当前位置:首页>文档>专题01:三角形十九大必考点(解析版)_初中数学人教版_8上-初中数学人教版_2025秋季新人教版数学八上课件教案_10-期中试卷及答案解析

专题01:三角形十九大必考点(解析版)_初中数学人教版_8上-初中数学人教版_2025秋季新人教版数学八上课件教案_10-期中试卷及答案解析

  • 2026-04-01 01:13:15 2026-03-26 22:04:34

文档预览

专题01:三角形十九大必考点(解析版)_初中数学人教版_8上-初中数学人教版_2025秋季新人教版数学八上课件教案_10-期中试卷及答案解析
专题01:三角形十九大必考点(解析版)_初中数学人教版_8上-初中数学人教版_2025秋季新人教版数学八上课件教案_10-期中试卷及答案解析
专题01:三角形十九大必考点(解析版)_初中数学人教版_8上-初中数学人教版_2025秋季新人教版数学八上课件教案_10-期中试卷及答案解析
专题01:三角形十九大必考点(解析版)_初中数学人教版_8上-初中数学人教版_2025秋季新人教版数学八上课件教案_10-期中试卷及答案解析
专题01:三角形十九大必考点(解析版)_初中数学人教版_8上-初中数学人教版_2025秋季新人教版数学八上课件教案_10-期中试卷及答案解析
专题01:三角形十九大必考点(解析版)_初中数学人教版_8上-初中数学人教版_2025秋季新人教版数学八上课件教案_10-期中试卷及答案解析
专题01:三角形十九大必考点(解析版)_初中数学人教版_8上-初中数学人教版_2025秋季新人教版数学八上课件教案_10-期中试卷及答案解析
专题01:三角形十九大必考点(解析版)_初中数学人教版_8上-初中数学人教版_2025秋季新人教版数学八上课件教案_10-期中试卷及答案解析
专题01:三角形十九大必考点(解析版)_初中数学人教版_8上-初中数学人教版_2025秋季新人教版数学八上课件教案_10-期中试卷及答案解析
专题01:三角形十九大必考点(解析版)_初中数学人教版_8上-初中数学人教版_2025秋季新人教版数学八上课件教案_10-期中试卷及答案解析
专题01:三角形十九大必考点(解析版)_初中数学人教版_8上-初中数学人教版_2025秋季新人教版数学八上课件教案_10-期中试卷及答案解析
专题01:三角形十九大必考点(解析版)_初中数学人教版_8上-初中数学人教版_2025秋季新人教版数学八上课件教案_10-期中试卷及答案解析
专题01:三角形十九大必考点(解析版)_初中数学人教版_8上-初中数学人教版_2025秋季新人教版数学八上课件教案_10-期中试卷及答案解析
专题01:三角形十九大必考点(解析版)_初中数学人教版_8上-初中数学人教版_2025秋季新人教版数学八上课件教案_10-期中试卷及答案解析
专题01:三角形十九大必考点(解析版)_初中数学人教版_8上-初中数学人教版_2025秋季新人教版数学八上课件教案_10-期中试卷及答案解析
专题01:三角形十九大必考点(解析版)_初中数学人教版_8上-初中数学人教版_2025秋季新人教版数学八上课件教案_10-期中试卷及答案解析
专题01:三角形十九大必考点(解析版)_初中数学人教版_8上-初中数学人教版_2025秋季新人教版数学八上课件教案_10-期中试卷及答案解析
专题01:三角形十九大必考点(解析版)_初中数学人教版_8上-初中数学人教版_2025秋季新人教版数学八上课件教案_10-期中试卷及答案解析
专题01:三角形十九大必考点(解析版)_初中数学人教版_8上-初中数学人教版_2025秋季新人教版数学八上课件教案_10-期中试卷及答案解析
专题01:三角形十九大必考点(解析版)_初中数学人教版_8上-初中数学人教版_2025秋季新人教版数学八上课件教案_10-期中试卷及答案解析
专题01:三角形十九大必考点(解析版)_初中数学人教版_8上-初中数学人教版_2025秋季新人教版数学八上课件教案_10-期中试卷及答案解析
专题01:三角形十九大必考点(解析版)_初中数学人教版_8上-初中数学人教版_2025秋季新人教版数学八上课件教案_10-期中试卷及答案解析
专题01:三角形十九大必考点(解析版)_初中数学人教版_8上-初中数学人教版_2025秋季新人教版数学八上课件教案_10-期中试卷及答案解析
专题01:三角形十九大必考点(解析版)_初中数学人教版_8上-初中数学人教版_2025秋季新人教版数学八上课件教案_10-期中试卷及答案解析
专题01:三角形十九大必考点(解析版)_初中数学人教版_8上-初中数学人教版_2025秋季新人教版数学八上课件教案_10-期中试卷及答案解析
专题01:三角形十九大必考点(解析版)_初中数学人教版_8上-初中数学人教版_2025秋季新人教版数学八上课件教案_10-期中试卷及答案解析
专题01:三角形十九大必考点(解析版)_初中数学人教版_8上-初中数学人教版_2025秋季新人教版数学八上课件教案_10-期中试卷及答案解析
专题01:三角形十九大必考点(解析版)_初中数学人教版_8上-初中数学人教版_2025秋季新人教版数学八上课件教案_10-期中试卷及答案解析
专题01:三角形十九大必考点(解析版)_初中数学人教版_8上-初中数学人教版_2025秋季新人教版数学八上课件教案_10-期中试卷及答案解析
专题01:三角形十九大必考点(解析版)_初中数学人教版_8上-初中数学人教版_2025秋季新人教版数学八上课件教案_10-期中试卷及答案解析
专题01:三角形十九大必考点(解析版)_初中数学人教版_8上-初中数学人教版_2025秋季新人教版数学八上课件教案_10-期中试卷及答案解析
专题01:三角形十九大必考点(解析版)_初中数学人教版_8上-初中数学人教版_2025秋季新人教版数学八上课件教案_10-期中试卷及答案解析
专题01:三角形十九大必考点(解析版)_初中数学人教版_8上-初中数学人教版_2025秋季新人教版数学八上课件教案_10-期中试卷及答案解析
专题01:三角形十九大必考点(解析版)_初中数学人教版_8上-初中数学人教版_2025秋季新人教版数学八上课件教案_10-期中试卷及答案解析
专题01:三角形十九大必考点(解析版)_初中数学人教版_8上-初中数学人教版_2025秋季新人教版数学八上课件教案_10-期中试卷及答案解析
专题01:三角形十九大必考点(解析版)_初中数学人教版_8上-初中数学人教版_2025秋季新人教版数学八上课件教案_10-期中试卷及答案解析
专题01:三角形十九大必考点(解析版)_初中数学人教版_8上-初中数学人教版_2025秋季新人教版数学八上课件教案_10-期中试卷及答案解析
专题01:三角形十九大必考点(解析版)_初中数学人教版_8上-初中数学人教版_2025秋季新人教版数学八上课件教案_10-期中试卷及答案解析
专题01:三角形十九大必考点(解析版)_初中数学人教版_8上-初中数学人教版_2025秋季新人教版数学八上课件教案_10-期中试卷及答案解析
专题01:三角形十九大必考点(解析版)_初中数学人教版_8上-初中数学人教版_2025秋季新人教版数学八上课件教案_10-期中试卷及答案解析
专题01:三角形十九大必考点(解析版)_初中数学人教版_8上-初中数学人教版_2025秋季新人教版数学八上课件教案_10-期中试卷及答案解析
专题01:三角形十九大必考点(解析版)_初中数学人教版_8上-初中数学人教版_2025秋季新人教版数学八上课件教案_10-期中试卷及答案解析
专题01:三角形十九大必考点(解析版)_初中数学人教版_8上-初中数学人教版_2025秋季新人教版数学八上课件教案_10-期中试卷及答案解析
专题01:三角形十九大必考点(解析版)_初中数学人教版_8上-初中数学人教版_2025秋季新人教版数学八上课件教案_10-期中试卷及答案解析
专题01:三角形十九大必考点(解析版)_初中数学人教版_8上-初中数学人教版_2025秋季新人教版数学八上课件教案_10-期中试卷及答案解析
专题01:三角形十九大必考点(解析版)_初中数学人教版_8上-初中数学人教版_2025秋季新人教版数学八上课件教案_10-期中试卷及答案解析
专题01:三角形十九大必考点(解析版)_初中数学人教版_8上-初中数学人教版_2025秋季新人教版数学八上课件教案_10-期中试卷及答案解析
专题01:三角形十九大必考点(解析版)_初中数学人教版_8上-初中数学人教版_2025秋季新人教版数学八上课件教案_10-期中试卷及答案解析
专题01:三角形十九大必考点(解析版)_初中数学人教版_8上-初中数学人教版_2025秋季新人教版数学八上课件教案_10-期中试卷及答案解析
专题01:三角形十九大必考点(解析版)_初中数学人教版_8上-初中数学人教版_2025秋季新人教版数学八上课件教案_10-期中试卷及答案解析
专题01:三角形十九大必考点(解析版)_初中数学人教版_8上-初中数学人教版_2025秋季新人教版数学八上课件教案_10-期中试卷及答案解析
专题01:三角形十九大必考点(解析版)_初中数学人教版_8上-初中数学人教版_2025秋季新人教版数学八上课件教案_10-期中试卷及答案解析
专题01:三角形十九大必考点(解析版)_初中数学人教版_8上-初中数学人教版_2025秋季新人教版数学八上课件教案_10-期中试卷及答案解析
专题01:三角形十九大必考点(解析版)_初中数学人教版_8上-初中数学人教版_2025秋季新人教版数学八上课件教案_10-期中试卷及答案解析
专题01:三角形十九大必考点(解析版)_初中数学人教版_8上-初中数学人教版_2025秋季新人教版数学八上课件教案_10-期中试卷及答案解析
专题01:三角形十九大必考点(解析版)_初中数学人教版_8上-初中数学人教版_2025秋季新人教版数学八上课件教案_10-期中试卷及答案解析
专题01:三角形十九大必考点(解析版)_初中数学人教版_8上-初中数学人教版_2025秋季新人教版数学八上课件教案_10-期中试卷及答案解析
专题01:三角形十九大必考点(解析版)_初中数学人教版_8上-初中数学人教版_2025秋季新人教版数学八上课件教案_10-期中试卷及答案解析
专题01:三角形十九大必考点(解析版)_初中数学人教版_8上-初中数学人教版_2025秋季新人教版数学八上课件教案_10-期中试卷及答案解析
专题01:三角形十九大必考点(解析版)_初中数学人教版_8上-初中数学人教版_2025秋季新人教版数学八上课件教案_10-期中试卷及答案解析
专题01:三角形十九大必考点(解析版)_初中数学人教版_8上-初中数学人教版_2025秋季新人教版数学八上课件教案_10-期中试卷及答案解析
专题01:三角形十九大必考点(解析版)_初中数学人教版_8上-初中数学人教版_2025秋季新人教版数学八上课件教案_10-期中试卷及答案解析
专题01:三角形十九大必考点(解析版)_初中数学人教版_8上-初中数学人教版_2025秋季新人教版数学八上课件教案_10-期中试卷及答案解析
专题01:三角形十九大必考点(解析版)_初中数学人教版_8上-初中数学人教版_2025秋季新人教版数学八上课件教案_10-期中试卷及答案解析
专题01:三角形十九大必考点(解析版)_初中数学人教版_8上-初中数学人教版_2025秋季新人教版数学八上课件教案_10-期中试卷及答案解析
专题01:三角形十九大必考点(解析版)_初中数学人教版_8上-初中数学人教版_2025秋季新人教版数学八上课件教案_10-期中试卷及答案解析
专题01:三角形十九大必考点(解析版)_初中数学人教版_8上-初中数学人教版_2025秋季新人教版数学八上课件教案_10-期中试卷及答案解析
专题01:三角形十九大必考点(解析版)_初中数学人教版_8上-初中数学人教版_2025秋季新人教版数学八上课件教案_10-期中试卷及答案解析
专题01:三角形十九大必考点(解析版)_初中数学人教版_8上-初中数学人教版_2025秋季新人教版数学八上课件教案_10-期中试卷及答案解析
专题01:三角形十九大必考点(解析版)_初中数学人教版_8上-初中数学人教版_2025秋季新人教版数学八上课件教案_10-期中试卷及答案解析
专题01:三角形十九大必考点(解析版)_初中数学人教版_8上-初中数学人教版_2025秋季新人教版数学八上课件教案_10-期中试卷及答案解析
专题01:三角形十九大必考点(解析版)_初中数学人教版_8上-初中数学人教版_2025秋季新人教版数学八上课件教案_10-期中试卷及答案解析
专题01:三角形十九大必考点(解析版)_初中数学人教版_8上-初中数学人教版_2025秋季新人教版数学八上课件教案_10-期中试卷及答案解析
专题01:三角形十九大必考点(解析版)_初中数学人教版_8上-初中数学人教版_2025秋季新人教版数学八上课件教案_10-期中试卷及答案解析
专题01:三角形十九大必考点(解析版)_初中数学人教版_8上-初中数学人教版_2025秋季新人教版数学八上课件教案_10-期中试卷及答案解析
专题01:三角形十九大必考点(解析版)_初中数学人教版_8上-初中数学人教版_2025秋季新人教版数学八上课件教案_10-期中试卷及答案解析
专题01:三角形十九大必考点(解析版)_初中数学人教版_8上-初中数学人教版_2025秋季新人教版数学八上课件教案_10-期中试卷及答案解析
专题01:三角形十九大必考点(解析版)_初中数学人教版_8上-初中数学人教版_2025秋季新人教版数学八上课件教案_10-期中试卷及答案解析
专题01:三角形十九大必考点(解析版)_初中数学人教版_8上-初中数学人教版_2025秋季新人教版数学八上课件教案_10-期中试卷及答案解析
专题01:三角形十九大必考点(解析版)_初中数学人教版_8上-初中数学人教版_2025秋季新人教版数学八上课件教案_10-期中试卷及答案解析
专题01:三角形十九大必考点(解析版)_初中数学人教版_8上-初中数学人教版_2025秋季新人教版数学八上课件教案_10-期中试卷及答案解析
专题01:三角形十九大必考点(解析版)_初中数学人教版_8上-初中数学人教版_2025秋季新人教版数学八上课件教案_10-期中试卷及答案解析
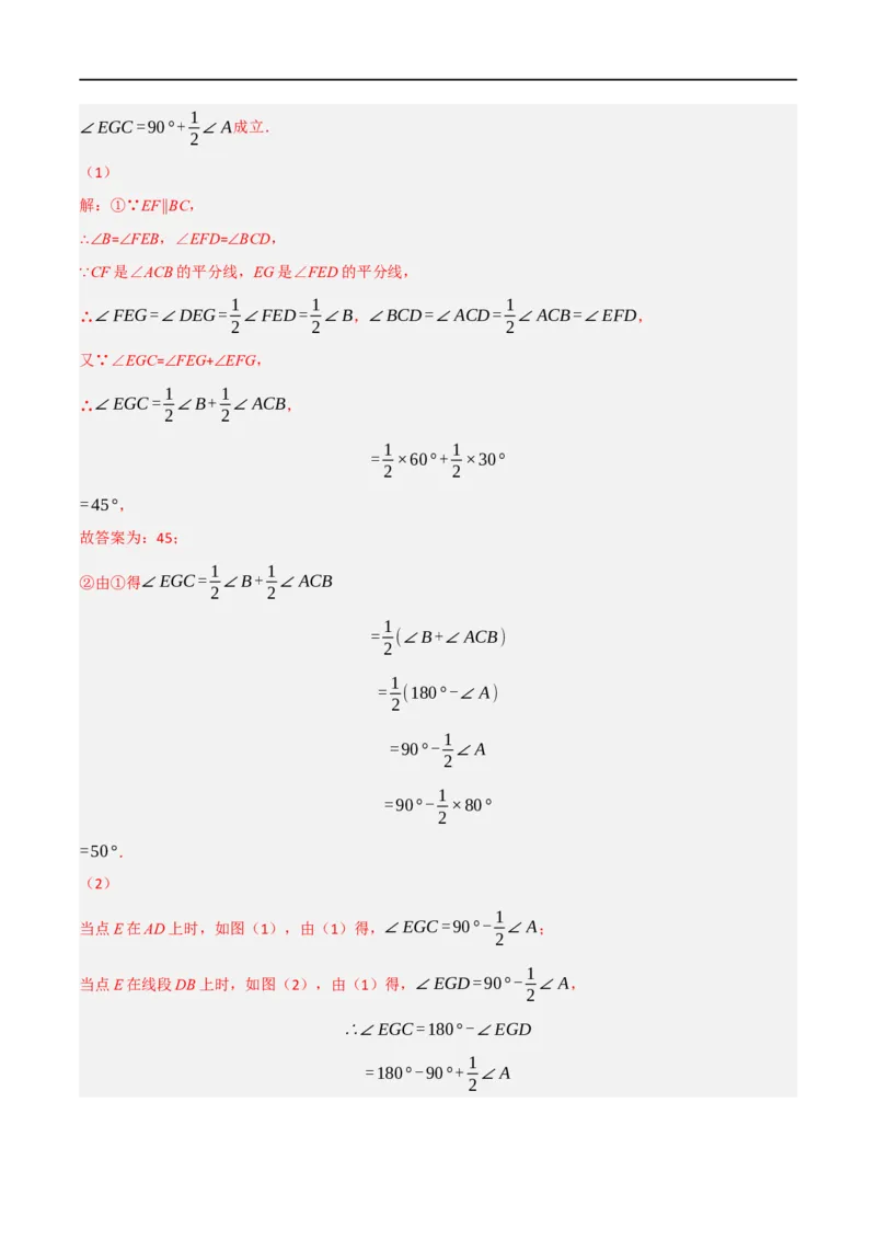
专题01:三角形十九大必考点(解析版)_初中数学人教版_8上-初中数学人教版_2025秋季新人教版数学八上课件教案_10-期中试卷及答案解析

文档信息

文档格式
docx
文档大小
1.060 MB
文档页数
79 页
上传时间
2026-03-26 22:04:34

文档内容

专题一 三角形十九大必考点 【人教版】 【考点1 三角形的个数】.......................................................................................................................................1 【考点2 判断能否组成三角形】...........................................................................................................................4 【考点3 确定第三边的取值范围】.......................................................................................................................6 【考点4 利用三角形的三边关系化简或证明】...................................................................................................8 【考点5 三角形的三边关系的应用】.................................................................................................................10 【考点6 根据三角形的中线求面积】.................................................................................................................13 【考点7 根据三角形的中线求长度】.................................................................................................................18 【考点8 与三角形的高有关的计算】.................................................................................................................20 【考点9 网格中的三角形】.................................................................................................................................24 【考点10 三角形的稳定性】.................................................................................................................................30 【考点11 与角平分线有关的三角形内角和问题】..............................................................................................31 【考点12 与平行线有关的三角形内角和问题】.................................................................................................39 【考点13 与折叠有关的三角形内角和问题】.....................................................................................................49 【考点14 三角形的外角性质的运用】.................................................................................................................57 【考点15 多边形的对角线】.................................................................................................................................64 【考点16 多(少)算一个角问题】.....................................................................................................................67 【考点17 求截角后多边形的边数或内角和】.....................................................................................................70 【考点18 多边形的内角和与外角和的综合运用】..............................................................................................72 【考点19 平面图形的镶嵌】.................................................................................................................................76 【考点1 三角形的个数】 【例1】(2024·江苏·无锡市东林中学七年级期中)(1)如图1,图中共有三角形 个;如图2,若增 加一条线,则图中共有三角形 个; (2)如图3,若增加到10条线,请你求出图中的三角形的个数.【答案】(1)10;24;(2)330个 【分析】(1)根据三角形的定义,三角形是由同一平面内不在同一直线上的三条线段首尾顺次连接所组 成的封闭图形来判断图1和图2中三角形的个数即可; (2)通过数三角形的个数可知,图1中有10个三角形,图2中,增加一条线后三角形的个数为 10+10×1+4×1,增加2条线后,三角形的个数为10+10×2+4×(2+1),增加3条线后,三角形的个 数为10+10×3+4×(3+2+1),依次类推即可推出增加n条线后,三角形的个数,据此即可得到增加10条 线后三角形的个数. 【详解】解:(1)根据三角形的定义可得图1中三角形个数为10; 根据三角形的定义可得图2中三角形个数为24; (2)增加1条线,三角形个数为:10+10×1+4×1; 增加2条线,三角形个数为:10+10×2+4×(2+1); 增加3条线,三角形个数为:10+10×3+4×(3+2+1); 则增加n条线,三角形个数为:10+10×n+4×(n+n-1+n-2+⋯+1), 所以增加10条线,三角形个数为10+10×10+4×(10+9+8+⋅⋅⋅+1)=330个; 【点睛】本题考查了三角形的定义,列代数式,列整式,找规律等知识点,解答本题的关键是根据增加线 段的数量找出增加三角形的个数与增加线段的关系. 【变式1-1】(2024·河南南阳·七年级期末)如图所示,点D,E分别是△ABC的边BC,AB上的点,分别 连结AD,DE,则图中的三角形一共有( ) A.3个 B.4个 C.5个 D.6个【答案】C 【分析】根据三角形的概念求解即可. 【详解】解:由题意可得, 图中的三角形有:△AED,△ACD,△ABC,△BDE,△ABD,共5个. 故选:C. 【点睛】此题考查了三角形的概念,解题的关键是熟练掌握三角形的概念.三角形是由同一平面内不在同 一直线上的三条线段首尾顺次连接所组成的封闭图形. 【变式1-2】(2024·重庆巫溪·八年级期末)如图,其中第①个图形中有1个三角形,第②个图形中有3个 三角形,第③个图形中有6个三角形,…,按此规律变化,第⑥个图形中三角形的个数是( ) A.10 B.15 C.21 D.28 【答案】C 【分析】根据各图形三角形的个数即可找到规律,根据规律即可解答. 【详解】解:第①个图中三角形的个数为1; 第②个图中三角形的个数为3=1+2; 第③个图中三角形的个数为6=1+2+3; …, n(n+1) 故第n个图中三角形的个数为1+2+3+⋅⋅⋅+n= , 2 6×(6+1) 故第⑥个图形中三角形的个数为: =21, 2 故选:C. 【点睛】本题考查的是规律性问题,解答规律型问题时,通常是根据简单的例子找出一般化规律,然后根 据规律去求特定的值. 【变式1-3】(2024·江苏·八年级)如图,方格中的点A、B、C、D、E称为“格点”(格线的交点),以 这5个格点中的3点为顶点画三角形,共可以画___________个直角三角形.【答案】3 【分析】根据题意画出所有三角形,然后判断直角三角形即可. 【详解】:一共可以画出9个三角形:△ABE、△ABD、△ACE、△ACD、△BCE、△BCD、△ADE、 △BDE、△CDE, 直角三角形有:△ABE、△EBC、△AED, 故答案为3. 【点睛】本题考查了网格中判断直角三角形,掌握直角三角形的性质是解题的关键. 【考点2 判断能否组成三角形】 【例2】(2024·江苏·涟水县麻垛中学七年级阶段练习)下列各组长度的三条线段能组成三角形的是( ) A.1cm,2cm,3cm B.4cm,4cm,8cm C.4cm,5cm,9cm D.5cm,6cm,9cm 【答案】D 【分析】根据三角形的三边关系逐项判断即可. 【详解】解:A.1+2=3,不满足三角形两边之和大于第三边,故A不能组成三角形,不符合题意; B.4+4=8,不满足三角形三边关系,故B不能组成三角形,不符合题意; C.5+4=9,不满足三角形两边之和大于第三边,故C不能组成三角形,不符合题意; D.5+6>9,满足三角形两边之和大于第三边,故D能组成三角形,符合题意; 故选:D. 【点睛】本题主要考查三角形的三边关系,掌握三角形的两边之和大于第三边、两边之差小于第三边是解 题的关键.【变式2-1】(2024·四川·渠县第二中学七年级阶段练习)下列各组三条线段中,不是三角形三边长的是( ) A.2cm,2cm,3cm B.3cm,8cm,10cm C.三条线段之比为 1:2:3 D.3a,5a,4a(a>0) 【答案】C 【分析】根据构成三角形的条件逐项判断即可.构成三角形的条件:两边之和大于第三边,两边之差小于 第三边,只要验证较小两边长之和是否小于最长边即可. 【详解】解:A.2+2>3,能构成三角形,故此选项不合题意; B.3+8>11,能构成三角形,故此选项不合题意; C.设最小边为a,则剩余两边是2a.3a.a+2a=3a,不能构成三角形,故此选项符合题意; D.因为a>0,所以3a+4a >5a ,能构成直角三角形,故此选项不合题意 故选:C. 【点睛】本题考查构成三角形的条件,解题的关键是计算较小两边之和和是否大于最大边长. 【变式2-2】(2024·湖南·八年级阶段练习)在下列长度的四根木棒中,能与5cm、7cm长的两根木棒钉成 一个三角形的是( ) A.2cm B.8cm C.12cm D.13cm 【答案】B 【分析】根据三角形的三边关系确定第三边的范围,判断即可. 【详解】解:设第三边的长为xcm, 则7-5x+2 x+(x+2)>3x-3 【详解】解:根据题意,可得{ , (x+2)+(3x-3)>x x+(3x-3)+(x+2)≤39 5 x> 3 x<5 ∴{ , 1 x> 3 x≤8 5 ∴