当前位置:首页>文档>专题18.28平行四边形(分层练习)(基础练)-(人教版)_初中数学_八年级数学下册(人教版)_专题突破练习-V4

专题18.28平行四边形(分层练习)(基础练)-(人教版)_初中数学_八年级数学下册(人教版)_专题突破练习-V4

  • 2026-04-12 10:58:48 2026-03-24 00:21:20

文档预览

专题18.28平行四边形(分层练习)(基础练)-(人教版)_初中数学_八年级数学下册(人教版)_专题突破练习-V4
专题18.28平行四边形(分层练习)(基础练)-(人教版)_初中数学_八年级数学下册(人教版)_专题突破练习-V4
专题18.28平行四边形(分层练习)(基础练)-(人教版)_初中数学_八年级数学下册(人教版)_专题突破练习-V4
专题18.28平行四边形(分层练习)(基础练)-(人教版)_初中数学_八年级数学下册(人教版)_专题突破练习-V4
专题18.28平行四边形(分层练习)(基础练)-(人教版)_初中数学_八年级数学下册(人教版)_专题突破练习-V4
专题18.28平行四边形(分层练习)(基础练)-(人教版)_初中数学_八年级数学下册(人教版)_专题突破练习-V4
专题18.28平行四边形(分层练习)(基础练)-(人教版)_初中数学_八年级数学下册(人教版)_专题突破练习-V4
专题18.28平行四边形(分层练习)(基础练)-(人教版)_初中数学_八年级数学下册(人教版)_专题突破练习-V4
专题18.28平行四边形(分层练习)(基础练)-(人教版)_初中数学_八年级数学下册(人教版)_专题突破练习-V4
专题18.28平行四边形(分层练习)(基础练)-(人教版)_初中数学_八年级数学下册(人教版)_专题突破练习-V4
专题18.28平行四边形(分层练习)(基础练)-(人教版)_初中数学_八年级数学下册(人教版)_专题突破练习-V4
专题18.28平行四边形(分层练习)(基础练)-(人教版)_初中数学_八年级数学下册(人教版)_专题突破练习-V4
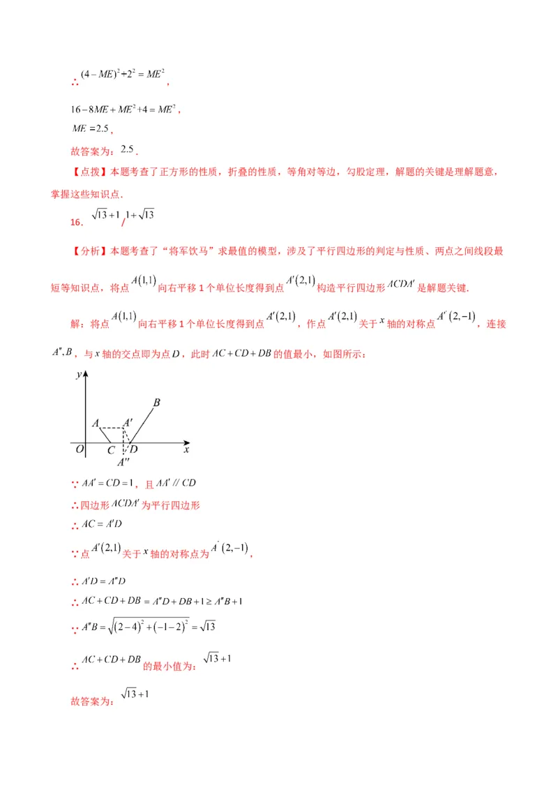
专题18.28平行四边形(分层练习)(基础练)-(人教版)_初中数学_八年级数学下册(人教版)_专题突破练习-V4
专题18.28平行四边形(分层练习)(基础练)-(人教版)_初中数学_八年级数学下册(人教版)_专题突破练习-V4
专题18.28平行四边形(分层练习)(基础练)-(人教版)_初中数学_八年级数学下册(人教版)_专题突破练习-V4
专题18.28平行四边形(分层练习)(基础练)-(人教版)_初中数学_八年级数学下册(人教版)_专题突破练习-V4
专题18.28平行四边形(分层练习)(基础练)-(人教版)_初中数学_八年级数学下册(人教版)_专题突破练习-V4
专题18.28平行四边形(分层练习)(基础练)-(人教版)_初中数学_八年级数学下册(人教版)_专题突破练习-V4
专题18.28平行四边形(分层练习)(基础练)-(人教版)_初中数学_八年级数学下册(人教版)_专题突破练习-V4
专题18.28平行四边形(分层练习)(基础练)-(人教版)_初中数学_八年级数学下册(人教版)_专题突破练习-V4
专题18.28平行四边形(分层练习)(基础练)-(人教版)_初中数学_八年级数学下册(人教版)_专题突破练习-V4
专题18.28平行四边形(分层练习)(基础练)-(人教版)_初中数学_八年级数学下册(人教版)_专题突破练习-V4
专题18.28平行四边形(分层练习)(基础练)-(人教版)_初中数学_八年级数学下册(人教版)_专题突破练习-V4
专题18.28平行四边形(分层练习)(基础练)-(人教版)_初中数学_八年级数学下册(人教版)_专题突破练习-V4
专题18.28平行四边形(分层练习)(基础练)-(人教版)_初中数学_八年级数学下册(人教版)_专题突破练习-V4
专题18.28平行四边形(分层练习)(基础练)-(人教版)_初中数学_八年级数学下册(人教版)_专题突破练习-V4
专题18.28平行四边形(分层练习)(基础练)-(人教版)_初中数学_八年级数学下册(人教版)_专题突破练习-V4
专题18.28平行四边形(分层练习)(基础练)-(人教版)_初中数学_八年级数学下册(人教版)_专题突破练习-V4
专题18.28平行四边形(分层练习)(基础练)-(人教版)_初中数学_八年级数学下册(人教版)_专题突破练习-V4
专题18.28平行四边形(分层练习)(基础练)-(人教版)_初中数学_八年级数学下册(人教版)_专题突破练习-V4

文档信息

文档格式
docx
文档大小
3.163 MB
文档页数
30 页
上传时间
2026-03-24 00:21:20

文档内容

专题18.28 平行四边形(分层练习)(基础练) 一、单选题(本大题共10小题,每小题3分,共30分) 1.(2023下·河北邯郸·八年级统考期末)用长分别为 的四根木根,恰好能钉成一个平行四边形 的木框(接头忽略不记),则 的值是( ) A.5 B.7 C.2 D.12 2.(2023下·河北保定·八年级统考期末)依据图所标数据,则四边形 一定是( ) A.正方形 B.矩形 C.菱形 D.四个角均不为 的平行四边形 3.(2023上·河北保定·九年级统考阶段练习)如图,竖直的墙体 上斜靠着一根木条 ,木条的 中点 与墙角 由一条有弹力的绳子(图中虚线)连接,木条沿墙体 滑落过程中出现 两种情 形,绳子长度分别为 和 ,则下列关系中正确的是( ) A. B. C. D.无法确定 4.(2023上·浙江宁波·九年级校联考期中)如图,在正方形 中, 为线段 上一点且 ,连结 , 交于点 ,分别作 , 的中点M,N,连结 ,若 ,则 为 ( )A.1 B. C.2 D. 5.(2021下·河南信阳·八年级统考期末)有以下性质:①对角线相等;②每一条对角线平分一组对角; ③对角线互相平分;④对角线互相垂直.其中正方形和菱形都具有,而矩形不具有的是( ) A.①② B.③④ C.②③ D.②④ 6.(2021·江苏徐州·统考二模)如图,点P是线段AB上任意一点,在AB同侧作正方形ACDP、正方 形PEFB,连接DF、PF,已知AB=10,当△PDF的面积为8时,AP的长为( ) A.2 B.8 C.2或8 D.4 7.(2023下·浙江湖州·七年级校考期末)如图,正方形 和长方形 周长相等,边 相交于点 ,连结 、 ,若 ,则 ( ) A. B. C. D. 8.(2022上·江苏无锡·八年级校联考期中)如图, ,动点A和C分别在射线OP、OQ上 运动,且 ,作 ,且 .在运动过程中,OB的最大距离是( )A.5cm B. C. D.3cm 9.(2023下·浙江温州·八年级校联考期中)如图,点 在 的边 上,连接 ,作 交 于点 ,点 是 的中点,且 ,若 ,则 的长为( ) A.10 B.9 C. D.8 10.(2021下·广东深圳·八年级广东省深圳市盐田区外国语学校校考期末)如图,正方形ABCD的顶 点A,B分别在x轴,y轴上,A(﹣4,0),G(0,4),BC的中点E恰好落在x轴上,CD交y轴于点 F,连接DG,DO.给出判断:①BF=AE;②CD平分∠ODG;③∠AEB+∠CDG=90°; ④△ADO是等 腰三角形.其中正确的是( ) A.①②③ B.①②④ C.②③④ D.①③④ 二、填空题(本大题共8小题,每小题4分,共32分) 11.(2022·江苏·八年级假期作业)如图,由Rt△CDE≌Rt△ACF,可得∠DCE+∠ACF=90°,从而 ∠ACB=90°.设小方格的边长为1,取AB的中点M,连接CM.则CM= ,理由是: .12.(2023上·河北唐山·八年级统考期中)如图是小明和小颖玩跷跷板时的示意图,点 是跷跷板 的中点,支柱 与地面垂直,且 的长度为 ,若小明到水平线 的距离 为 时小颖到地 面的距离为 . 13.(2023上·江苏南京·八年级统考期末)在课本上的“数学活动 折纸与证明”中,我们曾经两次折 叠正方形纸片(如图).若正方形纸片的边长为 ,则 的长为 . 14.(2024·湖北·一模)如图,将一张矩形纸片 折叠,折痕为 ,折叠后, 的对应边 经过点A, 的对应边 交 的延长线于点P.若 ,则 的长为 . 15.(2023下·江苏南京·八年级统考期末)将正方形纸片 对折,展开得到折痕 ,再次折叠,使顶点D与点M重合,折痕交 于点E, 交折痕于点H,已知正方形的边长为4,则 的长度为 . 16.(2023上·山东临沂·九年级沂水县实验中学校考期末)已知如图, . 为x轴上 一条动线段,D在C点右边且 ,当 的最小值为 . 17.(2022下·江苏常州·八年级统考期中)如图,C为平行四边形ABDG外一点,连接BC,DC,分 别交边AG于点F,E,使BC=DC,AC=GD,∠BDC=60°,若DB=7,AE=5,则AB的长为 . 18.(2023·黑龙江齐齐哈尔·统考二模)如图,已知第1个菱形 中, , , 以对角线 为边作第2个菱形 ,使点 在菱形 的内部,且 ,再以对角线 为边作第3个菱形 ,使点 在菱形 的内部,且 ,顺次这样作下去……, 则第2023个菱形 的面积为 .三、解答题(本大题共6小题,共58分) 19.(8分)(2024下·全国·八年级专题练习)已知:如图,四边形 为平行四边形,点E,A, C,F在同一直线上, . (1)求证: ; (2)连接 、 ,求证:四边形 为平行四边形. 20.(8分)(2023上·河北保定·九年级统考阶段练习)如图,矩形 的对角线 , 相交于 点 ,过点 作 的平行线交 的延长线于点 . (1)求证: . (2)若 , ,求 的长.21.(10分)(2024下·江苏·八年级专题练习)如图,已知菱形 ,E、F是对角线 所在直线 上的两点,且 ,连接 . (1)求证:四边形 是正方形; (2)若 ,求菱形 的周长. 22.(10分)(2023下·浙江宁波·八年级校联考阶段练习)如图,在 中,对角线 交 于点E, , . (1)当 平分 时,求证: 为矩形. (2)在以下命题中:①当 时, 为正方形.②当 时, 为 正方形.③当 时,四边形 为菱形.④当 时,四边形 为菱形.正确的 有:________,请选择一个正确的命题进行证明.23.(10分)(2023下·江西赣州·八年级统考期末)【课本再现】 已知:如图1,在 中,D,E分别是 的中点,求证: ,且 (1)如图2,过点C作 的平行线交DE的延长线于点F,请完成证明. 【知识应用】 (2)如图3,在四边形 中, , ,E,F分别为 的中点,判断线段 之间的数量关系,并说明理由,(温馨提示:连接 并延长交 的延长线于点G.) 24.(12分)(2022下·山西临汾·八年级校联考期末)综合与实践 在学习完特殊的平行四边形之后,老师在数学活动课上展示了下面一道与平行四边形有关的折叠题: 【问题情境】 如图1,将矩形纸片 沿直线 折叠,使得点 与点 重合,点 落在点 的位置,连接 ,线段 交 于点 . 【独立思考】 (1)① 与 的关系为______;② 是______三角形(按边分类). 【实践探究】 (2)请判断四边形 的形状,并说明理由. 【拓展延伸】 (3)如图2,在矩形纸片 中, , ,小明将矩形纸片 沿直线折叠,点 落在点 的位置, 交 于点 ,请你求出线段 的长. 参考答案: 1.B 【分析】根据平行四边形对边相等即可得到答案. 解:∵平行四边形的对边相等,用长分别为 的四根木根,恰好能钉成一个平行四边形的木框, ∴ , 故选:B. 【点拨】本题主要考查了平行四边形的性质,熟知平行四边形对边相等是解题的关键. 2.B 【分析】根据已知得线段 、 相等且平分,即可判断出为矩形. 解: ∵线段 、 相等且平分, ∴四边形 为矩形.故选:B. 【点拨】本题考查了矩形的判定,掌握对角线相等且互相平分的四边形是矩形. 3.B 【分析】本题考查了直角三角形的中线等于斜边的一半,根据题意点 为木条的中点即可得出结论. 解: 点 为木条的中点, , , , 故选:B. 4.B 【分析】此题主要考查了正方形的性质,三角形的中位线定理,熟练掌握正方形的性质,理解三角形 的中位线定理是解决问题的关键.连接 ,根据正方形的性质得 过点 , ,进而可求出 , ,再证 为 的中位线,然后根据三角形的中位线定理可得出 的长. 解:连接 ,如图所示: ∵四边形 为正方形, 为对角线,点 为 的中点, ∴ 过点 , , , , ∵ 过点 , ∴点 为 的中点, 又∵点 为 的中点, ∴ 为 的中位线, ,故选:B. 5.D 【分析】根据正方形、菱形以及矩形的各种性质对比作答即可. 解:正方形的性质: ①正方形的四条边都相等,四个角都是直角; ②正方形的两条对角线相等,互相垂直平分,并且每条对角线平分一组对角; ③正方形具有四边形、平行四边形、矩形、菱形的一切性质. ④两条对角线将正方形分成四个全等的等腰直角三角形,同时,正方形又是轴对称图形,有四条对称 轴. 菱形的性质: ①菱形具有平行四边形的一切性质; ②菱形的四条边都相等; ③菱形的两条对角线互相垂直,并且每一条对角线平分一组对角; ④菱形是轴对称图形,它有2条对称轴,分别是两条对角线所在直线. 矩形的性质: ①平行四边形的性质矩形都具有; ②角:矩形的四个角都是直角; ③边:邻边垂直; ④对角线:矩形的对角线相等; ⑤矩形是轴对称图形,又是中心对称图形.它有2条对称轴,分别是每组对边中点连线所在的直线; 对称中心是两条对角线的交点. 由此可知正方形和菱形都具有,而矩形不具有的是:②每一条对角线平分一组对角;④对角线互相垂 直, 故选:D. 【点拨】本题解决的关键是正确记忆平行四边形,矩形、正方形、菱形之间的关系,它们各自的性质 是需要熟记的内容. 6.C 【分析】设 ,则 ,根据正方形的性质可知 ,将 的面积用 表示为一 个等式,求出 值,即可求解. 解:设 ,则 , 四边形 和四边形 都是正方形,, , 即 ,解得 或 , 故选:C. 【点拨】本题主要考查了正方形的的性质以及方程的应用,熟练掌握数形结合思想是解决问题的关键. 7.C 【分析】根据周长相等可以得到 ,再根据面积得到 ,即 ,计算可得结论. 解:∵正方形 和长方形 周长相等, ∴ , 即: , 又∵ , , ∴ , ∵ , ∴ ,即 , ∵ 是正方形, 是矩形, ∴ , , ∴ , 故选:C. 【点拨】本题考查矩形和正方形的面积和周长,熟记矩形和三角形面积的计算方法是解题的关键. 8.B 【分析】取AC中点D,连接BD,OD,根据数形结合分析可知 ,根据B,O,D的位 置关系求OB的最大距离. 解:取AC中点D,连接BD,OD,∵ ,D为AC中点, ∴ , , 在 中, , ∴ , 由图像可知 , 当B,O,D三点共线时,等号成立, ∴OB的最大距离是 . 故选:B. 【点拨】本题考查了动点和定点距离的最大值和直角三角形斜边的中线等于斜边的一半,解决本题的 关键是分析B,O,D的位置关系. 9.B 【分析】延长 交 于点 ,可推出四边形 是平行四边形,得 ;根据“点 是 的中点”可得 、 ,设 ,根据 即可求解. 解:延长 交 于点 ,如图: ∵ , , , , ∴四边形 是平行四边形, ,∵点 是 的中点且 , , ∵点 是 的中点且 , , , 设 , , 解得: , ∴ , 故选:B. 【点拨】本题考查了平行四边形的判定与性质、中位线定理、等腰三角形的性质等,熟记相关知识点 是解题关键. 10.D 【分析】根据正方形的性质,可得 ,从而得到①③正确,延长GD,过A作GD延长 线的垂线并与GD的延长线交于点H,再由A,G的坐标,可推出 ,得出D是HG的中点, 最后得出△ADO是等腰三角形进而判断④,先假设CD平分∠ODG,根据已知条件得到 ,根据点 的坐标求得 进而可以判断②. 解: 是正方形, 又 , 在 和 中, 故①正确; 又故③正确; 延长 ,过 作 延长线的垂线并与 的长线交于点 ,则 是 的中点 , 由①可知四边形 是正方形 是等腰三角形, 故④正确: 若CD平分∠ODG 则 故②不正确 综上所述,①③④正确. 故选D. 【点拨】本题考查了正方形的性质,三角形全等的性质与判定,勾股定理,熟悉图形的性质是解题的 关键. 11. 5 直角三角形斜边上的中线等于斜边的一半【分析】先根据网格求出AB的长,再根据直角三角形斜边上的中线等于斜边的一半解答; 解:由图可知,AB=10, ∵∠ACB=90°,M是AB的中点, ∴CM= AB= ×10=5(直角三角形斜边上的中线等于斜边的一半). 故答案为:5,直角三角形斜边上的中线等于斜边的一半. 【点拨】本题考查了直角三角形的性质斜边上的中线等于斜边的一般的性质,读懂题目并熟练掌握性 质是解题的关键. 12. /90厘米 【分析】本题主要考查了三角形全等的判定和性质,平行线的判定,平行四边形的判定和性质,解题 的关键是熟练掌握三角形全等的性质证明 . 解:∵在 和 中 , ∴ , ∴ , ∵ 为水平线, ∴ , ∵ , , ∴ , ∴ 为平行四边形, ∴ , ∴ . 故答案为: .13. / 【分析】本题考查了折叠的性质,正方形的性质,勾股定理,先由折叠的性质得出 的长度, 再利用勾股定理求出 的长度,最后根据 求解即可,熟练掌握知识点是解题的关键. 解:由折叠的性质得 , , ∴ , ∴ , 故答案为: . 14. 【分析】本题考查了矩形与折叠问题,全等三角形的判定和性质,勾股定理.连接 ,设 , ,证明 ,求得 ,由折叠的性质求得 ,在 中,利用勾股定理列式计算,即可求解. 解:连接 ,设 , , 由矩形的性质和折叠的性质知 , , , ∵ , , ∴ , ∴ , 由矩形的性质知: ∴ , 折叠的性质知: ,∴ , ∴ , 由折叠的性质知 , ∴ , ∴ ,即 , 在 中, ,即 , 解得 , ∴ , 故答案为: 15. 【分析】根据题意得 , 垂直平分 , , , ,则 ,即 ,根据 得 ,即 ,根据勾股定理得 , ,则 ,进行计算即可得. 解:∵正方形纸片 的边长为4, ∴ , ∵正方形纸片 对折,展开得到折痕 ,再次折叠,使顶点D与点M重合, ∴ 垂直平分 , , ∴ , , ∴ , ∴ , ∵ , ∴ , ∴ , ∵ , ,∴ , , , 故答案为: . 【点拨】本题考查了正方形的性质,折叠的性质,等角对等边,勾股定理,解题的关键是理解题意, 掌握这些知识点. 16. / 【分析】本题考查了“将军饮马”求最值的模型,涉及了平行四边形的判定与性质、两点之间线段最 短等知识点,将点 向右平移1个单位长度得到点 构造平行四边形 是解题关键. 解:将点 向右平移1个单位长度得到点 ,作点 关于 轴的对称点 ,连接 ,与 轴的交点即为点 ,此时 的值最小,如图所示: ∵ ,且 ∴四边形 为平行四边形 ∴ ∵点 关于 轴的对称点为 , ∴ ∴ ∵ ∴ 的最小值为: 故答案为:17. 【分析】根据平行四边形的性质证明△DGE≌△ACE,可得EG=CE=2,过点C作CM⊥EF于点M,利用 含30°角的直角三角形可得EM=1, ,再利用勾股定理即可求得AC的长,进而得到AB的长. 解:∵四边形ABDG是平行四边形, ∴AB=DG,BD=AG=7, ∴AC=GD=AB,EG=AG-AE=7-5=2, ∵BC=DC,∠BDC=60°, ∴△BCD为等边三角形, ∴BC=DC=BD=7, ∵AB=AC, ∴∠ABC=∠ACB, ∴∠AGD=∠ABD=60°+∠ABC, ∵∠ACE=60°+∠ACB, ∴∠AGD=∠ACE, 在△DGE和△ACE中, , ∴△DGE≌△ACE(AAS), ∴EG=CE=2, 如图,过点C作CM⊥EF于点M, ∵AG∥BD,∴∠CEF=∠CDB=60°, ∴∠ECM=30°, ∵CE=2, ∴EM=1, , ∴AM=AE-EM=5-1=4, ∴ , ∴AB=AC= , 故答案为: . 【点拨】本题考查了平行四边形的性质,等边三角形的性质、勾股定理,解决本题的关键是得到 △DGE≌△ACE. 18. 【分析】先分别求出菱形的对角线长,再依次求出面积,然后得出规律,进而得出答案. 解:如图,连接 ,根据题意可知 , , ,且 , ∴ 是等边三角形, ∴ . 在 中, , ∴ , 根据勾股定理,得 , ∴ . 可知 ,得 ;同理: , ,则 ; , ,则 ; ··· . 故答案为: . 【点拨】本题主要考查了菱形的性质,数字变化规律问题等,根据变化特点得出规律是解题的关键. 19.(1)见分析;(2)见分析 【分析】本题考查平行四边形的性质与判定、全等三角形的判定与性质,解答本题的关键是明确全等 三角形的判定和性质,平行四边形的判定方法. (1)根据平行四边形的性质,可以得到 , ,然后即可得到 ,再根 据 即可证明 ; (2)根据(1)中的结论和全等三角形的性质,可以得到 ,从而可以得到 , 从而可得结论. 解:(1)证明:∵四边形 为平行四边形, ∴ , , ∴ , ∵ , , ∴ , 在 和 中,, ∴ ; (2)解:如图,连接 、 , ∵ , , ∴四边形 是平行四边形. 20.(1)见分析;(2) 【分析】(1)可证四边形 是平行四边形以此求证; (2)利用直角三角形30度角的性质即可求解. 解:(1)证明: 四边形 是矩形, , , . , 四边形 是平行四边形, , . (2)解: 四边形 是矩形, , , . ∴ , ,. 【点拨】本题考查了平行四边形的判定、矩形的相关性质.熟记相关内容是解题关键. 21.(1)见分析;(2) 【分析】本题主要考查了菱形的性质和判定,正方形的判定,勾股定理等,灵活的选择判定定理是解 题的关键. (1)连接 ,交 于点O,根据菱形的性质,再结合 ,说明四边形 是菱形,然后 根据“有一个角是直角的菱形是正方形”得出答案; (2)先根据正方形的性质求出 ,即可求出 ,再根据勾股定理求出 ,即可得出答案. 解:(1)证明:连接 ,交 于点O, ∵四边形 是菱形, ∴ , ∵ , ∴ , ∴ , ∴ 与 垂直且互相平分, ∴四边形 是菱形, ∴ , 又∵ , ∴ , ∴菱形 是正方形; (2)解:∵菱形 是正方形, , ∴ , ∴ , ∴ , ∴ , ∴ ,∴ , ∴菱形 的周长 . 22.(1)见分析;(2)②,证明见分析 【分析】(1)先证四边形 为平行四边形,利用平行四边形的性质及角平分线的定义可得 ,根据“对角线相等的平行四边形是矩形”即可求证; (2)根据特殊平行四边形的判定定理即可进行判断. 解:(1)证明:∵ , ∴四边形 为平行四边形 ∴ ∵ 平分 ∴ ∵ ∴ ∵ ∴ ∴ 为矩形 (2)解:①当 时,则 , 为菱形.故①错误; ②当 时, ∵ , ∴四边形 为平行四边形 ∴ ∵ ∴ , ∴ 且 ∴ 为正方形 故②正确; ③当 时,不能推出四边形 为菱形.故③错误; ④当 时, ∵∴ ∵ ∴ ∴ ∴四边形 为矩形 故④错误 故正确的有:②;证明见上 【点拨】本题考查了平行四边形及特殊平行四边形的判定.熟记定理内容是解题关键. 23.(1)见分析;(2) .理由见分析 【分析】(1)过点C作 的平行线交 的延长线于点F,先证明 ,然后证明四边形 是平行四边形,即可得出结论; (2)连接 并延长交 的延长线于点G,先证明 ,推出 , ,利 用(1)的结论即可求解. 解:(1)证明:过点C作AB的平行线交DE的延长线于点F,即 , ∴ , ∵E是 的中点, ∴ . 在 和 中, , ∴ . ∴ , , ∵D是 的中点, ∴ , ∴ , ∴四边形 是平行四边形, ∴ , , ∴ , ; (2) ,理由如下:连接 并延长交 的延长线于点G, ∵ , ∴ , , ∵F是 的中点, ∴ , ∴ , ∴ , , ∵E是 的中点,F是 的中点, ∴ , ∴ . 【点拨】本题考查了平行四边形的判定与性质以及全等三角形的判定与性质,掌握以上知识是解题的 关键. 24.(1)①全等;②等腰;(2)四边形 是菱形,理由见分析;(3) 【分析】(1)①根据矩形,折叠的性质可证 即可求解;②根据矩形的性质可 证 即可求解; (2)根据矩形,折叠的性质,菱形的判定方法即可求证; (3)根据矩形、折叠的性质可得 是等腰三角形,设 ,在 中, , , ,根据勾股定理可求出 的值,由此即可求 解. 解:(1)①全等;②等腰,理由如下, ①∵四边形 是矩形,∴ , ∵折叠,点 与点 重合, ∴ , ,且 , ∴ , 故答案为:全等; ②∵四边形 是矩形, ∴ , , ∵ 是折痕,点 与点 重合, ∴ ,即 , , ∴ ,且 , 在 中, , ∴ , ∴ , ∴ 是等腰三角形, 故答案为:等腰. (2)四边形AFCE是菱形,理由如下: 四边形 是矩形, , , 矩形 沿 折叠,点 与点 重合, 垂直平分 , , , 在 和 中, , , , ,∴四边形 是平行四边形. , ∴平行四边形 是菱形. (3) 四边形 是矩形, , ,且 , ∴ , 由翻折的性质可知 , , , , , , ,即 是等腰三角形, 设 , 在 中, , , , ∴ ,即 ,解得 , , . 【点拨】本题主要考查矩形的折叠问题,掌握折叠的性质,矩形的性质,全等三角形的判定和性质, 等腰三角形的判定和性质,菱形的判定方法,勾股定理等知识的综合运用是解题的关键.