当前位置:首页>文档>第46讲数列中的奇偶项问题(微专题)(解析版)_2024年新高考资料_1.2024一轮复习_2024年高考数学一轮复习精品导学案(新高考)

第46讲数列中的奇偶项问题(微专题)(解析版)_2024年新高考资料_1.2024一轮复习_2024年高考数学一轮复习精品导学案(新高考)

  • 2026-04-14 01:45:31 2026-04-14 01:16:26

文档预览

第46讲数列中的奇偶项问题(微专题)(解析版)_2024年新高考资料_1.2024一轮复习_2024年高考数学一轮复习精品导学案(新高考)
第46讲数列中的奇偶项问题(微专题)(解析版)_2024年新高考资料_1.2024一轮复习_2024年高考数学一轮复习精品导学案(新高考)
第46讲数列中的奇偶项问题(微专题)(解析版)_2024年新高考资料_1.2024一轮复习_2024年高考数学一轮复习精品导学案(新高考)
第46讲数列中的奇偶项问题(微专题)(解析版)_2024年新高考资料_1.2024一轮复习_2024年高考数学一轮复习精品导学案(新高考)
第46讲数列中的奇偶项问题(微专题)(解析版)_2024年新高考资料_1.2024一轮复习_2024年高考数学一轮复习精品导学案(新高考)
第46讲数列中的奇偶项问题(微专题)(解析版)_2024年新高考资料_1.2024一轮复习_2024年高考数学一轮复习精品导学案(新高考)
第46讲数列中的奇偶项问题(微专题)(解析版)_2024年新高考资料_1.2024一轮复习_2024年高考数学一轮复习精品导学案(新高考)
第46讲数列中的奇偶项问题(微专题)(解析版)_2024年新高考资料_1.2024一轮复习_2024年高考数学一轮复习精品导学案(新高考)
第46讲数列中的奇偶项问题(微专题)(解析版)_2024年新高考资料_1.2024一轮复习_2024年高考数学一轮复习精品导学案(新高考)
第46讲数列中的奇偶项问题(微专题)(解析版)_2024年新高考资料_1.2024一轮复习_2024年高考数学一轮复习精品导学案(新高考)
第46讲数列中的奇偶项问题(微专题)(解析版)_2024年新高考资料_1.2024一轮复习_2024年高考数学一轮复习精品导学案(新高考)
第46讲数列中的奇偶项问题(微专题)(解析版)_2024年新高考资料_1.2024一轮复习_2024年高考数学一轮复习精品导学案(新高考)
第46讲数列中的奇偶项问题(微专题)(解析版)_2024年新高考资料_1.2024一轮复习_2024年高考数学一轮复习精品导学案(新高考)
第46讲数列中的奇偶项问题(微专题)(解析版)_2024年新高考资料_1.2024一轮复习_2024年高考数学一轮复习精品导学案(新高考)
第46讲数列中的奇偶项问题(微专题)(解析版)_2024年新高考资料_1.2024一轮复习_2024年高考数学一轮复习精品导学案(新高考)
第46讲数列中的奇偶项问题(微专题)(解析版)_2024年新高考资料_1.2024一轮复习_2024年高考数学一轮复习精品导学案(新高考)
第46讲数列中的奇偶项问题(微专题)(解析版)_2024年新高考资料_1.2024一轮复习_2024年高考数学一轮复习精品导学案(新高考)

文档信息

文档格式
docx
文档大小
0.538 MB
文档页数
13 页
上传时间
2026-04-14 01:16:26

文档内容

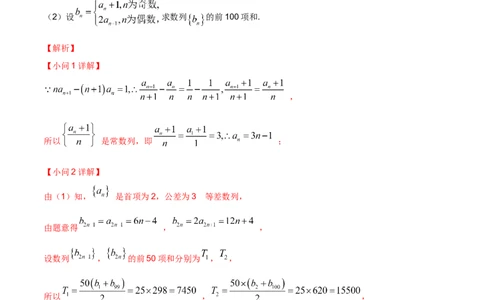
第 46 讲 数列中的奇偶项问题(微专题) 题型选讲 题型一、分段函数的奇偶项求和 例1、(深圳市罗湖区期末试题)已知数列 中, , . (1)求数列 的通项公式; (2)设 求数列 的前100项和. 【解析】 【小问1详解】 , 所以 是常数列,即 ; 【小问2详解】 的 由(1)知, 是首项为2,公差为3 等差数列, 由题意得 , , 设数列 , 的前50项和分别为 , , 所以 , , 所以 的前100项和为 ; 综上, , 的前100项和为 . 变式1、(2023·黑龙江大庆·统考三模)已知数列 满足 . (1)证明: 是一个等差数列;(2)已知 ,求数列 的前 项和 . 【答案】(1)证明见详解 (2) 【详解】(1)当 时,可得 , 当 时,由 , 则 , 上述两式作差可得 , 因为 满足 ,所以 的通项公式为 ,所以 , 因为 (常数), 所以 是一个等差数列. (2) , 所以 , 所以数列 的前 项和 . 变式2、(2023·吉林·统考三模)已知数列 满足 的前n项和为 . (1)求 , ,并判断1024是数列中的第几项; (2)求 . 【答案】(1) , ;1024是数列 的第342项 (2)【详解】(1)由 可得 , . 令 ,解得: 为偶数,不符合题意,舍去; 令 ,解得: ,符合题意. 因此,1024是数列 的第342项. (2) . 另解:由题意得 ,又 , 所以数列 是以 为首项,4为公比的等比数列. ,又 , 所以数列 是以4为首项,6为公差的等差数列. 为数列 的前n项和与数列 的前 项和的总和. 故 . 变式3、(2023·安徽蚌埠·统考三模)已知数列 满足 , , . (1)求数列 的通项公式; (2)设 ,求证: . 【答案】(1) (2)证明见解析. 【详解】(1)由题意 , 所以 , 因为 ,所以数列 是首项为2,公比为2的等比数列, 所以 ,即 ,而 , 所以 (2)方法一:由 得 方法二:因为 所以 变式4、(2023·湖南邵阳·统考三模)记 为等差数列{ }的前n项和,已知 ,数列{ }满足 . (1)求数列{ }与数列{ }的通项公式; (2)数列{ }满足 ,n为偶数,求{ }前2n项和 . 【答案】(1) (2) 【详解】(1)设等差数列 的公差为d, ,即 , , . ,① ,② 所以①-②得, , .当 时, ,符合 . .(2) ,依题有: . 记 ,则 . 记 , 则 . 所以 变式5、(2023·湖南岳阳·统考三模)已知等比数列 的前n项和为 ,其公比 , , 且 . (1)求数列 的通项公式; (2)已知 ,求数列 的前n项和 . 【答案】(1) (2) 【详解】(1)因为 是等比数列,公比为 ,则 , 所以 ,解得 , 由 ,可得 ,解得 , 所以数列 的通项公式为 . (2)由(1)得 ,当n为偶数时, ; 当n为奇数时 ; 综上所述: . 题型二、含有(−1) n类型 例2、【2020年新课标1卷文科】数列 满足 ,前16项和为540,则 _____________ 【答案】 【解析】 , 当 为奇数时, ;当 为偶数时, . 设数列 的前 项和为 , , . 故答案为: . a  a 2a 3a 变式1、(2021·山东济宁市·高三二模)已知数列 n 是正项等比数列,满足 3是 1、 2的等差中项,a 16 4 . a  (1)求数列 n 的通项公式; (2)若 b n 1n log 2 a 2n1,求数列 b n  的前n项和 T n . a  q 【解析】(1)设等比数列 n 的公比为 , a 2a 3a 2a 2a 3a 2aq2 2a 3aq 因为 3是 1、 2的等差中项,所以 3 1 2,即 1 1 1 , 1 q  因为 a 1 0 ,所以 2q2 3q20 ,解得q= 2或 2, a  q= 2 因为数列 n 是正项等比数列,所以 . a 16 a aq 8a 16 a 2 a 22n1 2n 因为 4 ,即 4 1 1 ,解得 1 ,所以 n ; (2)解法一:(分奇偶、并项求和) a 22n1 由(1)可知, 2n1 , b 1n log a 1n log 22n1 1n 2n1 所以, n 2 2n1 2 , T 3579L 2n12n1 n ①若 为偶数, n n 3579L 2n12n1 2 n   2 ; T T b n12n1n2 n n3 ②若 为奇数,当 时, n n1 n , T 3 n1 当 时, 1 适合上式, n,n为偶数 T  综上得 n n2,n为奇数(或T n n11n 1, nN ); 解法二:(错位相减法) a 22n1 由(1)可知, 2n1 ,b 1n log a 1n log 22n1 1n 2n1 所以, n 2 2n1 2 , T 11 312 513 7L 1n2n1 n , T 12 313 514 7L 1n12n1 所以 n 2T 3212 13 L 1n1n12n1 所以 n   11n1 32 1n2n1311n1 1n2n1 2 22n21n , 所以 T n n11n 1 ,nN 变式2、【2022·广东省深圳市福田中学10月月考】已知等差数列{a}前n项和为S, , . n n (1)求数列{a}的通项公式及前n项和S; n n (2)设 ,求{b}前n项和T. n n 【答案】(1) , ;(2) . 【解析】 【分析】(1)利用等差数列的基本量,列方程即可求得首项和公差,再利用公式求通项公式和前 项和即 可; (2)根据(1)中所求即可求得 ,对 分类讨论,结合等差数列的前 项和公式,即可容易求得结果. 【详解】(1)由 得 . 又因为 ,所以 , 则 ,解得 ;故 , . (2) . 当 为偶数时: . 当 为奇数时: . 综上得 题型三、a +a 类型 n n+1例3、(2023·广东深圳·统考一模)记 ,为数列 的前n项和,已知 , . (1)求 ,并证明 是等差数列; (2)求 . 【解析】(1)已知 , 当 时, , ;当 时, , ,所以 . 因为 ①,所以 ②. ②-①得, ,整理得 , , 所以 (常数), , 所以 是首项为6,公差为4的等差数列. (2)由(1)知, , , . 当n为偶数时, ; 当n为奇数时, . 综上所述, 变式1、(2022·湖北省鄂州高中高三期末)已知数列 满足 , ;数列 前 项和为 ,且 , . (1)求数列 和数列 的通项公式; (2)设 ,求 前 项和 .【答案】(1) , ; (2) . 【解析】 【分析】 (1)根据递推公式,结合等差数列的定义、等比数列的定义进行求解即可; (2)利用错位相减法进行求解即可. (1) , ,∴ ,又 , , ( 为正整数)时, 是首项为1,公差为2的等差数列, ∴ , , ( 为正整数)时, 是首项为1,公差为2的等差数列. ∴ ,∴ ,∴ , ∵ ,∴ 时, ,∴ , 又 ,∴ 时, , ,∴ ; (2) 由(1)得 , 设 ① 则 ②① ②得 , ,∴ 变式2、(2022·湖北省鄂州高中高三期末)已知数列 满足 , ;数列 前 项和为 ,且 , . (1)求数列 和数列 的通项公式; (2)设 ,求 前 项和 . 【答案】(1) , ; (2) . 【解析】 【分析】 (1)根据递推公式,结合等差数列的定义、等比数列的定义进行求解即可; (2)利用错位相减法进行求解即可. (1) , ,∴ ,又 , , ( 为正整数)时, 是首项为1,公差为2的等差数列, ∴ , , ( 为正整数)时, 是首项为1,公差为2的等差数列. ∴ ,∴ ,∴ , ∵ ,∴ 时, ,∴ , 又 ,∴ 时, , ,∴ ;(2) 由(1)得 , 设 ① 则 ② ① ②得 , ,∴