当前位置:首页>文档>猜想02二次函数综合题(6种常见题型专练)(解析版)_初中数学人教版_9上-初中数学人教版_06习题试卷_7期中期末复习专题_2023-2024学年九年级数学上学期期末考点大串讲(人教版)

猜想02二次函数综合题(6种常见题型专练)(解析版)_初中数学人教版_9上-初中数学人教版_06习题试卷_7期中期末复习专题_2023-2024学年九年级数学上学期期末考点大串讲(人教版)

  • 2026-04-01 16:06:38 2026-03-28 10:49:50

文档预览

猜想02二次函数综合题(6种常见题型专练)(解析版)_初中数学人教版_9上-初中数学人教版_06习题试卷_7期中期末复习专题_2023-2024学年九年级数学上学期期末考点大串讲(人教版)
猜想02二次函数综合题(6种常见题型专练)(解析版)_初中数学人教版_9上-初中数学人教版_06习题试卷_7期中期末复习专题_2023-2024学年九年级数学上学期期末考点大串讲(人教版)
猜想02二次函数综合题(6种常见题型专练)(解析版)_初中数学人教版_9上-初中数学人教版_06习题试卷_7期中期末复习专题_2023-2024学年九年级数学上学期期末考点大串讲(人教版)
猜想02二次函数综合题(6种常见题型专练)(解析版)_初中数学人教版_9上-初中数学人教版_06习题试卷_7期中期末复习专题_2023-2024学年九年级数学上学期期末考点大串讲(人教版)
猜想02二次函数综合题(6种常见题型专练)(解析版)_初中数学人教版_9上-初中数学人教版_06习题试卷_7期中期末复习专题_2023-2024学年九年级数学上学期期末考点大串讲(人教版)
猜想02二次函数综合题(6种常见题型专练)(解析版)_初中数学人教版_9上-初中数学人教版_06习题试卷_7期中期末复习专题_2023-2024学年九年级数学上学期期末考点大串讲(人教版)
猜想02二次函数综合题(6种常见题型专练)(解析版)_初中数学人教版_9上-初中数学人教版_06习题试卷_7期中期末复习专题_2023-2024学年九年级数学上学期期末考点大串讲(人教版)
猜想02二次函数综合题(6种常见题型专练)(解析版)_初中数学人教版_9上-初中数学人教版_06习题试卷_7期中期末复习专题_2023-2024学年九年级数学上学期期末考点大串讲(人教版)
猜想02二次函数综合题(6种常见题型专练)(解析版)_初中数学人教版_9上-初中数学人教版_06习题试卷_7期中期末复习专题_2023-2024学年九年级数学上学期期末考点大串讲(人教版)
猜想02二次函数综合题(6种常见题型专练)(解析版)_初中数学人教版_9上-初中数学人教版_06习题试卷_7期中期末复习专题_2023-2024学年九年级数学上学期期末考点大串讲(人教版)
猜想02二次函数综合题(6种常见题型专练)(解析版)_初中数学人教版_9上-初中数学人教版_06习题试卷_7期中期末复习专题_2023-2024学年九年级数学上学期期末考点大串讲(人教版)
猜想02二次函数综合题(6种常见题型专练)(解析版)_初中数学人教版_9上-初中数学人教版_06习题试卷_7期中期末复习专题_2023-2024学年九年级数学上学期期末考点大串讲(人教版)
猜想02二次函数综合题(6种常见题型专练)(解析版)_初中数学人教版_9上-初中数学人教版_06习题试卷_7期中期末复习专题_2023-2024学年九年级数学上学期期末考点大串讲(人教版)
猜想02二次函数综合题(6种常见题型专练)(解析版)_初中数学人教版_9上-初中数学人教版_06习题试卷_7期中期末复习专题_2023-2024学年九年级数学上学期期末考点大串讲(人教版)
猜想02二次函数综合题(6种常见题型专练)(解析版)_初中数学人教版_9上-初中数学人教版_06习题试卷_7期中期末复习专题_2023-2024学年九年级数学上学期期末考点大串讲(人教版)
猜想02二次函数综合题(6种常见题型专练)(解析版)_初中数学人教版_9上-初中数学人教版_06习题试卷_7期中期末复习专题_2023-2024学年九年级数学上学期期末考点大串讲(人教版)
猜想02二次函数综合题(6种常见题型专练)(解析版)_初中数学人教版_9上-初中数学人教版_06习题试卷_7期中期末复习专题_2023-2024学年九年级数学上学期期末考点大串讲(人教版)
猜想02二次函数综合题(6种常见题型专练)(解析版)_初中数学人教版_9上-初中数学人教版_06习题试卷_7期中期末复习专题_2023-2024学年九年级数学上学期期末考点大串讲(人教版)
猜想02二次函数综合题(6种常见题型专练)(解析版)_初中数学人教版_9上-初中数学人教版_06习题试卷_7期中期末复习专题_2023-2024学年九年级数学上学期期末考点大串讲(人教版)
猜想02二次函数综合题(6种常见题型专练)(解析版)_初中数学人教版_9上-初中数学人教版_06习题试卷_7期中期末复习专题_2023-2024学年九年级数学上学期期末考点大串讲(人教版)
猜想02二次函数综合题(6种常见题型专练)(解析版)_初中数学人教版_9上-初中数学人教版_06习题试卷_7期中期末复习专题_2023-2024学年九年级数学上学期期末考点大串讲(人教版)
猜想02二次函数综合题(6种常见题型专练)(解析版)_初中数学人教版_9上-初中数学人教版_06习题试卷_7期中期末复习专题_2023-2024学年九年级数学上学期期末考点大串讲(人教版)
猜想02二次函数综合题(6种常见题型专练)(解析版)_初中数学人教版_9上-初中数学人教版_06习题试卷_7期中期末复习专题_2023-2024学年九年级数学上学期期末考点大串讲(人教版)
猜想02二次函数综合题(6种常见题型专练)(解析版)_初中数学人教版_9上-初中数学人教版_06习题试卷_7期中期末复习专题_2023-2024学年九年级数学上学期期末考点大串讲(人教版)
猜想02二次函数综合题(6种常见题型专练)(解析版)_初中数学人教版_9上-初中数学人教版_06习题试卷_7期中期末复习专题_2023-2024学年九年级数学上学期期末考点大串讲(人教版)
猜想02二次函数综合题(6种常见题型专练)(解析版)_初中数学人教版_9上-初中数学人教版_06习题试卷_7期中期末复习专题_2023-2024学年九年级数学上学期期末考点大串讲(人教版)
猜想02二次函数综合题(6种常见题型专练)(解析版)_初中数学人教版_9上-初中数学人教版_06习题试卷_7期中期末复习专题_2023-2024学年九年级数学上学期期末考点大串讲(人教版)
猜想02二次函数综合题(6种常见题型专练)(解析版)_初中数学人教版_9上-初中数学人教版_06习题试卷_7期中期末复习专题_2023-2024学年九年级数学上学期期末考点大串讲(人教版)
猜想02二次函数综合题(6种常见题型专练)(解析版)_初中数学人教版_9上-初中数学人教版_06习题试卷_7期中期末复习专题_2023-2024学年九年级数学上学期期末考点大串讲(人教版)
猜想02二次函数综合题(6种常见题型专练)(解析版)_初中数学人教版_9上-初中数学人教版_06习题试卷_7期中期末复习专题_2023-2024学年九年级数学上学期期末考点大串讲(人教版)
猜想02二次函数综合题(6种常见题型专练)(解析版)_初中数学人教版_9上-初中数学人教版_06习题试卷_7期中期末复习专题_2023-2024学年九年级数学上学期期末考点大串讲(人教版)
猜想02二次函数综合题(6种常见题型专练)(解析版)_初中数学人教版_9上-初中数学人教版_06习题试卷_7期中期末复习专题_2023-2024学年九年级数学上学期期末考点大串讲(人教版)
猜想02二次函数综合题(6种常见题型专练)(解析版)_初中数学人教版_9上-初中数学人教版_06习题试卷_7期中期末复习专题_2023-2024学年九年级数学上学期期末考点大串讲(人教版)
猜想02二次函数综合题(6种常见题型专练)(解析版)_初中数学人教版_9上-初中数学人教版_06习题试卷_7期中期末复习专题_2023-2024学年九年级数学上学期期末考点大串讲(人教版)
猜想02二次函数综合题(6种常见题型专练)(解析版)_初中数学人教版_9上-初中数学人教版_06习题试卷_7期中期末复习专题_2023-2024学年九年级数学上学期期末考点大串讲(人教版)
猜想02二次函数综合题(6种常见题型专练)(解析版)_初中数学人教版_9上-初中数学人教版_06习题试卷_7期中期末复习专题_2023-2024学年九年级数学上学期期末考点大串讲(人教版)
猜想02二次函数综合题(6种常见题型专练)(解析版)_初中数学人教版_9上-初中数学人教版_06习题试卷_7期中期末复习专题_2023-2024学年九年级数学上学期期末考点大串讲(人教版)
猜想02二次函数综合题(6种常见题型专练)(解析版)_初中数学人教版_9上-初中数学人教版_06习题试卷_7期中期末复习专题_2023-2024学年九年级数学上学期期末考点大串讲(人教版)
猜想02二次函数综合题(6种常见题型专练)(解析版)_初中数学人教版_9上-初中数学人教版_06习题试卷_7期中期末复习专题_2023-2024学年九年级数学上学期期末考点大串讲(人教版)
猜想02二次函数综合题(6种常见题型专练)(解析版)_初中数学人教版_9上-初中数学人教版_06习题试卷_7期中期末复习专题_2023-2024学年九年级数学上学期期末考点大串讲(人教版)
猜想02二次函数综合题(6种常见题型专练)(解析版)_初中数学人教版_9上-初中数学人教版_06习题试卷_7期中期末复习专题_2023-2024学年九年级数学上学期期末考点大串讲(人教版)
猜想02二次函数综合题(6种常见题型专练)(解析版)_初中数学人教版_9上-初中数学人教版_06习题试卷_7期中期末复习专题_2023-2024学年九年级数学上学期期末考点大串讲(人教版)
猜想02二次函数综合题(6种常见题型专练)(解析版)_初中数学人教版_9上-初中数学人教版_06习题试卷_7期中期末复习专题_2023-2024学年九年级数学上学期期末考点大串讲(人教版)
猜想02二次函数综合题(6种常见题型专练)(解析版)_初中数学人教版_9上-初中数学人教版_06习题试卷_7期中期末复习专题_2023-2024学年九年级数学上学期期末考点大串讲(人教版)
猜想02二次函数综合题(6种常见题型专练)(解析版)_初中数学人教版_9上-初中数学人教版_06习题试卷_7期中期末复习专题_2023-2024学年九年级数学上学期期末考点大串讲(人教版)
猜想02二次函数综合题(6种常见题型专练)(解析版)_初中数学人教版_9上-初中数学人教版_06习题试卷_7期中期末复习专题_2023-2024学年九年级数学上学期期末考点大串讲(人教版)
猜想02二次函数综合题(6种常见题型专练)(解析版)_初中数学人教版_9上-初中数学人教版_06习题试卷_7期中期末复习专题_2023-2024学年九年级数学上学期期末考点大串讲(人教版)
猜想02二次函数综合题(6种常见题型专练)(解析版)_初中数学人教版_9上-初中数学人教版_06习题试卷_7期中期末复习专题_2023-2024学年九年级数学上学期期末考点大串讲(人教版)
猜想02二次函数综合题(6种常见题型专练)(解析版)_初中数学人教版_9上-初中数学人教版_06习题试卷_7期中期末复习专题_2023-2024学年九年级数学上学期期末考点大串讲(人教版)
猜想02二次函数综合题(6种常见题型专练)(解析版)_初中数学人教版_9上-初中数学人教版_06习题试卷_7期中期末复习专题_2023-2024学年九年级数学上学期期末考点大串讲(人教版)
猜想02二次函数综合题(6种常见题型专练)(解析版)_初中数学人教版_9上-初中数学人教版_06习题试卷_7期中期末复习专题_2023-2024学年九年级数学上学期期末考点大串讲(人教版)
猜想02二次函数综合题(6种常见题型专练)(解析版)_初中数学人教版_9上-初中数学人教版_06习题试卷_7期中期末复习专题_2023-2024学年九年级数学上学期期末考点大串讲(人教版)
猜想02二次函数综合题(6种常见题型专练)(解析版)_初中数学人教版_9上-初中数学人教版_06习题试卷_7期中期末复习专题_2023-2024学年九年级数学上学期期末考点大串讲(人教版)
猜想02二次函数综合题(6种常见题型专练)(解析版)_初中数学人教版_9上-初中数学人教版_06习题试卷_7期中期末复习专题_2023-2024学年九年级数学上学期期末考点大串讲(人教版)
猜想02二次函数综合题(6种常见题型专练)(解析版)_初中数学人教版_9上-初中数学人教版_06习题试卷_7期中期末复习专题_2023-2024学年九年级数学上学期期末考点大串讲(人教版)
猜想02二次函数综合题(6种常见题型专练)(解析版)_初中数学人教版_9上-初中数学人教版_06习题试卷_7期中期末复习专题_2023-2024学年九年级数学上学期期末考点大串讲(人教版)
猜想02二次函数综合题(6种常见题型专练)(解析版)_初中数学人教版_9上-初中数学人教版_06习题试卷_7期中期末复习专题_2023-2024学年九年级数学上学期期末考点大串讲(人教版)
猜想02二次函数综合题(6种常见题型专练)(解析版)_初中数学人教版_9上-初中数学人教版_06习题试卷_7期中期末复习专题_2023-2024学年九年级数学上学期期末考点大串讲(人教版)
猜想02二次函数综合题(6种常见题型专练)(解析版)_初中数学人教版_9上-初中数学人教版_06习题试卷_7期中期末复习专题_2023-2024学年九年级数学上学期期末考点大串讲(人教版)
猜想02二次函数综合题(6种常见题型专练)(解析版)_初中数学人教版_9上-初中数学人教版_06习题试卷_7期中期末复习专题_2023-2024学年九年级数学上学期期末考点大串讲(人教版)
猜想02二次函数综合题(6种常见题型专练)(解析版)_初中数学人教版_9上-初中数学人教版_06习题试卷_7期中期末复习专题_2023-2024学年九年级数学上学期期末考点大串讲(人教版)
猜想02二次函数综合题(6种常见题型专练)(解析版)_初中数学人教版_9上-初中数学人教版_06习题试卷_7期中期末复习专题_2023-2024学年九年级数学上学期期末考点大串讲(人教版)
猜想02二次函数综合题(6种常见题型专练)(解析版)_初中数学人教版_9上-初中数学人教版_06习题试卷_7期中期末复习专题_2023-2024学年九年级数学上学期期末考点大串讲(人教版)
猜想02二次函数综合题(6种常见题型专练)(解析版)_初中数学人教版_9上-初中数学人教版_06习题试卷_7期中期末复习专题_2023-2024学年九年级数学上学期期末考点大串讲(人教版)
猜想02二次函数综合题(6种常见题型专练)(解析版)_初中数学人教版_9上-初中数学人教版_06习题试卷_7期中期末复习专题_2023-2024学年九年级数学上学期期末考点大串讲(人教版)
猜想02二次函数综合题(6种常见题型专练)(解析版)_初中数学人教版_9上-初中数学人教版_06习题试卷_7期中期末复习专题_2023-2024学年九年级数学上学期期末考点大串讲(人教版)
猜想02二次函数综合题(6种常见题型专练)(解析版)_初中数学人教版_9上-初中数学人教版_06习题试卷_7期中期末复习专题_2023-2024学年九年级数学上学期期末考点大串讲(人教版)
猜想02二次函数综合题(6种常见题型专练)(解析版)_初中数学人教版_9上-初中数学人教版_06习题试卷_7期中期末复习专题_2023-2024学年九年级数学上学期期末考点大串讲(人教版)
猜想02二次函数综合题(6种常见题型专练)(解析版)_初中数学人教版_9上-初中数学人教版_06习题试卷_7期中期末复习专题_2023-2024学年九年级数学上学期期末考点大串讲(人教版)
猜想02二次函数综合题(6种常见题型专练)(解析版)_初中数学人教版_9上-初中数学人教版_06习题试卷_7期中期末复习专题_2023-2024学年九年级数学上学期期末考点大串讲(人教版)
猜想02二次函数综合题(6种常见题型专练)(解析版)_初中数学人教版_9上-初中数学人教版_06习题试卷_7期中期末复习专题_2023-2024学年九年级数学上学期期末考点大串讲(人教版)
猜想02二次函数综合题(6种常见题型专练)(解析版)_初中数学人教版_9上-初中数学人教版_06习题试卷_7期中期末复习专题_2023-2024学年九年级数学上学期期末考点大串讲(人教版)
猜想02二次函数综合题(6种常见题型专练)(解析版)_初中数学人教版_9上-初中数学人教版_06习题试卷_7期中期末复习专题_2023-2024学年九年级数学上学期期末考点大串讲(人教版)
猜想02二次函数综合题(6种常见题型专练)(解析版)_初中数学人教版_9上-初中数学人教版_06习题试卷_7期中期末复习专题_2023-2024学年九年级数学上学期期末考点大串讲(人教版)
猜想02二次函数综合题(6种常见题型专练)(解析版)_初中数学人教版_9上-初中数学人教版_06习题试卷_7期中期末复习专题_2023-2024学年九年级数学上学期期末考点大串讲(人教版)
猜想02二次函数综合题(6种常见题型专练)(解析版)_初中数学人教版_9上-初中数学人教版_06习题试卷_7期中期末复习专题_2023-2024学年九年级数学上学期期末考点大串讲(人教版)
猜想02二次函数综合题(6种常见题型专练)(解析版)_初中数学人教版_9上-初中数学人教版_06习题试卷_7期中期末复习专题_2023-2024学年九年级数学上学期期末考点大串讲(人教版)
猜想02二次函数综合题(6种常见题型专练)(解析版)_初中数学人教版_9上-初中数学人教版_06习题试卷_7期中期末复习专题_2023-2024学年九年级数学上学期期末考点大串讲(人教版)
猜想02二次函数综合题(6种常见题型专练)(解析版)_初中数学人教版_9上-初中数学人教版_06习题试卷_7期中期末复习专题_2023-2024学年九年级数学上学期期末考点大串讲(人教版)
猜想02二次函数综合题(6种常见题型专练)(解析版)_初中数学人教版_9上-初中数学人教版_06习题试卷_7期中期末复习专题_2023-2024学年九年级数学上学期期末考点大串讲(人教版)
猜想02二次函数综合题(6种常见题型专练)(解析版)_初中数学人教版_9上-初中数学人教版_06习题试卷_7期中期末复习专题_2023-2024学年九年级数学上学期期末考点大串讲(人教版)
猜想02二次函数综合题(6种常见题型专练)(解析版)_初中数学人教版_9上-初中数学人教版_06习题试卷_7期中期末复习专题_2023-2024学年九年级数学上学期期末考点大串讲(人教版)
猜想02二次函数综合题(6种常见题型专练)(解析版)_初中数学人教版_9上-初中数学人教版_06习题试卷_7期中期末复习专题_2023-2024学年九年级数学上学期期末考点大串讲(人教版)
猜想02二次函数综合题(6种常见题型专练)(解析版)_初中数学人教版_9上-初中数学人教版_06习题试卷_7期中期末复习专题_2023-2024学年九年级数学上学期期末考点大串讲(人教版)
猜想02二次函数综合题(6种常见题型专练)(解析版)_初中数学人教版_9上-初中数学人教版_06习题试卷_7期中期末复习专题_2023-2024学年九年级数学上学期期末考点大串讲(人教版)
猜想02二次函数综合题(6种常见题型专练)(解析版)_初中数学人教版_9上-初中数学人教版_06习题试卷_7期中期末复习专题_2023-2024学年九年级数学上学期期末考点大串讲(人教版)
猜想02二次函数综合题(6种常见题型专练)(解析版)_初中数学人教版_9上-初中数学人教版_06习题试卷_7期中期末复习专题_2023-2024学年九年级数学上学期期末考点大串讲(人教版)
猜想02二次函数综合题(6种常见题型专练)(解析版)_初中数学人教版_9上-初中数学人教版_06习题试卷_7期中期末复习专题_2023-2024学年九年级数学上学期期末考点大串讲(人教版)
猜想02二次函数综合题(6种常见题型专练)(解析版)_初中数学人教版_9上-初中数学人教版_06习题试卷_7期中期末复习专题_2023-2024学年九年级数学上学期期末考点大串讲(人教版)
猜想02二次函数综合题(6种常见题型专练)(解析版)_初中数学人教版_9上-初中数学人教版_06习题试卷_7期中期末复习专题_2023-2024学年九年级数学上学期期末考点大串讲(人教版)
猜想02二次函数综合题(6种常见题型专练)(解析版)_初中数学人教版_9上-初中数学人教版_06习题试卷_7期中期末复习专题_2023-2024学年九年级数学上学期期末考点大串讲(人教版)
猜想02二次函数综合题(6种常见题型专练)(解析版)_初中数学人教版_9上-初中数学人教版_06习题试卷_7期中期末复习专题_2023-2024学年九年级数学上学期期末考点大串讲(人教版)
猜想02二次函数综合题(6种常见题型专练)(解析版)_初中数学人教版_9上-初中数学人教版_06习题试卷_7期中期末复习专题_2023-2024学年九年级数学上学期期末考点大串讲(人教版)
猜想02二次函数综合题(6种常见题型专练)(解析版)_初中数学人教版_9上-初中数学人教版_06习题试卷_7期中期末复习专题_2023-2024学年九年级数学上学期期末考点大串讲(人教版)
猜想02二次函数综合题(6种常见题型专练)(解析版)_初中数学人教版_9上-初中数学人教版_06习题试卷_7期中期末复习专题_2023-2024学年九年级数学上学期期末考点大串讲(人教版)
猜想02二次函数综合题(6种常见题型专练)(解析版)_初中数学人教版_9上-初中数学人教版_06习题试卷_7期中期末复习专题_2023-2024学年九年级数学上学期期末考点大串讲(人教版)
猜想02二次函数综合题(6种常见题型专练)(解析版)_初中数学人教版_9上-初中数学人教版_06习题试卷_7期中期末复习专题_2023-2024学年九年级数学上学期期末考点大串讲(人教版)
猜想02二次函数综合题(6种常见题型专练)(解析版)_初中数学人教版_9上-初中数学人教版_06习题试卷_7期中期末复习专题_2023-2024学年九年级数学上学期期末考点大串讲(人教版)
猜想02二次函数综合题(6种常见题型专练)(解析版)_初中数学人教版_9上-初中数学人教版_06习题试卷_7期中期末复习专题_2023-2024学年九年级数学上学期期末考点大串讲(人教版)
猜想02二次函数综合题(6种常见题型专练)(解析版)_初中数学人教版_9上-初中数学人教版_06习题试卷_7期中期末复习专题_2023-2024学年九年级数学上学期期末考点大串讲(人教版)
猜想02二次函数综合题(6种常见题型专练)(解析版)_初中数学人教版_9上-初中数学人教版_06习题试卷_7期中期末复习专题_2023-2024学年九年级数学上学期期末考点大串讲(人教版)
猜想02二次函数综合题(6种常见题型专练)(解析版)_初中数学人教版_9上-初中数学人教版_06习题试卷_7期中期末复习专题_2023-2024学年九年级数学上学期期末考点大串讲(人教版)
猜想02二次函数综合题(6种常见题型专练)(解析版)_初中数学人教版_9上-初中数学人教版_06习题试卷_7期中期末复习专题_2023-2024学年九年级数学上学期期末考点大串讲(人教版)
猜想02二次函数综合题(6种常见题型专练)(解析版)_初中数学人教版_9上-初中数学人教版_06习题试卷_7期中期末复习专题_2023-2024学年九年级数学上学期期末考点大串讲(人教版)
猜想02二次函数综合题(6种常见题型专练)(解析版)_初中数学人教版_9上-初中数学人教版_06习题试卷_7期中期末复习专题_2023-2024学年九年级数学上学期期末考点大串讲(人教版)
猜想02二次函数综合题(6种常见题型专练)(解析版)_初中数学人教版_9上-初中数学人教版_06习题试卷_7期中期末复习专题_2023-2024学年九年级数学上学期期末考点大串讲(人教版)
猜想02二次函数综合题(6种常见题型专练)(解析版)_初中数学人教版_9上-初中数学人教版_06习题试卷_7期中期末复习专题_2023-2024学年九年级数学上学期期末考点大串讲(人教版)
猜想02二次函数综合题(6种常见题型专练)(解析版)_初中数学人教版_9上-初中数学人教版_06习题试卷_7期中期末复习专题_2023-2024学年九年级数学上学期期末考点大串讲(人教版)
猜想02二次函数综合题(6种常见题型专练)(解析版)_初中数学人教版_9上-初中数学人教版_06习题试卷_7期中期末复习专题_2023-2024学年九年级数学上学期期末考点大串讲(人教版)
猜想02二次函数综合题(6种常见题型专练)(解析版)_初中数学人教版_9上-初中数学人教版_06习题试卷_7期中期末复习专题_2023-2024学年九年级数学上学期期末考点大串讲(人教版)
猜想02二次函数综合题(6种常见题型专练)(解析版)_初中数学人教版_9上-初中数学人教版_06习题试卷_7期中期末复习专题_2023-2024学年九年级数学上学期期末考点大串讲(人教版)
猜想02二次函数综合题(6种常见题型专练)(解析版)_初中数学人教版_9上-初中数学人教版_06习题试卷_7期中期末复习专题_2023-2024学年九年级数学上学期期末考点大串讲(人教版)
猜想02二次函数综合题(6种常见题型专练)(解析版)_初中数学人教版_9上-初中数学人教版_06习题试卷_7期中期末复习专题_2023-2024学年九年级数学上学期期末考点大串讲(人教版)
猜想02二次函数综合题(6种常见题型专练)(解析版)_初中数学人教版_9上-初中数学人教版_06习题试卷_7期中期末复习专题_2023-2024学年九年级数学上学期期末考点大串讲(人教版)
猜想02二次函数综合题(6种常见题型专练)(解析版)_初中数学人教版_9上-初中数学人教版_06习题试卷_7期中期末复习专题_2023-2024学年九年级数学上学期期末考点大串讲(人教版)
猜想02二次函数综合题(6种常见题型专练)(解析版)_初中数学人教版_9上-初中数学人教版_06习题试卷_7期中期末复习专题_2023-2024学年九年级数学上学期期末考点大串讲(人教版)
猜想02二次函数综合题(6种常见题型专练)(解析版)_初中数学人教版_9上-初中数学人教版_06习题试卷_7期中期末复习专题_2023-2024学年九年级数学上学期期末考点大串讲(人教版)
猜想02二次函数综合题(6种常见题型专练)(解析版)_初中数学人教版_9上-初中数学人教版_06习题试卷_7期中期末复习专题_2023-2024学年九年级数学上学期期末考点大串讲(人教版)
猜想02二次函数综合题(6种常见题型专练)(解析版)_初中数学人教版_9上-初中数学人教版_06习题试卷_7期中期末复习专题_2023-2024学年九年级数学上学期期末考点大串讲(人教版)
猜想02二次函数综合题(6种常见题型专练)(解析版)_初中数学人教版_9上-初中数学人教版_06习题试卷_7期中期末复习专题_2023-2024学年九年级数学上学期期末考点大串讲(人教版)
猜想02二次函数综合题(6种常见题型专练)(解析版)_初中数学人教版_9上-初中数学人教版_06习题试卷_7期中期末复习专题_2023-2024学年九年级数学上学期期末考点大串讲(人教版)
猜想02二次函数综合题(6种常见题型专练)(解析版)_初中数学人教版_9上-初中数学人教版_06习题试卷_7期中期末复习专题_2023-2024学年九年级数学上学期期末考点大串讲(人教版)
猜想02二次函数综合题(6种常见题型专练)(解析版)_初中数学人教版_9上-初中数学人教版_06习题试卷_7期中期末复习专题_2023-2024学年九年级数学上学期期末考点大串讲(人教版)
猜想02二次函数综合题(6种常见题型专练)(解析版)_初中数学人教版_9上-初中数学人教版_06习题试卷_7期中期末复习专题_2023-2024学年九年级数学上学期期末考点大串讲(人教版)
猜想02二次函数综合题(6种常见题型专练)(解析版)_初中数学人教版_9上-初中数学人教版_06习题试卷_7期中期末复习专题_2023-2024学年九年级数学上学期期末考点大串讲(人教版)
猜想02二次函数综合题(6种常见题型专练)(解析版)_初中数学人教版_9上-初中数学人教版_06习题试卷_7期中期末复习专题_2023-2024学年九年级数学上学期期末考点大串讲(人教版)
猜想02二次函数综合题(6种常见题型专练)(解析版)_初中数学人教版_9上-初中数学人教版_06习题试卷_7期中期末复习专题_2023-2024学年九年级数学上学期期末考点大串讲(人教版)
猜想02二次函数综合题(6种常见题型专练)(解析版)_初中数学人教版_9上-初中数学人教版_06习题试卷_7期中期末复习专题_2023-2024学年九年级数学上学期期末考点大串讲(人教版)
猜想02二次函数综合题(6种常见题型专练)(解析版)_初中数学人教版_9上-初中数学人教版_06习题试卷_7期中期末复习专题_2023-2024学年九年级数学上学期期末考点大串讲(人教版)
猜想02二次函数综合题(6种常见题型专练)(解析版)_初中数学人教版_9上-初中数学人教版_06习题试卷_7期中期末复习专题_2023-2024学年九年级数学上学期期末考点大串讲(人教版)
猜想02二次函数综合题(6种常见题型专练)(解析版)_初中数学人教版_9上-初中数学人教版_06习题试卷_7期中期末复习专题_2023-2024学年九年级数学上学期期末考点大串讲(人教版)
猜想02二次函数综合题(6种常见题型专练)(解析版)_初中数学人教版_9上-初中数学人教版_06习题试卷_7期中期末复习专题_2023-2024学年九年级数学上学期期末考点大串讲(人教版)
猜想02二次函数综合题(6种常见题型专练)(解析版)_初中数学人教版_9上-初中数学人教版_06习题试卷_7期中期末复习专题_2023-2024学年九年级数学上学期期末考点大串讲(人教版)
猜想02二次函数综合题(6种常见题型专练)(解析版)_初中数学人教版_9上-初中数学人教版_06习题试卷_7期中期末复习专题_2023-2024学年九年级数学上学期期末考点大串讲(人教版)
猜想02二次函数综合题(6种常见题型专练)(解析版)_初中数学人教版_9上-初中数学人教版_06习题试卷_7期中期末复习专题_2023-2024学年九年级数学上学期期末考点大串讲(人教版)
猜想02二次函数综合题(6种常见题型专练)(解析版)_初中数学人教版_9上-初中数学人教版_06习题试卷_7期中期末复习专题_2023-2024学年九年级数学上学期期末考点大串讲(人教版)
猜想02二次函数综合题(6种常见题型专练)(解析版)_初中数学人教版_9上-初中数学人教版_06习题试卷_7期中期末复习专题_2023-2024学年九年级数学上学期期末考点大串讲(人教版)
猜想02二次函数综合题(6种常见题型专练)(解析版)_初中数学人教版_9上-初中数学人教版_06习题试卷_7期中期末复习专题_2023-2024学年九年级数学上学期期末考点大串讲(人教版)
猜想02二次函数综合题(6种常见题型专练)(解析版)_初中数学人教版_9上-初中数学人教版_06习题试卷_7期中期末复习专题_2023-2024学年九年级数学上学期期末考点大串讲(人教版)
猜想02二次函数综合题(6种常见题型专练)(解析版)_初中数学人教版_9上-初中数学人教版_06习题试卷_7期中期末复习专题_2023-2024学年九年级数学上学期期末考点大串讲(人教版)
猜想02二次函数综合题(6种常见题型专练)(解析版)_初中数学人教版_9上-初中数学人教版_06习题试卷_7期中期末复习专题_2023-2024学年九年级数学上学期期末考点大串讲(人教版)
猜想02二次函数综合题(6种常见题型专练)(解析版)_初中数学人教版_9上-初中数学人教版_06习题试卷_7期中期末复习专题_2023-2024学年九年级数学上学期期末考点大串讲(人教版)
猜想02二次函数综合题(6种常见题型专练)(解析版)_初中数学人教版_9上-初中数学人教版_06习题试卷_7期中期末复习专题_2023-2024学年九年级数学上学期期末考点大串讲(人教版)
猜想02二次函数综合题(6种常见题型专练)(解析版)_初中数学人教版_9上-初中数学人教版_06习题试卷_7期中期末复习专题_2023-2024学年九年级数学上学期期末考点大串讲(人教版)
猜想02二次函数综合题(6种常见题型专练)(解析版)_初中数学人教版_9上-初中数学人教版_06习题试卷_7期中期末复习专题_2023-2024学年九年级数学上学期期末考点大串讲(人教版)
猜想02二次函数综合题(6种常见题型专练)(解析版)_初中数学人教版_9上-初中数学人教版_06习题试卷_7期中期末复习专题_2023-2024学年九年级数学上学期期末考点大串讲(人教版)
猜想02二次函数综合题(6种常见题型专练)(解析版)_初中数学人教版_9上-初中数学人教版_06习题试卷_7期中期末复习专题_2023-2024学年九年级数学上学期期末考点大串讲(人教版)
猜想02二次函数综合题(6种常见题型专练)(解析版)_初中数学人教版_9上-初中数学人教版_06习题试卷_7期中期末复习专题_2023-2024学年九年级数学上学期期末考点大串讲(人教版)
猜想02二次函数综合题(6种常见题型专练)(解析版)_初中数学人教版_9上-初中数学人教版_06习题试卷_7期中期末复习专题_2023-2024学年九年级数学上学期期末考点大串讲(人教版)
猜想02二次函数综合题(6种常见题型专练)(解析版)_初中数学人教版_9上-初中数学人教版_06习题试卷_7期中期末复习专题_2023-2024学年九年级数学上学期期末考点大串讲(人教版)
猜想02二次函数综合题(6种常见题型专练)(解析版)_初中数学人教版_9上-初中数学人教版_06习题试卷_7期中期末复习专题_2023-2024学年九年级数学上学期期末考点大串讲(人教版)
猜想02二次函数综合题(6种常见题型专练)(解析版)_初中数学人教版_9上-初中数学人教版_06习题试卷_7期中期末复习专题_2023-2024学年九年级数学上学期期末考点大串讲(人教版)
猜想02二次函数综合题(6种常见题型专练)(解析版)_初中数学人教版_9上-初中数学人教版_06习题试卷_7期中期末复习专题_2023-2024学年九年级数学上学期期末考点大串讲(人教版)
猜想02二次函数综合题(6种常见题型专练)(解析版)_初中数学人教版_9上-初中数学人教版_06习题试卷_7期中期末复习专题_2023-2024学年九年级数学上学期期末考点大串讲(人教版)
猜想02二次函数综合题(6种常见题型专练)(解析版)_初中数学人教版_9上-初中数学人教版_06习题试卷_7期中期末复习专题_2023-2024学年九年级数学上学期期末考点大串讲(人教版)
猜想02二次函数综合题(6种常见题型专练)(解析版)_初中数学人教版_9上-初中数学人教版_06习题试卷_7期中期末复习专题_2023-2024学年九年级数学上学期期末考点大串讲(人教版)
猜想02二次函数综合题(6种常见题型专练)(解析版)_初中数学人教版_9上-初中数学人教版_06习题试卷_7期中期末复习专题_2023-2024学年九年级数学上学期期末考点大串讲(人教版)
猜想02二次函数综合题(6种常见题型专练)(解析版)_初中数学人教版_9上-初中数学人教版_06习题试卷_7期中期末复习专题_2023-2024学年九年级数学上学期期末考点大串讲(人教版)

文档信息

文档格式
docx
文档大小
8.148 MB
文档页数
154 页
上传时间
2026-03-28 10:49:50

文档内容

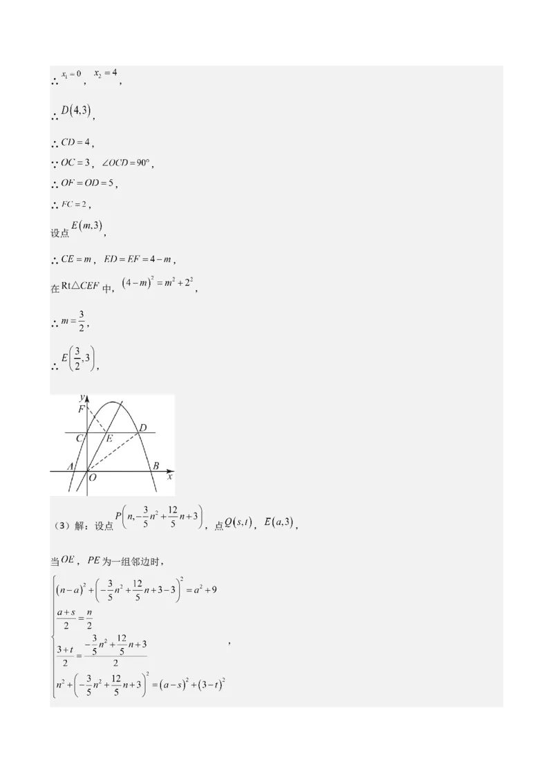
猜想 02 二次函数综合题(6 种常见题型专练) 题型一:线段周长问题 题型二:面积问题 题型三:角度问题 题型四:特殊三角形问题 题型五:特殊四边形问题 题型六:相似三角形问题 题型一:线段周长问题 1.(2023上·山西晋城·九年级校考期末)如图1,抛物线 与x轴交于 , 两点, 与y轴交于点C,顶点为D.点P是直线 上方抛物线上的一个动点,过点P作 轴于点E,交直线 于点Q. (1)求抛物线的表达式; (2)求线段 的最大值; (3)如图2,过点P作x轴的平行线交y轴于点M,连接 .是否存在点P,使得 为等腰三角形?若 存在,请直接写出点P的横坐标;若不存在,请说明理由. 【答案】(1) (2)3 (3)存在一点P,当点P的横坐标为 时, 为等腰三角形 【分析】(1)利用待定系数法求解即可;(2)先求出点C的坐标,进而求出直线 的解析式,设 ,则 ,则 ,由此即可求出答案; (3)先证明 ,则当 为等腰三角形,只存在 这一种情况,设 ,则 ,则 ,解方程即可. 【详解】(1)解:把 , 代入 中得: , ∴ , ∴抛物线解析式为 ; (2)解:设直线 的解析式为 , 在 中,当 时, , ∴ , 把 , 代入 中得 , ∴ , ∴直线 的解析式为 , 设 ,则 , ∴, ∵ , ∴当 时, 有最大值,最大值为 ; (3)解:∵ 轴, 轴, ∴ , ∴当 为等腰三角形,只存在 这一种情况, 设 ,则 , 同理可得 , 又∵ , ∴ , 解得 或 , ∴存在一点P,当点P的横坐标为 时, 为等腰三角形. 【点睛】本题主要考查了二次函数综合,一次函数与几何综合,待定系数法求函数解析式,等腰三角形的 定义等等,熟知二次函数的相关知识是解题的关键. 2.(2023上·河北张家口·九年级张家口东方中学校考期末)如图,在平面直角坐标系中,抛物线 与x轴交于A,B两点,与y轴交于点C, , ,点P是直线 下方抛物线 上的一个动点.过点P作 轴,交直线 于点E.(1)求抛物线的解析式; (2)若点M是抛物线对称轴上的一个动点,则 的最小值是________; (3)求 的最大值; 【答案】(1) (2) (3) 【分析】(1)利用待定系数法求出抛物线的解析式即可; (2)先求出点C的坐标为 ,根据 、B关于抛物线的对称轴对称,点M在抛物线的对称轴上,得出 ,根据 ,两点之间线段最短,当点A、M、C在同一直线上时, 最小,即 最小,求出最小值即可; (3)求出直线 的解析式为 ,设 ,其中 ,则 ,求 出 ,得出当 时, 取得最大值 . 【详解】(1)解:∵ , , ∴ , , ∴ , , 将点A, 的坐标代入 ,得, 解得: , ∴ . (2)解:把 代入 得: , ∴点C的坐标为 , ∵ 、B关于抛物线的对称轴对称,点M在抛物线的对称轴上, ∴ , ∴ , ∵两点之间线段最短, ∴当点A、M、C在同一直线上时, 最小,即 最小, ∴ 的最小值为 的长, ∵ , ∴ 的最小值为 . 故答案为: . (3)解:设直线 的解析式为 , 将点A, 的坐标代入,得:, 解得: , ∴直线 的解析式为 , 设 ,其中 , 则 , ∴ , ∴当 时, 取得最大值 , 即 的最大值为 . 【点睛】本题主要考查了二次函数的综合应用,求二次函数解析式,求一次函数解析式,轴对称的性质, 解题的关键是数形结合,熟练掌握二次函数的性质. 3.(2023上·湖北随州·九年级统考期末)已知抛物线 与 轴交于点 , (点 在点 的左 边),与 轴交于点 ,顶点为 . (1)直接写出点 , , 的坐标; (2)如图1,若平行于 轴的直线 与抛物线交于点 , (点 在点 的左边),与线段 交于点 . 设点 的横坐标为 ,线段 的长为 ,试求 关于 的函数关系式(不要求写出自变量的取值范围), 并求 的最大值;(3)如图2,若点 是在 轴右侧抛物线上的一动点,过点 作 轴交线段 于点 ,连接 ,是 否存在这样的点 ,使 是等腰三角形?若存在,直接写出点 的坐标;若不存在,请说明理由. 【答案】(1) , , (2) , (3)存在, , , 【分析】(1)将解析式 化为顶点式即可求得点 顶点坐标,分别令 ,得出点 的 坐标; (2)得出 的解析式 ,根据题意得出m关于t的函数关系式为 ,根据二次函数的 性质即可求解; (3)根据题意分 三种情况,根据等腰三角形的性质分别求解即可. 【详解】(1)解:∵ , ∴顶点 , 令 ,则 , ∴ , 令 ,则 , 解得: , ∴ , ∴ , , ; (2)设直线 的解析为 ,则 , 将点 代入得, ,∴ , ∴ , ∵ 轴,设 , ∴ , ∴ , ∴ ∴m关于t的函数关系式为 , 的最大值为 . (3)解:存在点P,使 是等腰三角形, ∵ , ∴ 是等腰直角三角形, 设直线 的解析式为 ,将点 代入得, ∴ ∵ 轴, ∴ 设 ,则 ①当 时, ∴ 是等腰直角三角形, 设 交 轴于点 ,则 ∴∴ 解得: (舍去)或 (舍去)或 ∴ ; ②当 时,则 重合, ∴ , 解得: , (舍去) ∴ ; ③当 时, ∵ ∴ , , ∵ 解得: 或 (舍去) 当 时, , ∴ 综上所述,存在点P,使 是等腰三角形,满足条件的点P的坐标为 , , . 【点睛】本题考查了二次函数综合问题,求抛物线与坐标轴交点问题,线段最值问题,特殊三角形问题, 掌握二次函数的性质是解题的关键. 4.(2023上·重庆渝中·九年级统考期末)抛物线 与 轴交于点 和 ,与 轴 交于点 ,连接 .点 是线段 下方抛物线上的一个动点(不与点 , 重合),过点 作 轴的平 行线交 于 ,交 轴于 ,设点 的横坐标为 .(1)求该抛物线的解析式; (2)用关于 的代数式表示线段 ,求 的最大值及此时点 的坐标; (3)过点 作 于点 , , ①求点 的坐标; ②连接 ,在 轴上是否存在点 ,使得 为直角三角形,若存在,求出点 的坐标;若不存在,请 说明理由. 【答案】(1) (2) , (3)① ;②存在, 或 【分析】(1)将点 和 代入解析式,列方程组求解即可得到答案; (2)令 求出点C坐标,从而求出直线 解析式,用t表示点P点 坐标,从而得到 关于t的函 数,求出最值即可得到答案; (3)①根据题意用t表示点H的坐标根据面积列方程求解即可得到答案;②设出点 坐标,分 , 两类讨论,根据勾股定理逆定理即可得到答案.【详解】(1)将点 和 代入解析式, 得 ,解得 , ∴该抛物线的解析式为 ; (2)由题意可得P点坐标为 , 令 得 , ∴点C坐标为 , 设直线 的解析式为 ,将B、C坐标代入, 得 ,解得 , ∴直线 的解析式为 , ∵ 轴, ∴点M的坐标为 , ∴ , ∵ , ∴当 时, 的值最大, , 此时点 的坐标为: ; (3)①由题意可得,如图1,∵ , 轴, ∴点C、H纵坐标相同,点N、H、P的横坐标相同, ∴点H的坐标为 ,点N的坐标为 , ∵ , ∴ , 即 , 解得 , (不符合题意舍去) ∴点P的坐标为 ; ②当 时,如图2所示,∵ , ∴点Q、P的纵坐标相同, ∴此时Q点坐标为 , 即 ; 当 时,如图3所示, 设 , 根据勾股定理得 ,解得 , ∴ , 综上所述,点 的坐标为 或 . 【点睛】本题考查了二次函数的几何综合,根据二次函数性质求最值问题,动点围成直角三角形问题,解 题的关键是根据题意设出点的坐标,利用性质列式求解. 5.(2023上·山东滨州·九年级统考期末)如图,在平面直角坐标系中,抛物线 与 轴的 两个交点为 和 ,与 轴的交点为 ,顶点为点 . (1)求 、 的值; (2)若点 为该抛物线对称轴上的一个动点,当 时,求点 的坐标; (3)若点 使得 是以 为斜边的直角三角形,其中 ,求此时 的值. 【答案】(1) (2) (3) 或 【分析】(1)待定系数法求解析式即可求解; (2)根据题意,设 ,根据勾股定理得出 , ,进而解方程即可求解; (3)设点 为 的中点,则 ,如图所示,以 为圆心 为半径作圆,交 轴于点 ,根据 勾股定理即可求解. 【详解】(1)解:将 和 代入 得, 解得: ∴抛物线解析式为 , (2)由 ,令 ,解得: , ∴ ∵ ,顶点坐标为 ,对称轴为直线 , 点 为该抛物线对称轴上的一个动点, 设 ,∵ , ∴ , , ∵ ∴ 解得: ∴点 的坐标为 ; (3)解:∵ , , ∴ , ∵点 ,其中 ,使得 是以 为斜边的直角三角形,设点 为 的中点,则 ,如图所示,以 为圆心 为半径作圆,交 轴于点 , ∴ , 即 , 解得: 或 . 【点睛】本题考查了二次函数综合,待定系数法求解析式,线段问题,特殊三角形问题,直径所对的圆周 角是直角,掌握以上知识是解题的关键. 6.(2023上·江苏南京·九年级统考期末)抛物线 与x轴交于 两点,与 y轴交于点C. (1)求a,b满足的关系式; (2)当 时, 为抛物线在第二象限内一点,点P到直线 的距离为d,则d与n的函数表达式 为_____; (3)过 (其中 )且垂直y轴的直线l与抛物线交于M,N两点.若对于满足条件的任意t值, 线段 的长都不小于2,结合函数图像,求a的取值范围. 【答案】(1) (2) (3) 或【分析】(1)根据题意知,点A、B关于对称轴 对称,由此求得a,b满足的关系式; (2)过P作 于H,过P作 轴交 于K,求出二次函数解析式 ,证明 是等腰直角三角形,得 ,再求出直线 解析式为 ,设 可得 ,故 ,即可得 ,进而可求出d与n的函数表达 式; (3)由 与x轴交于 两点,可得 ,然后分当 时和 当 时两种情况求解. 【详解】(1)∵抛物线 与x轴交于 两点, ∴抛物线对称轴为直线 , ∴ , 整理得: ; (2)过P作 于H,过P作 轴交 于K,如图: ∵ , ∴ , 将 代入 得:, 解得 , ∴ , 令 得 , ∴ , 由 可得 , ∴ , ∵ 轴, ∴ , ∴ 是等腰直角三角形, ∴ . 设直线 解析式为 ,把 代入得, , ∴ , ∴直线 解析式为 . ∵ 为抛物线在第二象限内一点, ∴ , 在 中,令 得 , ∴ , ∴ , ∵点P到直线 的距离为d,即 , ∴ , ∴ ;故答案为: ; (3)∵ 与x轴交于 两点, ∴ , 解得 , ∴ , 由(1)知抛物线对称轴为直线 , 当 时,如图: ∵线段 的长不小于2, ∴M到直线 的距离不小于1, ∴在 中,当 时, , ∴ , 解得 ; 当 时,如图:∵线段 的长不小于2, ∴M到直线 的距离不小于1, ∴在 中,当 时, , ∴ , 解得 ; 综上所述,a的取值范围是 或 . 【点睛】本题考查了二次函数的综合,涉及待定系数法,二次函数图象上点坐标的特征,解题的关键是分 类讨论思想和数形结合思想的应用. 7.(2023上·河南驻马店·九年级统考期末)如图,抛物线 与x轴交于 , 两点.与y轴交于点C,且 ,点P为抛物线 上的一个动点,过点P作 轴于点D,交直线 于点E. (1)求抛物线的解析式; (2)当点P在x轴下方的抛物线上,且 时,求此时点P的坐标; (3)第一象限抛物线上是否在在点P,使点P到直线 的距离是点D到直线 的距离的5倍?若存在,请直接写出点P的坐标;若不存在,请说明理由. 【答案】(1) (2) (3)存在, 【分析】(1)用待定系数法求函数的解析式即可; (2)求出直线 的解析式,设 ,则 , ,由 ,即可求P点坐标; (3)过点D作 交于G,过点P作 交于H,由 ,可得 ,设 ,则 , ,再由 ,即可求 . 【详解】(1)∵ , , ∴ , 将于 , , 代入 , ∴ , ∴ , ∴ . (2)设直线 的解析式为 , ∴ ,解得 , ∴ , 设 ,则 , , ∴ , , ∵ , ∴ , 解得 或 (舍), ∴ . (3)存在点P,使点P到直线BC的距离是点D到直线 的距离的5倍,理由如下: 过点D作 交于G,过点P作 交于H, ∴ , ∴ , ∴ , 设 ,则 , , ∴ , , ∴ , 解得 (舍)或 , ∴ .【点睛】本题考查了待定系数法求二次函数和一次函数解析式,二次函数的图象及性质,相似三角形的判 定与性质,熟练掌握二次函数的图象及性质,相似三角形的判定与性质是解题的关键. 8.(2023上·山西吕梁·九年级校考期末)综合与探究 如图,抛物线 与x轴交于 , 两点,顶点为P,连接 , 于点 B, ,Q是 (不与点O,B重合)上的一个动点,连接 ,将 沿着 对折后,点O落 在点C处, 交x轴于点D. (1)求抛物线的表达式. (2)当 的面积 的面积时,求点Q的坐标. (3)在线段 上是否存在这样的点Q,使得 的值最小,若存在,请直接写出 的最小值;若不存在, 请说明理由. 【答案】(1) (2) (3)存在, 【分析】(1)根据已知点的坐标,分别求出点P的横坐标和纵坐标,即可得解;(2)设 ,根据折叠的性质得到 , ,利用勾股定理求出 ,证明 ,得到 ,求出m即可; (3)过Q作 , ,垂足分别为M,N,设 ,根据三角函数的定义得到 ,继而求出 ,再结合 , ,可得 . 【详解】(1)解:∵ , , ∴ , ∵P为顶点, , , ∴ , ∴ , ∴ ,将 代入, 得 ,解得: , ∴ ; (2)设 , ∵ 折叠后得到 , ∴ , , ∵ , , , ∴ , ∴ ,∴ ,又 , ∴ , ∴ , 即 ,解得: , ∴ ; (3)如图,过Q作 , ,垂足分别为M,N,设 , ∵ , ∴ , ∵ ,即 , ∴ , ∵ , , ∴ , ∴存在点Q,使得 的最小值为 .【点睛】本题考查了二次函数综合问题,涉及了二次函数解析式,折叠的性质,相似三角形的判定和性质, 勾股定理,解直角三角形,最短距离,知识点较多,难度较大,解题的关键是灵活证明相似三角形,结合 图象推理论证. 9.(2023上·辽宁盘锦·九年级统考期末)如图①,在平面直角坐标系中,抛物线P: 的图 象与x轴交于点A,B,与y轴交于点C,且图象与抛物线Q: 的图象关于原点中心对称. (1)求抛物线P的表达式; (2)连接BC,点D为线段BC上的一个动点,过点D作 轴,交抛物线P的图象于点E,求线段DE 长度的最大值; (3)如图②,在抛物线P的对称轴上是否存在点M,使 是等腰三角形?若存在,求出所有符合条件 的点M的坐标;若不存在,请说明理由. 【答案】(1) (2) 最大值为 (3) 或 或 或 【分析】(1)先求出抛物线Q与y轴、x轴的交点坐标,再由抛物线Q与抛物线P关于原点对称即可得点 A、B、C坐标,即可求抛物线P; (2)设 得表达式为 ,将点B、C代入得 ,设 ,则 ,表示出 及可求解; (3)对称轴与x轴交于点F, 得对称轴为 ,判断 ,分① ,② 两种情况求解即可; 【详解】(1)解:当 时, , ∴抛物线Q与y轴的交点为 , 当 时, , 解得: 或 , ∴抛物线Q与x轴的交点为 , ∵抛物线Q与抛物线P关于原点对称, ∴ , 将点A、C代入 中得 , 解得: , ∴ . (2)设 的表达式为 , 将点B、C代入 得 , 解得: , ∴ , 设 ,则 ; ,∴ 最大值为 . (3)对称轴与x轴交于点F, ∵ 的对称轴为 , ∴ , ①当 时, 是等腰三角形, , ∴ 或 . ②当 时, 是等腰三角形, , ∴ 或 . ∴ 或 或 或 . 【点睛】本题主要考查二次函数的应用、一次函数应用,勾股定理,掌握相关知识并灵活应用是解题的关 键. 10.(2023上·四川广安·九年级统考期末)如图,已知抛物线 与x轴交于A,B两点,并与 直线 交于B,C两点,其中C是直线 与y轴的交点,连接 .(1)求B,C两点的坐标以及抛物线的解析式; (2)求证: 为直角三角形; (3)在抛物线的对称轴上有一点P,当 的周长最小时,求出点P的坐标. 【答案】(1) , ; (2)见解析 (3)点P的坐标为 【分析】(1)先由直线 与x轴、y轴分别交于点B、点C求得B,C的坐标,再将其代入 列方程组求出a、c的值,即可求解; (2)先求得A的坐标,根据勾股定理的逆定理证明 是直角三角形; (3)因为 的长为定值,所以当 的值最小时,则 的周长最小,当点P与点E重合时, 的值最小,求出点E的坐标即可. 【详解】(1)解:直线 , 当 时,则 ,解得 ; 当 时, , ∴ , . ∵抛物线 经过点 和点 ,∴ ,解得 ∴抛物线的解析式为 ; (2)证明:已知抛物线 , 当 时,则 , 解得 , , ∴ . ∵ , , ∴ , , , ∴ ,即 . ∵ , ∴ , , ∴ , ∴ , ∴ 是直角三角形; (3)解:∵ , ∴抛物线的对称轴为 . 如图,设抛物线的对称轴 : 与直线 交于点E,点P是直线 上的点,连接 . ∵ 垂直平分 , ∴ , , ∴ . ∵ 为定值, ∴当 的值最小时, 的周长最小. ∵ , ∴当点P与点E重合时, , ∴此时 最小. ∵直线 , 当 时, , ∴ , ∴当 的周长最小时,点P的坐标为 . 【点睛】此题重点考查一次函数的图象与性质、二次函数的图象与性质、用待定系数法求函数关系式、勾 股定理及其逆定理的应用、轴对称的性质、两点之间线段最短等知识与方法,此题综合性强,难度较大, 属于考试压轴题. 题型二:面积问题 1.(2023上·河南·九年级校联考期末)如图,已知抛物线 与直线 交于 , 两点.(1)求 的值及抛物线的解析式; (2)若点P是位于直线 上方的抛物线上的一个动点,求 面积的最大值及此时点P的坐标. 【答案】(1) , (2) 的面积最大值为8,此时点 的坐标为 【分析】(1)将 代入直线 可得a的值,再将A,C两点代入抛物线 即可解答; (2)过点P作 轴交x轴于点E,交直线 于点F,过点C作 轴交x轴于点Q,设出点P的 坐标,利用 即可解答. 【详解】(1)解:将 代入 并解得 , ∴点 的坐标为 , 将 , 代入 , 得 ,解得 , ∴抛物线的解析式为 ; (2)如图,过点P作 轴交x轴于点E,交直线 于点F,过点C作 轴交x轴于点Q,设点P的坐标为 , 则点F的坐标为 , , 又∵点 的坐标为 , ∴点 的坐标为 , , , 又∵ , ∴当 时, 的面积取最大值,最大值为8,此时点 的坐标为 . 【点睛】本题主要考查了待定系数法求二次函数解析式以及二次函数最值求法等知识,解题的关键是利用 数形结合以及函数思想相结合. 2.(2023上·安徽安庆·九年级统考期末)如图,已知抛物线 与 轴交于点 和点,与 轴交于点 ,连接 交抛物线的对称轴于点 , 是抛物线的顶点. (1)求此抛物线的解析式; (2)直接写出点 和点 的坐标; (3)若点 在第一象限内的抛物线上,且 ,求 点坐标. 【答案】(1) ; (2) , ; (3) . 【分析】(1)用待定系数法求解即可; (2)根据二次函数解析式求图象与 交点坐标,顶点坐标即可, (3)设点 坐标,然后根据数量关系列一元二次方程,求解即可. 【详解】(1)解:由点 和点 得 , 解得: , ∴抛物线的解析式为 ; (2)由(1)得: , 当 时, ,∴点 , 由 , ∴顶点 ; (3)设 , , , ∵ , ∴ , ∴ , ∴ , 解得: (不合题意,舍去), , ∴点 . 【点睛】此题考查了二次函数的性质,待定系数法求函数解析式,解题的关键是熟练掌握二次函数的图象 及其性质的应用. 3.(2023上·云南临沧·九年级统考期末)如图,抛物线 与x轴交于 、 两点, 与y轴交于点C. (1)求抛物线的解析式; (2)若点D是抛物线上的一点,当 的面积为10时,求点D的坐标;(3)点P是抛物线对称轴上的一点,在抛物线上是否存在一点Q,使得以B、C、P、Q为顶点的四边形是平 行四边形?若存在,求出点Q的坐标;若不存在,请说明理由. 【答案】(1)抛物线的解析式为: (2)点D的坐标为 或 (3)存在满足条件的Q点的坐标为 或 或 【分析】(1)利用待定系数法求解析式即可; (2)设点D的坐标为 ,利用 的面积为10,列出等式求解即可; (3)分情况讨论,当 为四边形的对角线时或当 为边时,分别求解即可. 【详解】(1)将 、 代入 得, , 解得: , ∴抛物线的解析式为: ; (2)设点D的坐标为 , 、 , , ∴ , 即 , ∴ 或 (无解舍去), 解得: , ,∴点D的坐标为 或 ; (3)抛物线 的对称轴为: , 假设存在,设 , , , 分两种情况讨论: 当 为四边形的对角线时, , , ∴ , 即 , 此时点Q的坐标为 ; ②当 为边时, , , ∴ ,即 , 解得: 或 , 此时点Q的坐标为 或 . 综上所述,存在满足条件的Q点的坐标为 或 或 . 【点睛】本题是二次函数的综合题,考查待定系数法求解析式,三角形面积问题,以及二次函数中平行四边形存在问题,熟练掌握二次函数的图象与性质是解题的关键. 4.(2023上·江苏淮安·九年级统考期末)如图,在直角坐标系 中,二次函数 的图像 与x轴相交于O、A两点,其中点O为坐标原点. (1)求出这个二次函数的表达式; (2)在第一象限内的抛物线上有一点B,使 的面积等于6,求点B的坐标. 【答案】(1) (2) 【分析】(1)将 代入 ,求出k的值即可; (2)设 ,先求出点A的坐标,得出 ,再根据三角形的面积公式,求出点m的值,即 可求解. 【详解】(1)解:将 代入 , 得 . ∴ . ∴ . (2)解:设 . 令 ,得 . ∴ , . ∴ ,则 ,∵ 的面积为6, ∴ . ∴ , . ∵点B在第一象限, ∴ . 【点睛】本题主要考查了二次函数的图象和性质,解题的关键是掌握用待定系数法求解函数表达式的方法 和步骤,以及二次函数图象上点的坐标特征. 5.(2023上·广西梧州·九年级统考期末)如图,抛物线 与 轴交于点 和点 ,与 轴交于点C. (1)求抛物线的函数表达式; (2)在抛物线上是否存在一点 (不与点 重合),使 的面积与 的面积相等,若存在,求出点 的坐标;若不存在,请说明理由. 【答案】(1) (2)存在, 或 或 【分析】(1)把点 和点 代入 ,利用待定系数法即可求出抛物线的函数表达 式;(2)根据抛物线解析式,求出 ,再根据 、 、 三点坐标,得到 , ,进而得出 ,设 ,得到 ,从而得出 ,分别求出 的 值,即可得到点 的坐标. 【详解】(1)解: 抛物线 与 轴交于点 和点 , ,解得: , 抛物线的解析式为 ; (2)解:存在, 抛物线 与 轴交于点C, 令 , , , , , , , , 设 , , 的面积与 的面积相等, , , 当 时,解得: 或 (舍),点 的坐标为 ; 当 时,解得: , 点 的坐标为 或 , 综上可知,点 的坐标为 或 或 . 【点睛】本题考查了待定系数法求抛物线解析式,抛物线与坐标轴的交点,三角形面积问题,解一元二次 方程等知识,利用数形结合的思想解决问题是解题关键. 6.(2023上·广东东莞·九年级统考期末)抛物线 与 轴交于点 , 两点, 与 轴交于点 ,点 是抛物线上的一个动点. (1)求抛物线的函数表达式; (2)如图1,点 在线段 上方的抛物线上运动(不与 , 重合),过点 作 ,垂足为 , 交 于点 ,作 ,垂足为 ,若点 的横坐标为 ,请用 的式子表示 ,并求 的面积 的最大值; (3)如图2,点 是抛物线的对称轴 上的一个动点,在抛物线上是否存在点 ,使得以点 , , , 为 顶点的四边形是平行四边形?若存在,直接写出所有符合条件的点 的坐标,若不存在,说明理由. 【答案】(1) (2) ,(3)存在,点 的坐标为 或 或 【分析】(1)将 , , 三点代入解析式 求解即可得到答案; (2)利用待定系数法,求出直线 的解析式,再根据点 在抛物线上,点 在直线 上,可得 的坐 标为 , 的坐标为 ,即可求出 ,由题意可得 是等腰直角三角形, ,进而证明 是等腰直角三角形,列出 面积等式,即可求得 的最大 面积; (3)分情况讨论: 当 作为平行四边形的边时,则有 ,且 ,如图,过点 作 垂直抛物线对称轴于点 ,先证明 和 是全等三角形,得出 的值,进而求出点 的横坐标, 再将点 横坐标的值代入抛物线解析式,即可得出点 的坐标; 当 , 为平行四边形对角线时, , 互相平分,由 , 坐标可求出对角线中点坐标,再根据中点坐标公式求出点 的横坐标,将点 横坐标的值代入抛物线解析式,即可得出点 的坐标. 【详解】(1)解:将 , , 三点代入解析式 得 , 解得: , , , 抛物线的函数表达式为: . (2)解:设直线 的解析式为 , 将 , 代入解析式得 , 解得: , , 直线 的解析式为 , 在抛物线上,且横坐标为 ,, , 交 于点 , 的坐标为 , , , , , 是等腰直角三角形, , , , 又 , , 是等腰直角三角形, , , 当 时, 面积最大, . (3)解:抛物线上存在点 ,使得以点 , , , 为顶点的四边形是平行四边形, 由(1)抛物线解析式得对称轴 : , 当 作为平行四边形的边时,则有 ,且 , 如图,过点 作 垂直抛物线对称轴于点 ,令 与对称轴的交点为 ,, , 对称轴 与 轴平行, , , 在 和 中 , , , 点 到对称轴 的距离为3, 设点 ,则 , 解得 或 , 又 点 在抛物线 上, 当 时, , 当 时, , 的坐标为 或 ; 当 为平行四边形对角线时, 如图,令 与 的交点为 ,则点 为 和 的中点,, , , , ,点 在对称轴 上, , 又 点 在抛物线 上, , 点 的坐标为 , 综上所述得点 的坐标为 或 或 . 【点睛】本题考查了二次函数综合题,待定系数法求解析式,动点图形求最大面积及特殊四边形,熟练掌 握待定系数法求解析式,平行四边形判定及根据图形利用数形结合和分类讨论思想是解题关键. 7.(2023上·江苏宿迁·九年级统考期末)如图,二次函数 的图像与x轴交于 、 两点,与y轴交于点B.点P是直线 上方抛物线上的一个动点,连接 . (1)求这个二次函数的表达式;(2)设 的面积为S,点P的横坐标为m,求S与m之间的函数表达式; (3)点P在运动过程中,能否使 的面积S恰好为整数?若能,请求出m的值;若不能,请说明理由. 【答案】(1) (2) (3)能, 【分析】(1)直接用待定系数法求解即可; (2)由点P的横坐标可得点P的坐标,求出直线 的函数解析式;过点 作 轴于点F,交直线 于点N,过点 作 于点G,由 即可求得S与m的关系式; (3)确定出S的最大值,根据最大值即可知S可以为整数1与2,再求出m的值即可. 【详解】(1)解: 二次函数 的图像与 轴交于 、 两点 , 解得, , 二次函数的解析式为: ; (2)解: 点 的横坐标为 , 点 的坐标为 , 设 ,把 代入得 , 解得: , 即直线 的解析式为: ,如图,过点 作 轴于点F,交直线 于点N,过点 作 于点G,所以 , ∵ ∴ 与 之间的函数关系式: , (3)解:由(2)得 , 故当 时,S有最大值 ,所以 , 所以S的整数值为1,2; 当 时,得 , 当 时, ,∴ . 【点睛】本题是一元二次方程的综合,考查了待定系数法求函数解析式,二次函数的最值,割补法求三角 形面积,解一元二次方程等知识,熟练掌握这些知识是关键. 8.(2023上·辽宁葫芦岛·九年级统考期末)如图,抛物线 与 轴交于 , , 与 轴交于点 ,点 在抛物线上. (1)求抛物线的解析式; (2)如图1,连接 ,若点 为直线 上方抛物线上的点,过点 作 轴交 于点 ,作 轴交 于点 ,若 的面积为2,求 点坐标; (3)如图2,点 为抛物线的顶点,当 时,在抛物线上是否存在点 使 是等腰三角形?若能, 请直接写出点 的坐标;若不能,请说明理由. 【答案】(1) (2) (3) , , 【分析】(1)把 , 抛物线 ,待定系数法求解析式即可求解;(2)先求得 ,根据 ,得出 ,求得直线 的解析式为: ,设点 ,则 ,根据 ,建立方程,解方程即可求解; (3)根据 ,画出图形,分两种情况讨论,①当 时,则 与 点重合,则 ,②当 时,如图所示,连接 ,作 的垂直平分线交 轴于点 , 的中点为 ,设 与 轴交于点 ,则 , 求得直线 的解析式为 ,联立抛物线解析式即可求解. 【详解】(1)解:把 , 抛物线 得: 解得: ∴该抛物线的解析式为 (2)把 代入 ,得: , ∴ ∵ , ∴ ∵ 轴,作 轴 ∴ , , ∴ ∴ , ∴ , ∴ 设直线 的解析式为 ,设直线 的解析式为 ,把 , 代入得解得 ∴直线 的解析式为: 设点 ,则 ∴ 解得: , ∴ ∴ (3)解:∵ ∴ ①当 时,则 与 点重合,则 ②当 时,如图所示,连接 ,作 的垂直平分线交 轴于点 , 的中点为 , ∵ , ∴ , ∴ , , 设 与 轴交于点 ,则 ,则 ∴ ∴ 设直线 的解析式为 ∴ 解得: ∴直线 的解析式为 联立 解得: 或 ∴ , , 综上所述, , , 【点睛】本题考查了二次函数的性质,三角形面积问题,等腰三角形的性质,余弦的定义,熟练掌握二次 函数的性质是解题的关键. 9.(2023上·湖南益阳·九年级统考期末)如图,抛物线 与 轴交于 , 两点, 是抛 物线的顶点.(1)求抛物线的表达式. (2)作 轴于点 , 为抛物线上位于点 , 之间的一点,连接 ,若 恰好平分 的面积, 求点 的坐标. (3)在(2)的条件下,平面内是否存在点 ,使得以 , , , 为顶点的四边形是平行四边形?若存 在,请直接写出点 的坐标;若不存在,请说明理由. 【答案】(1) (2) (3)存在,坐标为 或 或 【分析】(1)可求 ,将 、 代入即可求解; (2) 与 交于 ,可求 ,从而可求直线 的解析式为 ,联立 ,即可 求解; (3)连接 ,分别过 、 、 作 、 、 的平行线,分别交于 、 、 , 四边形 、 四边形 、四边形 均是平行四边形,可求直线 的解析式为 及直线 的解析 式为 ,即可求出 ,同理可求 ,将 向上平移 个单位得到 ,即可求解.【详解】(1)解: 是抛物线的顶点, 抛物线的对称轴为直线 , 抛物线经过 点, , , 解得: , 抛物线的表达式为 . (2)解:如图, 与 交于 , 恰好平分 的面积, 是 的中点, , , , , 设直线 的解析式为 ,则有 , 解得: ,直线 的解析式为 , 联立 , 解得: 或 , . (3)解:存在, 如图,连接 ,分别过 、 、 作 、 、 的平行线,分别交于 、 、 , 四边形 、四边形 、四边形 均是平行四边形, , 设直线 的解析式为 ,则有 , 解得: , 直线 的解析式为 ,可设直线 的解析式为 , , , 解得: , 直线 的解析式为 , , , 同理可求: , 将 向上平移 个单位得到 , , 故 的坐标为 或 或 . 【点睛】本题考查了二次函数的综合运用,待定系数法求函数解析式,平行四边形的判定,求直线交点, 点的平移,掌握二次函数图象的性质,找出构成平行四边形存在的点是解题的关键. 10.(2023上·湖南永州·九年级校考期末)如图,抛物线 与 轴交于点 , , 与 轴交于点 ,连接 ,点 为线段 上一个动点(不与点 , 重合),过点 作 轴交抛 物线于点 .(1)求抛物线的表达式和对称轴; (2)当抛物线上的点 在 上方运动时,求 面积的最大值. (3)已知点 是抛物线对称轴上的一个点,点 是平面直角坐标系内一点,当线段 取得最大值时,是否 存在这样的点 , ,使得四边形 是菱形?若存在,请直接写出点 的坐标;若不存在,请说明 理由. 【答案】(1) , (2)8 (3)存在, 【分析】(1)利用两点式写出函数解析式,再根据对称轴的计算公式进行求解即可; (2)求出直线 的解析式,设点 ,利用 ,列出二次函数解析式,求 最值即可; (3)利用菱形的性质,得到 ,进行求解即可. 【详解】(1)解:∵抛物线 与 轴交于点 , , 则抛物线的解析式为: ; ∴抛物线的对称轴为直线 . (2)∵ ,当 时, ;∴ , 设直线 的解析式为: ,代入 ,得: , ∴ , 设 , ∵ 轴, ∴ , ∴ , ∴ , ∴当 时, 面积的最大值为 ; (3)存在; 由(2)可知: ∵ , ∴抛物线的对称轴为 , 设: , ∵四边形 为菱形, ∴ , ∴ , 解得: ; ∴ .【点睛】本题考查二次函数的综合应用,解题的关键是正确的求出二次函数的解析式,利用数形结合的思 想进行求解. 题型三:角度问题 1.(2023上·辽宁大连·九年级统考期末)在平面直角坐标系中,抛物线 与x轴交于A、B两 点(点A在点B的左侧),与y轴交于点C,点B的坐标为 ,将直线 沿y轴向上平移3个单位 长度后恰好经过B、C两点. (1)求直线 及抛物线的解析式; (2)设抛物线的顶点为D,点P在抛物线的对称轴上,且 ,求点P的坐标. 【答案】(1)直线 的解析式为 ,抛物线的解析式为 ; (2)点P的坐标为 或 . 【分析】(1)依题意设直线 的解析式为 ,把B点坐标代入解析式求出直线 的解析式.然后又已知抛物线 过点B、C,代入求出解析式. (2)由 求出点D,A的坐标.得出 是等腰直角三角形,过A点作 于点E,求 出 的值.证明 ,求出 可得点P在抛物线的对称轴,求出点P的坐标. 【详解】(1)解:∵ 沿y轴向上平移3个单位长度后经过y轴上的点C, ∴ , 设直线 的解析式为 , ∵ 在直线 上, ∴ , 解得: , ∴直线 的解析式为 , ∵抛物线 过点B、C, ∴ , 解得: , ∴抛物线的解析式为 ; (2)解:由 ,得 , 可得顶点 , 令 ,则 , 解得 , ∴ ,∴ , , ∴ 是等腰直角三角形, ∴ , 如图,设抛物线对称轴与x轴交于点F, ∴ , 过点A作 于点E, 则有 , ∴ , 在 与 中, ∵ , ∴ , ∴ ,即 , 解得: , ∵点P在抛物线的对称轴上, ∴点P的坐标为 或 . 【点睛】本题考查了二次函数的综合知识,涉及到的考点有:函数图形的平移、一次函数解析式的确定、 二次函数解析式的确定、相似三角形、等腰直角三角形的判定及性质、勾股定理等,对学生综合运用知识 的能力要求较高.2.(2023上·安徽滁州·九年级校联考期末)如图,抛物线 交 轴正半轴于点 ,交 轴分别于点 点 ,连接 . (1)求抛物线的解析式; (2)点 为抛物线上第一象限内的一点,过点 作 轴的垂线,交 于点 ,设点 的横坐标为 . 求 为何值时,四边形 是平行四边形; 连接 ,当 时,求点 的坐标; 【答案】(1) (2)① ;② 【分析】(1)利用待定系数法求解即可; (2)①先求出 ,进而求出直线 的解析式为 ,求出 ,根据平行四边形 的性质建立方程 ,解方程即可得到答案;②证明 ,得到 , 由此建立方程 ,解方程即可得到答案. 【详解】(1)解:将点 、点 代入 中得∴ , ∴抛物线解析式为 ; (2)解:①令 ,则 , , 设直线 的解析式为 , ∴ , ∴ ∴直线 的解析式为 , , , , 四边形 是平行四边形, , , ; 如图,设直线 与x轴交于T,, , , , ∵ , ∴ , ∴ , , 经检验, 是原方程的解, ∴ . 【点睛】本题主要考查了二次函数综合,一次函数与几何综合,平行四边形的性质,解直角三角形等等, 灵活运用所学知识是解题的关键. 3.(2023上·江苏镇江·九年级镇江市外国语学校校考期末)如图,在平面直角坐标系 中,二次函数 的图像与 轴交于 , 两点(点 在点 的左侧),顶点为 ,经过点 的直 线 与 轴交于点 ,与抛物线的另一个交点为 .(1)直接写出点 的坐标、点 的坐标 (2)如图(1),若顶点 的坐标为 ,连接 、 、 ,请求出二次函数及一次函数的解析式, 并求出四边形 的面积; (3)如图(2),连接 ,当 为何值时直线 与 轴的夹角为 ? (4)如图(3),点 是直线 上方的抛物线上的一点,若 的面积的最大值为 时,请直接写出此时 点的坐标. 【答案】(1) (2) , , (3) (4) 【分析】(1)根据二次函数的表达式,即可写出点A和点B的坐标; (2)把点 代入 ,求出a的值,即可求出二次函数解析式,再把点A的坐 标代入 ,求出b的值,即可求出一次函数解析式,根据 即可求出四边 形 的面积; (3)根据 将一次函数和二次函数联立,得出点D的坐标,过点D作抛物线对称轴的垂线,垂足为 N,根据直线 与 轴的夹角为 ,可得 ,即可求出a的值;(4)过点E作 轴,交直线 于点F,设 ,根据 求出面积的 表达式,将其化为顶点式,即可求解. 【详解】(1)解:∵二次函数 , ∴当 或 时, , ∴ ; (2)把 代入 得: , 解得: , ∴二次函数的解析式为: , 把 代入 得: , ∴ , ∴一次函数的解析式为: , 联立一次函数和二次函数表达式为: ,解得: , , ∴ , ∴ ; (3)由(2)可得, , ∴一次函数解析式为: , ∵二次函数解析式为: , ∴二次函数顶点坐标为: 联立得二次函数和一次函数得: ,解得: , , ∴ , 过点D作抛物线对称轴的垂线,垂足为N, ∵ 与 轴的夹角为 , ∴ , ∴ ,解得: ; (4)过点E作 轴,交直线 于点F, ∵点E在抛物线上, ∴设点 , 则点 , ∴ , ∵ , ∴点A到直线 的距离为: , 把 代入 得: , ∴ , ∴点C到直线 的距离为t, ∴, ∴当 时, 最大值为 , ∵ 的面积的最大值为 , ∴ ,解得: , 把 , 代入 得: , ∴ . 【点睛】本题主要考查了二次函数和一次函数的综合应用,解题的关键是熟练掌握先关知识点,灵活运用 方程和函数的关系,正确画出辅助线求解. 4.(2023上·山东济南·九年级统考期末)如图,抛物线 经过 , 两点,与x轴 交于另一点A,点D是抛物线的顶点.(1)求抛物线的解析式及点D的坐标; (2)如图1,点E在抛物线上,连接 并延长交x轴于点F,连接 ,若 是以 为底的等腰三角 形,求点E坐标. (3)如图2,连接 、 ,在抛物线上是否存在点M,使 ,若存在,求出M点的坐标; 若不存在,请说明理由. 【答案】(1)抛物线的解析式为: , (2) (3)存在, 或 【分析】(1)利用待定系数法即可求得解析式,化成顶点式即可得D点坐标; (2)设 ,根据 列方程求解即可; (3)分两种情况:当 在 的上方和当 在 的下方时分别求解即可. 【详解】(1)把 代入 得 , 解得 , ∴抛物线的解析式为: ,∵ , ∴顶点 ; (2)设 , 则 , ∵ , ∴ , 解得 , ∴ ; 设直线 的解析式为 , 则 , 解得 , ∴直线 的解析式为 , 当 时, 解得, , ∴ ; (3)设 , ①如图,当 交x轴于G时,∵ , ∴ , ∵ , ∴ , ∴ , ∵ , ∴ , ∵ , ∴ , ∴ , ∵ , ∴ , 设 , ∴ , ∴ , ∴ , 设 的解析式为: , 则 , ∴ , ∴ 的解析式为: ,则 , ∴ , 解得 (舍), , 当 时, , ∴ ; ②如图,当 与x轴交于点N时,过B作 于P, ∵ , ∴ 是等腰直角三角形, ∵ , ∴ , ∵ , ∴ , ∵ , ∴ , ∵ , ∴ , ∴ , ∴ , ∴ ,∴ , 设 的解析式为: , 则 , ∴ , ∴ 的解析式为: , 联立方程组得: , 解得: (舍), 因为点M在抛物线上,所以当 时, , ∴ , 综上所述,存在点 或 ,使得 . 【点睛】本题考查了利用待定系数法求二次函数和一次函数的解析式,相似三角形的判定和性质,勾股定 理等知识,利用解析式求交点坐标,方程和分类思想的运用是解题的关键. 5.(2023上·山西运城·九年级统考期末)综合与探究:如图,二次函数 的图象与 轴交于 两点(点 在点 的左则),与y轴交于点 ,点 是抛物线的顾点.抛物线的对称轴交 轴于点 , 点 是第一象限内且在对称轴右侧二次函数图象上的一个动点,设点 的横坐标为 ,点 的坐标为 ,连接 分别与 轴,对称轴交于点 .(1)求 三点的坐标并直按写出顶点 的坐标; (2)当 时.求点 的坐标; (3)试探究:在点 运动过程中,是否存在点 ,使得 ,若存在,请直接写出 的值;若不存 在,请说明理由. 【答案】(1) , , , (2) (3)存在, 的值为: 【分析】(1)利用函数解析式求出当 时, ;当 时, ;以及顶点坐标公式,即 可得出答案; (2)作 轴于点 ,通过证明 可得出: .即可得出 .当 时,求出 (舍去), ,即可得出点 的坐标. (3)由 ,可得 ,故 , ,可得 ,即可得出 设直线 的解析式为: ,结合 ,即可得出 的值. 【详解】(1)解:由 得, 当 时, , ∴点 的坐标为 ; 当 时, ,解得: . ∵点 在点 的左侧,∴点 的坐标为 ,点 的坐标为 . ∴点 的坐标为 . (2)作 轴于点 ,则 , ∴ . 又∵ . ∴ ∴ . ∴ ∴ . 当 时, , ∴ (舍去), ∴ ∴点 的坐标为 . (3)解:存在点 ,使得 ,理由如下: ∵ , ∴ , ∵ , ∴ ,∵ , ∴ , ∴ , ∴ , ∵ , ∴ , ∴ , ∴ , 设直线 的解析式为 , 把 , 代入 得: , ∴ , ∴ , ∴ , ∴ , ∴ , ∵点 是第一象限内且在对称轴右侧二次函数图象上的一个动点,点 的横坐标为 , ∴ . 故存在点 ,使得 , 的值为: . 故答案为:存在, 的值为: . 【点睛】此题考查了二次函数的性质,二次函数与相似三角形、特殊角的存在性问题,掌握二次函数的性质,灵活构造图形是解题的关键. 6.(2023上·江苏泰州·九年级校考期末)抛物线 经过点 和点 . (1)求a与b的关系式. (2)若抛物线的对称轴是 轴. ①点C,D均在抛物线上,C点与A点关于 轴对称,且点D在第一象限,满足 ,求点D 的坐标; ②直线 与抛物线交于M,N两点(点M在点N的左侧),点P是直线MN下方的抛物线上 的一点,点Q在y轴上,且四边形 是平行四边形,求点Q的坐标. 【答案】(1) (2)① ,② 【分析】(1)把点 和点 代入抛物线解析式,即可求解; (2)①先求出抛物线的关系式,再求出 的关系式,作过点B作 轴于点E,设 交y轴于点F, 直线 交y轴于点G,则点 ,根据 ,可证得 ,从而得到 ,进而求得F的坐标,从而求得 的关系式,进一步求得点D坐标;②将抛物线和直线 的解析式联立,根据一元二次方程根与系数关系,求得M、N的中点坐标,设点 ,点 , 根据平行四边形的性质,求得结果. 【详解】(1)解:∵抛物线 经过点 和点 , ∴ , 由 得: , ∴ ; (2)解:①∵抛物线的对称轴为y轴,∴ ,即 , ∵C点与A点关于 轴对称, , ∴点 , ∵ , ∴ , ∴抛物线的解析式为 , 把点 代入得: , 解得: , ∴抛物线的解析式为 , 设直线 的解析式为 , 把点 和点 代入得: ,解得: , ∴直线 的解析式为 , 当 时, , 如图1,作过点B作 轴于点E,设 交y轴于点F,直线 交y轴于点G,则点 ,∴ , ∴ , ∵ , ∴ , ∵ , ∴ , ∴ , ∴ , ∴点 , 设直线 的解析式为 , 把点 , 代入得: ,解得: , ∴直线 的解析式为 , 联立: ,解得: 或 (舍去),∴点D的坐标为 ; ②如图2, 联立 , 整理得: , ∴ , ∴ , 设点 ,点 , ∵四边形 是平行四边形, ∴ , 解得: , ∴点Q的坐标为 . 【点睛】本题考查了二次函数及其图象性质,求一次函数的关系式,等腰三角形性质一元二次方程根与系 数的关系等知识,解决问题的关键是作辅助线,构造2倍角,熟练掌握相关图形的性质. 7.(2023上·云南昆明·九年级统考期末)如图,已知抛物线 与x轴交于 , 两点,与y轴交于点C.且有 . (1)求抛物线解析式; (2)点P在抛物线的对称轴上,使得 是以 为底的等腰三角形,求出点P的坐标; (3)在(2)的条件下,若点Q在抛物线的对称轴上,并且有 ,直接写出点Q的坐标. 【答案】(1) (2) (3)Q点坐标为 或 【分析】(1)待定系数法求出解析式即可; (2)设 ,根据 是以 为底的等腰三角形,得到 ,列式求解即可; (3)分Q点在x轴下方和Q点在x轴上方,两种情况进行讨论求解即可. 【详解】(1)解:∵ , , ∴ , , ∴ , 将点 , 代入 , 得解得 , ∴ ; (2)∵ , ∴抛物线的对称轴为直线 , 设 , ∴ , , ∵ 是以 为底的等腰三角形, ∴ , ∴ , 解得 , ∴ ; (3)∵ 是等腰三角形, , , , ∴ , ∴ 平分 , ∴ , 如图1,当Q点在x轴下方时,过C点作 交抛物线的对称轴为Q点,连接 , ∴ ,设直线 的解析式为 , ∴ , 解得 , ∴ , ∵ , ∴设直线 的解析式为 , ∴ , ∴ , ∴ , ∴ , , ∴ 是等腰直角三角形, ∴ , ∵ , ∴ , ∴ ; 如图2,当Q点在x轴上方时, ∵ , ∴以P为圆心 为半径作圆,当Q点在圆P上时, ,此时 , ∴ , 综上所述:Q点坐标为 或 . 【点睛】本题考查二次函数的综合应用.正确的求出函数解析式,利用数形结合和分类讨论思想进行求解, 是解题的关键. 8.(2023上·黑龙江哈尔滨·九年级校考期末)如图,在平面直角坐标系中,点 为坐标原点,抛物线 与 轴交于 、 两点,交 轴于点 ,点 在抛物线上,且点 的坐标为 ,连接 , 的面积为24. (1)求抛物线的解析式; (2) 为第一象限抛物线上一点,连接 、 ,设点 的横坐标为 , 的面积为 ,求 与 之间的 函数关系式,并直接写出 的取值范围; (3)在(2)的条件下,作 轴于点 ,点 在线段 上, ,连接 ,线段 和 交于点 , ,求点 的坐标. 【答案】(1) (2) (3) 【分析】(1)首先根据抛物线 得出点C的坐标为 ,然后根据 的面积为24,可求出点B的坐标,将点B和点D的坐标代入抛物线 可求出a和b的值,即可求出抛物线的解 析式; (2)如图所示,构造矩形 ,根据题意表示出点P的坐标为 ,然后分别表示出点 E,F,G的坐标,即可表示出 , , 和 的面积,进而表示出S与t之间的函数关系式; (3)延长 到G,使 ,连接 ,则可证明 ,从而有 , ;再由已知可得 ,则 ,从而可得 ;由 , 易得 ,即四边形 是平行四边形,即 ,而 ,由此可求得t的值,从而 求得点P的坐标. 【详解】(1)解:∵抛物线 , ∴当 时, , ∴点C的坐标为 ,即 , ∵ 的面积为24, ∴ ,即 , 解得: , ∴点B的坐标为 , ∴将 和 代入 得: , 解得: , ∴抛物线的解析式为 ; (2)解:如图所示,构造矩形 ,设点 , ∵四边形 是矩形,D , , ∴E ,F ,G , ∴ , , , , , , , 即 ; (3)如图,延长 到G,使 ,连接 , 则 , , , , ; 即 , , , , ,, , , , 即四边形 是平行四边形, , , , , 解得: , ∴ , ∴ . 【点睛】此题考查了二次函数和几何的综合,二次函数表达式的求法,全等三角形的判定与性质,平行四 边形的判定与性质,等腰三角形的性质,割补法求图形面积等知识,解题的关键是设出点的坐标并表示出 相关的线段长度.综合性强,有一定的运算量,对学生的计算能力有较高的要求. 9.(2023上·浙江湖州·九年级统考期末)如图,在平面直角坐标系中,直线 与x轴交于点A, 与y轴交于点C,抛物线 经过A,C两点,与x轴的另一交点为点B,点P为抛物线上的一 个动点.(1)求抛物线的函数表达式; (2)当 的面积与 的面积相等时,求点P的坐标; (3)是否存在点P,使得 ,若存在,请直接写出点P的横坐标;若不存在,请说明理 由. 【答案】(1)抛物线的函数表达式为 (2)点P的坐标为 (3)存在,点P的横坐标为 或7. 【分析】(1)根据一次函数求出A、C两点坐标,代入解析式求解即可得到答案; (2)根据A、B、C点坐标即可得到 ,求出 的面积,分点P在 下方或上方两类列方 程即可得到答案; (3)由(2)得 ,作 的垂直平分线交 于一点F,求得 ,即 , 过点 作 ,过点 作 交 于点 ,得到 ,即点 在直线 上, 求得直线 的解析式,根据一次函数与二次函数交点问题联立方程求解即可得到答案. 【详解】(1)解:当 时, ,故 , 当 时, , ,故 , 将 , 代入解析式得, ,解得: , ∴ ; (2)解:①点P在 下方时,如图所示,连接 ,设 ,∴ , 当 ,解得: , , 故 , ∵ , , ∴ , , , ∴ , ∴ , ∴ , ∵ 的面积与 的面积相等, ∴ ,即 , ∵ ,无解, ②当点P在 上方时,如图所示,连接 ,设 ,∴ , ∵ 的面积与 的面积相等, ∴ ∴ (与B重合,舍去), , 当 时, , ∴ ; (3)解:∵ , , , ∴ ∴ , ∴ 是直角三角形, ∴ , 如图所示,作 的垂直平分线交 于一点F,连接 ,则 , ∴ ∴ , ∵ ∴ 设 ,则 , ∵ ,在 中, , 即 , 解得: ,则 ∴ ∴ 如图所示,过点 作 ,过点 作 交 于点 , 则 即 ,即点 在直线 上, ∵ ∴ , 在 中, , ∴ 过点 作 轴, 则 ∴ , ∴ , , ∴ 设直线 的解析式为即 ∴ 即 , 联立 解得: (舍去), 同理可得 设直线 的解析式为 则 解得: ∴ 联立 解得: (舍去), 综上,点P的横坐标为 或7. 【点睛】本题是二次函数综合题目,考查了待定系数法求函数的解析式,解直角三角形,直角三角形的性 质,正确的作出辅助线是解题的关键. 10.(2023上·山东威海·九年级统考期末)如图,二次函数 的图象与 轴交于 两点,与 轴交于点 ,顶点 的坐标为 .分别连接 .(1)求二次函数的表达式; (2)求证: . 【答案】(1) (2)见解析 【分析】(1)利用待定系数法求解即可; (2)先求出A、B的坐标,得到 ,再利用勾股定理和勾股定理的逆定理证明 是 直角三角形,即 ,再证明 ,即可证明 . 【详解】(1)解:设二次函数解析式为 , 把点 代入到 中得: , ∴ , ∴二次函数解析式为 ; (2)解:令 , 解得 或 , ∴ , ∴ , ∴ , , , ∴ , ∴ 是直角三角形,即 ,∵ , ∴ , ∴ . 【点睛】本题主要考查了求二次函数解析式,相似三角形的性质与判定,勾股定理和勾股定理的逆定理, 证明 是直角三角形是解题的关键. 题型四:特殊三角形问题 1.(2023上·辽宁大连·九年级统考期末)如图,在平面直角坐标系中,抛物线 的图象经过点 ,点 . (1)求抛物线的解析式; (2)当 时,求二次函数 的最大值和最小值; (3)若点C是抛物线 对称轴与x轴交点,P是y轴上一点,点Q是该抛物线上一点,当 是等腰直角三角形且 时,求点Q的坐标. 【答案】(1) ; (2)最大值5,最小值为 ; (3) , , , . 【分析】(1)利用待定系数法求解析式即可; (2)先求出抛物线的对称轴,得到最小值,再判断 与 到对称轴的距离,即可得到最大值;(3)过点Q作 轴于点 ,证明 ,得到 ,可得 , 求出x值即可得到点Q的坐标;同理可构造 ,可得到点Q的坐标. 【详解】(1)解:将点 ,点 代入 ,得 , 解得 ∴ ; (2)∵ , 抛物线开口向上,对称轴为直线 . ∴当 时,y取最小值为 , ∵ , ∴当 时,y取最大值5, (3)如图1,过点Q作 轴于点 , ∵ , , ∴ , 又∵ , , ∴ , ∴ , ∴ , 解得, , , ∴ , ; 如图2,同理可构造 ,则 , 可得方程: , 解得, , , ∴ ,∴Q点坐标为 、 、 、 . 【点睛】此题是二次函数的综合题,考查了二次函数的待定系数法,二次函数的最值,二次函数与几何图 形的综合,正确掌握二次函数的性质是解题的关键. 2.(2023上·陕西安康·九年级统考期末)如图,已知抛物线的顶点坐标为 ,与x轴交于A、B两点 (点A在点B的右侧),与y轴交于点 ,点P在 所在直线下方的抛物线上,过点P作 轴, 交 于点D. 备用图 (1)求该抛物线的函数解析式; (2)连接 ,问是否存在点P,使得 是直角三角形?若存在,求出点P的坐标;若不存在,请说明 理由. 【答案】(1) (2)存在,点P的坐标为 或【分析】(1)设抛物线解析式为顶点式,代入 即可求解; (2)由 为锐角可知分两种情况:①当点P为直角顶点时,可得点 与点B重合,求出点B坐标即 可;②当点A为直角顶点时,证明 、 关于x轴对称,求出直线 的解析式,设 ,则 ,根据关于x轴对称的点的坐标特征列方程求解即可. 【详解】(1)解: 抛物线的顶点坐标为 , 可设该抛物线的解析式为 , 将 代入得: , 解得 , 抛物线的解析式为 ,即 ; (2)由题意可知, 为锐角, 需分点P为直角顶点和点A为直角顶点两种情况进行分析: ①当点P为直角顶点时,如图,点P、D分别在点 、 的位置. , 轴, 轴, 点A在x轴上, 点 也在x轴上, 此时点 与点B重合, 令 ,得 , 解得 , , 点A在点B的右侧,, , 此时点 的坐标为 ; ②当点A为直角顶点时,如图,点P、D分别在点 、 的位置. , , , 为等腰直角三角形, , , , 平分 , 又 轴, , 、 关于x轴对称, 设直线 的解析式为 , 将 , 代入得 , 解得 , 直线 的解析式为 , 设 ,则 , ,解得 , (舍), 当 时, , 此时点 的坐标为 . 综上可得,存在点P,使得 是直角三角形,点P的坐标为 或 . 【点睛】本题考查了待定系数法的应用,一次函数的图象和性质,二次函数的图象和性质,等腰直角三角 形的判定和性质等知识,熟练掌握数形结合思想与分类讨论思想的应用是解题的关键. 3.(2023上·山西阳泉·九年级统考期末)综合与探究:在平面直角坐标系中,抛物线 与 轴交于点 和点 ,与 轴交于点 ,过动点 作平行于 轴的直线 ,直线 与抛物线 相交于点 , . (1)求抛物线的表达式;(2)求 的取值范围; (3)直线 上是否存在一点 ,使得 是以 为直角边的等腰直角三角形?若存在,求 的值;若不存 在,请说明理由. 【答案】(1) ; (2) ; (3)存在,2或4. 【分析】(1)把点 和点 代入 ,求解即可; (2)将抛物线解析式化成顶点式,求得 的最小值为 .由直线 与抛物线有两个交点,即可得出 ; (3)分两种情况:①当 , 时,②如图,当 , 时,分别 求解即 可. 【详解】(1)解:∵抛物线 经过点 和点 , ∴ 解得 ∴抛物线的表达式为 . (2)解: ∴ 的最小值为 . ∵直线 与抛物线有两个交点,∴ . (3)解:存在. 当 时, . ∴点 的坐标为 . ①如图,当 , 时,过点 作 轴于 , ∴ . ∵ , , ∴ . 在 和 中, ∴ . ∴ . ∵ , ∴ . 延长 至 使得 ,此时 也是等腰直角三角形. 易得,此时 .(不合题意,舍去) ②如图,当 , 时,过点 作 轴于 ,∵ , , , ∴ . ∴ . ∴ . ∴ . 延长 ,使得 ,此时 也是等腰直角三角形. 同理可得, .(不合题意,舍去) 综上所述,直线 上存在一点 ,使得 是以 为直角边的等腰直角三角形. 的值为2或4. 【点睛】本题属二次函数综合题目,主要考查了用待定系数法求二次函数解析式,二次函数图象性质,二 次函数图象与直线交点问题,全等三角形判定与性质,等腰直角 三角形性质,属中考常考试题目,要求 学生熟练掌握相关性质并能灵活运用是解题的关键,注意(3)问要分类讨论,以免漏解. 4.(2023上·山西阳泉·九年级统考期末)综合与实践 如图,抛物线 与x轴交于A,B两点(点A在点B的左侧),与y轴交于点C,点B的坐标 是 ,点C的坐标是 ,抛物线的对称轴交x轴于点D.连接 .(1)求抛物线的解析式: (2)在抛物线的对称轴上是否存在点P,使 是以 为腰的等腰三角形?如果存在,求出点P的坐标; 如果不存在,请说明理由; (3)点E在x轴上运动,点F在抛物线上运动,当以点B,C,E,F为顶点的四边形是平行四边形,直接写 出点E的坐标. 【答案】(1) (2)存在, 或 或 (3) 或 或 或 【分析】(1)用待定系数法即可求解; (2)分两种情况:以C为顶点,即 ;以D为顶点,即 ,利用勾股定理及等腰三角形的 定义建立方程即可完成; (3)分三种情况:当 是对角线时;当 是对角线时;当 是对角线时;分别设点E与F的坐标,利 用中点坐标公式即可求解. 【详解】(1)解:∵点B的坐标是 ,点C的坐标是 , ∴ , 解得: ,∴所求抛物线解析式为 ; (2)解:存在 由抛物线解析式知,其对称轴为直线 , , 设 ,则 , , , ①以C为顶点,即 时; 则 , 解得: 或 (舍去), ∴点P的坐标 , ②以D为顶点,即 时, 则 , 解得: , ∴点P的坐标为 或 , 综上,点P的坐标为 或 或 ; (3)解:设点E的坐标为 ,点F的坐标为 , ①当 是对角线时; 由中点坐标公式得: , 解得: 或 (舍去), ∴点E的坐标 ; ②当 是对角线时;由中点坐标公式得: , 解得: , ∴点E的坐标为 或 ; ③当 是对角线时; 由中点坐标公式得: , 解得: 或 (舍去), ∴点E的坐标 ; 综上,点E的坐标为 或 或 或 . 【点睛】本题是二次函数的综合,考查了待定系数法,平行四边形的性质,等腰三角形的性质,中点坐标 公式,勾股定理等知识,本题有一定的综合性,注意分类讨论. 5.(2023上·山西长治·九年级统考期末)综合与实践 如图,抛物线 与 轴交于 和 两点(点 在点 的右侧),与 轴交于点 ,抛物线的顶 点是点 . (1)求点 , , 和点 四点的坐标;(2)如图1,连接 , 和 ,求 的面积; (3)点 在抛物线的对称轴上运动, 是以 为直角边的直角三角形,借助图2,直接写出点 的坐标. 【答案】(1) , , , (2) (3) 或者 【分析】(1)令 ,则有: ,即可得 , ,令 ,则有: ,可得 ,将 化为顶点式为: ,即可得顶点D的 坐标; (2)过点D作 于K点,根据(1)所求的点坐标可得 , , , , ,根据 即可作答; (3)先求出抛物线对称轴为: ,即设E点坐标为: ,结合 , ,可得 , , ,再根据 勾股定理,分类讨论即可作答. 【详解】(1)令 ,则有: , 解得: , , ∴ , , 令 ,则有: , ∴ ,将 化为顶点式为: , ∴顶点D的坐标为: ; (2)过点D作 于K点,如图, ∵ , , , , ∴ , , , , , 即: , ∴ , , , ∵ , ∴ ; (3)如图, ∵ , , ∴抛物线对称轴为: ,即设E点坐标为: , ∵ , , ∴ , , , ∵ 是以 为直角边的直角三角形, 即分类讨论: 当 为斜边时,有: , ∴ , 解得: , ∴此时点 的坐标 , 当 为斜边时,有: , ∴ , 解得: , ∴此时点 的坐标 , 综上:点 的坐标为 或者 . 【点睛】本题主要考查了二次函数的图象与性质,抛物线对称轴,二次函数与一元二次方程,勾股定理等 知识,掌握二次函数的图象与性质是解答本题的关键. 6.(2023上·山东泰安·九年级东平县实验中学校考期末)如图,抛物线 经过点 , ,与 轴正半轴交于点 ,且 ,对称轴交 轴于点 .直线 经过 , 两点.(1)求抛物线及直线 的函数表达式; (2)点 是直线 上方抛物线上一点,是否存在点F使 的面积最大,若有则求出点F坐标及最大面 积; (3)连接 ,若点 是抛物线上对称轴右侧一点,点 是直线 上一点,试探究是否存在以点E为直角 顶点的 ,且满足 .若存在,求出点 的坐标,若不存在,请说明理由. 【答案】(1)抛物线解析式 ;直线 的表达式 (2)F的坐标为 ; 最大值为4 (3)P点坐标为 或 【分析】(1)求出C点坐标,再用待定系数法求二次函数和一次函数解析式即可; (2)过点F作 轴,交 于点Q,设点F的坐标为 ,点Q的坐标为 , 用m表示出 的面积为 ,得出当 时, 有最大值,且最大值为4,求出 点F的坐标即可; (3)作QM⊥DE于M,PN⊥DE与N,证△MQE∽△NEP,设点P坐标,利用相似比表示出Q点坐标,代入 即可. 【详解】(1)解:∵ ,∴ ,C点坐标为 , ∵抛物线 经过点 , ,可设解析式为: , 把 代入,得 , 解得, , 抛物线解析式为 , 即 , 设 的解析式为 ,把 , 代入, 得 , 解得 , ∴ 的解析式为 ; (2)解:过点F作 轴,交 于点Q,如图所示: 设点F的坐标为 ,则点Q的坐标为 , ∴ , ∴, ∴当 时, 有最大值,且最大值为4, 此时点F的坐标为 ; (3)解:由(1)得, , ∴ , 作 于M, 于N, ∵ , ∴ , , ∴ , ∴ , ∴ , 如图1,设P点坐标为 , 则 , , , , 则Q点坐标为 , 代入 ,得 , 解得, , (舍去), 把 代入 ,得, , 故P点坐标为 ;如图2,设P点坐标为 , 同理可证得: , ∴ ∵ , , ∴ , , 则Q点坐标为 , 代入 ,得 , 解得, , (舍去), 把 代入 ,得, , 故P点坐标为 ; 综上,P点坐标为 或 .【点睛】本题主要考查了二次函数的综合,包括解直角三角形、直角三角形存在性问题,相似三角形的判 定与性质,解题关键是熟练运用二次函数知识,设出点的坐标,利用相似三角形的判定与性质表示出其他 点的坐标,列出方程. 7.(2023上·安徽滁州·九年级校联考期末)抛物线 与x轴交于A,B两点,A点 在B点左边,与y轴交于C点,顶点为M. (1)当 时,求点A,B,M的坐标; (2)如图1,在(1)的条件下,若P为抛物线对称轴上一个动点,且 为等腰三角形,求P点坐标; (3)如图2,若一次函数 的图象过A点且与抛物线交于另一点F,交对称轴于E, 轴, , .若 ,求 的值. 【答案】(1) , ,(2) 或 或 或 (3) 【分析】(1)解方程 即可得到A,B的坐标,把抛物线解析式配成顶点式即可得到M点坐标; (2)抛物线对称轴为 ,设 ,由 为等腰三角形分三种情况讨论即可解答; (3)作 ,构建 ,利用相似比即可求解. 【详解】(1)解:当 时,抛物线解析式为 , 令 ,解得 , , ∴ , , ∴ , ∴ ; (2)解:∵抛物线与y轴交于点C, ∴ ,又 , 抛物线对称轴为 ,设 , ∴ , , , ∵ 为等腰三角形, ①当 时, 有 , 解得: , ∴ ; ②当 时, 有 ,解得: , ∴ 或 ; ③当 时, 有 , 解得: 或 (舍去), ∴ ; 综上,P点坐标为 或 或 或 ; (3)解:过E作 ,垂足为N,设对称轴与x轴交于点H, ∵ , 轴, ∴四边形 为矩形, ∴ , ∵ , ∴ , , ∴ , ∴ , , ∴ , ∴ , ∵ , ∴ , 又可以得到 , , ∴ , , ∵ , ∴ , ∴ ,∴ , ∴ . 【点睛】本题考查了二次函数的综合题,解题的关键是熟练掌握二次函数图象上点的坐标特征和二次函数 的性质,会利用待定系数法求函数解析式,会求抛物线与x轴的交点坐标. 8.(2023上·山东东营·九年级校考期末)如图,抛物线 交x轴于A、B两点,交y轴于点 C,点A的坐标为 ,点C坐标为 ,对称轴为 .点M为线段 上的一个动点(不与两端点 重合),过点M作 轴,交抛物线于点P,交 于点Q. (1)求抛物线及直线 的表达式; (2)过点P作 ,垂足为点N.求线段 的最大值; (3)试探究点M在运动过程中,是否存在这样的点Q,使得以A,C,Q为顶点的三角形是等腰三角形.若 存在,请求出此时点Q的坐标;若不存在,请说明理由. 【答案】(1)抛物线解析式为 ,直线BC的解析式为 ; (2)最大值为 (3)存在, 或 或 【分析】(1)先利用对称性求出点B的坐标,运用待定系数法即可求得答案;(2)设 ,则 , ,由 ,可得 ,再由平行线 性质可得 ,根据三角函数定义可得 ,利用二次函数最值即 可得出答案; (3)设 ,利用勾股定理或两点间距离公式可得: , , ,根据等腰三角形性质分三种情况: 或 或 ,分别建立方程求解即可 得出答案. 【详解】(1)∵抛物线对称轴为 ,点B与 关于直线x=1对称, ∴ , 设 ,把 代入得: , 解得: , ∴ , 设直线 的解析式为 ,则 , 解得: , ∴直线 的解析式为 , 故抛物线解析式为 ,直线 的解析式为 ; (2)设 ,则 , ∴ , ∵ , , ∴ , ∵ 轴,∴ 轴, ∴ , ∵ , ∴ , ∵ , ∴当 时, 的最大值为 ; (3)存在,设 , ∵ , , ∴ , , , ∵以A,C,Q为顶点的三角形是等腰三角形, ∴ 或 或 , 当 时, , 解得: (舍去)或 , ∴ ; 当 时, , 解得: (舍去)或 , ∴ ; 当 时, , 解得: , ∴ ; 综上所述,点Q的坐标为 或 或【点睛】本题是二次函数综合题,考查了待定系数法求函数解析式,二次函数的图象及性质,三角函数, 等腰直角三角形性质,等腰三角形性质,勾股定理,两点间距离公式等,其中(3),要注意分类求解, 避免遗漏. 题型五:特殊四边形问题 1.(2022上·辽宁葫芦岛·九年级统考期末)如图,在平面直角坐标系中,抛物线 与 轴交 于点 ,与 轴交于点 . (1)求抛物线的函数解析式. (2)如图1,点 为直线 下方抛物线上一动点,过点 作 轴的平行线交 于点 ,过点 作 轴的平 行线交 轴于点 ,过点 作 轴的平行线交 轴于点 ,得到矩形 ,求矩形 的周长最大值 及此时点 的坐标; (3)点 是直线 上一动点,点 是在平面内一点,当以点 , , , 为顶点的四边形是菱形时,请 直接写出点 的坐标.(参考数据: ) 【答案】(1) (2)当 时,矩形 的周长最大值为 ; (3) 或 或 【分析】(1)待定系数法求解析式即可求解;(2)根据抛物线解析式求得点 的坐标,进而得出直线 的解析式,设 ,依题意, , ,得出 ,根据矩形的周长得出关于 的二次函数,进而根据二 次函数的性质即可求解; (3)点 是直线 上一动点,设 ,分三种情况讨论,①当 为对角线时,则 , 即 ②当 为对角线时,则 ,即 ,当 为对 角线时, 即 ,根据菱形的性质进而求得 点的坐标即可求解. 【详解】(1)解:∵抛物线 与 轴交于点 , ∴ 解得: ∴抛物线的函数解析式为: (2)解:由 ,令 ,解得 , ∴ , 设过点 , 的直线 解析式为 , 则 , 解得: , ∴直线 的解析式为 ;设 , 依题意, , , ∴ ∴矩形 的周长为 , ∵ , ∴当 时,矩形 的周长最大值为 ; ∴ ; (3)解:∵点 是直线 上一动点, 设 ,∵ ∴ , , ①当 为对角线时,则 , 即 解得: ,则根据平移可得 ②当 为对角线时,则 , 即 解得: ,则 ,根据轴对称可得 当 为对角线时, 即 解得: ∴ , 由平移得:综上所述, 或 或 . 【点睛】本题考查了二次函数综合运用,待定系数法求解析式,线段周长最值问题,特殊四边形,掌握二 次函数的性质是解题的关键. 2.(2023上·辽宁葫芦岛·九年级统考期末)如图,抛物线 与 轴交于点 和点 , 与 轴交于点 ,过点 作 轴的平行线交抛物线于点 ,点 在直线 上运动. (1)求抛物线的解析式; (2)当点 在线段 上,点 关于直线 的对称点 恰好落在 轴上时,求点 坐标; (3)点 在抛物线上,点 在坐标平面内,在点 移动的过程中,当以点 , , , 为顶点的四边形是 正方形时,请直接写出点 的坐标. 【答案】(1)(2) (3) , , , , , , , 【分析】(1)利用待定系数法解答,即可求解; (2)连接 , ,根据点 和点 关于直线 的对称,可得 , ,可得 ,从 而得到 ,进而得到 ,设点 ,在 中,根据勾股定理求出m的值,即可求解; (3)分四种情况:当 , 为一组邻边时;当 , 为一组邻边时;当 , 为一组邻边时;当 为对角线时,结合正方形的性质,列出方程组,即可求解. 【详解】(1)解:∵抛物线 与 轴交于点 和 ∴ 解得: ∴ (2)解:连接 , , ∵点 和点 关于直线 的对称, ∴ , , ∵ , 轴, ∴当 时, ,∴ , , ∴ , ∴ , ∵ , , ∴ , ∴ , 设点 , ∴ , , 在 中, , ∴ , ∴ , (3)解:设点 ,点 , , 当 , 为一组邻边时, ,整理得: , 即 , 解得: , 此时 , ; 当 , 为一组邻边时, , 同理解得: 或 , 此时 , ; 当 , 为一组邻边时, , 同理解得: 或 , 此时 , ; 当 为对角线时,, 同理解得: 或 , 此时 , ; 综上所述, , , , , , , , . 【点睛】本题主要考查了二次函数的综合题,正方形的性质,勾股定理等知识,利用数形结合思想和分类 讨论思想解答是解题的关键. 3.(2023上·山东东营·九年级东营市胜利第一初级中学校考期末)如图,在平面直角坐标系 中,直线 分别交 轴、 轴于 , 两点,经过 , 两点的抛物线 与 轴的正半轴相交于 点 . (1)求抛物线的解析式; (2)若 为线段 上一点, ,求 的长;(3)在(2)的条件下,设 是 轴上一点,试问:抛物线上是否存在点 ,使得以 , , , 为顶 点的四边形为平行四边形?若存在,求出点 的坐标;若不存在,请说明理由. 【答案】(1) (2) (3)存在, 、 或 【分析】(1)利用直线 与y轴的交点求得点B的坐标,然后把点B、C的坐标代入 ,即可求解; (2)先求得点A的坐标,证得 ,利用对应边成比例即可求解; (3)分点N在 的上方或下方两种情况进行讨论,根据平行四边形的性质和等腰直角三角形的性质,利 用三角形全等,即可求解. 【详解】(1)令 ,则 , ∴点B的坐标为 , 抛物线 经过点 , ∴ ,解得 , ∴抛物线的解析式为: ; (2)令 ,则 , 解得: , ∴点A的坐标为( ,0), ∴ ,, ∵ ,且 , ∴ , ∴ ,即 , ∴ ; (3)存在, 过点P作 轴于点D, ∵ , ∴ , ∴ 为等腰直角三角形, ∵ , ∴ , ∴点P的坐标为 , 当N在 的上方时,过点N作 轴于点E,如图, ∵四边形 为平行四边形, ∴ ,∴ , ∴ 为等腰直角三角形, ∴ , ∴ , 当 时, , ∴点N的坐标为 , 当N在 的下方时,过点N作 轴于点F,如图, 同理可得: , ∴ , 当 时, , ∴点N的坐标为 , 当 为平行四边形的对角线时,根据中点坐标可以知道,点N的横坐标为 , ∴ ,综上,点N的坐标为 、 或 . 【点睛】本题是二次函数与相似三角形的综合问题,解题的关键是掌握待定系数法求二次函数与一次函数 的解析式、二次函数的性质、平行四边形的性质、等腰直角三角形的性质、全等三角形的判定和性质等知 识点.正确作出图形是解题的关键. 4.(2023上·重庆开州·九年级统考期末)如图1,抛物线 与 轴交于 , ,与 轴交于点 . (1)求抛物线的解析式; (2)如图2,点 、 为直线 下方抛物线上的两点,点 的横坐标比点 的横坐标大1,过点 作 轴交 于点 ,过点 作 轴交 于点 ,求 的最大值及此时点 的坐标; (3)如图3,将抛物线 先向右平移1个单位长度,再向下平移1个单位长度得到新的抛 物线 ,在 的对称轴上有一点 ,坐标平面内有一点 ,使得以点 、 、 、 为顶点的四边形是矩 形,请直接写出所有满足条件的点 的坐标. 【答案】(1)抛物线的解析式为 (2)当 时, , (3) 或 或 或 【分析】(1)直接运用待定系数法即可解答;(2)设 ,则 ,进而得到 , ;再表示出 ,最后根据二次函数的性质即可解答; (3)分以 为矩形一边和对角线两种情况,分别根据等腰直角三角形的性质、平移和矩形的判定定理解 答即可. 【详解】(1)解:把 和 代入 ,得 ,解得 , ∴抛物线的解析式为 . (2)解:设 ,则 . 又 ∴ , ∴ , ∴ ∴当 时, ∴ . (3)解:由题意可得: , ∴ 的对称轴为 ∵抛物线 与 轴交于点 . ∴ , ∵ ,∴ , ; 如图:当 为矩形一边时,且点D在x轴的下方,过D作 轴, ∵D在 的对称轴为 , ∴ , ∴ , ,即点 , ∴点C向右平移2个单位、向下平移3个单位可得到点D,则点B向右平移2个单位、向下平移3个单位可 得到 ; 如图:当 为矩形一边时,且点D在x轴的上方, 的对称轴为 与x轴交于F, ∵D在 的对称轴为 , ∴ , ∴ , ∵ ,即 , ∴ ,即点 , ∴点B向左平移1个单位、向上平移1个单位可得到点D,则点C向左平移1个单位、向上平移1个单位可 得到点 ;如图:当 为矩形对角线时,设 , , ∴ 的中点F的坐标为 , ∴ ,解得: 又∵ , ∴ ,解得: , 联立 ,解得: , ∴点E的坐标为 或 . 综上,存在 或 或 或 使以点 、 、 、 为顶点的四边形是矩 形.【点睛】本题主要考查了运用待定系数法求解析式、运用二次函数的性质求最值、二次函数与几何的综合 等知识点,掌握二次函数的性质和矩形的判定定理是解答本题的关键. 5.(2023上·湖南湘西·九年级统考期末)如图,在平面直角坐标系中,二次函数 与x轴交于 A、B两点(A点在B点的左侧),直线 与抛物线交于A、C两点. (1)求点C的坐标; (2)点P为直线 下方抛物线上一点,过点P作y轴平行线交 于E点,当 最长时求此时点P的坐标; (3)抛物线顶点为M,在平面内是否存在点N,使以 为顶点的四边形为平行四边形?若存在请求 出N点坐标并在备用图中画出图形;若不存在,请说明理由. 【答案】(1) (2) (3)存在,点N的坐标为: , , ,见解析 【详解】(1)解:在 中,令 ,得 , 解得: , ,, 直线 经过点 , ,解得: , 直线 的解析式为 , 联立方程组,得 , 解得: , ; (2)如图1,设点 ,则点 , , , 当 时, 取得最大值 ,此时, ; (3) , 抛物线顶点为 ,如图2,点 为顶点的四边形是平行四边形时,设 ,分三种情况: ① 为对角线时, 的中点与 的中点重合, , ,解得: , , , ② 为对角线时, 的中点与 的中点重合, , ,解得: , , , ③ 为对角线时, 的中点与 的中点重合, , , 解得: , , , 综上所述,点N的坐标为: , , . 【点睛】本题考查了求抛物线与x轴的交点,待定系数法求一次函数解析式,二次函数的最值问题,平行 四边形的性质,要分情况讨论求解,以防遗漏. 题型六:相似三角形问题 1.(2023上·山东威海·九年级统考期末)如图,直线 与x轴,y轴分别交于点 , ,经过B,C两点的抛物线 与x轴的另一个交点为A,顶点为P. (1)求该抛物线的解析式及点P的坐标; (2)当 时,在抛物线上存在点E,使 的面积有最大值,求点E的坐标; (3)连接 ,点N在x轴上,是否存在以B,P,N为顶点的三角形与 相似?若存在,求出点N的坐 标;若不存在,说明理由. 【答案】(1) ,点P的坐标为 ; (2)点E的坐标为 ; (3)存在,点N的坐标为 ,或 【分析】(1)将点 , 代入 ,求出b,c,即可得到抛物线解析式,配方解析 式即可得到顶点; (2)在抛物线上取点E,连接 , ,过E作x轴的垂线,交 于点F,设出点E,F的坐标,列出函 数,根据函数的性质即可得到答案; (3)根据B,C ,P三点坐标即可得到 ,根据对应边成比例夹角相等三角形相似分两 类边对应成比例列式解方程即可得到答案; 【详解】(1)解:将点 , 代入 得, ,解得: , ∴ ,∴ , ∴顶点P的坐标为: ; (2)解:在抛物线上取点E,连接 , ,过E作x轴的垂线,交 于点F, 设点 ,则点 , ∴ , ∴ , ∴当 时, 的面积有最大值, 此时,点E的坐标为 ; (3)解:存在理由如下, 连接 ,设 , 当 时, , 解得 , , ∴ , ∵ , , , ∴ , ①当 时, ,∴ , 解得 ,所以点N的坐标为 , ②当 时, , ∴ , 解得 ,所以点N的坐标为 , 综上所述,点N的坐标为 ,或 . 【点睛】本题是二次函数综合问题,主要考查了二次函数的最大值、待定系数法求解析式及相似三角形的 性质,解题的关键是根据条件列函数或方程. 2.(2023上·广西百色·九年级统考期末)如图,二次函数 的图像与x轴交于点 ,与y轴相交于点C. (1)求这个二次函数的解析式; (2)若点M在此抛物线上,且在y轴的右侧. 与y轴相切,过点M作 轴,垂足为点D.以C, D,M为顶点的三角形与 相似,求点M的坐标. 【答案】(1) (2)满足条件的点M的坐标为:( , ),( , ),(3,-4)【分析】(1)利用待定系数法求解即可; (2)设 ,且 ,先求出 ,得到 ,再由 ,以C,D,M为顶点的三 角形与 相似,得到 ,或 , 然后分①当 时,②当 时,两种情况 求出对应的 ,然后利用相似三角形的性质建立方程求解即可. 【详解】(1)解:∵ 二次函数 的图像与x轴相交于点 , ∴ , 解得 , ∴ 二次函数的解析式为: ; (2)解:设 ,且 . ∵ 点M在二次函数的图像上, ∴ , ∵二次函数 与y轴交于点C, ∴ , ∴ , ∵ 轴, ∵ , 又∵以C,D,M为顶点的三角形与 相似, ∴ ,或 , ①当 时, , ∴ 或 . 解得: (舍去), , 或 (舍去), (舍去),∴满足题意的M的坐标为 ; ②当 时, , ∴ 解得: (舍去) , ,或 (舍去), , 满足题意的M的坐标为 或 ; 综上所述,满足条件的点M的坐标为: 或 或 . 【点睛】本题主要考查了待定系数法求二次函数解析式,二次函数综合,相似三角形的性质,利用分类讨 论的思想求解是解题的关键. 3.(2023上·湖北十堰·九年级统考期末)如图,二次函数 的图象与x轴交于点 ,B 两点,与y轴交于点C,并且 ,D是抛物线的一个动点, 轴于点F,交直线 于点E.(1)求出二次函数解析式及 所在直线的表达式; (2)在点D运动的过程中,试求使以O,C,D,E为顶点的四边形为平行四边形的点D的坐标; (3)连接 ,在点D运动的过程中,抛物线上是否存在点D,使得以点D,C,E为顶点的三角形与 相似?如果存在,求出点D的坐标,如果不存在,请说明理由. 【答案】(1) , (2)D的坐标为 或 或 ; (3)存在, 或 . 【分析】(1)先求得 , ,推出 ,利用待定系数法可求得二次函数的解析式,再利用 待定系数法即可求得 所在直线的解析式; (2)只要 ,此时以O,C,D,E为顶点的四边形为平行四边形,设点D的横坐标为t,则 , ,得到 ,解方程即可求解; (3)分两种情况,当 或 时,以点D,C,E为顶点的三角形与 相似,利用相似 三角形的性质得到方程,解方程即可求解. 【详解】(1)解:令 ,则 , ∴ , , ∵ ,∴ , 由题意,将 , 代入 ,得 ,解得 , ∴二次函数的表达式为 , 设线段 所在直线的表达式为 , ∴ ,解得 , ∴ 所在直线的表达式为 ; (2)解:∵ 轴, ∴ , 只要 ,此时以O,C,D,E为顶点的四边形为平行四边形. 设点D的横坐标为t,则 , , , 由 , ∴ ,或 , 解之,得 , 当 时, , 当 时, , 当 时, , ∴D的坐标为 或 或 ; (3)解:∵ , ∴只有当 或 时,以点D,C,E为顶点的三角形与 相似,设 , 则 , , , , ①当 时,如图, , 解得, , 此时,D点坐标为 , ; ②当 时,如图, , 解得, , 此时,D点坐标为 , , 综上,当以点D,C,E为顶点的三角形与 相似时,点D的坐标为 或 . 【点睛】本题是二次函数综合题目,考查了待定系数法求二次函数和一次函数的解析式、二次函数的性质、平行四边形的判定与性质、平行线的性质、相似三角形的判定与性质、勾股定理等知识;本题综合性强, 熟练掌握待定系数法求函数解析式,熟记二次函数的性质是解题的关键. 4.(2023上·广东河源·九年级校考期末)如图,抛物线 经过点 和点 ,与 y轴交于点C,顶点为D,连接 、 , 与抛物线的对称轴l交于点E. (1)求该抛物线的函数表达式; (2)点P是第一象限抛物线上的动点,连接 , ,当四边形 面积取最大值时,求点P的坐标; (3)点N是对称轴l右侧抛物线上的动点,在射线ED上是否存在点M,使得以M,N,E为顶点的三角形与 相似?若存在,直接写出点M的坐标,若不存在,请说明理由. 【答案】(1) (2) (3) 或 或 【分析】(1)将 、 代入 ,列方程组求出 、 的值即可; (2)过点 作 轴于点 ,交 于点 ,先求出直线 的函数表达式,再设点 的横坐标为 , 将线段 及四边形 的面积用含 的代数式表示,再根据二次函的性质求出四边形 面积取最大 值时点 的坐标; (3)存在符合条件的点 ,设 , ,先求出抛物线的对称轴和点 的坐标,确定 是等腰三角形,则以 , , 为顶点的三角形也是等腰三角形,再按 , 和 , ,以及 , ,分别求出点 的坐标. 【详解】(1)解: 抛物线 经过点 和点 ,, 解得 , 该抛物线的函数表达式为 . (2)如图1,过点 作 轴于点 ,交 于点 , 抛物线 ,当 时, , , 设直线 的函数表达式为 ,则 , 解得 , 直线 的函数表达式为 , 设 , ,则 , , , , , 当 时,四边形 面积取最大值,此时 , .(3)存在,设 , , , , 是等腰直角三角形, 以 , , 为顶点的三角形与 相似, 以 , , 为顶点的三角形是等腰直角三角形, 点 、 关于抛物线的对称轴对称, 抛物线的对称轴为直线 , 直线 ,当 时, , , 设直线 交 轴于点 , 如图2, , ,则 , 解得 , (不符合题意,舍去), , , ; 如图3, , ,则 ,, 解得 , (不符合题意,舍去), ; 如图4, , , 作 于点 ,则 , , 由图3可知 , , , , 综上所述, 的坐标为 或 或 . 【点睛】此题重点考查二次函数的图象与性质、一次函数的图象与性质、用待定系数法求函数表达式、相 似三角形的判定、等腰直角三角形的判定与性质、解一元二次方程等知识与方法,还涉及数形结合、分类 讨论等数学思想的运用,此题难度较大,属于考试压轴题.5.(2023上·河北保定·九年级校考期末)如图,抛物线 与x轴交于O,A两点, 是抛物 线的顶点, 轴于点D. (1)求抛物线的解析式. (2)P为抛物线上位于点A,C之间的一点,连接 ,若 恰好平分 的面积,求点P的坐标. (3)Q为抛物线上位于点A,C之间的一点,连接OQ,作 轴于点E,是否存在点Q使得 与 相似.若存在,请直接写出点Q的横坐标的值;若不存在,请说明理由. 【答案】(1) (2) (3) 【分析】(1)根据顶点列对称轴等式及代入解析式求解即可得到答案; (2)根据 恰好平分 的面积,即可得到 一定经过 的中点,计算 的中点,设 解析式 为 ,将中点代入求出解析式,联立抛物线解出交点即可得到答案; (3)设出点Q坐标,根据相似三角形判定,分 与 两类列式求解即可得到答案; 【详解】(1)解:∵ 是抛物线的顶点, ∴ , , 解得: , ,∴ ; (2)解:∵ , 轴于点D, ∴ , ∴ 中点坐标为 , ∵ 恰好平分 的面积, ∴ 一定经过 的中点, 设 解析式为 , ∴ , 解得: , ∴ , 联立 , 得, 解得: , (不符合题意舍去), ∴点P的坐标为: ; (3)解:设 , ∵ 轴, ∴ , , ∵ , ∴①当 时, 与 相似, 即 , 解得: , (不符合题意舍去 ),∴ ; ∴②当 时, 与 相似, 即 , 解得: (不符合题意舍去 ), (不符合题意舍去 ), 综上所述存在点Q使得 与 相似,点Q的横坐标的值为 . 【点睛】本题考查二次函数综合题,主要考了待定系数法求解析式,抛物线上特殊面积问题,抛物线上相 似三角形问题,解题的关键是分类讨论相似情况列方程求解. 6.(2023上·河南省直辖县级单位·九年级校联考期末)已知抛物线 与x轴分别交于点 ,对称轴 与x轴交于点C,顶点为D. (1)求抛物线的解析式; (2)若点P为 右侧抛物线上的一个动点(点P与顶点D不重合), 于点Q,当 与 相似时,求点P的坐标. 【答案】(1) (2)点P的坐标为 或【分析】(1)利用待定系数法求解即可; (2)先求出 及 的长,再设点P的坐标为 ,求出 及 的长,再分 及 两种情况进行讨论,分别求出点P的坐标; 【详解】(1)解:将点 代入抛物线 ,得 ∴解得 ∴抛物线的解析式为 . (2)解:抛物线与x轴分别交于点 , ∴抛物线的对称轴为直线 . ∴ . 把 代入 得, . ∴ . 设点P的坐标为 , ∴ , ∴Q点的坐标为 . ∴ , . ①当 时, 即解得 (舍去), . 当 时, . ∴点P的坐标为 . ②当 时, 即 解得 (舍去), 当 , ∴点P的坐标为 . ∴点P的坐标为 或 . 【点睛】本题属于二次函数综合题,考查了利用待定系数法求函数的解析式、直线与抛物线的交点坐标、 相似三角形的判定与性质等知识点,熟练掌握相关性质及定理是解题的关键.