , , ∵点E是 中点, ∴ ,∵ , , ∴ , , ∴ , ∴ , ∴ 是菱形,故④正确; ∴ 的周长是 ,故②正确, ∵ , 故⑤错误; ∴ , 即 边上的高 是 ,故③正确; ∵ , , , ∴ 不是等边三角形,故①错误; ∴正确的有②③④, 故选A. 【点拨】本题考查了菱形的判定和性质,平行四边形的性质,勾股定理的逆定理,三角形中位线的性 质,四边形的面积,解题的关键是根据特殊四边形的性质求相应线段的长度,掌握面积法的应用. 11. 或 【分析】本题主要考查了图形的平移以及性质,平行四边形的判定和性质,绝对值的意义.过点C作 轴于E,由平移的性质得四边形 为平行四边形, , ,设点D的坐标为 , 则 , ,先求得 ,根据题意得 ,解方程求得a即可. 解:过点C作 轴于E,如图所示: 由平移的性质得: , , ,∴四边形 为平行四边形, ∴ , ∵点 , ∴ , 设点D的坐标为 ,则 , ∴ , ∴ , ∵ , ∴ , 又∵ ∴ , ∴ 或 , 由 ,解得: ,则点D的坐标为 , 由 ,解得: ,则点D的坐标为 , ∴点D的坐标为 或者 . 故答案为: 或 . 12. 中点 【分析】此题考查了对称,连接 和 ,利用 , ,则利用三角形斜边上的中 线等于斜边的一半即可,解题的关键是熟练掌握知识点的应用. 解:如图,连接 和 ,根据对称性可知, , ∵ , , ∴当点 为 的中点时, , 故答案为: 中点. 13.1 【分析】本题主要考查了平行四边形的性质、角平分线的定义、三角形中位线的判定与性质等知识点, 根据题意求得 的长是解题的关键. 由平行四边形 可得 ,则 ,根据 平分 可得 ,从而可得 ,可得 ,进一步可得 的长,再根据三角形中位 线定理可得即可解答. 解:在平行四边形 中, ∴ 是 的中点, ∴ , ∵ 平分 , ∴ , ∴ , ∴ , ∴ , ∵E是 的中点,O是 的中点, ∴ 是 的中位线, ∴ . 故答案为1.14. 【分析】本题考查矩形的性质、折叠的性质,勾股定理、正方形的判定与性质等知识,连接 , 由折叠的性质知 为定值,考虑点 分别在 上时m的取值,即可确定m的范围. 解:∵四边形 是长方形, ∴ ; ∵长方形 沿 折叠得到两个全等的小长方形, ∴E、F分别是 的中点, , ∴ ; 如图,连接 , 由折叠的性质知: , ; 当点 在 上时,如左图,则 , 在 中, ,则 , 在 中,由勾股定理得: , 解得: ; 当点 在 上时,如右图,连接 ,则 , ,四边形 是正方形, ∴ ; ∴ . 故答案为: . 15. / 【分析①】②本②题①考查了菱形的判定与性质,全等三角形的判定与性质、平移的性质、勾股定理、等腰三 角形的判定;熟练掌握平移的性质和菱形的判定与性质,并能进行推理论证与计算是解决问题的关键.由平移的性质得出 ,得出①正确;由平移的性质得出 , ,得出四边形 是 平行四边形,③错误,由四边形 是平行四边形得出 ,由C恰为 中点,得出 , 由平移的性质得出 , ,得出四边形 是平行四边形,得出 ,继而得出 ,得出 ,②正确; 解:∵ 平移,得到 , ∴ ,①正确; ∴ , , ∴四边形 是平行四边形,③错误; ∴ , ∵C恰为 中点, , ∴ , ∴ , ∵平移, ∴ , , ∴四边形 是平行四边形, ∴ , ∴ , ∴ ,②正确; 故答案为:①②. 16. 或 【分析】根据题意分点F在线段 上和点F在线段 上两种情况讨论,分别根据正方形的性质和勾 股定理求解即可. 解:如图所示,当点F在线段 上时,过点E作 , ∵四边形 为正方形 ∴ ∴ 是等腰直角三角形∴ , ∴ 解得 ∵ ∴ ∵ , , ∴四边形 是矩形 ∴ , ∵ , ∴ ∴ ; 如图所示,当点F在线段 上时,记为点 ,连接 ∵四边形 为正方形 ∴正方形 关于对角线 所在直线对称 ∵ , 和 关于对角线 所在直线对称 ∴ ∵ , ∴ 综上所述, 或 . 故答案为: 或 . 【点拨】此题考查了正方形的性质,勾股定理等知识,解题的关键是熟练掌握以上知识点. 17. 、 或【分析】本题主要考查了矩形的判定及性质以及勾股定理,熟练掌握勾股定理是解题的关键.分点 在 上和点 在 上利用勾股定理讨论求解即可. 解:如图 ,∵ 厘米,矩形从 点开始以 厘米/秒的速度沿直线 向右运动,同时点 从 点 出发沿 的路线,以 厘米/秒的速度运动, ∴开始运动 秒后,点 运动到点 , 过点 作 于 ,则四边形 和四边形 以及四边形 都是矩形, ∴ (厘米), 设再过 秒,则 , 当点 与点 相距 厘米时,即 厘米, ∵ 厘米, , ∴ , 解得 或 , ∴点 共运动了 秒或 秒时,点 与点 相距 厘米; 开始运动 秒后,点 运动到点 ,此时, 厘米,如图 , 设再过 秒后,点 与点 相距 厘米, ∵ , ∴ 即 ,解得 (舍去)或 , ∴点 共运动了 秒时,点 与点 相距 厘米, 故答案为: 、 或 . 18. 【分析】本题考查矩形的判定和性质,勾股定理,轴对称的性质,先推导 为矩形,则有 ,进而得到 ,延长 交 于点M,连接 ,则 是矩形, 先在 中运用勾股定理求出 长,再在 中运用勾股定理求出折痕长即可. 解:由翻折可以得到 , ∴ , , , 又∵ 是矩形, ∴ , ∵ , ∴ , ∴ 为矩形, ∴ , ∴ , ∴ , 延长 交 于点M,连接 , ∵ 是折痕, ∴ ,设 ,则 , ∵ ,即 , 解得: , ∵ , ∴ 是矩形, ∴ , , ∴ , ∴ . 19.(1)见分析;(2) . 【分析】(1)证△ ( ),得 , ,则 ,得 ,即可得出结论; (2)先由平行四边形的性质得出 ,再证出 ,可得 是 的中位线,然后利 用中位线定理可得 的长度. 解:(1)证明:∵四边形 是平行四边形, ∴ , , ∴ , ∵点G,H分别是 , 的中点, ∴ , 在 和 中, ,∴ , ∴ , ∴ , ∴ , 又∵ , ∴四边形 是平行四边形; (2)解:连接 交 于点O, 如图: ∵四边形 是平行四边形, ∴ , ∵ , ∴ , ∵ , ∴ , ∵ , , ∴ , ∴ , 又∵点G是 的中点, ∴ 是 的中位线, ∴ . 【点拨】本题考查了平行四边形的判定与性质、全等三角形的判定与性质及三角形的中位线定理等知 识点,熟练掌握平行四边形判定与的性质及三角形中位线定理是解题的关键. 20.(1)证明见分析;(2)证明见分析 【分析】(1)由平行线的性质得出 ,由 证明 ,得出 ,即 可得出结论;(2)首先四边形 是平行四边形,由直角三角形斜边上的中线性质得出 ,即可得 出四边形 是菱形. 解:(1)证明: , , 在 和 中, , , , , ; (2)证明: , , 四边形 是平行四边形, , , , , 四边形 是菱形. 【点拨】本题考查了全等三角形的判定与性质、平行线的性质、平行四边形的判定、直角三角形斜边 上的中线性质、菱形的判定;证明三角形全等是解决问题的关键. 21.(1)四边形 是菱形,见分析;(2) . 【分析】本题考查了菱形的判定与性质,等腰三角形的性质,平行线的性质,熟练掌握萎形的判定与 性质是解题的关键. (1)先利用等腰三角形的三线合一性质可得 ,从而可得 ,进而可得四边形 是平行四边形,在证 ,四边形 是平行四边形;再根据 可得四边形 是 菱形,即可解答;(2)先利用角平分线的定义可得 ,再利用菱形的性质可得 , 从而可得 是等边三角形,进而可得 ,然后利用垂直定义可得 ,从而可得 ,进而可得 ,再利用勾股定理进行计算,即可解答, 解:(1)四边形 是菱形, 理由: , 平分 , , , , , 在 和 中 , , , , 四边形 是平行四边形; , 四边形 是菱形; (2) 平分 , , , 四边形 是菱形, , 是等边三角形, , , , , ,, 的长为 . 22.(1)见分析;(2) 【分析】此题考查的是平行四边形的判定与性质、全等三角形的判定与性质,掌握其性质定理是解决 此题的关键. (1)根据平行四边形的判定方法可得四边形 是平行四边形,然后根据全等三角形的判定与性 质得 ,最后根据平行四边形的判定方法可得结论; (2)由平行四边形的性质可得 ,再根据直角三角形斜边上中线的性质可得答案. 解:(1)证明:∵ , ∴ , ∴ . ∵ , ∴四边形 是平行四边形, ∴ , , ∵ , ∴ , ∴ , 在 和 中, , ∴ , ∴ , ∵ . ∴四边形 是平行四边形; (2)∵ , ∴ 是 的中线, ∵ ,∴ . 23.(1)见分析;(2) 【分析】本题是四边形综合题,主要考查了正方形的性质,全等三角形的判定与性质,翻折的性质, 勾股定理等知识,熟练掌握正方形中的十字架模型是解题的关键. (1)过点 作 于 ,利用 证明 ,得 ; (2)连接 , ,设正方形的边长为 ,由勾股定理得, ,解方程可 得 的值,利用勾股定理求出 ,再根据(1)知, ,从而解决问题. (1)解:证明:过点 作 于 , 四边形 是正方形, , , , 四边形 是矩形, , , , , , , , , , ; (2)(2)连接 , ,由折叠的性质得到: , , 设正方形的边长为 , 由勾股定理得, , , 解得: , , , 由勾股定理得, , 是 的垂直平分线, 由(1)知, , . 24.(1)见分析;(2) ;(3) 【分析】(1)根据两组对边分别平行的四边形是平行四边形即可解决问题; (2)设 ,根据勾股定理,建立方程求解即可; (3)延长 交 于点 ,证明 ,得 ,所以 是等腰直角三角 形,然后根据菱形的性质即可解决问题. 解:(1)证明: , , , , 四边形 是平行四边形; (2) , , ,, 如图2,连接 交 于点 , 平移的过程中,四边形 能成为菱形, 四边形 能成为菱形, , , , , , , 设 , , , , , , 解得: 或 (舍去), . 当 时,四边形 能成为菱形; (3)如图3,连结 ,延长 交 于点 ,四边形 为菱形, , , , , , , , 是等腰直角三角形, , 四边形 为菱形, , . 【点拨】本题是四边形综合题,考查了平行四边形的判定与性质,平移的性质,菱形的性质,全等三 角形的判定与性质,勾股定理,平行线的判定与性质等知识,熟练掌握全等三角形的判定与性质是解题的 关键.