当前位置:首页>文档>3.3轴对称与坐标变化(分层作业)(解析版)_北师大初中数学_8上-北师大版初中数学_初中数学北师大8上-2025秋季新版_第二套推荐25_07习题试卷_同步练习_分层作业

3.3轴对称与坐标变化(分层作业)(解析版)_北师大初中数学_8上-北师大版初中数学_初中数学北师大8上-2025秋季新版_第二套推荐25_07习题试卷_同步练习_分层作业

  • 2026-04-12 06:52:35 2026-04-12 06:19:44

文档预览

3.3轴对称与坐标变化(分层作业)(解析版)_北师大初中数学_8上-北师大版初中数学_初中数学北师大8上-2025秋季新版_第二套推荐25_07习题试卷_同步练习_分层作业
3.3轴对称与坐标变化(分层作业)(解析版)_北师大初中数学_8上-北师大版初中数学_初中数学北师大8上-2025秋季新版_第二套推荐25_07习题试卷_同步练习_分层作业
3.3轴对称与坐标变化(分层作业)(解析版)_北师大初中数学_8上-北师大版初中数学_初中数学北师大8上-2025秋季新版_第二套推荐25_07习题试卷_同步练习_分层作业
3.3轴对称与坐标变化(分层作业)(解析版)_北师大初中数学_8上-北师大版初中数学_初中数学北师大8上-2025秋季新版_第二套推荐25_07习题试卷_同步练习_分层作业
3.3轴对称与坐标变化(分层作业)(解析版)_北师大初中数学_8上-北师大版初中数学_初中数学北师大8上-2025秋季新版_第二套推荐25_07习题试卷_同步练习_分层作业
3.3轴对称与坐标变化(分层作业)(解析版)_北师大初中数学_8上-北师大版初中数学_初中数学北师大8上-2025秋季新版_第二套推荐25_07习题试卷_同步练习_分层作业
3.3轴对称与坐标变化(分层作业)(解析版)_北师大初中数学_8上-北师大版初中数学_初中数学北师大8上-2025秋季新版_第二套推荐25_07习题试卷_同步练习_分层作业
3.3轴对称与坐标变化(分层作业)(解析版)_北师大初中数学_8上-北师大版初中数学_初中数学北师大8上-2025秋季新版_第二套推荐25_07习题试卷_同步练习_分层作业
3.3轴对称与坐标变化(分层作业)(解析版)_北师大初中数学_8上-北师大版初中数学_初中数学北师大8上-2025秋季新版_第二套推荐25_07习题试卷_同步练习_分层作业
3.3轴对称与坐标变化(分层作业)(解析版)_北师大初中数学_8上-北师大版初中数学_初中数学北师大8上-2025秋季新版_第二套推荐25_07习题试卷_同步练习_分层作业
3.3轴对称与坐标变化(分层作业)(解析版)_北师大初中数学_8上-北师大版初中数学_初中数学北师大8上-2025秋季新版_第二套推荐25_07习题试卷_同步练习_分层作业
3.3轴对称与坐标变化(分层作业)(解析版)_北师大初中数学_8上-北师大版初中数学_初中数学北师大8上-2025秋季新版_第二套推荐25_07习题试卷_同步练习_分层作业
3.3轴对称与坐标变化(分层作业)(解析版)_北师大初中数学_8上-北师大版初中数学_初中数学北师大8上-2025秋季新版_第二套推荐25_07习题试卷_同步练习_分层作业
3.3轴对称与坐标变化(分层作业)(解析版)_北师大初中数学_8上-北师大版初中数学_初中数学北师大8上-2025秋季新版_第二套推荐25_07习题试卷_同步练习_分层作业
3.3轴对称与坐标变化(分层作业)(解析版)_北师大初中数学_8上-北师大版初中数学_初中数学北师大8上-2025秋季新版_第二套推荐25_07习题试卷_同步练习_分层作业
3.3轴对称与坐标变化(分层作业)(解析版)_北师大初中数学_8上-北师大版初中数学_初中数学北师大8上-2025秋季新版_第二套推荐25_07习题试卷_同步练习_分层作业
3.3轴对称与坐标变化(分层作业)(解析版)_北师大初中数学_8上-北师大版初中数学_初中数学北师大8上-2025秋季新版_第二套推荐25_07习题试卷_同步练习_分层作业
3.3轴对称与坐标变化(分层作业)(解析版)_北师大初中数学_8上-北师大版初中数学_初中数学北师大8上-2025秋季新版_第二套推荐25_07习题试卷_同步练习_分层作业
3.3轴对称与坐标变化(分层作业)(解析版)_北师大初中数学_8上-北师大版初中数学_初中数学北师大8上-2025秋季新版_第二套推荐25_07习题试卷_同步练习_分层作业
3.3轴对称与坐标变化(分层作业)(解析版)_北师大初中数学_8上-北师大版初中数学_初中数学北师大8上-2025秋季新版_第二套推荐25_07习题试卷_同步练习_分层作业
3.3轴对称与坐标变化(分层作业)(解析版)_北师大初中数学_8上-北师大版初中数学_初中数学北师大8上-2025秋季新版_第二套推荐25_07习题试卷_同步练习_分层作业
3.3轴对称与坐标变化(分层作业)(解析版)_北师大初中数学_8上-北师大版初中数学_初中数学北师大8上-2025秋季新版_第二套推荐25_07习题试卷_同步练习_分层作业
3.3轴对称与坐标变化(分层作业)(解析版)_北师大初中数学_8上-北师大版初中数学_初中数学北师大8上-2025秋季新版_第二套推荐25_07习题试卷_同步练习_分层作业
3.3轴对称与坐标变化(分层作业)(解析版)_北师大初中数学_8上-北师大版初中数学_初中数学北师大8上-2025秋季新版_第二套推荐25_07习题试卷_同步练习_分层作业
3.3轴对称与坐标变化(分层作业)(解析版)_北师大初中数学_8上-北师大版初中数学_初中数学北师大8上-2025秋季新版_第二套推荐25_07习题试卷_同步练习_分层作业
3.3轴对称与坐标变化(分层作业)(解析版)_北师大初中数学_8上-北师大版初中数学_初中数学北师大8上-2025秋季新版_第二套推荐25_07习题试卷_同步练习_分层作业
3.3轴对称与坐标变化(分层作业)(解析版)_北师大初中数学_8上-北师大版初中数学_初中数学北师大8上-2025秋季新版_第二套推荐25_07习题试卷_同步练习_分层作业
3.3轴对称与坐标变化(分层作业)(解析版)_北师大初中数学_8上-北师大版初中数学_初中数学北师大8上-2025秋季新版_第二套推荐25_07习题试卷_同步练习_分层作业
3.3轴对称与坐标变化(分层作业)(解析版)_北师大初中数学_8上-北师大版初中数学_初中数学北师大8上-2025秋季新版_第二套推荐25_07习题试卷_同步练习_分层作业
3.3轴对称与坐标变化(分层作业)(解析版)_北师大初中数学_8上-北师大版初中数学_初中数学北师大8上-2025秋季新版_第二套推荐25_07习题试卷_同步练习_分层作业
3.3轴对称与坐标变化(分层作业)(解析版)_北师大初中数学_8上-北师大版初中数学_初中数学北师大8上-2025秋季新版_第二套推荐25_07习题试卷_同步练习_分层作业
3.3轴对称与坐标变化(分层作业)(解析版)_北师大初中数学_8上-北师大版初中数学_初中数学北师大8上-2025秋季新版_第二套推荐25_07习题试卷_同步练习_分层作业
3.3轴对称与坐标变化(分层作业)(解析版)_北师大初中数学_8上-北师大版初中数学_初中数学北师大8上-2025秋季新版_第二套推荐25_07习题试卷_同步练习_分层作业
3.3轴对称与坐标变化(分层作业)(解析版)_北师大初中数学_8上-北师大版初中数学_初中数学北师大8上-2025秋季新版_第二套推荐25_07习题试卷_同步练习_分层作业
3.3轴对称与坐标变化(分层作业)(解析版)_北师大初中数学_8上-北师大版初中数学_初中数学北师大8上-2025秋季新版_第二套推荐25_07习题试卷_同步练习_分层作业
3.3轴对称与坐标变化(分层作业)(解析版)_北师大初中数学_8上-北师大版初中数学_初中数学北师大8上-2025秋季新版_第二套推荐25_07习题试卷_同步练习_分层作业
3.3轴对称与坐标变化(分层作业)(解析版)_北师大初中数学_8上-北师大版初中数学_初中数学北师大8上-2025秋季新版_第二套推荐25_07习题试卷_同步练习_分层作业
3.3轴对称与坐标变化(分层作业)(解析版)_北师大初中数学_8上-北师大版初中数学_初中数学北师大8上-2025秋季新版_第二套推荐25_07习题试卷_同步练习_分层作业
3.3轴对称与坐标变化(分层作业)(解析版)_北师大初中数学_8上-北师大版初中数学_初中数学北师大8上-2025秋季新版_第二套推荐25_07习题试卷_同步练习_分层作业
3.3轴对称与坐标变化(分层作业)(解析版)_北师大初中数学_8上-北师大版初中数学_初中数学北师大8上-2025秋季新版_第二套推荐25_07习题试卷_同步练习_分层作业

文档信息

文档格式
docx
文档大小
1.898 MB
文档页数
40 页
上传时间
2026-04-12 06:19:44

文档内容

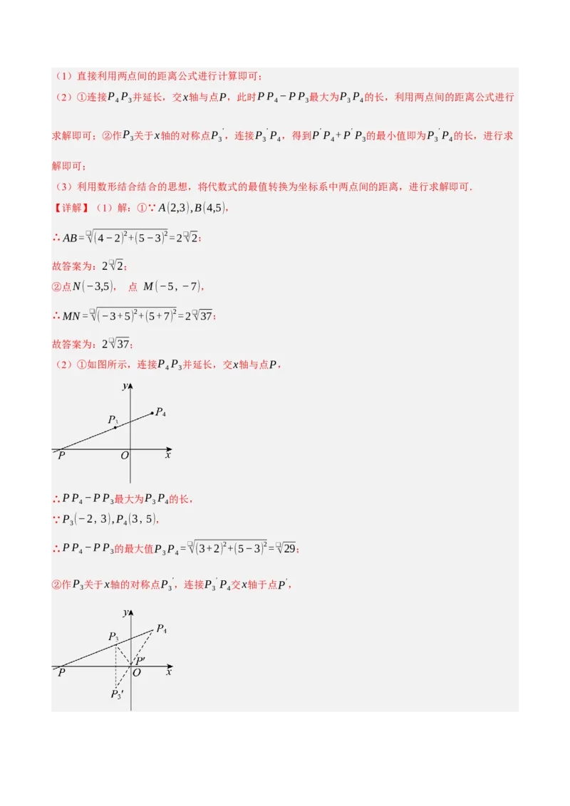
3.3 轴对称与坐标变化 5大知识点(基础)+能力提升题(9道)+拓展培优练(3道) 一、坐标系上点关于坐标轴的对称 1.(24-25八年级上·广东汕头·期中)点M(1,2)关于x轴对称的点的坐标为( ) A.(−1,2) B.(1,−2) C.(−1,−2) D.(2,−1) 【答案】B 【分析】本题考查关于x轴对称的点的坐标,关于x轴对称的点的坐标变换规律为:横坐标不变,纵坐标 取相反数. 【详解】解:点M(1,2)关于x轴对称时,其横坐标1保持不变,纵坐标2变为−2, 因此对称点的坐标为(1,−2), 故选B. 2.(24-25八年级上·宁夏固原·期中)在平面直角坐标系中,点P(2,−3)关于y轴对称的点的坐标为 ( ) A.(−2,−3) B.(2,3) C.(−3,−2) D.(3,−2) 【答案】A 【分析】本题考查了点的坐标—轴对称,根据关于y轴对称的点的坐标规律,横坐标互为相反数,纵坐标 不变,直接计算即可,熟练掌握点的坐标的关于y对称的特点是解此题的关键. 【详解】解:点P(2,−3)关于y轴对称时,横坐标变为相反数,即−2,纵坐标保持不变,仍为−3,因此 对称点的坐标为(−2,−3), 故选:A. 3.(北京市顺义区2024一2025学年下学期八年级教学质量检测数学试卷)在平面直角坐标系中,点 A(1,2)关于y轴的对称点的坐标是( ) A.(1,2) B.(−1,2) C.(−1,−2) D.(1,−2) 【答案】B 【分析】本题考查了点的坐标—轴对称,根据平面直角坐标系中关于y轴对称的点的坐标变换规律:横坐 标取相反数,纵坐标不变,直接求解即可,熟练掌握关于y轴对称的点的坐标变换规律是解此题的关键. 【详解】解:在平面直角坐标系中,点A(1,2)关于y轴的对称点的坐标是(−1,2),故选:B. 4.(24-25八年级下·北京延庆·期末)在平面直角坐标系xOy中,点A(2,3)关于x轴的对称点的坐标是 ( ) A.(2,3) B.(2,−3) C.(−2,3) D.(−2,−3) 【答案】B 【分析】本题主要考查了关于x轴的对称点的坐标特点,熟知关于x轴对称的点横坐标相同,纵坐标互为 相反数是解题的关键.根据关于x轴对称的点横坐标相同,纵坐标互为相反数进行求解即可. 【详解】解:在平面直角坐标系xOy中,点A(2,3)关于x轴的对称点的坐标是(2,−3), 故选:B. 二、坐标系上点关于其他直线对称的变化 1.(2025·山西·模拟预测)剪纸是中国古老的民间艺术之一.如图是一张蕴含着轴对称变换的蝴蝶剪纸, 点A与点B对称,点C与点D对称.将其放置在直角坐标系中,点A,B,C的坐标分别为(3,0),(5,0), (1,4),则点D的坐标为 . 【答案】(7,4) 【分析】本题考查了轴对称的性质,由点A与点B对称,求得对称轴为直线x=4,再根据点C与点D对称, 即可求解,掌握轴对称的性质是解题的关键. 【详解】解:∵点A与点B对称,(3,0),(5,0), ∴对称轴为直线x=4, ∵点C与点D对称,(1,4), ∴点D的坐标为(7,4), 故答案为:(7,4). 2.(24-25八年级上·广东广州·期中)如图,已知△ABC(1)画出△ABC关于直线x=2对称的图形△A B C ;并直接写出△A B C 的面积____; 1 1 1 1 1 1 (2)若点P(a,b)在△ABC内部,点P和点P 关于直线x=2对称,则P 的坐标是______; 1 1 【答案】(1)作图见解析,5. (2)(4−a,b) 【分析】本题考查坐标与轴对称.熟练掌握关于x轴对称的点的特点:横坐标相同,纵坐标互为相反数, 是解题的关键. (1)找到点A,B,C关于x=2的对称点,再进行连线即可得到△A B C ;利用割补法求出△A B C 的面 1 1 1 1 1 1 积的面积即可. (2)根据图形,根据轴对称的特征即可求出P 的坐标; 1 【详解】(1)解:如图所示:△A B C 即为所求; 1 1 1 1 1 1 由图可知:S =2×6− ×1×6− ×2×2− ×4×1=5; △A 1 B 1 C 1 2 2 2 故答案为:5. (2)解:∵点P(a,b)在△ABC内部,点P和点P 关于直线x=2对称, 1∴P 的坐标是(4−a,b) 1 3.(24-25八年级下·河北衡水·期中)已知点P(2m+4,m−1). (1)若点P在x轴上,求m的值; (2)若点P的横坐标比纵坐标大3,求点P的坐标; (3)若点P(8,1)与点Q(a,b)关于直线x=1对称,则点Q的坐标是______. 【答案】(1)m=1 (2)P(0,−3) (3)(−6,1) 【分析】本题考查了点的坐标特征、对称的性质、一元一次方程的应用,熟练掌握以上知识点并灵活运用 是解此题的关键. (1)根据在x轴上的点的纵坐标为0得出m−1=0,求解即可; (2)由题意可得2m+4−(m−1)=3,求出m的值即可得解; (3)根据对称的性质可得b=1,8+a=2×1,求出a的值即可得解. 【详解】(1)解:∵点P(2m+4,m−1)在x轴上, ∴m−1=0, ∴m=1; (2)解:∵点P(2m+4,m−1)的横坐标比纵坐标大3, ∴2m+4−(m−1)=3, ∴m=−2, ∴2m+4=0,m−1=−3,即P(0,−3); (3)解:∵点P(8,1)与点Q(a,b)关于直线x=1对称, ∴b=1,8+a=2×1, ∴a=−6, ∴Q(−6,1). 4.(24-25八年级上·重庆江北·期末)在平面直角坐标系中,△ABC的顶点坐标分别为 A(−2,4),B(−1,1),C(−3,2).(1)画出△ABC关于x轴的对称图形为△A B C ,并写出顶点A 的坐标; 1 1 1 1 (2)画出△ABC关于直线x=1所对称的图形△A B C ,并写出顶点A 的坐标; 2 2 2 2 (3)在y轴上画出点P,使△PAB的周长最小. 【答案】(1)见解析,A (−2,−4) 1 (2)见解析,A (4,4) 2 (3)见解析 【分析】本题考查了作轴对称图形,坐标与图形,轴对称−最短线段问题,掌握轴对称的性质是解题的关 键. (1)根据轴对称的性质作图即可; (2)根据轴对称的性质作图,再根据图形写出坐标即可; (3)作点B关于y轴的对称点B ,连接B A交y轴于点P,由轴对称可知PB=PB ,所以 3 3 3 PB+PA=PB +PA=B A,根据两点之间线段最短,可知此时PB+PA最小,即△PAB的周长最小,故 3 3 点P即为 所求; 【详解】(1)解:如图所示,△A B C 即为所求; 1 1 1 由图可得,A (−2,−4); 1(2)解:如图所示,△A B C 即为所求, 2 2 2 由图可得,A (4,4); 2 (3)解:如图所示,点P即为所求. 三、坐标系上的对称变化 1.(24-25八年级上·江苏苏州·阶段练习)如图,在长方形OABC中,OA在x轴上,OC在y轴上,且 OA=2,AB=4,把△ABC沿着AC对折得到△AB′C,AB′交y轴于点D,则点D的坐标为 .( 3) 【答案】 0, 2 【分析】本题考查了长方形的性质、折叠的性质、三角形全等的判定与性质、勾股定理.由长方形和折叠 的性质可得:B′C=OA=2,∠B=∠B′=90°,OD+CD=OC=4,证明△AOD≌△CB′D(AAS),得出 AD+OD=4,再由勾股定理列式计算即可求解. 【详解】解:由折叠可得:BC=B′C,∠B=∠B′=90°, ∵OA=2,AB=4,四边形OABC是长方形, ∴B′C=OA=2,OD+CD=OC=AB=4, { ∠B′=∠AOD ) 在△AOD和△CB′D中, ∠ADO=∠CDB′ , AO=B′C ∴△AOD≌△CB′D(AAS), ∴AD=CD, ∴AD+OD=4, ∵AD2=AO2+OD2, ∴(4−OD) 2=22+OD2, 3 解得:OD= , 2 ( 3) ∴点D的坐标为 0, , 2 ( 3) 故答案为: 0, . 2 2.(24-25八年级下·宁夏银川·期中)如图,平面直角坐标系中,△ABC三个顶点的坐标分别为A(−3,5), B(−5,3),C(−2,2). (1)请在图中画出 △ABC先向右平移6个单位长度,再向下平移2个单位长度的△A B C ; 1 1 1(2)△A B C 关于原点对称得到△A B C ,请在图中画出△A B C ;并写出A 坐标; 1 1 1 2 2 2 2 2 2 2 (3)求△ABC的面积. 【答案】(1)图见解析 (2)图见解析,(−3,−3) (3)4 【分析】本题考查了坐标与图形. (1)根据平移作图即可; (2)根据对称作图即可,根据图像即可得到A 坐标; 2 (3)根据割补法计算即可. 【详解】(1)解:△A B C 如图所示; 1 1 1 (2)解:△A B C 如图所示; 2 2 2 由图可知:A 坐标为(−3,−3); 2 1 1 1 (3)解:3×3− ×1×3− ×1×3− ×2×2=4, 2 2 2 ∴△ABC的面积为4. 3.(24-25七年级下·广西防城港·期中)如图所示,左、右两幅图案关于y轴对称,右边图案中的左、右两 朵花花心的坐标分别是(2,5)和(3,4).(1)试确定左边图案中的左、右两朵花花心的坐标; (2)如果将右边图案沿x轴向右平移2个单位长度,那么它的左、右两朵花花心的坐标将发生什么变化? 【答案】(1)左边图案中的左、右两朵花花心的坐标分别是(−3,4)和(−2,5); (2)它的左右两朵花花心的横坐标加2,纵坐标不变,左、右两朵花花心的坐标将变为(4,5)和(5,4). 【分析】本题考查坐标系中的对称和平移,解题的关键是熟练掌握关于y轴对称的点的坐标特征,以及 点 的坐标平移规律. (1)根据关于y轴对称的点的坐标特征即可得出左边图案中的左、右两朵花花心的坐标; (2)根据平移规律,即可得出花心坐标发生的变化,以及变化后的坐标. 【详解】(1)解:∵左、右两幅图案关于y轴对称,右边图案中的左、右两朵花花心的坐标分别是(2,5)和 (3,4), ∴左边图案中的左、右两朵花花心的坐标分别是(−3,4)和(−2,5), 答:左边图案中的左、右两朵花花心的坐标分别是(−3,4)和(−2,5). (2)解:如果将右边图案沿x轴向右平移2个单位长度,那么它的左右两朵花花心的横坐标加2,纵坐标 不变, ∵右边图案中的左、右两朵花花心的坐标分别是(2,5)和(3,4), ∴沿x轴向右平移2个单位长度后,右边图案中的左、右两朵花花心的坐标将变为(4,5)和(5,4), 答:它的左右两朵花花心的横坐标加2,纵坐标不变,左、右两朵花花心的坐标将变为(4,5)和(5,4). 4.(24-25八年级上·宁夏石嘴山·期末)如图,在平面直角坐标系中,△ABC的三个顶点都在格点上,点 A的坐标为(2,4). (1)画出△ABC关于y轴对称的△A B C ,并写出点A 的坐标; 1 1 1 1 (2)直接写出点A关于x轴的对称点A 的坐标. 2 【答案】(1)作图见解析,(−2,4)(2)(2,−4) 【分析】本题考查作图—轴对称图形, (1)根据轴对称的性质,得出△ABC的三个顶点各个对应点,再顺次连接即可; (2)根据关于x轴对称的点的坐标特征求解即可; 熟练掌握轴对称的性质是解答本题的关键. 【详解】(1)解:如图,△A B C 即为所作,点A 的坐标为(−2,4); 1 1 1 1 (2)点A关于x轴的对称点A 的坐标为(2,−4). 2 四、坐标系中的动点问题 1.(24-25七年级下·河北邯郸·期中)已知点A(3,7),B(3,2),点P为直线AB上一点,且PA=4PB,则 点P的坐标为( ) ( 1) A.(3,1) B.(3,3) C.(3,3)或 3, D.(3,1)或(3,3) 3 【答案】C 【分析】设P(3,y),则点P一定在点A的下方,故PA=7−y,PB=|2−y),根据题意PA=4PB,建立 绝对值方程并求解,得到两个符合条件的解. 本题考查了坐标与线段,绝对值方程的解法,熟练掌握解方程是解题的关键. 【详解】解:设P(3,y),则点P一定在点A的下方,故PA=7−y,PB=|2−y),根据题意PA=4PB, 得7−y=4(2−y)或7−y=4(y−2), 1 解得y= 或y=3, 3( 1) 故点P的坐标为(3,3)或 3, , 3 故选:C. 2.(24-25七年级下·重庆大足·期末)如图1,在平面直角坐标系中,点O为坐标原点,已知点 A(a,0),B(0,b),且a,b满足(a−6) 2+❑√b−8=0,连接AB. (1)请直接写出a,b的值; (2)若点P(m,0)满足△ABP的面积等于12,求点P的坐标; (3)如图2,动点C从点B出发,在y轴上以每秒1个单位的速度向下运动,动点D从点O出发,在x轴上 以每秒2个单位的速度向右运动,若点C,D同时出发,当△ABD的面积等于△ABC面积的2倍时,请直 接写出点C的坐标. 【答案】(1)a=6,b=8 (2)P(3,0)或P(9,0) ( 44) (3)(0,−4)或 0, 7 【分析】(1)根据平方、算术平方根的非负性求解; 1 (2)根据坐标可得OB=8,AP=|6−m),根据S = AP⋅OB=12求解; △ABP 2 (3)设运动时间为t,则BC=t,OD=2t,AD=|2t−6),当△ABD的面积等于△ABC面积的2倍时, 1 1 OB⋅AD=2× BC⋅OA,代入数值求出t的值,即可得出答案. 2 2 【详解】(1)解:∵ (a−6) 2+❑√b−8=0, ∴ a−6=0,b−8=0, ∴ a=6,b=8; (2)解:由(1)得a=6,b=8,∴ A(6,0),B(0,8), ∴ OB=8,AP=|6−m), ∵ S =12, △ABP 1 1 ∴ AP⋅OB= ×|6−m)×8=12, 2 2 解得m=3或m=9, ∴ P(3,0)或P(9,0); (3)解:设运动时间为t,则BC=t,OD=2t, ∵ A(6,0), ∴ OA=6, ∴ AD=|2t−6), 1 1 当△ABD的面积等于△ABC面积的2倍时, OB⋅AD=2× BC⋅OA, 2 2 1 1 ∴ ×8×|2t−6)=2× t×6, 2 2 12 解得t=12或t= , 7 t=12时,点C的纵坐标为:8−12=−4;. 12 12 44 t= 时,点C的纵坐标为:8− = ; 7 7 7 ( 44) ∴点C的坐标为(0,−4)或 0, . 7 【点睛】本题考查平面直角坐标系,非负数的性质,一元一次方程的应用等知识,解题的关键是学会利用 参数构建方程解决问题. 3.(24-25七年级下·湖北孝感·期中)如图,在平面直角坐标系中,AB⊥x轴于点A,BC⊥y轴于点 C,已知A(a,0),C(0,c),其中a,c满足关系式(a−6) 2+❑√c+8=0,点P从O点出发沿折线 OA→AB→BC的方向运动到点C停止,运动的速度为每秒2个单位长度,设点P的运动时间为t秒.(1)a= ;c=_________; (2)当点P到AB的距离为4个单位长度时,求t的值; (3)点P在运动过程中,连接OP,PC. ①用含t的代数式表示点P的坐标; 1 ②是否存在点P使得三角形OPC的面积是四边形OABC面积的 ?若存在,请求出点P的坐标;若不存 3 在,请说明理由. 【答案】(1)6,−8 (2)t=1或t=9 (3)①P(2t,0)或P(6,6−2t)或(20−2t,−8);②存在,P(4,0),P(4,−8) 【分析】主要考查平面直角坐标系中动点问题,算术平方根的非负性,一元一次方程的应用,熟练掌握相 关知识并灵活运用为解题关键. (1)根据非负性,求出a,c的值,即可; (2)根据a,c的值,得到点A,B,C的坐标,根据点P到AB的距离为4个单位长度时,根据图形得 到运动路程,即可求出结果; (3)①根据P点的运用轨迹,分为P点在OA上,在AB上,在BC上三种情况,求出结果即可;②分别当 P点在OA上,在AB上,在BC上三种情况时讨论得出结果. 【详解】(1)解:∵(a−6) 2+❑√c+8=0,(a−6) 2≥0,❑√c+8≥0, ∴a−6=0,c+8=0, ∴a=6,c=−8, 故答案为:6,−8; (2)∵a=6,c=−8, ∴A(6,0),C(0,−8),B(6,−8), ∵当点P到AB的距离为4个单位长度时, ∴当P在线段OA上,点P到AB的距离为4个单位长度时,则6−2t=4, ∴t=1; 当P在线段BC上,点P到AB的距离为4个单位长度时, ∴点P的运动轨迹路程为:6+8+4=18, ∴t=18÷2=9(秒); 综上所述,运动过程中,当点P到AB的距离为4个单位长度时,t=1或t=9. (3)①如图,当0≤t<3时,点P在线段OA上, OP=2t,P(2t,0) ; 当3≤t<7,点P在线段AB上, PA=2t−6,P(6,6−2t) ; 当7≤t≤10时, 点P在线段BC上, PC=20−2t,P(20−2t,−8) ; 1 ②存在点P使得三角形OPC 的面积是四边形OABC的面积的 ,理由如下: 3 ∵四边形OABC的面积=6×8=48, 1 ∴ ×48=16, 3 1 当0≤t<3时,三角形OPC的面积= ×8×2t=8t, 2∴8t=16, ∴t=2,P(4,0); 1 当3≤t<7时,三角形OPC的面积= ×8×6=24≠16, 2 ∴此时不存在点P; 1 当7≤t≤10时,三角形OPC的面积= ×8×(20−2t)=16, 2 ∴t=8,P(4,−8); ∴综上所述当t=2时,P(4,0),当t=8时,P(4,−8). 4.(24-25七年级下·海南省直辖县级单位·期中)综合与实践,如图在长方形ABCO中,O为平面直角坐 标系的原点,点A坐标为(4,0),点C的坐标(0,6),且点B在第一象限内,点P从原点出发,以每秒2个单 位长度的速度沿着O→A→B→C→O的路线移动, (1)求点B的坐标 (2)当点P移动到4秒时,请求出点P的坐标. (3)当点P移动到距离x轴4个单位长度时,求点P移动的时间. 【答案】(1)(4,6) (2)(4,4) (3)4秒或8秒. 【分析】本题考查了坐标与图形,利用数形结合和分类讨论的思想解决问题是关键. (1)根据点A、C的坐标得到OA=4,OC=6,再结合长方形的性质求解即可; (2)由题意可知,当点P移动到4秒时,点P的移动距离为8,再根据点P的移动路线可知,点P在AB上, 写出点P的坐标即可. (3)分两种情况讨论:①当点P在AB上时;②当点P在OC上时,分别求出点P的移动距离,再求出点P 移动的时间即可. 【详解】(1)解:∵点A坐标为(4,0),点C的坐标(0,6), ∴OA=4,OC=6,∵长方形ABCO, ∴AB=OC=6,OA=BC=4,∠OAB=∠OCB=90°, ∴点B的坐标为(4,6); (2)解:当点P移动到4秒时,点P的移动距离为4×2=8, ∵点P沿着O→A→B→C→O的路线移动,且OA=4,AB=6, ∴点P在AB上,坐标为(4,8−4),即(4,4). (3)解:①如图,当点P在AB上时, ∵ 点P移动到距离x轴4个单位长度, ∴AP=4, ∴点P的移动距离为OA+AP=8, ∴点P移动的时间为8÷2=4秒; ②如图,当点P在OC上时, ∵ 点P移动到距离x轴4个单位长度, ∴OP=4, ∴点P的移动距离为OA+AB+BC+OC−OP=16, ∴点P移动的时间为16÷2=8秒; 综上可知,点P移动的时间为4秒或8秒. 五、坐标系上的最短路径问题 1.(24-25八年级下·吉林长春·期中)如图,在平面直角坐标系中,△ABC三个顶点的坐标分别为A(0,2), B(2,0),C(5,3).(1)画出△ABC关于y轴对称的△AB C ; 1 1 (2)若点P为y轴上一动点,使得PB +PC 值最小,在y轴上画出点P(保留作图痕迹),并直接写出点P 1 1 的坐标______. 【答案】(1)图见解析 (2)图见解析,P(0,1) 【分析】本题考查坐标与轴对称,熟练掌握轴对称的性质,是解题的关键: (1)根据轴对称的性质,画图即可; (2)连接BC ,BC 与y轴的交点即为点P. 1 1 【详解】(1)解:如图,△AB C 即为所求; 1 1 (2)如图,点P即为所求; 由图可知:P(0,1).2.(24-25八年级上·新疆昌吉·期末)(1)请在给定的平面直角坐标系中画出△ABC关于y轴对称的图形 △A B C ,并写出点C 的坐标; 1 1 1 1 (2)在y轴上找出一点M,使MB+MC的值最小.(不写画法,保留画图痕迹) 【答案】(1)见解析,C (1,−1);(2)见解析 1 【分析】本题考查作图-轴对称变换,等腰直角三角形的性质等知识,解题的关键是学会利用数形结合的思 想解决问题,属于中考常考题型. (1)利用轴对称的性质分别作出A,B,C的对应点A ,B ,C 即可; 1 1 1 (2)连接CB 交y轴于点M,连接CM,点M即为所求. 1 【详解】解:(1)如图,△A B C 即为所求; 1 1 1 C (1,−1) 1 ; (2)如图,点M即为所求.3.(24-25八年级上·福建龙岩·期中)如图,在平面直角坐标系中,△ABC的三个顶点坐标分别为A(1,3), B(2,1),C(5,1). (1)请画出△ABC关于y轴的对称图形△A B C ,并分别写出A ,B ,C 的坐标. 1 1 1 1 1 1 (2)请画出△ABC关于x轴的对称图形△A B C ,△A B C 的面积为______. 2 2 2 2 2 2 (3)在y轴上画出点P使PA+PB最小. 【答案】(1)图见解析,A (−1,3),B (−2,1),C (−5,1) 1 1 1 (2)图见解析,3 (3)见解析 【分析】本题考查了作图﹣轴对称变换,直角坐标系,熟练掌握轴对称变换的定义和性质是解题的关键. (1)先根据对称的性质作图,再根据所作图形写出A ,B ,C 的坐标即可; 1 1 1 (2)利用三角形的面积公式求解即可; (3)由于点A、A 关于y轴对称,所以AP=A P,则PA+PB=PA +PB,当A 、P、B共线时, 1 1 1 1 PA+PB最小,所以连接A B交y轴于点P,点P即为所求. 1 【详解】(1)解:如图,△A B C 即为所求,A (−1,3),B (−2,1),C (−5,1); 1 1 1 1 1 1(2)如图,△A B C 即为所求, 2 2 2 1 △A B C ×3×2=3 2 2 2 2 的面积为: , 故答案为:3; (3)如图,连接A B交y轴于点P,点P即为所求. 1 4.(24-25八年级上·重庆开州·期末)如图所示,△ABC在平面直角坐标系中,其中点A(−4,4)、 B(−2,1)、C(0,3).(1)求△ABC的面积; (2)画出△ABC关于x轴对称的△A′B′C′,并写出点A′,B′,C′的坐标; (3)在y轴上有一点M,使得AM+BM的值最小,请直接写出点M的坐标:________(横、纵坐标值精确 到整数值) 【答案】(1)5 (2)画图见解析,A′(−4,−4),B′(−2,−1),C′(0,−3) (3)M(0,2) 【分析】本题考查作图−轴对称变换、三角形的面积,熟练掌握轴对称的性质是解答本题的关键. (1)利用割补法求三角形的面积即可; (2)根据轴对称的性质作图,即可得出答案; (3)作点A关于y轴的对称点A ,连接A B交y轴于点M即为所求. 1 1 1 1 1 【详解】(1)△ABC的面积=3×4− ×2×3− ×2×2− ×1×4=5; 2 2 2 (2)如图所示,△A′B′C′即为所求; ∴A′(−4,−4),B′(−2,−1),C′(0,−3);(3)如图所示,作点A关于y轴的对称点A ,连接A B交y轴于点M即为所求; 1 1 由网格特点得,点M的坐标为M(0,2). 1.(24-25八年级上·新疆伊犁·期中)已知点M(a,3),点N(2,b)关于y轴对称,则(a+b) 2024的值( ) A.−3 B.−1 C.1 D.3 【答案】C 【分析】此题主要考查了关于y轴对称的点的坐标:横坐标互为相反数,纵坐标相等,代数式求值,关键 是掌握点的坐标的变化规律. 根据点M(a,3),点N(2,b)关于y轴对称特征,求得a,b的值,代入即可求解. 【详解】解:点M(a,3),点N(2,b)关于y轴对称, ∴a=−2,b=3, 则(a+b) 2024=(−2+3) 2024=1. 故选:C. 2.(24-25七年级下·重庆·期末)若点A(4,m+3)与点B(n−2,5)关于x轴对称,则m+n的值为 . 【答案】−2 【分析】本题考查代数式求值,涉及平面直角坐标系中点关于x轴对称的点的坐标特征:横坐标不变、纵 坐标互为相反数,掌握点关于坐标轴对称点的坐标特征是解决问题的关键.根据点A(4,m+3)与点B(n−2,5)关于x轴对称,,可知∴m=−8,n=6,代入m+n直接求值即可得到答 案. 【详解】解:∵点A(4,m+3)与点B(n−2,5)关于x轴对称, ∴n−2=4,m+3=−5, ∴m=−8,n=6, ∴m+n=−8+6=−2. 故答案为:−2. 3.(24-25八年级上·海南省直辖县级单位·期中)如图,△ABC三个顶点的坐标分别为A(1,1),B(4,2), C(3,4). (1)请画出△ABC关于y轴的对称图形△A B C ; 1 1 1 (2)△A B C 的面积是____________. 1 1 1 【答案】(1)见详解 7 (2) 2 【分析】本题考查了作轴对称图形和求格点三角形面积;掌握轴对称图形的作法及割补法求面积是解题的 关键. (1)按要求作出图形,即可求解; (2)正方形的面积减去3个直角三角形的面积,即可求解; 【详解】(1)解:如图,∴△A B C 1 1 1 为所求作图形; (2)解:由图得: 1 1 1 S =3×3− ×3×1− ×2×1− ×2×3 △A 1 B 1 C 1 2 2 2 7 = . 2 7 故答案为: . 2 4.(24-25八年级下·河北邯郸·期中)如图,在平面直角坐标系xOy中,直线l经过点M(3,0),且平行于y 轴,给出如下定义:点P(x,y)先关于y轴对称得点P ,再将点P 关于直线l对称得点P′,则称点P′是点P 1 1 关于y轴和直线l的二次反射点. (1)已知A(−4,0),B(−2,1),写出点A、点B关于y轴和直线l的二次反射点A′,B′的坐标; (2)若点C的坐标是(a,0),其中a<0,点C关于y轴和直线l的二次反射点是点C′,求线段CC′的长. 【答案】(1)A′(2,0),B′(4,1) (2)6 【分析】本题考查了轴对称性质,新定义二次反射点的理解和运用. (1)根据二次反射点的定义直接得出答案;(2)根据二次反射点的定义得出D′ (6+a,0),则可得出答案. 【详解】(1)解:∵A(−4,0), ∴点A关于y轴对称点的坐标为(4,0), ∵(4,0)关于直线l对称的点A′ (2,0), ∴A(−4,0)关于y轴和直线l的二次反射点A′的坐标(2,0), ∵B(−2,1), ∴点B关于y轴对称点的坐标为(2,1), ∵(2,1)关于直线l对称的点B′ (4,1), ∴B(−2,1)关于y轴和直线l的二次反射点B′的坐标(4,1), (2)解:∵点C的坐标是(a,0),a<0 ∴点C关于y轴对称点的坐标为(−a,0), ∴(−a,0)关于直线l对称的点C′ (6+a,0), ∴CC′=6+a−a=6. 5.(24-25八年级上·河北邯郸·期中)如图,在平面直角坐标系中,点A,B,C,D的坐标分别为(2,4), (1,2),(5,3)和(−1,−2). (1)画出△ABC关于x轴对称的△A B C (点A ,B 分别是点A,B的对应点),并写出点C 的坐标; 1 1 1 1 1 1 (2)在图中的平面直角坐标系中画出点E,使得以D,E,A ,B 四点组成的四边形是轴对称图形,且对称 1 1 轴是y轴,并写出点E的坐标. 【答案】(1)见详解 (2)见详解,E(−2,−4)【分析】本题考查了轴对称的性质,轴对称和轴对称图形,坐标变换,解题的关键是正确理解坐标系中对 称的性质. (1)根据轴对称的特征得出点A、B、C的位置再顺次连接即可得解; (2)根据轴对称的特征得出点E,再顺次连接即可. 【详解】(1)解:△ABC关于x轴对称的△A B C ,如图1即为所求; 1 1 1 由图可知,C (5,−3); 1 (2)如图2,四边形ABDE即为所求, 由图可知,E(−2,−4). 6.(24-25七年级下·内蒙古兴安盟·期中)如图,在平面直角坐标系中,长方形OABC的顶点A、C分别在 x轴、y轴上,BC∥x轴,BA⊥x轴,点B的坐标为(a,b),且(a−6) 2+|b−4)=0.(1)直接写出点A的坐标为________,点B的坐标为________. (2)若动点P从原O出发,沿y轴以每秒2个长度单位的速度向上运动,在运动过程中形成的三角形OPA的 面积与长方形OABC面积相等时,点P停止运动,求点P的运动时间; (3)在(2)的条件下,在x轴上是否存在一点Q,使三角形APQ的面积是长方形OABC的面积的2倍?若 存在,求出点Q的坐标;若不存在,请说明理由. 【答案】(1)A(6,0),B(6,4) (2)4秒 (3)Q(−6,0)或(18,0) 【分析】本题考查了绝对值,平方的非负性,坐标与图形,一元一次方程的应用,解题的关键在于对知识 的熟练掌握与灵活运用. (1)由(a−6) 2+|b−4)=0,可得a−6=0,b−4=0,解得a=6,b=4,则A(6,0),B(6,4); (2)设P(0,m),则S =3m,由题意知S =OA×OC=6×4=24,S =S ,得到 △OPA 长 方 形OABC △OPA 长 方 形OABC 3m=24,进一即可求出答案; 1 1 (3)由(2)可知P(0,8),设Q(n,0),得S = AQ×OP= ×|6−n)×8,由S =2S 列 △APQ 2 2 △APQ 长 方 形OABC 方程,求出n的值即可. 【详解】(1)解:∵ (a−6) 2+|b−4)=0, ∴ a−6=0,b−4=0, 解得a=6,b=4, ∴ A(6,0),B(6,4). 故答案为:A(6,0),B(6,4). 1 1 (2)解:设P(0,m),则S = OP×OA= m×6=3m, △OPA 2 2 由题意知S =OA×OC=6×4=24,S =S , 长 方 形OABC △OPA 长 方 形OABC ∴ 3m=24,解得m=8, 8 ∴ t= =4(秒), 2 ∴点P的运动时间为4秒; (3)解:由(2)可知P(0,8) 1 1 设Q(n,0),则AQ=|6−n),S = AQ×OP= ×|6−n)×8, △APQ 2 2 ∵ S =2S △APQ 长 方 形OABC 1 ∴ ×|6−n)×8=48, 2 解得n=−6或n=18, ∴ Q(−6,0)或(18,0) 7.(24-25七年级下·河南洛阳·期中)如图,在平面直角坐标系中,点E是第一象限内一点,且EN⊥x轴, 过点E作x轴的平行线a,与y轴交于点A,已知点A(0,m),N(n,0),且❑√m−4+|n−6)=0.若点P从点 E出发,以每秒2个单位长度的速度沿直线a向左移动,点Q从原点O同时出发,以每秒1个单位长度的速 度沿x轴向右移动. (1)m= ,n= ,点E坐标为 . (2)求经过几秒AP=OQ? (3)若某一时刻以A、O、Q、P为顶点的四边形的面积是10cm2,请直接写出此时点P的坐标. 【答案】(1)4,6,(6,4) (2)2s ( 4 ) (3)(4,4), − ,4 3 【分析】(1)根据二次根式和绝对值的非负性求解即可; (2)设经过x秒,AP=OQ,列方程求出x的值即可; (3)分点P在y轴右侧时和点P在y轴左侧时两种情况,根据以A、O、Q、P为顶点的四边形的面积是 10cm2列方程求出x的值,即可求出P点的坐标.本题考查了坐标与图形性质,非负性的应用,平行线的判定与性质,梯形的面积,难度适中,运用数形结 合与方程思想是解题的关键. 【详解】(1)解:∵❑√m−4+|n−6)=0, ∴m−4=0 ,n−6=0, ∴m=4,n=6, ∴点E 坐标为(6,4); 故答案为:4,6,(6,4). (2)解:∵E(6,4), ∴AE=ON=6, 设经过x秒,AP=OQ, 依题意,得6−2x=x, 解得x=2 , ∴经过2秒AP=OQ. (3)解:当点P在y轴右侧时, (6−2x)+x 依题意,得 ×4=10 , 2 解得x=1, 则6−2x=4, 此时点P 的坐标为(4,4); 当点P在y轴左侧时, (2x−6)+x 依题意,得 ×4=10 , 2 11 解得x= , 3 4 则2x−6= , 3 ( 4 ) 此时点P 的坐标为 − ,4 . 3 ( 4 ) 综合以上可得点P的坐标为(4,4)或 − ,4 . 3 8.(24-25七年级下·天津静海·期中)如图,在平面直角坐标系中,已知A(a,0),B(b,0),其中a,b满 足❑√a+1+(b−3) 2=0.(1)填空:a=_____,b=_____; (2)若在第三象限内有一点M(−2,m),用含m的式子表示△ABM的面积. 3 (3)在(2)条件下,当m=− 时,点P是x轴上的动点,当满足△PBM的面积是△ABM的面积的2倍时, 2 求点P的坐标. 【答案】(1)−1;3 (2)−2m (3)(−5,0)或(11,0) 【分析】本题考查了算术平方根和平方的非负性、三角形的面积、列代数式、坐标与图形,熟练掌握坐标 与图形、分类讨论是解题的关键. (1)利用算术平方根和平方的非负性,得出a+1=0,b−3=0,求出a、b的值即可; (2)根据点A、B的坐标,求出AB,根据坐标与图形,得出△ABM的边AB上的高=−m,根据三角形的 面积公式,得出答案即可; (3)根据坐标与图形,结合三角形的面积公式,由△PBM的面积是△ABM的面积的2倍,得出 PB=2×AB=2×4=8,分“当点P在点B的左侧时”和“当点P在点B的右侧时”两种情况,根据坐标与 图形,求出点P的坐标即可. 【详解】(1)解:∵❑√a+1+(b−3) 2=0,❑√a+1≥0,(b−3) 2≥0, ∴❑√a+1=0,(b−3) 2=0, ∴a+1=0,b−3=0, ∴a=−1,b=3, 故答案为:−1;3; (2)解:由(1)得a=−1,b=3, A(−1,0),B(3,0), ∴AB=3−(−1)=4, ∵在第三象限内有一点M(−2,m),∴m<0, ∴△ABM的边AB上的高=−m, 1 ∴S = ×4×(−m)=−2m; △ABM 2 (3)解:∵A(−1,0),B(3,0),点P是x轴上的动点, ∴△PBM的边PB上的高和△ABM的边AB上的高相等, 又∵三角形的面积=底×高÷2,△PBM的面积是△ABM的面积的2倍, ∴PB=2×AB=2×4=8, ∴当点P在点B的左侧时, 3−8=−5 P (−5,0) ,则点 的坐标为 , 当点P在点B的右侧时, 3+8=11 P (11,0) ,则点 的坐标为 , 综上所述,点P的坐标为(−5,0)或(11,0). 9.(24-25七年级下·江西南昌·期中)已知,如图,在直角坐标系中,AB∥CD∥x轴,BC∥DE∥y轴, AB=CD=4,BC=DE=3,有个点P从A→B→C→D运动,每秒钟1个单位,同时点Q从 O→E→D也以每秒1个单位运动,运动时间为t, (1)写出B,C,D三个点坐标. (2)当t=6秒时,求△OPQ的面积. (3)当P到x轴距离等于Q到y轴距离时,求时间t.【答案】(1)B(4,6),C(4,3),D(8,3) (2)12 (3)t=4或t=5 【分析】本题考查了坐标系点的坐标,坐标系点的动点问题,坐标系点坐标到坐标轴的距离,三角形的面 积,熟练掌握以上知识点并数形结合是解题的关键. (1)根据题意,先求得OE和OA,再写出点的坐标即可; (2)先判断点P和Q所在位置,写出两个点的坐标,然后求出三角形的面积即可; (3)分4种情况①0