当前位置:首页>文档>专题22.3二次函数综合——面积问题(压轴题专项讲练)(人教版)(教师版)_初中数学_九年级数学上册(人教版)_压轴题专项-V5_2024版

专题22.3二次函数综合——面积问题(压轴题专项讲练)(人教版)(教师版)_初中数学_九年级数学上册(人教版)_压轴题专项-V5_2024版

  • 2026-04-06 10:05:33 2026-04-06 10:00:50

文档预览

专题22.3二次函数综合——面积问题(压轴题专项讲练)(人教版)(教师版)_初中数学_九年级数学上册(人教版)_压轴题专项-V5_2024版
专题22.3二次函数综合——面积问题(压轴题专项讲练)(人教版)(教师版)_初中数学_九年级数学上册(人教版)_压轴题专项-V5_2024版
专题22.3二次函数综合——面积问题(压轴题专项讲练)(人教版)(教师版)_初中数学_九年级数学上册(人教版)_压轴题专项-V5_2024版
专题22.3二次函数综合——面积问题(压轴题专项讲练)(人教版)(教师版)_初中数学_九年级数学上册(人教版)_压轴题专项-V5_2024版
专题22.3二次函数综合——面积问题(压轴题专项讲练)(人教版)(教师版)_初中数学_九年级数学上册(人教版)_压轴题专项-V5_2024版
专题22.3二次函数综合——面积问题(压轴题专项讲练)(人教版)(教师版)_初中数学_九年级数学上册(人教版)_压轴题专项-V5_2024版
专题22.3二次函数综合——面积问题(压轴题专项讲练)(人教版)(教师版)_初中数学_九年级数学上册(人教版)_压轴题专项-V5_2024版
专题22.3二次函数综合——面积问题(压轴题专项讲练)(人教版)(教师版)_初中数学_九年级数学上册(人教版)_压轴题专项-V5_2024版
专题22.3二次函数综合——面积问题(压轴题专项讲练)(人教版)(教师版)_初中数学_九年级数学上册(人教版)_压轴题专项-V5_2024版
专题22.3二次函数综合——面积问题(压轴题专项讲练)(人教版)(教师版)_初中数学_九年级数学上册(人教版)_压轴题专项-V5_2024版
专题22.3二次函数综合——面积问题(压轴题专项讲练)(人教版)(教师版)_初中数学_九年级数学上册(人教版)_压轴题专项-V5_2024版
专题22.3二次函数综合——面积问题(压轴题专项讲练)(人教版)(教师版)_初中数学_九年级数学上册(人教版)_压轴题专项-V5_2024版
专题22.3二次函数综合——面积问题(压轴题专项讲练)(人教版)(教师版)_初中数学_九年级数学上册(人教版)_压轴题专项-V5_2024版
专题22.3二次函数综合——面积问题(压轴题专项讲练)(人教版)(教师版)_初中数学_九年级数学上册(人教版)_压轴题专项-V5_2024版
专题22.3二次函数综合——面积问题(压轴题专项讲练)(人教版)(教师版)_初中数学_九年级数学上册(人教版)_压轴题专项-V5_2024版
专题22.3二次函数综合——面积问题(压轴题专项讲练)(人教版)(教师版)_初中数学_九年级数学上册(人教版)_压轴题专项-V5_2024版
专题22.3二次函数综合——面积问题(压轴题专项讲练)(人教版)(教师版)_初中数学_九年级数学上册(人教版)_压轴题专项-V5_2024版
专题22.3二次函数综合——面积问题(压轴题专项讲练)(人教版)(教师版)_初中数学_九年级数学上册(人教版)_压轴题专项-V5_2024版
专题22.3二次函数综合——面积问题(压轴题专项讲练)(人教版)(教师版)_初中数学_九年级数学上册(人教版)_压轴题专项-V5_2024版
专题22.3二次函数综合——面积问题(压轴题专项讲练)(人教版)(教师版)_初中数学_九年级数学上册(人教版)_压轴题专项-V5_2024版
专题22.3二次函数综合——面积问题(压轴题专项讲练)(人教版)(教师版)_初中数学_九年级数学上册(人教版)_压轴题专项-V5_2024版
专题22.3二次函数综合——面积问题(压轴题专项讲练)(人教版)(教师版)_初中数学_九年级数学上册(人教版)_压轴题专项-V5_2024版
专题22.3二次函数综合——面积问题(压轴题专项讲练)(人教版)(教师版)_初中数学_九年级数学上册(人教版)_压轴题专项-V5_2024版
专题22.3二次函数综合——面积问题(压轴题专项讲练)(人教版)(教师版)_初中数学_九年级数学上册(人教版)_压轴题专项-V5_2024版
专题22.3二次函数综合——面积问题(压轴题专项讲练)(人教版)(教师版)_初中数学_九年级数学上册(人教版)_压轴题专项-V5_2024版
专题22.3二次函数综合——面积问题(压轴题专项讲练)(人教版)(教师版)_初中数学_九年级数学上册(人教版)_压轴题专项-V5_2024版
专题22.3二次函数综合——面积问题(压轴题专项讲练)(人教版)(教师版)_初中数学_九年级数学上册(人教版)_压轴题专项-V5_2024版
专题22.3二次函数综合——面积问题(压轴题专项讲练)(人教版)(教师版)_初中数学_九年级数学上册(人教版)_压轴题专项-V5_2024版
专题22.3二次函数综合——面积问题(压轴题专项讲练)(人教版)(教师版)_初中数学_九年级数学上册(人教版)_压轴题专项-V5_2024版
专题22.3二次函数综合——面积问题(压轴题专项讲练)(人教版)(教师版)_初中数学_九年级数学上册(人教版)_压轴题专项-V5_2024版
专题22.3二次函数综合——面积问题(压轴题专项讲练)(人教版)(教师版)_初中数学_九年级数学上册(人教版)_压轴题专项-V5_2024版
专题22.3二次函数综合——面积问题(压轴题专项讲练)(人教版)(教师版)_初中数学_九年级数学上册(人教版)_压轴题专项-V5_2024版
专题22.3二次函数综合——面积问题(压轴题专项讲练)(人教版)(教师版)_初中数学_九年级数学上册(人教版)_压轴题专项-V5_2024版
专题22.3二次函数综合——面积问题(压轴题专项讲练)(人教版)(教师版)_初中数学_九年级数学上册(人教版)_压轴题专项-V5_2024版
专题22.3二次函数综合——面积问题(压轴题专项讲练)(人教版)(教师版)_初中数学_九年级数学上册(人教版)_压轴题专项-V5_2024版
专题22.3二次函数综合——面积问题(压轴题专项讲练)(人教版)(教师版)_初中数学_九年级数学上册(人教版)_压轴题专项-V5_2024版
专题22.3二次函数综合——面积问题(压轴题专项讲练)(人教版)(教师版)_初中数学_九年级数学上册(人教版)_压轴题专项-V5_2024版
专题22.3二次函数综合——面积问题(压轴题专项讲练)(人教版)(教师版)_初中数学_九年级数学上册(人教版)_压轴题专项-V5_2024版
专题22.3二次函数综合——面积问题(压轴题专项讲练)(人教版)(教师版)_初中数学_九年级数学上册(人教版)_压轴题专项-V5_2024版
专题22.3二次函数综合——面积问题(压轴题专项讲练)(人教版)(教师版)_初中数学_九年级数学上册(人教版)_压轴题专项-V5_2024版
专题22.3二次函数综合——面积问题(压轴题专项讲练)(人教版)(教师版)_初中数学_九年级数学上册(人教版)_压轴题专项-V5_2024版
专题22.3二次函数综合——面积问题(压轴题专项讲练)(人教版)(教师版)_初中数学_九年级数学上册(人教版)_压轴题专项-V5_2024版
专题22.3二次函数综合——面积问题(压轴题专项讲练)(人教版)(教师版)_初中数学_九年级数学上册(人教版)_压轴题专项-V5_2024版
专题22.3二次函数综合——面积问题(压轴题专项讲练)(人教版)(教师版)_初中数学_九年级数学上册(人教版)_压轴题专项-V5_2024版
专题22.3二次函数综合——面积问题(压轴题专项讲练)(人教版)(教师版)_初中数学_九年级数学上册(人教版)_压轴题专项-V5_2024版
专题22.3二次函数综合——面积问题(压轴题专项讲练)(人教版)(教师版)_初中数学_九年级数学上册(人教版)_压轴题专项-V5_2024版
专题22.3二次函数综合——面积问题(压轴题专项讲练)(人教版)(教师版)_初中数学_九年级数学上册(人教版)_压轴题专项-V5_2024版
专题22.3二次函数综合——面积问题(压轴题专项讲练)(人教版)(教师版)_初中数学_九年级数学上册(人教版)_压轴题专项-V5_2024版
专题22.3二次函数综合——面积问题(压轴题专项讲练)(人教版)(教师版)_初中数学_九年级数学上册(人教版)_压轴题专项-V5_2024版
专题22.3二次函数综合——面积问题(压轴题专项讲练)(人教版)(教师版)_初中数学_九年级数学上册(人教版)_压轴题专项-V5_2024版
专题22.3二次函数综合——面积问题(压轴题专项讲练)(人教版)(教师版)_初中数学_九年级数学上册(人教版)_压轴题专项-V5_2024版
专题22.3二次函数综合——面积问题(压轴题专项讲练)(人教版)(教师版)_初中数学_九年级数学上册(人教版)_压轴题专项-V5_2024版
专题22.3二次函数综合——面积问题(压轴题专项讲练)(人教版)(教师版)_初中数学_九年级数学上册(人教版)_压轴题专项-V5_2024版
专题22.3二次函数综合——面积问题(压轴题专项讲练)(人教版)(教师版)_初中数学_九年级数学上册(人教版)_压轴题专项-V5_2024版
专题22.3二次函数综合——面积问题(压轴题专项讲练)(人教版)(教师版)_初中数学_九年级数学上册(人教版)_压轴题专项-V5_2024版
专题22.3二次函数综合——面积问题(压轴题专项讲练)(人教版)(教师版)_初中数学_九年级数学上册(人教版)_压轴题专项-V5_2024版
专题22.3二次函数综合——面积问题(压轴题专项讲练)(人教版)(教师版)_初中数学_九年级数学上册(人教版)_压轴题专项-V5_2024版

文档信息

文档格式
docx
文档大小
3.906 MB
文档页数
53 页
上传时间
2026-04-06 10:00:50

文档内容

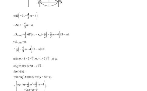
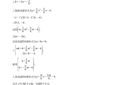
专题 22.3 二次函数综合——面积问题 【典例1】如图,在平面直角坐标系中,抛物线y=ax2+bx−4交x轴于A(−3,0),B两点,交y轴于点 C,CD∥x轴,交抛物线于点D,AC=CD. (1)求抛物线的解析式; (2)在直线AD上方的抛物线上是否存在一点Q,连接AQ,DQ,使S =8,若存在,求点Q的横坐 △AQD 标;若不存在,请说明理由. 【思路点拨】 (1)根据抛物线解析式确定点C(0,−4),根据勾股定理,得到AC=CD=5,确定抛物线的对称轴,把点 A代入解析式计算即可. (2)设Q ( m, 1 m2− 5 m−4 ) ,分类用m的代数式表示三角形的面积,建立方程计算即可. 6 6 【解题过程】 解:(1)∵y=ax2+bx−4, 令x=0,得y=−4. ∴C(0,−4). ∴OC=4. ∵A(−3,0), ∴OA=3. ∴AC=❑√OA2+OC2=5. ∴CD=5.5 ∴抛物线对称轴为x= , 2 b 5 ∴− = . 2a 2 ∴b=−5a. 将点A(−3,0)代入y=ax2−5ax−4中, 1 得a= . 6 5 ∴b=−5a=− , 6 1 5 ∴抛物线解析式为y= x2− x−4. 6 6 (2)∵CD=5,C(0,−4), ∴D(5,−4). 设Q ( m, 1 m2− 5 m−4 ) , 6 6 当m<−3时, 设直线QD的解析式为y=kx+b, { mk+b= 1 m2− 5 m−4) ∴ 6 6 , 5k+b=−4 1 { k= m ) 6 解得 , 5 b=− m−4 6 m 5m ∴直线QD的解析式为y= x− −4. 6 6 过点A作AE∥y轴,交QD于点E,( 4 ) 则E −3,− m−4 , 3 4 ∴AE=− m−4, 3 1 1( 4 ) ∴S = AE(x −x )= − m−4 (5−m), △ADQ 2 D Q 2 3 ∵S =8, △AQD 1( 4 ) ∴ − m−4 (5−m)=8, 2 3 解得m =1−2❑√7,m =1+2❑√7(舍去) 1 2 故Q的横坐标为1−2❑√7; 当m>5时, 设直线Q′ A的解析式为y=px+q, { mp+q= 1 m2− 5 m−4) ∴ 6 6 , −3p+q=0 1 { p= (m−8)) 6 解得 , 1 q= (m−8) 2 m−8 m−8 ∴直线Q′ A的解析式为y= x+ . 6 2 ( 4 ) 过点D作DG∥y轴,交Q′ A于点G,则G 5, (m−8) , 34 ∴GD= (m−5), 3 1 1 4 2 ∴S = GD(x −x )= × (m−5)(m+3)= (m−5)(m+3), △ADQ 2 Q A 2 3 3 ∵S =8, △AQD 2 ∴ (m−5)(m+3)=8, 3 解得m =1+2❑√7,m =1−2❑√7(舍去) 1 2 故Q的横坐标为m=1+2❑√7; ∴点Q的横坐标为m=1+2❑√7或1−2❑√7. 1 1.(2023·山东菏泽·统考二模)已知抛物线y=− x2+bx+4的对称轴是直线x=3,与x轴相交于A,B两 4 点(点B在点A右侧),与y轴交于点C. (1)求抛物线的解析式; (2)如图,若点P是抛物线上B、C两点之间的一个动点(不与B、C重合),是否存在点P,使四边形 PBOC的面积最大?若存在,求点P的坐标及四边形PBOC面积的最大值;若不存在,请说明理由. 【思路点拨】 b (1)根据对称轴公式x=− ,求出b的值即可; 2a (2)连接BC,过点P作PE∥y轴交BC于点E,设P ( t,− 1 t2+ 3 t+4 ) ,再表示出E ( t,− 1 t+4 ) ,表 4 2 2示出PE的长,根据S =S ❑ +S 表示出S ,再根据二次函数求出最大值及P的坐标,再根据 △PBC △ PEC △PEB △PBC S =S +S 即可. 四边形PBOC △PBC △OBC 【解题过程】 (1)解:抛物线的对称轴是直线x=3, b x=− =2b=3 3 ( 1) ,解得b= , 2× − 2 4 1 3 故抛物线的解析式为y=− x2+ x+4. 4 2 (2)解:连接BC,过点P作PE∥y轴交BC于点E,设P ( t,− 1 t2+ 3 t+4 ) , 4 2 1 3 y=0时,− x2+ x+4=0, 4 2 解得:x =−2,x =8,A(−2,0),B(8,0),C(0,4), 1 2 1 1 ∴OC=4,OB=8,S = ×OB×OC= ×8×4=16, △BOC 2 2 设直线BC的解析式为y=kx+b ,代入B(8,0),C(0,4), 1 {8k+b =0) 1 得 1 ,解得:k=− ,b =4, b =4 2 1 1 1 ∴直线BC的解析式为y=− x+4, 2 ( 1 ) ∴E t,− t+4 , 2 ∴PE=− 1 t2+ 3 t+4− ( − 1 t+4 ) =− 1 t2+2t, 4 2 2 4 ∵S =S ❑ +S = 1 PE×8= 1 × ( − 1 t2+2t ) ×8=−t2+8t=−(t−4) 2+16, △PBC △ PEC △PEB 2 2 4当t=4时,S 有最大值,最大值为S =16,此时P(4,6), △PBC △PBC 又∵S =S +S =16+16=32, 四边形PBOC △PBC △OBC 故存在点P(4,6),使四边形PBOC的面积最大,最大值为32. 2.(2023秋·河南·九年级校联考期末)如图,已知抛物线y=−x2+bx+c与直线y=x+1交于A(a,0), C(3,4)两点. (1)求a的值及抛物线的解析式; (2)若点P是位于直线AC上方的抛物线上的一个动点,求△APC面积的最大值及此时点P的坐标. 【思路点拨】 (1)将A(a,0)代入直线y=x+1可得a的值,再将A,C两点代入抛物线y=−x2+bx+c即可解答; (2)过点P作PE⊥x轴交x轴于点E,交直线AC于点F,过点C作CQ⊥x轴交x轴于点Q,设出点P 的坐标,利用S =S +S 即可解答. △APC △APF △PCF 【解题过程】 (1)解:将A(a,0)代入y=x+1并解得a=−1, ∴点A的坐标为(−1,0), 将A(−1,0),C(3,4)代入y=−x2+bx+c, {−1−b+c=0 ) {b=3) 得 ,解得 , −9+3b+c=4 c=4 ∴抛物线的解析式为y=−x2+3x+4; (2)如图,过点P作PE⊥x轴交x轴于点E,交直线AC于点F,过点C作CQ⊥x轴交x轴于点Q,设点P的坐标为(m,−m2+3m+4)(−10, b 3 27 ∴当 =− 即b=−3时,P′Q的最小值为 , 2 2 4 5 27 135 ∴S 的最小值为= × = . △QBP′ 2 4 8 11.(2022秋·山西大同·九年级大同一中校考阶段练习)如图,已知抛物线y=−x2+mx+3与x轴交于A, B两点,与y轴交于点C,点B的坐标为(3,0),(1)求m的值及抛物线的顶点坐标 (2)点P是抛物线对称轴l上的一个动点,当△PAC的周长最小时,求点P的坐标. (3)点E为抛物线在第一象限上的一个点,连接BE,CE,当△BCE的面积最大时,求出△BCE的最大 面积和点E的坐标; 【思路点拨】 (1)将点B的坐标为(3,0)代入解析式中,即可求得m的值,然后利用顶点坐标公式求得抛物线的顶点坐标; (2)根据A、B关于抛物线的对称轴对称,先连接BC交抛物线对称轴于点P,则此时PA+PC+AC的值 最小,然后利用待定系数法求得直线BC的解析式,从而求出P点坐标; (3)过E点作ED⊥x轴交BC与点D,利用E、D所在的图像设出坐标,再利用“铅垂高水平宽”求出面 积与坐标的关系,最后利用顶点坐标求最值即可得解. 【解题过程】 (1)解:将点B的坐标为(3,0)代入解析式y=−x2+mx+3中得: 0=−32+3m+3 解得:m=2 ∴抛物线的解析式为:y=−x2+2x+3 b 2 顶点坐标的横坐标为:x=− =− =1,代入解析式中得y=−12+2+3=4, 2a 2×(−1) ∴抛物线的顶点坐标为:(1,4); (2)解:将x=0代入到y=−x2+2x+3中,得:y=3,∴ ∴点C的坐标为(0,3), 令y=−x2+2x+3中y=0,得0=−x2+2x+3, 解得x=−1,或x=3, ∴A(−1,0), ∴OA=1,OC=3, ∴AC=❑√OA2+OC2=❑√12+32=❑√10, ∵根据A、B关于抛物线的对称轴对称,∴连接BC交抛物线对称轴于点P,则此时PA+PC的值最小,即△PAC的周长PA+PC+PC最小, 设直线BC的解析式为:y=kx+b, 将B、C的坐标分别代入得: {0=3k+b) 3=b {k=−1) 解得: b=3 所以直线BC的解析式为:y=−x+3 将x=1代入到y=−x+3得:y=2 ∴P点坐标为(1,2); (3)解:过E点作ED⊥x轴交BC与点D,设E的坐标为(x,−x2+2x+3),D的坐标为(x,−x+3),C到 ED的距离为ℎ,B到ED的距离为ℎ,由图可知ℎ + ℎ =OB=3, 1 2 1 2 ∴ED= (−x2+2x+3)−(−x+3)=−x2+3x ∴S =S +S = 1 ED⋅ℎ + 1 ED⋅ℎ = 1 ED(ℎ + ℎ )=− 3 x2+ 9 x=− 3( x− 3) 2 + 27 , △BCE △DC△ △BDE 2 1 2 2 2 1 2 2 2 2 2 8 3 ∵− <0 2 3 27 ∴当x= 时,△BCE的面积最大,最大面积为 , 2 8 3 15 将x= 代入y=−x2+2x+3中,得:y= , 2 4(3 15) 故当△BCE的面积最大时点E的坐标为: , . 2 4 12.(2023秋·广东韶关·九年级统考期末)如图,已知抛物线y=−x2+bx+c与x轴交于A(−1,0),B(5,0) 两点(点A在点B的左侧),与y轴交于点C. (1)求抛物线的解析式; (2)在抛物线的对称轴上存在一点P,使得PA+PC的值最小,此时点P的坐标为______; (3)点D是第一象限内抛物线上的一个动点(不与点C,B重合),过点D作DF⊥x轴于点F,交直线 BC于点E,连接BD,直线BC把△BDF的面积分成两部分,使S :S =3:2,请求出点D的坐标. △BDE △BEF 【思路点拨】 (1)将A(−1,0),B(5,0)代入y=−x2+bx+c求解即可; (2)点B是点A关于函数对称轴的对称点,连接BC交抛物线对称轴于点P,此时PA+PC的值最小; (3)设点D(m,−m2+4m+5),则点E(m,−m+5),由三角形的面积关系列出方程求解即可. 【解题过程】 (1)∵抛物线y=−x2+bx+c与x轴交于A(−1,0),B(5,0), { −1−b+c=0 ) ∴ , −25+5b+c=0 {b=4) 解得 , c=5 ∴抛物线的解析式为y=−x2+4x+5; (2)∵y=−x2+4x+5=−(x−2) 2+9, ∴抛物线对称轴为直线x=2, ∵点A,点B关于抛物线的对称轴l对称, 设BC交l于点P,则P即为所求的点,当x=0时,y=5,则C(0,5) 设直线BC解析式为y=kx+b , 1 则¿, ∴¿, ∴直线BC解析式为y=−x+5, 当x=2时,y=3, ∴P(2,3); (3)如图, 设D(m,−m2+4m+5),则E(m,−m+5), ∴DE=−m2+4m+5−(−m+5)=−m2+5m,EF=−m+5, ∵S :S =3:2, △BDE △BEF (1 ) (1 ) ∴ DE⋅BF : EF⋅BF =3:2,即DE:EF=3:2, 2 2 ∴(−m2+5m):(−m+5)=3:2, 化简得2m2−13m+15=0, 3 解得m = ,m =5(舍去), 1 2 2∴−m2+4m+5=− (3) 2 +4× 3 +5= 35 , 2 2 4 (3 35) ∴D , . 2 4 13.(2023秋·黑龙江大庆·九年级统考期末)如图,抛物线y=(x+1) 2+k与x轴相交于A、B两点,与y轴 相交于点C(0,−3). (1)求抛物线的对称轴及k值; (2)抛物线的对称轴上存在一点P,使得PA+PC的值最小,求此时点P的坐标; (3)点M是抛物线上一动点,且在第三象限,当M点运动到何处时,四边形AMCB的面积最大?求出四 边形AMCB的最大面积. 【思路点拨】 (1)根据解析式可得抛物线的对称轴为直线x=−1,将点C(0,−3)代入解析式,待定系数法即可求解; (2)连接AC,交对称轴于点P,根据两点之间,线段最短可得点P即为所求,求得直线AC的解析式,令 x=−1,即可求解; (3)连接OM,如图1,设M点坐标为(x,(x+1) 2−4),根据S =S +S +S 四边形AMCB △AMO △CMO △CBO 3( 3) 2 75 =− x+ + ,根据二次函数的性质即可求解. 2 2 8 【解题过程】 (1)解:抛物线y=(x+1) 2+k的对称轴为直线x=−1, 把C(0,−3)代入y=(x+1) 2+k 得−3=1+k, ∴k=−4;(2)连接AC,交对称轴于点P, ∵两点之间,线段最短, ∴PA+PC的最小值为AC的长,则点P即为所求 对于y=(x+1) 2−4,令y=0,则(x+1) 2−4=0,解得x =1,x =−3, 1 2 ∴A点坐标为(−3,0),B点坐标为(1,0), 设直线AC的关系式为:y=mx+b, 把A(−3,0),C(0,−3)代入y=mx+b {−3m+b=0) 得 , b=−3 {m=−1) 解得 , b=−3 ∴直线AC的关系式为y=−x−3, 当x=−1时,y=1−3=−2, ∴P点坐标为(−1,−2); (3)连接OM,如图1,设M点坐标为(x,(x+1) 2−4),S =S +S +S 四边形AMCB △AMO △CMO △CBO 1 1 1 = ×AO×|y )+ ×CO×|x )+ ×OC×BO 2 m 2 m 2 3 1 1 = [4−(x+1) 2)+ ×3×(−x)+ ×3×1 2 2 2 3 9 =− x2− x+6 2 2 3( 3) 2 75 =− x+ + , 2 2 8 3 75 当x=− 时,S最大,最大值为 . 2 8 14.(2023·全国·九年级专题练习)如图,在平面直角坐标系中,已知二次函数y=ax2+bx+c的图象与x 轴交于点A(−2,0)和点B(6,0)两点,与y轴交于点C(0,6).点D为线段BC上的一动点. (1)求二次函数的表达式; (2)如图1,求△AOD周长的最小值; (3)如图2,过动点D作DP∥AC交抛物线第一象限部分于点P,连接PA,PB,记△PAD与△PBD的面积和为S,当S取得最大值时,求点P的坐标,并求出此时S的最大值. 【思路点拨】 (1)根据题意设抛物线的表达式为y=a(x+2)(x−6),将(0,6)代入求解即可; (2)作点O关于直线BC的对称点E,连接EC、EB,根据点坐特点及正方形的判定得出四边形OBEC 为正方形,E(6,6),连接AE,交BC于点D,由对称性|DE)=|DO),此时|DO)+|DA)有最小值为AE的 长,再由勾股定理求解即可; (3)由待定系数法确定直线BC的表达式为y=−x+6,直线AC的表达式为y=3x+6,设 P ( m,− 1 m2+2m+6 ) ,然后结合图形及面积之间的关系求解即可. 2 【解题过程】 (1)解:由题意可知,设抛物线的表达式为y=a(x+2)(x−6), 将(0,6)代入上式得:6=a(0+2)(0−6), 1 a=− 2 1 所以抛物线的表达式为y=− x2+2x+6; 2 (2)作点O关于直线BC的对称点E,连接EC、EB, ∵B(6,0),C(0,6),∠BOC=90°, ∴OB=OC=6, ∵O、E关于直线BC对称, ∴四边形OBEC为正方形, ∴E(6,6), 连接AE,交BC于点D,由对称性|DE)=|DO), 此时|DO)+|DA)有最小值为AE的长,AE=❑√AB2+BE2=❑√82+62=10 ∵△AOD的周长为DA+DO+AO, AO=2,DA+DO的最小值为10, ∴△AOD的周长的最小值为10+2=12; (3)由已知点A(−2,0),B(6,0),C(0,6), 设直线BC的表达式为y=kx+b, {6k+b=0) {k=−1) 将B(6,0),C(0,6)代入y=kx+b中, ,解得 , b=0 b=6 ∴直线BC的表达式为y=−x+6, 同理可得:直线AC的表达式为y=3x+6, ∵PD∥AC, ∴设直线PD表达式为y=3x+a, 由(1)设P ( m,− 1 m2+2m+6 ) ,代入直线PD的表达式 2 1 得:a=− m2−m+6, 2 1 ∴直线PD的表达式为:y=3x− m2−m+6, 2 1 1 { y=−x+6 ) { x= m2+ m ) 8 4 由 1 ,得 , y=3x− m2−m+6 1 1 2 y=− m2− m+6 8 4 ∴D (1 m2+ 1 m,− 1 m2− 1 m+6 ) , 8 4 8 4 ∵P,D都在第一象限, ∴S=S +S =S −S △PAD △PBD △PAB △DAB = 1 |AB) [( − 1 m2+2m+6 ) − ( − 1 m2− 1 m+6 )) 2 2 8 4 = 1 ×8 ( − 3 m2+ 9 m ) 2 8 4 3 3 =− m2+9m=− (m2−6m) 2 23 27 =− (m−3) 2+ , 2 2 ( 15) ∴当m=3时,此时P点为 3, . 2 27 S = . 最大值 2 15.(2022秋·浙江嘉兴·九年级平湖市林埭中学校联考期中)已知:m,n是方程x2−6x+5=0的两个实 数根,且m0)与x轴分别交于A,B两点(点A在点B 的左侧),与y轴交于点P.直线y=kx+b(k≠0)经过点B,与y轴正半轴和抛物线分别交于C,D两点.(1)如图1,当点P的坐标为(0,−1),且△PAB的面积为1时,求该抛物线的表达式; (2)在(1)的条件下,若∠DAC=90°,求k的值; (3)如图2,过点D作DE⊥x轴于点E.判断△PAE的面积与△OBC的面积之间的数量关系,并说明理 由. 【思路点拨】 (1)将点P(0,−1)代入y=ax2+c可得c=−1,抛物线对称轴直线x=0,OA=OB,OP=1.根据△PAB 的面积为1,可得点A,B的坐标,进而求解即可; (2)将点B的坐标代入y=kx+b可得y=kx−k,令x=0,可得C的坐标为(0,−k),联立y=x2−1和 y=kx−k求得点D的坐标,过D作DM⊥x轴于点M.易证△ADM≌△CAO(ASA),可得DM=AO=1, 即可求解; (3)根据解析式用a、c表示△PAE的面积与△OBC的面积,即可得出结论. 【解题过程】 (1)解:∵点P(0,−1)在抛物线在抛物线y=ax2+c上, 可得c=−1. ∴ y=ax2−1, ∴抛物线的对称轴为直线x=0,点P(0,−1)为顶点. ∴ OA=OB,OP=1. AB⋅OP ∵ S = =1. △PAB 2 解得AB=2. ∴点A,B的坐标分别为A(−1,0),B(1,0). ∵点A(−1,0)在抛物线y=ax2−1上,可得a=1. ∴抛物线的表达式是y=x2−1.(2)解:由(1)可得点A,B的坐标分别为A(−1,0),B(1,0). ∵点B(1,0)在直线y=kx+b上, ∴ k+b=0.得b=−k. ∴ y=kx−k. 当x=0时,y=−k. ∴ C的坐标为(0,−k). {y=kx−k) 由 得x2−kx+k−1=0. y=x2−1 ∴ x +x =k,即x =k−1. D B D ∴ y =(k−1) 2−1=k2−2k. D ∴ D的坐标为(k−1,k2−2k). 过D作DM⊥x轴于点M. ∴ AM=−1−(k−1)=−k,OC=−k,DM=k2−2k, ∴AM=OC. ∵∠DMA=∠AOC=90°. ∴∠MDA+∠MAD=90°, ∵∠DAC=90°, ∴ ∠MAD+∠CAO=180°−∠DAC=90°, ∴∠MDA=∠CAO. ∴ △ADM≌△CAO(ASA). ∴DM=AO=1. ∴ k2−2k=1.得k=1±❑√2.∵ k<0, ∴得k=1−❑√2. (3)解:结论:S =S . △OBC △PAE ∵当y=0时,ax2+c=0,得x2=− c ,则x=±❑ √ − c , a a ( √ c ) (√ c ) ∴点A,B的坐标分别为A −❑− ,0 ,B ❑− ,0 , a a (√ c ) ∵点B ❑− ,0 在直线y=kx+b上, a √ c √ c ∴ k❑− +b=0,得b=−k❑− , a a ( √ c) ∴点C的坐标为C 0,−k❑− . a √ c √ c ∴ OB=❑− ,OC=−k❑− , a a √c ( √ c) ❑ ⋅ −k❑− a a kc , ∴S = = △OBC 2 2a { √ c) y=kx−k❑− √ c 由 a ,得ax2−kx+k❑− +c=0, a y=ax2+c k ∴ x +x = , D B ak √ c ∴ x = −❑− , D a a (k √ c ) ∴点E的坐标为E −❑− ,0 . a a √ c (k √ c) k ∴ AE=−❑− − −❑− =− . a a a a 当x=0时,y=c. ∴点P的坐标为P(0,c), ∴ OP=−c. k − (−c) ∴ a kc. S = = △PAE 2 2a ∴ S =S . △OPC △PAE 20.(2023·福建福州·福建省福州第一中学校考模拟预测)在平面直角坐标系中,点O为坐标原点,抛物 线y=ax2+bx+3交x轴负半轴于点A,交x轴正半轴于点B,交y轴于点C,且A(−3,0),B(1,0) (1)求这个抛物线的解析式; (2)如图1,点P为第三象限抛物线上的点,设点P的横坐标为t,△PAC面积S ,求S 与t的函数解析式 1 1 (直接写出自变量t的取值范围); (3)如图2,在(2)的条件下,Q为CA延长线上的一点,QB与AP交于点M,若S =S ,求 1 △ABC S S △QBC− △QMA 的最大值. S S △PBC △BMP 【思路点拨】(1)把A(−3,0),B(1,0)分别代入解析式,解方程组即可. 3t+9 (2)设PC与x轴的交点为F,设P(t,−t2−2t+3),确定直线PC的解析式y=kx+3,计算AF= , t+2 1 根据S = AF(y −y )计算即可. 1 2 C P 3 9 (3)根据S = t2+ t=6求得t值,设Q(m,m+3),表示各个三角形的面积,构造二次函数求解即可. 1 2 2 【解题过程】 (1)把A(−3,0),B(1,0)分别代入解析式y=ax2+bx+3,得 {9a−3b+3=0) , a+b+3=0 {a=−1) 解得 , b=−2 故抛物线的解析式为y=−x2−2x+3. (2)如图,设PC与x轴的交点为F, ∵点P为第三象限抛物线上的点, ∴t<−3, 设P(t,−t2−2t+3),直线PC的解析式y=kx+3, ∴−t2−2t+3=kt+3, 解得k=−(t+2), ∴直线PC的解析式y=−(t+2)x+3, ( 3 ) ∴F ,0 , t+2 3 3t+9 ∴AF= +3= , t+2 t+21 1 3t+9 ∴S = AF(y −y )= × ×(3+t2+2t−3), 1 2 C P 2 t+2 3 9 故S = t2+ t(t<−3). 1 2 2 (3)∵A(−3,0),B(1,0),y=−x2−2x+3, 1 ∴C(0,3),S = ×4×3=6, △ABC 2 3 9 ∵S =S ,S = t2+ t(t<−3), 1 △ABC 1 2 2 3 9 ∴ t2+ t=6, 2 2 解得t =−4,t =1(舍去) 1 2 ∴P(−4,−5), ∴直线PC的解析式y=2x+3, ( 3 ) ∴F − ,0 , 2 1 1 5 S = BF(y −y )= × ×8=10. △PBC 2 C P 2 2 设直线AC的解析式y=px+3, ∴0=−3p+3, 解得p=1, ∴直线AC的解析式y=x+3, 设Q(m,m+3), 1 1 ∴S = AB(y −y )= ×4×(3−m−3)=−2m, △QBC 2 C Q 2 S −2m 1 ∴ △QBC = =− m; S 10 5 △PBC 设直线AP的解析式y=wx+r, {−4w+r=−5) ∴ , −3w+r=0 {w=5) 解得 , r=15 ∴直线AP的解析式y=5x+15, 设直线QB的解析式y=sx+t,{ s+t=0 ) ∴ , ms+t=m+3 m+3 { s= ) m−1 解得 , m+3 t=− m−1 m+3 m+3 ∴直线QB的解析式y= x− , m−1 m−1 { y= m+3 x− m+3 ) ∴ m−1 m−1 , y=5x+15 3−4m { x= ) m−2 解得 , −5(m+3) y= m−2 (3−4m −5(m+3)) ∴M , , m−2 m−2 1 S =S −S = AB|y −y ) △QMA △QAB △MAB 2 Q M 1 ( 5(m+3)) = ×4 −(m+3)− 2 m−2 2(m+3) 2 =− ; m−2 1 S =S −S = AB|y −y ) △BMP △PAB △MAB 2 P M 1 ( 5(m+3)) = ×4 5− 2 m−2 50 =− ; m−2 S 1 ∴ △QMA = (m+3) 2 , S 25 △BMP∴ S △QBC− S △QMA =− 1 m− 1 (m+3) 2=− 1 ( m+ 11) 2 + 17 , S S 5 25 25 2 20 △PBC △BMP