当前位置:首页>文档>专题02一次函数与三角形综合问题的三种模型(高效培优专项训练)(教师版)_北师大初中数学_8上-北师大版初中数学_初中数学北师大8上-2025秋季新版_第二套推荐25_08专项讲练

专题02一次函数与三角形综合问题的三种模型(高效培优专项训练)(教师版)_北师大初中数学_8上-北师大版初中数学_初中数学北师大8上-2025秋季新版_第二套推荐25_08专项讲练

  • 2026-05-07 18:02:15 2026-04-12 17:19:37

文档预览

专题02一次函数与三角形综合问题的三种模型(高效培优专项训练)(教师版)_北师大初中数学_8上-北师大版初中数学_初中数学北师大8上-2025秋季新版_第二套推荐25_08专项讲练
专题02一次函数与三角形综合问题的三种模型(高效培优专项训练)(教师版)_北师大初中数学_8上-北师大版初中数学_初中数学北师大8上-2025秋季新版_第二套推荐25_08专项讲练
专题02一次函数与三角形综合问题的三种模型(高效培优专项训练)(教师版)_北师大初中数学_8上-北师大版初中数学_初中数学北师大8上-2025秋季新版_第二套推荐25_08专项讲练
专题02一次函数与三角形综合问题的三种模型(高效培优专项训练)(教师版)_北师大初中数学_8上-北师大版初中数学_初中数学北师大8上-2025秋季新版_第二套推荐25_08专项讲练
专题02一次函数与三角形综合问题的三种模型(高效培优专项训练)(教师版)_北师大初中数学_8上-北师大版初中数学_初中数学北师大8上-2025秋季新版_第二套推荐25_08专项讲练
专题02一次函数与三角形综合问题的三种模型(高效培优专项训练)(教师版)_北师大初中数学_8上-北师大版初中数学_初中数学北师大8上-2025秋季新版_第二套推荐25_08专项讲练
专题02一次函数与三角形综合问题的三种模型(高效培优专项训练)(教师版)_北师大初中数学_8上-北师大版初中数学_初中数学北师大8上-2025秋季新版_第二套推荐25_08专项讲练
专题02一次函数与三角形综合问题的三种模型(高效培优专项训练)(教师版)_北师大初中数学_8上-北师大版初中数学_初中数学北师大8上-2025秋季新版_第二套推荐25_08专项讲练
专题02一次函数与三角形综合问题的三种模型(高效培优专项训练)(教师版)_北师大初中数学_8上-北师大版初中数学_初中数学北师大8上-2025秋季新版_第二套推荐25_08专项讲练
专题02一次函数与三角形综合问题的三种模型(高效培优专项训练)(教师版)_北师大初中数学_8上-北师大版初中数学_初中数学北师大8上-2025秋季新版_第二套推荐25_08专项讲练
专题02一次函数与三角形综合问题的三种模型(高效培优专项训练)(教师版)_北师大初中数学_8上-北师大版初中数学_初中数学北师大8上-2025秋季新版_第二套推荐25_08专项讲练
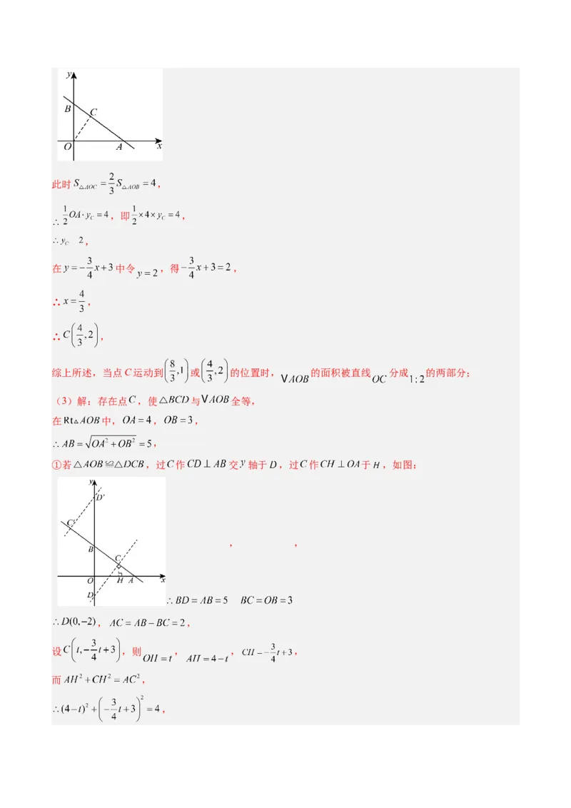
专题02一次函数与三角形综合问题的三种模型(高效培优专项训练)(教师版)_北师大初中数学_8上-北师大版初中数学_初中数学北师大8上-2025秋季新版_第二套推荐25_08专项讲练
专题02一次函数与三角形综合问题的三种模型(高效培优专项训练)(教师版)_北师大初中数学_8上-北师大版初中数学_初中数学北师大8上-2025秋季新版_第二套推荐25_08专项讲练
专题02一次函数与三角形综合问题的三种模型(高效培优专项训练)(教师版)_北师大初中数学_8上-北师大版初中数学_初中数学北师大8上-2025秋季新版_第二套推荐25_08专项讲练
专题02一次函数与三角形综合问题的三种模型(高效培优专项训练)(教师版)_北师大初中数学_8上-北师大版初中数学_初中数学北师大8上-2025秋季新版_第二套推荐25_08专项讲练
专题02一次函数与三角形综合问题的三种模型(高效培优专项训练)(教师版)_北师大初中数学_8上-北师大版初中数学_初中数学北师大8上-2025秋季新版_第二套推荐25_08专项讲练
专题02一次函数与三角形综合问题的三种模型(高效培优专项训练)(教师版)_北师大初中数学_8上-北师大版初中数学_初中数学北师大8上-2025秋季新版_第二套推荐25_08专项讲练
专题02一次函数与三角形综合问题的三种模型(高效培优专项训练)(教师版)_北师大初中数学_8上-北师大版初中数学_初中数学北师大8上-2025秋季新版_第二套推荐25_08专项讲练
专题02一次函数与三角形综合问题的三种模型(高效培优专项训练)(教师版)_北师大初中数学_8上-北师大版初中数学_初中数学北师大8上-2025秋季新版_第二套推荐25_08专项讲练
专题02一次函数与三角形综合问题的三种模型(高效培优专项训练)(教师版)_北师大初中数学_8上-北师大版初中数学_初中数学北师大8上-2025秋季新版_第二套推荐25_08专项讲练
专题02一次函数与三角形综合问题的三种模型(高效培优专项训练)(教师版)_北师大初中数学_8上-北师大版初中数学_初中数学北师大8上-2025秋季新版_第二套推荐25_08专项讲练
专题02一次函数与三角形综合问题的三种模型(高效培优专项训练)(教师版)_北师大初中数学_8上-北师大版初中数学_初中数学北师大8上-2025秋季新版_第二套推荐25_08专项讲练
专题02一次函数与三角形综合问题的三种模型(高效培优专项训练)(教师版)_北师大初中数学_8上-北师大版初中数学_初中数学北师大8上-2025秋季新版_第二套推荐25_08专项讲练
专题02一次函数与三角形综合问题的三种模型(高效培优专项训练)(教师版)_北师大初中数学_8上-北师大版初中数学_初中数学北师大8上-2025秋季新版_第二套推荐25_08专项讲练
专题02一次函数与三角形综合问题的三种模型(高效培优专项训练)(教师版)_北师大初中数学_8上-北师大版初中数学_初中数学北师大8上-2025秋季新版_第二套推荐25_08专项讲练
专题02一次函数与三角形综合问题的三种模型(高效培优专项训练)(教师版)_北师大初中数学_8上-北师大版初中数学_初中数学北师大8上-2025秋季新版_第二套推荐25_08专项讲练
专题02一次函数与三角形综合问题的三种模型(高效培优专项训练)(教师版)_北师大初中数学_8上-北师大版初中数学_初中数学北师大8上-2025秋季新版_第二套推荐25_08专项讲练
专题02一次函数与三角形综合问题的三种模型(高效培优专项训练)(教师版)_北师大初中数学_8上-北师大版初中数学_初中数学北师大8上-2025秋季新版_第二套推荐25_08专项讲练
专题02一次函数与三角形综合问题的三种模型(高效培优专项训练)(教师版)_北师大初中数学_8上-北师大版初中数学_初中数学北师大8上-2025秋季新版_第二套推荐25_08专项讲练
专题02一次函数与三角形综合问题的三种模型(高效培优专项训练)(教师版)_北师大初中数学_8上-北师大版初中数学_初中数学北师大8上-2025秋季新版_第二套推荐25_08专项讲练
专题02一次函数与三角形综合问题的三种模型(高效培优专项训练)(教师版)_北师大初中数学_8上-北师大版初中数学_初中数学北师大8上-2025秋季新版_第二套推荐25_08专项讲练
专题02一次函数与三角形综合问题的三种模型(高效培优专项训练)(教师版)_北师大初中数学_8上-北师大版初中数学_初中数学北师大8上-2025秋季新版_第二套推荐25_08专项讲练
专题02一次函数与三角形综合问题的三种模型(高效培优专项训练)(教师版)_北师大初中数学_8上-北师大版初中数学_初中数学北师大8上-2025秋季新版_第二套推荐25_08专项讲练
专题02一次函数与三角形综合问题的三种模型(高效培优专项训练)(教师版)_北师大初中数学_8上-北师大版初中数学_初中数学北师大8上-2025秋季新版_第二套推荐25_08专项讲练
专题02一次函数与三角形综合问题的三种模型(高效培优专项训练)(教师版)_北师大初中数学_8上-北师大版初中数学_初中数学北师大8上-2025秋季新版_第二套推荐25_08专项讲练
专题02一次函数与三角形综合问题的三种模型(高效培优专项训练)(教师版)_北师大初中数学_8上-北师大版初中数学_初中数学北师大8上-2025秋季新版_第二套推荐25_08专项讲练
专题02一次函数与三角形综合问题的三种模型(高效培优专项训练)(教师版)_北师大初中数学_8上-北师大版初中数学_初中数学北师大8上-2025秋季新版_第二套推荐25_08专项讲练
专题02一次函数与三角形综合问题的三种模型(高效培优专项训练)(教师版)_北师大初中数学_8上-北师大版初中数学_初中数学北师大8上-2025秋季新版_第二套推荐25_08专项讲练
专题02一次函数与三角形综合问题的三种模型(高效培优专项训练)(教师版)_北师大初中数学_8上-北师大版初中数学_初中数学北师大8上-2025秋季新版_第二套推荐25_08专项讲练
专题02一次函数与三角形综合问题的三种模型(高效培优专项训练)(教师版)_北师大初中数学_8上-北师大版初中数学_初中数学北师大8上-2025秋季新版_第二套推荐25_08专项讲练
专题02一次函数与三角形综合问题的三种模型(高效培优专项训练)(教师版)_北师大初中数学_8上-北师大版初中数学_初中数学北师大8上-2025秋季新版_第二套推荐25_08专项讲练

文档信息

文档格式
docx
文档大小
2.387 MB
文档页数
37 页
上传时间
2026-04-12 17:19:37

文档内容

专题 02 一次函数与三角形综合问题的三种模型 目录 题型一:一次函数与三角形的面积问题..................................................................................................................1 题型二:一次函数与三角形全等问题....................................................................................................................10 题型三:一次函数与三角形存在问题....................................................................................................................23 题型一:一次函数与三角形的面积问题 1.(24-25八年级下·广东汕头·阶段练习)若直线 与直线 相交于x轴上一点,则这两条 直线与y轴所围成的三角形的面积是( ) A. B. C. D. 【答案】A 【分析】本题考查一次函数与几何的综合应用,两条直线在x轴上相交,先求出交点坐标,再确定参数b 的值,接着找到两直线与y轴的交点,最后利用三角形面积公式求解. 【详解】解:∵ , ∴当 时, , ∴直线 于x轴的交点为 , ∵该点也在直线 上, 代入得 ,解得 , ∴直线方程为 . ∵直线 与y轴交点为 时, ,即 . 直线 与y轴交点为 时, ,即 . ∴三角形的三个顶点为 、 和 . ∴三角形的 ;故选A. 2.(24-25八年级下·山东菏泽·期末)如图1,在 中, ,点P从点A出发沿A→C→B以 的速度匀速运动至点B,图2是点P运动时, 的面积 随时间 变化的函数图象,则 该三角形的斜边 的长为( ) A.3 B. C. D.9 【答案】B 【分析】本题考查根据函数图象获取信息,完全平方公式,勾股定理,由图象可知,当 时, 面 积最大值为9,此时当点P运动到点C,得到 , 根据勾股定理即可求解. 【详解】解:由图象可知,当 时, 面积最大值为9, 由题意可得,当点P运动到点C时, 的面积最大, ∴ ,即 , 解得 , ∴ , 故选:B. 3.(24-25八年级下·黑龙江绥化·期末)若直线 与两坐标轴所围成的三角形的面积是6,则m的 值为 . 【答案】 【分析】本题考查了一次函数与坐标轴的交点、三角形的面积,利用一次函数图象上点的坐标特征及三角 形的面积公式,得出 是解题的关键. 设直线 与x轴交于点A,与y轴交于点B,利用一次函数图象上点的坐标特征,可得出点A,B 的坐标,进而可得出 的长,再结合直线 与两坐标轴所围成的三角形的面积是6,可得出 关于m的方程,解之即可得出m的值. 【详解】解:设直线 与x轴交于点A,与y轴交于点B, 当 时, , 解得: , ∴点A的坐标为 ,∴ ; 当 时, , ∴点B的坐标为 , ∴ , ∴ , ∴ , 解得: , ∴m的值为 . 故答案为: . 4.(24-25八年级下·北京·期中)若直线 与两条坐标轴围成的三角形的面积是2,则k的值为 . 【答案】 【分析】本题考查了一次函数与坐标轴的交点问题,熟练掌握一次函数的图象与性质是解题关键. 先判断出 ,再求出直线与两条坐标轴的交点坐标,然后利用直角三角形的面积公式即可得. 【详解】解:由题意得: , 当 时, ,解得 , 即直线 与 轴的交点坐标为 , 当 时, ,即直线 与 轴的交点坐标为 , 则 , 解得 , 经检验, 是所列方程的解, 故答案为: . 5.(23-24八年级下·上海浦东新·阶段练习)如图,在平面直角坐标系 中,已知一次函数 的图象与 轴、 轴的交点分别为点A和点B.(1)求 的周长; (2)如果直线l经过线段 的中点C,且与直线 平行,求直线l、直线 与 轴围成的三角形的 面积. 【答案】(1) (2) 【分析】本题主要是考查一次函数的综合,熟练掌握一次函数的图象与性质是解题的关键; (1)由题意易得 ,根据勾股定理求 的长,问题可求解; (2)设 ,由题意易得 ,然后可得直线l的表达式为 ,进而问题可求解 【详解】(1)解:令 时,则有 ,令 时,则有 ,解得: , ∴ , ∴ , ∴ , ∴ 的周长为 ; (2)解:∵点 在直线 上,可设 . ∵点 是 中点, ∴ . ∴ , 解得, , , 经检验 , 均是原方程的根,但是 , ∴ 符合题意, 不符合题意(舍去), 即 , 依题意可设直线l的表达式为 . 把 代入 中,得 ,∴ . ∴直线l的表达式为 , 设直线l与 轴的交点为点D, ∴点D的坐标为 , ∴ . 过 作 轴,垂足为点 , ∴ .那么直线l、直线 与 轴围成的三角形的面积为 6.(2025八年级下·全国·专题练习)在平面直角坐标系中,一次函数的图象与坐标轴围成的三角形,叫做 此一次函数的坐标三角形.例如,图中的一次函数的图象与x轴、y轴分别交于点A、B,则 为此函 数的坐标三角形. (1)求函数 的坐标三角形的面积; (2)若函数 (b为常数)的坐标三角形周长为16,求此三角形的面积. 【答案】(1)4.5 (2) 【分析】本题主要考查了一次函数与坐标轴的交点,勾股定理, 对于(1),分别求出直线与坐标轴的交点坐标,进而可得三角形的面积; 对于(2),先用b表示的函数与x轴,y轴的交点,进而得到两交点之间的距离,根据b的取值以及三角 形的周长为16可得b的值,进而求得三角形的面积. 【详解】(1)解:∵直线 与x轴的交点坐标为 ,与y轴交点坐标为 , ∴函数 的坐标三角形的面积为 ; (2)解:直线 与x轴的交点坐标为 ,与y轴交点坐标为 , 根据勾股定理,得坐标三角形的斜边的长为 , 当 时, ,得 ,此时,坐标三角形面积为 ; 当 时, ,得 ,此时,三角形面积 . 综上,当函数 的坐标三角形周长为16时,面积为 . 7.(23-24八年级下·江西上饶·期末)如图,直线 与x轴交于点A,与y轴交于点B,点C是 的中点.(1)求点C的坐标; (2)在x轴上找一点D,使得 ,求点D的坐标; (3)点P在y轴上,且三角形 的面积是三角形 面积的2倍,直接写出点P的坐标. 【答案】(1) (2) 或 (3) 或 【分析】本题考查了一次函数的综合题,一次函数的性质,利用数形结合的思想解决问题是本题的关键. (1)先求出点B的坐标,再依据点C是的中点,求出点C的坐标. (2)先根据题意求出 ,设点 ,则 ,再根据三角形面积公式可求的长,解得m的 值,即可得出点D的坐标. (3)设点P的坐标为 ,根据 ,求解即可. 【详解】(1)解:∵直线 与y轴交于点B, 令 得, , ∴ , ∴ , ∵点C是 的中点, ∴ , ∴ . (2)解:∵直线 与x轴交于点A, 令 得, , ∴ , ∴ , ∴ , 设点 ,则 ,∴ , 解得 或 , ∴点D的坐标为 或 ; (3)解:设点P的坐标为 , ∵ ,即 , , ,即 点 的坐标为 或 . 8.(24-25七年级下·黑龙江哈尔滨·期中)如图1,在平面直角坐标系中,点O为坐标原点,直线 与x 轴负半轴交于点B,与y轴正半轴交于点A,A点坐标 ,三角形 的面积是4. (1)求点B的坐标; (2)点C是y轴正半轴点A上方一点(点C与点A不重合),C点坐标 ,连接 ,点E是x轴正半轴 上一点,且 ,连接 . ①如图2,若三角形 的面积是8,求m的值; ②如图3,点F是线段 上一点(点F与点B,点O不重合),连接 , ,当四边形 的面积 与三角形 的面积相等时,用只含有m的代数式表示三角形 的面积,并说明理由. 【答案】(1) (2)① ;② 【分析】(1)首先得到 ,然后根据三角形 的面积是4得到 ,即可求解; (2)①首先得到 ,然后表示出 ,然后根据三角形 的面积是8 得到 ,即可求解; ②设 ,则 , ,然后根据题意得到 ,代入得到 , 然后根据三角形面积公式求解即可. 【详解】(1)解:∵A点坐标 ,∴ ∵三角形 的面积是4. ∴ ∴ ∴ ; (2)解:①∵点C是y轴正半轴点A上方一点(点C与点A不重合),C点坐标 , ∴ ∴ ∴ ∴ ∵三角形 的面积是8 ∴ ,即 ∴ ; ②∵点F是线段 上一点(点F与点B,点O不重合), ∴设 ∴ , ∵四边形 的面积与三角形 的面积相等 ∴ ∴ ∴ ∴ ∴ ∴ . 【点睛】此题考查了一次函数和几何综合,三角形面积,解题的关键是掌握以上知识点. 9.(24-25七年级下·湖南长沙·阶段练习)在平面直角坐标系中, ,且 满足 ,连接 交 轴于点C, 在 轴的负半轴上,过点 作直线 的平 行线交 轴于点 .(1)求 的值; (2)如图1,若 轴上存在一点 ,使得三角形 的面积为8,求出点 的坐标; (3)如图2,点 为直线 上一点,使得 .且点 在第二象限( 表示三角形 的面 积) ①求点 的坐标;(提示:可以去思考一下 与 面积的关系 ②求点 的坐标(用含 的式子表示). 【答案】(1) (2)点P的坐标为 或 (3) 【分析】本题考查了非负数的性质、一次函数的斜率与解析式、三角形面积的计算以及坐标与图形的性质. 解题的关键是利用非负数的性质求出点的坐标,通过平行线斜率相等确定直线解析式,结合坐标法计算三 角形面积并建立等量关系求解未知点坐标. (1)根据平方数和算术平方根的非负性,列出关于a、b的方程组并求解; (2)设出点P的坐标,利用三角形面积公式(以y轴上的线段为底,另一点横坐标绝对值为高)建立方程, 求出P的坐标; (3)①先求出直线 的斜率,利用平行线斜率相等得到直线 的解析式,进而求出与y轴交点D的坐 标;②求出 的面积,根据面积关系列出关于点Q坐标的方程,结合直线 的解析式表示出Q的坐 标. 【详解】(1)解: 且 , ∴ , 解方程组:两式相加得 ,得 ,将 代入 ,得 ,则 . ∴ , ; (2)解:由(1)知 , ,设 在y轴上). 的长度为 , 点B到y轴的距离为4, ∵ ,, 即 , 解得 或 , ∴点P的坐标为 或 . 答:点P的坐标为 或 ; (3)①解 , ,设直线 的解析式为 . ∴ 解得: , ∵ ,故设直线 方程为 ,将点 代入求得 , ∴直线 的解析式为 , 令 ,得 , ∴点D的坐标为 . ②解:由①知 , , , . , . 直线 的解析式为 , 设 . , ∴ , 代入直线 解析式得 , ∴点Q的坐标为 . 题型二:一次函数与三角形全等问题10.(24-25八年级上·山东青岛·期中)如图,直线 : 与x轴、y轴分别交于A、B两点, 于点M,点P为直线l上不与点A、B重合的一个动点.在y轴上存在( )个点Q,使得以 O、P、Q为顶点的三角形与 全等. A.2 B.4 C.5 D.6 【答案】B 【分析】先求得点A、B的坐标,可求得 的长,利用面积法即可求得 的长,分 与 两种情况讨论,结合图形分析即可求解. 【详解】解:对于直线 , 令 ,则 ,令 ,则 , 解得: , ∴点A、B的坐标分别是 , , ∴ , , ∴ , ∵ ∴ ; ①当 时,如图2和图3, 由(1)得 , ∴ ,即P点横坐标为 或 ,当P点横坐标为 时,纵坐标为: , ∴ , 当P点横坐标为 时,纵坐标为: , ∴ ; ②当 时,如图4和图5, ∴ , 此时点Q的坐标为 或 , 综上所述,符合条件的点Q共4个. 故选:B. 【点睛】本题是一次函数的综合题,考查了一次函数图象上的点的坐标特征,勾股定理,全等三角形的判 定与性质,三角形的面积,坐标与图形的性质,正确进行分类讨论是解题的关键. 11.(23-24八年级下·山东济宁·期末)如图,直线 与x轴和y轴分别交于A,B两点,射线 于点A.若点C是射线 上的一个动点,点D是x轴上的一个动点,且以C,D,A为顶点的三 角形与 全等,则 的长为( ) A.3或 B.4或 C.3或 D.4或 【答案】D 【分析】本题考查了一次函数图象上点的坐标特征,勾股定理的应用和全等三角形的性质等知识,分类讨论是解题关键,以防遗漏.根据题意解方程得到 ,则 ,令 ,则 ,求得 , , 根据勾股定理得到 ,①当 时,如图1,②当 时,如图2,根据全等三角 形的性质即可得到结论. 【详解】解: , , , , 在 中, 令 ,则 ,令 ,则 , , ,由勾股定理得 , ①当 时,如图1, , , ; ②当 时,如图2, , , , 综上所述: 的长为 或4. 故选:D.12.(23-24八年级上·江西九江·期中)如图,直线 的解析式为 分别与 , 轴交于 , 两 点,点 的坐标为 ,过点 的直线交 轴负半轴于点 ,且 .在 轴上方存在点 ,使 以点 , , 为顶点的三角形与 全等,则点 的坐标为 . 【答案】 或 【分析】求出 、点 ,分点 在 轴右侧、点 在 轴左侧两种情况,分别求解即可. 【详解】解:将点 的坐标代入函数表达式得: , 解得: , 故直线 的表达式为: , 则点 , ,则 , 即点 ; ①如图,当点 在 轴右侧时, 点 , , 为顶点的三角形与 全等,则四边形 为平行四边形, 则 ,则点 , ②当点 在 轴左侧时, 则 ,则点 、 到 的距离相等, 则直线 , 设直线 的表达式为: , 将点 代入上式得 ,解得: , 直线 的表达式为: , 设点 , , , 为顶点的三角形与 全等, 则 , 解得: ,故点 ; 故答案为: 或 . 【点睛】本题考查的是一次函数图象上点的坐标特征,涉及到三角形全等、平行线的性质、勾股定理的运 用等,并注意分类求解,题目难度较大. 13.(24-25八年级上·山东淄博·阶段练习)如图,直线 与 轴, 轴分别交于 , 两点,射 线 于点 ,若点 是射线 上一动点,点 是 轴上的一动点,若以 , , 为顶点的三角 形与 全等,则点 的坐标为 【答案】 或 【分析】此题主要考查了一次函数与坐标轴的交点,全等三角形的判定和性质,熟练掌握求一次函数与坐 标轴交点的方法,全等三角形的判定和性质是解决问题的关键. 首先求出点 ,点 ,则 , ,当以 , , 为顶点的三角形与 全等时, 有以下两种情况:①当 时,先证 ,当 ,则 , ,则 ,据此可得点 的坐标;② 时,过点 作 于 ,由于 ,因此当 时, , ,由勾股定理求出 ,再由三 角形的面积公式求出 ,进而再求出 ,据此可得点 的坐标. 【详解】解:对于直线 ,当 时, ,当 时, , 点 ,点 , , , 当以 , , 为顶点的三角形与 全等时, 则以 , , 为顶点的三角形是直角三角形, 因此有以下两种情况: ①当 时,如图 所示:, , , , , 当 时, , , , 点 的坐标为 ; ② 时,如图 所示:过点 作 于 , 由①知 , 当 时, , , 在 中,由勾股定理得: , 由三角形的面积公式得: , ∴ , 在 中,由勾股定理得: , , 点 的坐标为 . 综上所述:点 的坐标为 或 . 故答案为: 或 .14.(23-24八年级上·浙江嘉兴·阶段练习)如图,直线 分别交 轴, 轴于点 , ,点 ,动点 从点 出发以每秒1个单位的速度沿 轴负方向移动,设点 的移动时间为 秒. (1)求 , 两点的坐标. (2)设 的面积为 ,当 时,求 关于 的函数表达式. (3)当 为何值时, 与 全等. 【答案】(1) , (2) (3)当 或 时, 与 全等 【分析】本题考查了一次函数的几何应用、全等三角形的性质,熟练掌握一次函数的性质是解题关键. (1)分别求出当 时, 的值;当 时, 的值,由此即可得; (2)先求出点 的坐标,从而可得 的长,再利用三角形的面积公式求解即可得; (3)先判断出只能是 ,再根据全等三角形的性质可得 ,由此即可得. 【详解】(1)解:对于一次函数 , 当 时, ,解得 , 当 时, , 则点 的坐标为 ,点 的坐标为 . (2)解:由(1)已得:点 的坐标为 , ∵动点 从点 出发以每秒1个单位的速度沿 轴负方向移动,且点 的移动时间为 秒, ∴ , ∴当 时, , ∵ , ∴ , ∵ 轴 轴, ∴ 的面积为 ,所以 关于 的函数表达式为 . (3)解:由(2)已得: , ∴ , ∵ , , , 轴 轴, ∴ , , , ∴ 与 全等只有一种情况: , ∴ ,即 , 解得 或 , 所以当 或 时, 与 全等. 15.(24-25八年级上·江苏·期末)如图:直线 与 轴、 轴分别交于 、 两点, ,点 是直线 上与 、 不重合的动点. (1)求直线 的解析式; (2)作直线 ,当点 运动到什么位置时, 的面积被直线 分成 的两部分; (3)过点 的另一直线 与 轴相交于 点,是否存在点 使 与 全等?若存在,求出点 的 坐标;若不存在,说明理由. 【答案】(1) (2)当点C运动到 或 的位置时 (3)存在,点 的坐标为 或 或 【分析】(1)由 得 ,根据 ,得 ,利用待定系数法即得直线 的解析式为 ; (2)可得 的面积 ,当 时, ,可得 , ,即得 ,当 时,同理可得 ;(3)在 中, , , ,分两种情况①若 ,②若 时,分别求解即可. 【详解】(1)解:在 中,令 得 , , , , , , 把 代入 得: ,解得 , 直线 的解析式为 ; (2)解: , , 的面积 , 当 时,如图: 此时 , ,即 , , 在 中令 ,得 , ∴ , ∴ , 当 时,如图:此时 , ,即 , , 在 中令 ,得 , ∴ , ∴ , 综上所述,当点C运动到 或 的位置时, 的面积被直线 分成 的两部分; (3)解:存在点 ,使 与 全等, 在 中, , , , ①若 ,过 作 交 轴于 ,过 作 于 ,如图: , , , , 设 ,则 , , , 而 , ,解得 或 , 当 时, ,此时 ,符合题意, 当 时, ,此时 ,不符合题意,舍去, ∴ , 同理可知, 时, , , , , 同理可得 , ②若 时,如图: , , , 在 中,令 得 , , 此时 , ,符合题意, , 综上所述,点 的坐标为 或 或 . 【点睛】本题考查一次函数综合应用,涉及待定系数法、勾股定理、全等三角形的判定和性质等知识,解 题的关键是分别画出图形,分类讨论,利用数形结合解决问题. 16.(24-25八年级下·广东阳江·期末)如图1,直线 与 轴交于点 ,与 轴交于点 ,直线 经过点 , .(1)求直线 与 的函数解析式. (2)求 的面积. (3)如图2, 是线段 上的一动点, 是线段 上的一动点,连接 , , .若 与 全等,求点 的坐标. 【答案】(1) , (2) (3) 或 【分析】本题考查了一次函数的应用,全等三角形的性质.掌握用待定系数法求一次函数的解析式是解答 本题的关键. (1)用待定系数法求一次函数的解析式即可; (2)根据三角形的面积公式计算即可; (3)分为 或 两种情况,利用对称性和一次函数的平移解答即可. 【详解】(1)解:设直线 的函数解析式为 . 将点 , 代入, 得 解得 直线 的函数解析式为 . 设直线 的函数解析式为 . 将点 , 代入, 得 解得 直线 的函数解析式为 . (2)解: 点 , , , , ,. (3)解:分两种情况: ①如图1,当 时, , . , , , . 把 代入 ,得 , 点 . ②如图2,当 时, , . 直线 的函数解析式为 , 直线 的函数解析式为 . 将 与 联立,解得 点 . 综上所述,点 的坐标为 或 .题型三:一次函数与三角形存在问题 17.(24-25八年级下·广西来宾·期末)如图, ,且m ,n满足 ,直线 恰好是一次函数 的图象, 轴于B. (1)求点C的坐标,并求 的周长; (2)在y轴上是否存在点P,使得 ?若存在,求出点P的坐标;若不存在,请说明理由. 【答案】(1) , 的周长为( ); (2)存在, 或 . 【分析】本题考查坐标与图形,一次函数与几何的综合应用,利用数形结合的思想进行求解,是解题的关 键: (1)非负性求出 的值,进而求出 点的坐标,求出 点横坐标,代入解析式,进而求出 点坐标, 勾股定理求出 的长,再利用周长公式进行计算即可; (2)设 ,直线 与 轴交点为 ,根据三角形的面积公式进行求解即可. 【详解】(1)解:(1)由 得 , ∴ , , ∵ 轴于 ,又点 在 的图象上, 设 , ∴ , ∴ , ∴ ∴在 中,由勾股定理得 , ∴ 的周长为 ; (2)如图,假设存在点 满足题意,设 ,直线 与 轴交点为 ,∵ , ∴当 时, , ∴ , ∴ . ∵ , ∵ , ∴ ,解得 或 , ∴ 或 . 18.(24-25八年级下·上海金山·阶段练习)如图,在平面直角坐标系 中,直线 与 轴、 轴分别交于点 、点 ,点 在 轴的负半轴上,若将 沿直线 折叠,点 恰好落在 轴正半轴上 的点 处. (1)求点 和点 的坐标以及 的长; (2)求点 和点 的坐标; (3) 轴上是否存在一点 ,使得 ,若存在,直接写出点 的坐标;若不存在,请说明理由. 【答案】(1) , , (2) , (3) 或【分析】本题考查了直线与坐标轴的交点,勾股定理,折叠的性质,坐标与图形等知识.熟练掌握直线与 坐标轴的交点,勾股定理,折叠的性质,坐标与图形是解题的关键. (1)令 ,求出 ;令 ,求出 ;继而求出 ; (2)由折叠的性质可知, , ,则 ,即 ;设 , 则 , ,依题意得, ,计算求解,然后作答即可; (3)存在;由 ,可得 ,可求出 ,进而可求点 坐标. 【详解】(1)解:令 ,则 , 解得: , ; 令 ,则 , ; , , ; (2)解:由折叠的性质可知, , , 则 , ; 设 , 则 , , , 解得: , ; (3)解: 轴上存在一点 ,使得 ,理由如下: , , 解得: , 点 的坐标为 或 . 19.(24-25七年级下·黑龙江鸡西·期末)如图,在以A为原点的平面直角坐标系中,有一个长方形 , , ,且 .E是 边上的一点,且 ,动点P从点A出发,以每秒2个单位长度的速度沿 运动,最终到达点C.设点P运动的时间为t秒. (1)填空: ________, ________; (2)求出点P在运动过程中三角形 的面积S(用含t的式子表示); (3)是否存在一点P,使三角形 的面积等于20?若存在,请直接写出点P的坐标;若不存在,请说明 理由. 【答案】(1)8,6; (2) (3)存在, 或 【分析】本题考查了坐标与图形、一元一次方程、函数解析式等知识点,灵活运用分情况讨论思想是解题 的关键. (1)根据非负数的性质即可得到结论; (2)根据三角形的面积公式即可得到结论; (3)假设存在 点使 的面积等于20,在两种情况下求出相应的 值即可. 【详解】(1)解: , , , , 故答案为:8,6; (2)由(1)知, , , 四边形 是长方形, , , ①如图1,当 时, ; ②如图2,当 时,, 即 (3)存在, ①如图1,当 时, ,解得 ; ∴ ②如图2,当 时, , 解得 ; 综上可知,点P的坐标为 或 20.(24-25八年级下·湖北恩施·期末)在平面直角坐标系中,直线 交 轴于点 ,交 轴于点 ,直线 交 轴于点 ,交 轴于点 .(1)如图1,连接 ,求 的面积. (2)如图2,在直线 上存在点 ,使得 ,求点 的坐标. 【答案】(1)11 (2) 【分析】本题考查的是一次函数综合运用,涉及一次函数与坐标轴的交点问题,全等三角形的判定与性质 等知识点. (1)对于直线 ,令x=0,则 ,故点 ,同理可得点 、 , 的 面积 ,即可求解; (2)证明 ,则 ,即可求解. 【详解】(1)解:对于直线 ,令 ,则 , 故点 ; 对于 ,令 ,则 ,令 ,即 , 解得: , 故点 、 , 则 , , 所以, 的面积 ; (2)解:由题意, ,观察图象可知,点E只能在直线 的右侧,过点E作 的垂线交 于点R,过点E作y轴的平行线交过点R与x轴的平行线于点G,交过点B与x轴的平行线于点H,如图 2,设点 ,点 , ∵ ,故 , ∵ , ∴ , ∵ , ∴ , ∴ , 即 , , 解得, , 故点 . 21.(24-25八年级上·广东佛山·阶段练习)如图1,在平面直角坐标系中,一次函数 与 轴交 于点 ,与 轴交于点A. (1)求A、 两点的坐标; (2)若在直线 上有一点 ,使得 的面积为9,求点 的坐标; (3)如图2,点 为线段 中点,过点 作 轴,垂足为 ,若点 为 轴负半轴上一点,连接 交 轴于点 ,且 ,在直线 上有一点 ,使得 最小,求 点坐标; (4)如图3,直线 上存在点 使得 ,请直接写出点 的坐标.【答案】(1) 、 (2) 或 (3) (4) 或 【分析】本题主要考查了一次函数的性质、求一次函数解析式、中点坐标公式、全等三角形的判定和性质 等知识点,灵活运用相关知识并掌握分类讨论思想成为解题的关键. (1)对于 ,令 ,解得: ,令 ,则 ,即可求解; (2)设点M的纵坐标为 ,根据 列出方程求解可得 或 ,然后代入求出点 M的坐标即可; (3)如图:作点A关于直线 的对称点 ,连接 交 于点P,则点P为所求点,然后求得其 坐标即可解答; (4)当点Q在 上方时,证明 得到M的坐标为 ,进而求解即可;当点 在 下方时,同理可解. 【详解】(1)解:对于 ,令 ,解得: ;令 ,则 . ∴点A、 的坐标分别为 、 . (2)解:设点M的纵坐标为 ,根据题意得: ,即∶ ,解得: 或 , 把 代入 得: ,解得: ; ∴此时点M的坐标为 ; 把 代入 得: ,解得: , ∴此时点M的坐标为 . 综上,点M的坐标为 或 . (3)解:∵点 为线段 中点, ∴点 ,∵ 轴, ∴ , ∵ , ∴ , ∴ , ∴ , 如图:作点A关于直线 的对称点 ,连接 交 于点P,连接 , 根据轴对称可知: , ∴ , ∴ 最小时, 最小, ∵两点之间线段最短, ∴此时点P为所求点, 设直线 的表达式为: ,则∶ ,解得 , ∴直线 的表达式为: , 当 时, , ∴点P的坐标为 . (4)解:存在,理由如下: 如图2,当点Q在 上方时,过点A作 交 于点M,过点M作 轴于点H,则 ,, ∴ 为等腰直角三角形, , , , 在 和 中, , , , ∴点M的坐标为 , 设直线 的解析式为 , 把点 的坐标代入得: ,解得: , ∴直线 的表达式为: , 当 时, . ∴点Q的坐标为 ; 当点 在 下方时,过点A作 交 于点N,则 , ∴ , ∴N、A、M三点共线, ∵ , ∴ 为等腰直角三角形, ∴ ,∴ , ∴A为 的中点, 由中点坐标公式得,点 ,即 , 由点B、N的坐标同理运用待定系数法可得直线 的表达式为: , 当 时, . ∴点 的坐标为 . 综上,点Q的坐标为 或 . 22.(24-25八年级上·江苏扬州·阶段练习)【模型建立】 如图1,等腰直角三角形 中, ,直线 经过点C,过A作 于点D,过 B作 于点E,易证明 (无需证明),我们将这个模型称为“K形图”.接下来我们就 利用这个模型来解决一些问题: 【模型运用】 (1)如图1,若 ,则 的面积为 ; (2)如图2,在平面直角坐标系中,等腰 ,点C的坐标为 ,A点的坐 标为 ,求 与y轴交点D的坐标; (3)如图3,在平面直角坐标系中,直线 函数关系式为: ,点 ,在直线 上是否存在点B, 使直线 与直线 的夹角为 ?若存在,请直接写出点B的坐标;若不存在,请说明理由. 【答案】(1)5 (2) (3)存在, 【分析】(1)证明 可得 ,在 中,利用勾股定理解得 的长,最后根据三角形面积公式即可求解; (2)作 轴于点 ,根据题意,可证 ,再由全等三角形对应边相等的性质得到 ,结合点 的坐标分别解得 的长,继而得到 的坐标,再由待定系数法 解得直线 的解析式,令 即可求解; (3)画出符合题意的示意图,设点B,点 是符合要求的两个点,即 ,设 ,过点 作直线平行 轴,过点 作直线平行 轴,两直线相交于点 ,由点 坐标表示线 段 和 ,根据 可证 ,再由全等三角形对应边相等的性质解得 的长, 继而得到点 的坐标,最后将点 代入直线 上即可求解. 【详解】(1)解:∵ , ∴ , , ∴在 与 中, , , ∵ 中, , ∴ , . 故答案为: . (2)解:过点B作 轴于点 , 则 , ∴ , , , , . 在 与 中,, , , , ∴ , , , , , . 设直线 的解析式为: , ∵直线 过点 , ∴ 解得: 直线 的解析式为: 令 得, , ; (3)解:存在,有两个点符合题意, 或 ,理由如下: 如图,设点B,点 是符合要求的两个点,即 , 设 , 过点 作直线平行 轴,过点 作直线平行 轴,两直线相交于点 , 则, ∵ , , ∴ , ∴ , ∴ , , , ∴ , , ,即 , ∵点 在直线 上, , , . 【点睛】本题考查全等三角形的判定与性质、勾股定理、待定系数法求一次函数的解析式,理解并运用模 型的思路方法是解题的关键.