当前位置:首页>文档>猜想05概率初步(常考必刷30题9种题型专项训练)(原卷版)_初中数学人教版_9上-初中数学人教版_06习题试卷_7期中期末复习专题_2023-2024学年九年级数学上学期期末考点大串讲(人教版)

猜想05概率初步(常考必刷30题9种题型专项训练)(原卷版)_初中数学人教版_9上-初中数学人教版_06习题试卷_7期中期末复习专题_2023-2024学年九年级数学上学期期末考点大串讲(人教版)

  • 2026-04-01 16:13:35 2026-03-28 10:57:48

文档预览

猜想05概率初步(常考必刷30题9种题型专项训练)(原卷版)_初中数学人教版_9上-初中数学人教版_06习题试卷_7期中期末复习专题_2023-2024学年九年级数学上学期期末考点大串讲(人教版)
猜想05概率初步(常考必刷30题9种题型专项训练)(原卷版)_初中数学人教版_9上-初中数学人教版_06习题试卷_7期中期末复习专题_2023-2024学年九年级数学上学期期末考点大串讲(人教版)
猜想05概率初步(常考必刷30题9种题型专项训练)(原卷版)_初中数学人教版_9上-初中数学人教版_06习题试卷_7期中期末复习专题_2023-2024学年九年级数学上学期期末考点大串讲(人教版)
猜想05概率初步(常考必刷30题9种题型专项训练)(原卷版)_初中数学人教版_9上-初中数学人教版_06习题试卷_7期中期末复习专题_2023-2024学年九年级数学上学期期末考点大串讲(人教版)
猜想05概率初步(常考必刷30题9种题型专项训练)(原卷版)_初中数学人教版_9上-初中数学人教版_06习题试卷_7期中期末复习专题_2023-2024学年九年级数学上学期期末考点大串讲(人教版)
猜想05概率初步(常考必刷30题9种题型专项训练)(原卷版)_初中数学人教版_9上-初中数学人教版_06习题试卷_7期中期末复习专题_2023-2024学年九年级数学上学期期末考点大串讲(人教版)
猜想05概率初步(常考必刷30题9种题型专项训练)(原卷版)_初中数学人教版_9上-初中数学人教版_06习题试卷_7期中期末复习专题_2023-2024学年九年级数学上学期期末考点大串讲(人教版)
猜想05概率初步(常考必刷30题9种题型专项训练)(原卷版)_初中数学人教版_9上-初中数学人教版_06习题试卷_7期中期末复习专题_2023-2024学年九年级数学上学期期末考点大串讲(人教版)
猜想05概率初步(常考必刷30题9种题型专项训练)(原卷版)_初中数学人教版_9上-初中数学人教版_06习题试卷_7期中期末复习专题_2023-2024学年九年级数学上学期期末考点大串讲(人教版)
猜想05概率初步(常考必刷30题9种题型专项训练)(原卷版)_初中数学人教版_9上-初中数学人教版_06习题试卷_7期中期末复习专题_2023-2024学年九年级数学上学期期末考点大串讲(人教版)
猜想05概率初步(常考必刷30题9种题型专项训练)(原卷版)_初中数学人教版_9上-初中数学人教版_06习题试卷_7期中期末复习专题_2023-2024学年九年级数学上学期期末考点大串讲(人教版)
猜想05概率初步(常考必刷30题9种题型专项训练)(原卷版)_初中数学人教版_9上-初中数学人教版_06习题试卷_7期中期末复习专题_2023-2024学年九年级数学上学期期末考点大串讲(人教版)
猜想05概率初步(常考必刷30题9种题型专项训练)(原卷版)_初中数学人教版_9上-初中数学人教版_06习题试卷_7期中期末复习专题_2023-2024学年九年级数学上学期期末考点大串讲(人教版)
猜想05概率初步(常考必刷30题9种题型专项训练)(原卷版)_初中数学人教版_9上-初中数学人教版_06习题试卷_7期中期末复习专题_2023-2024学年九年级数学上学期期末考点大串讲(人教版)
猜想05概率初步(常考必刷30题9种题型专项训练)(原卷版)_初中数学人教版_9上-初中数学人教版_06习题试卷_7期中期末复习专题_2023-2024学年九年级数学上学期期末考点大串讲(人教版)
猜想05概率初步(常考必刷30题9种题型专项训练)(原卷版)_初中数学人教版_9上-初中数学人教版_06习题试卷_7期中期末复习专题_2023-2024学年九年级数学上学期期末考点大串讲(人教版)

文档信息

文档格式
docx
文档大小
0.256 MB
文档页数
12 页
上传时间
2026-03-28 10:57:48

文档内容

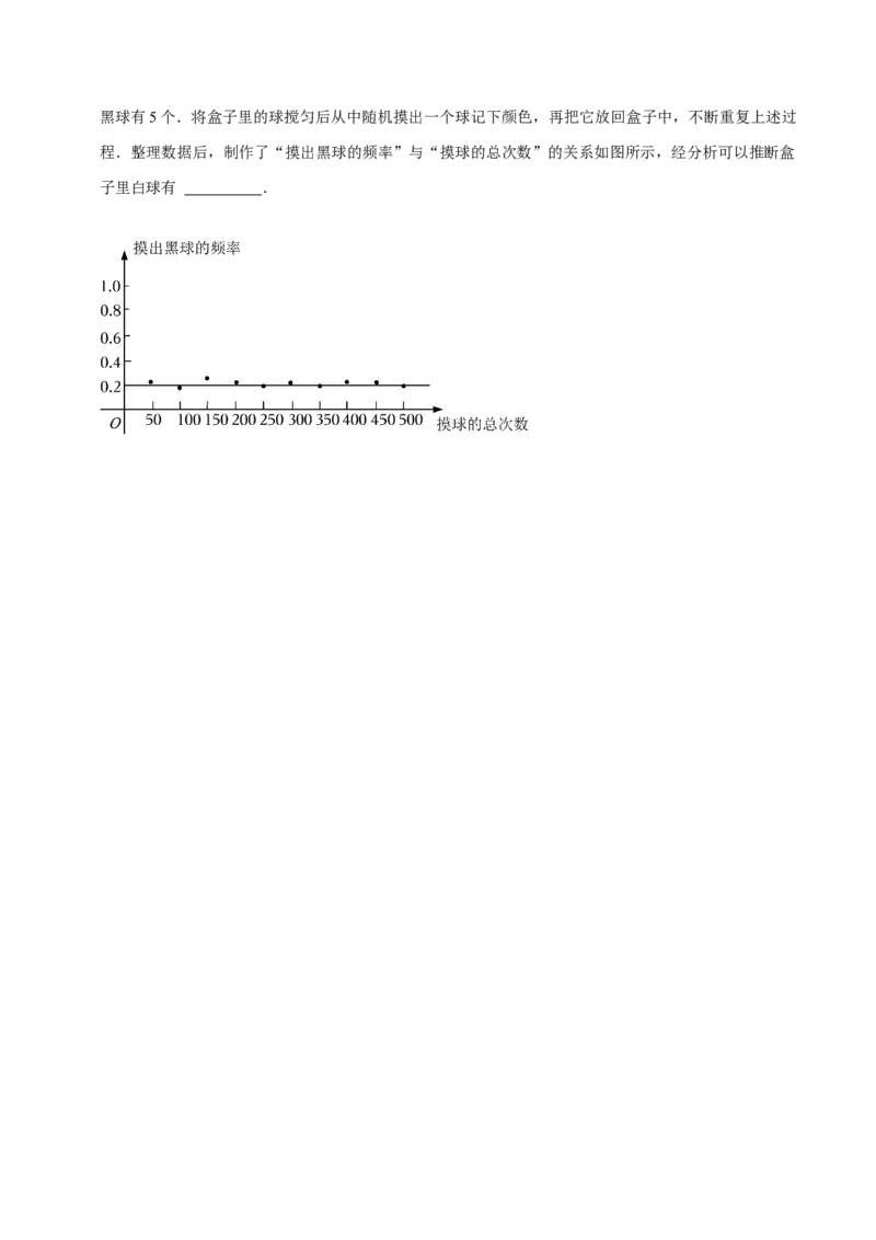
猜想 05 概率初步(常考必刷 30 题 9 种题型专项训练) 一.随机事件(共1小题) 1.(2022秋•保德县校级期末)下列事件是必然事件的是( ) A.刻舟求剑 B.两个不同温度的物体靠在一起,发生热传递 C.水溶解金属 D.受精卵发生了基因突变 二.可能性的大小(共2小题) 2.(2022秋•惠安县期末)口袋中放有3只红球和11只黄球,这两种球除颜色外没有任何区别,随机从 口袋中任取一只球,取得黄球的可能性的大小是( ) A. B. C. D. 3.(2022秋•宜阳县期末)甲袋中放着22个红球和8个黑球,乙袋中放着100个红球、40个黑球和5个 白球.三种球除了颜色以外没有任何区别.两袋中的球都已经各自搅匀,从袋中任取1个球,如果你想 取出一个黑球,选哪个袋成功的机会大呢?请说明理由. 三.概率的意义(共2小题) 4.(2022秋•新乡期末)下列说法正确的是( ) A.若你在上一个路口遇到绿灯,则在下一路口必遇到红灯 B.某篮球运动员2次罚球,投中一个,则可断定他罚球命中的概率一定为50% C.“明天我市会下雨”是随机事件 D.若某种彩票中奖的概率是1%,则买100张该种彩票一定会中奖 5.(2023春•清苑区期末)已知抛一枚均匀硬币正面朝上的概率为 ,下列说法错误的是( ) A.通过抛一枚均匀硬币确定篮球赛中谁先发球是公平的 B.大量重复抛一枚均匀硬币,出现正面朝上的频率稳定于 C.连续抛一枚均匀硬币10次可能都是正面朝上 D.连续抛一枚均匀硬币2次必有1次正面朝上 四.概率公式(共5小题) 6.(2023秋•瑞安市期末)如图A是某公园的进口,B,C,D是三个不同的出口,小明从A处进入公园, 那么从B,C,D三个出口中恰好在C出口出来的概率为( )A. B. C. D. 7.(2022秋•合川区期末)在一个不透明袋子中有3个红球和2个黑球,这些球除颜色外无其他差别.从 袋子中随机取出1个球,则取出红球的概率是 . 8.(2022秋•青羊区期末)一个密码锁的密码由四个数字组成,每个数字都是 0~9这十个数字中的一个, 只有当四个数字与所设定的密码相同时,才能将锁打开,粗心的小张忘记了后两个数字,他一次就能打 开该锁的概率是 . 9.(2022秋•朝阳区期末)如图是一个可以自由转动的质地均匀的转盘,被分成12个相同的小扇形.若 把某些小扇形涂上红色,使转动的转盘停止时,指针指向红色的概率是 ,则涂上红色的小扇形有 个. 10.(2022秋•延边州期末)一个批发商从某服装制造公司购进了 50包型号为L的衬衫,由于包装工人的 疏忽,在包裹中混进了型号为M的衬衫,每一包中混入的M号衬衫数见下表: M号衬衫数 0 1 4 5 7 9 10 11 包数 7 3 10 15 5 4 3 3 一位零售商从50包中任意选取了一包,求下列事件的概率: (1)包中没有混入的M号衬衫; (2)包中混入的M号衬衫数不超过7; (3)包中混入的M号衬衫数超过10.五.几何概率(共4小题) 11.(2022秋•仙桃校级期末)如图,是由7个全等的正六边形组成的图案,假设可以随机在图中取点, 那么这个点取在阴影部分的概率是( ) A. B. C. D. 12.(2022秋•潼南区期末)一个小球在如图所示的地板上自由滚动,并随机停在某块方砖上.如果每一 块方砖除颜色外完全相同,那么小球最终停留在黑砖上的概率是( ) A. B. C. D. 13.(2022秋•江阴市期末)一只蜘蛛爬到如图所示的一面墙上,停留位置是随机的,则停留在阴影区域 上的概率是 . 14.(2022秋•城厢区校级期末)如图,点O为正方形的中心,点E、F分别在正方形的边上,且∠EOF= 90°,随机地往图中投一粒米,则米粒落在图中阴影部分的概率是 .六.列表法与树状图法(共3小题) 15.(2022秋•高青县期末)为解决“在甲、乙两个不透明口袋中随机摸球”的问题,小明画出如图所示 的树状图,已知这些球除颜色外无其他差别,根据树状图,小明从两个口袋中各随机取出一个球,其中 取出的球是一个红球和一个白球的结果共有( )种. A.1 B.2 C.3 D.4 16.(2022秋•温州期末)如图,一只松鼠先经过第一道门(A,B或C),再经过第二道门(D或E)出 去,则松鼠走出笼子的路线是“先经过A门,再经过E门”的概率是( ) A. B. C. D. 17.(2022秋•大名县校级期末)“二十四节气”是中华上古农耕文明的智慧结晶,被国际气象界誉为 “中国第五大发明”.小文购买了“二十四节气”主题邮票,他要将“立春”“立夏”“秋分”“大 寒”四张邮票中的两张送给好朋友小乐.小文将它们背面朝上放在桌面上(邮票背面完全相同),让小 乐从中随机抽取一张(不放回),再从中随机抽取一张,则小乐抽到的两张邮票恰好是“立春”和“立 夏”的概率是( ) A. B. C. D. 七.游戏公平性(共5小题) 18.(2022秋•灵宝市期末)甲、乙两人做游戏,他们准备了一个质量分布均匀的正六面体骰子,骰子的 六个面分别标有1,2,3,4,5,6.若掷出的骰子的点数是偶数,则甲赢;若掷出的骰子的点数是3的 倍数,则乙赢.这个游戏对甲、乙来说是 的.(填“公平”或“不公平”) 19.(2022秋•丰南区校级期末)小明和小亮玩一个游戏:三张大小、质地都相同的卡片上分别标有数字 1,2,3,现将标有数字的一面朝下,小明从中任意抽取一张后,小亮再从剩下的卡片中抽取一张.计算小明和小亮抽得的两个数字之和,如果和为奇数则小明胜,和为偶数则小亮胜. (1)请用列表法或树状图等方法求小明获胜的概率; (2)你认为该游戏对双方是否公平?请说明理由. 20.(2022秋•息县期末)2022年10月12日下午,“天宫课堂”第三课开讲,航天员陈冬、刘洋、蔡旭 哲相互配合进行授课,激发了同学们学习航天知识的热情.在学校组织的航天知识竞赛中,小明和小雪 均获得了一等奖,学校决定通过两人做游戏的方式,从中选取一名游戏获胜的同学作为代表分享获奖心 得.游戏规则如下: 甲口袋(不透明)装有编号为1,2,3的三个小球,乙口袋(不透明)装有编号为1,2,3,4的四个 小球,每个口袋中的小球除编号外其他都相同.小明先从甲口袋中随机摸出一个球,小雪再从乙口袋中 随机摸出一个球,若两球编号之和为偶数,则小明获胜;若两球编号之和为奇数,则小雪获胜. 请用列表或画树状图的方法,说明这个游戏对双方是否公平.21.(2022秋•秦皇岛期末)老师随机抽查了本学期学生读课外书册数的情况,绘制成条形图和不完整的 扇形图,其中条形图被墨迹遮盖了一部分. (1)求所抽查学生读课外书册数的平均数; (2)随后又补查了另外几人,得知其中1人读了4册,其余几人最少的读了6册,将其与之前的数据 合并后,发现册数的中位数没改变,则最多又补查了 人. (3)老师手里有1本课外读物,七、八年级两位同学都想借阅,为此九年级的一位同学设计了一个转 盘游戏,如图,指针固定不动,分别旋转两个转盘,若先后两次转动出现字母 A与B的混合结果,就借 给七年级的同学,否则就借给八年级的同学,你认为这个游戏公平吗?为什么? 22.(2023春•丰城市校级期末)小莉的爸爸买了今年七月份去上海看世博会的一张门票,她和哥哥两人都很想去观看,可门票只有一张,读九年级的哥哥想了一个办法,拿了八张扑克牌,将数字为 1,2, 3,5的四张牌给小莉,将数字为4,6,7,8的四张牌留给自己,并按如下游戏规则进行:小莉和哥哥 从各自的四张牌中随机抽出一张,然后将抽出的两张扑克牌数字相加,如果和为偶数,则小莉去;如果 和为奇数,则哥哥去. (1)请用树状图或列表的方法求小莉去上海看世博会的概率; (2)哥哥设计的游戏规则公平吗?若公平,请说明理由;若不公平,请你设计一种公平的游戏规则. 八.利用频率估计概率(共6小题) 23.(2022秋•龙泉驿区期末)一个不透明的箱子里装有m个球,其中红球3个,这些球除颜色不同其余 都相同,每次搅拌均匀后,任意摸出一个球记下颜色后再放回,大量重复试验发现,摸到红球的频率稳 定在0.3附近,则可以估算出m的值为( ) A.3 B.5 C.10 D.12 24.(2022秋•沈河区期末)一个不透明的袋中装有若干个红球,为了估计袋中红球的个数,在袋中放入3 个除了颜色外其余均相同的白球,随机的从袋子中摸出一个球,记录下颜色后,放回袋中并摇匀,通过 大量重复这样的试验后发现,摸到白球的频率稳定在0.15附近,则红球的个数为( ) A.11 B.14 C.17 D.20 25.(2023春•兰州期末)在一个不透明的口袋里装有只有颜色不同的黑、白两种颜色的球共 20只,某学 习小组做摸球试验,将球搅匀后从中随机摸出一个球记下颜色,再把它放回袋中,不断重复.下表是活 动进行中的一组统计数据:摸球的次数 100 150 200 500 800 1000 n 摸到白球的 58 96 116 295 484 601 次数m 摸到白球的 0.58 0.64 0.58 0.59 0.605 0.601 频率 (1)请估计:当n很大时,摸到白球的频率将会接近 ; (2)假如你去摸一次,你摸到白球的概率是 ,摸到黑球的概率是 ;(精确到 0.1) (3)试估算口袋中黑、白两种颜色的球各有多少只? 26.(2022秋•广阳区校级期末)如图所示为某商场的一个可以自由转动的转盘,商场规定顾客购物满100 元即可获得一次转动转盘的机会,当转盘停止时,指针落在哪一个区域就获得相应的奖品,如表是活动 进行中的统计数据: 转动转盘的次数 50 100 200 500 800 1000 2000 5000 落在“纸巾”区的 22 71 109 312 473 612 1193 3004次数 根据以上信息,解析下列问题: (1)请估计转动该转盘一次,获得纸巾的概率是 ;(精确到0.1) (2)现有若干个除颜色外都相同的白球和黑球,根据(1)的结论,在保证获得纸巾和免洗洗手液概率 不变的情况下,请你设计一个可行的摸球抽奖规则,详细说明步骤; (3)小明和小亮都购买了超过100元的商品,均获得一次转动转盘的机会,根据(2)中设计的规则, 利用画树状图或列表的方法求两人都获得纸巾的概率. 27.(2022秋•邯郸期末)在一个不透明的袋子里装有只有颜色不同的黑、白两种颜色的球共4个,某学 习小组做摸球试验,将球搅匀后从中随机摸出一个球记下颜色,再把它放回袋中,不断重复上述过程, 下表是试验进行中的统计数据. 摸球的次数n 10 100 200 500 1000 摸到黑球的次 3 26 51 126 251 数m 摸到黑球的频 0.3 0.26 0.255 0.252 0.251 率 (1)当n很大时,摸到黑球的频率将会趋近 (精确到0.01),该袋子中的黑球有个; (2)该学习小组成员从该袋中随机摸出2个球,请你用列表或画树状图的方法求出随机摸出的2个球 的颜色不同的概率. 28.(2022秋•西丰县期末)一个黑箱子里装有红、白两种颜色的球4只,它们除颜色外,其他都相同, 小明将球搅匀后从箱子中随机摸出一个球,记下颜色,再把它放回不断重复实验,将多次实验结果画出 如下频率统计图. (1)当摸球次数很大时,摸到白球的频率将会接近 (精确到0.01),从箱子中摸一次球, 摸到红球的概率是 ; (2)从该箱子里随机摸出一个球,不放回,再摸出一个球.用树状图或列表法求出摸到一个红球一个 白球的概率.九.模拟试验(共2小题) 29.(2022秋•大渡口区校级期末)某人在做抛掷硬币试验中,抛掷n次,正面朝上有m次,若正面朝上 的频率是P= ,则下列说法正确的是( ) A.P一定等于0.5 B.多投一次,P更接近0.5 C.P一定不等于0.5 D.投掷次数逐渐增加,P稳定在0.5附近 30.(2023春•芝罘区期末)在一个不透明的盒子里装有除颜色不同外其余均相同的黑、白两种球,其中黑球有5个.将盒子里的球搅匀后从中随机摸出一个球记下颜色,再把它放回盒子中,不断重复上述过 程.整理数据后,制作了“摸出黑球的频率”与“摸球的总次数”的关系如图所示,经分析可以推断盒 子里白球有 .