当前位置:首页>文档>专题4.1导数的概念、运算及导数的几何意义2022年高考数学一轮复习讲练测(新教材新高考)(练)解析版_02高考数学_新高考复习资料_2022年新高考资料

专题4.1导数的概念、运算及导数的几何意义2022年高考数学一轮复习讲练测(新教材新高考)(练)解析版_02高考数学_新高考复习资料_2022年新高考资料

  • 2026-04-14 01:42:56 2026-04-14 01:41:45

文档预览

专题4.1导数的概念、运算及导数的几何意义2022年高考数学一轮复习讲练测(新教材新高考)(练)解析版_02高考数学_新高考复习资料_2022年新高考资料
专题4.1导数的概念、运算及导数的几何意义2022年高考数学一轮复习讲练测(新教材新高考)(练)解析版_02高考数学_新高考复习资料_2022年新高考资料
专题4.1导数的概念、运算及导数的几何意义2022年高考数学一轮复习讲练测(新教材新高考)(练)解析版_02高考数学_新高考复习资料_2022年新高考资料
专题4.1导数的概念、运算及导数的几何意义2022年高考数学一轮复习讲练测(新教材新高考)(练)解析版_02高考数学_新高考复习资料_2022年新高考资料
专题4.1导数的概念、运算及导数的几何意义2022年高考数学一轮复习讲练测(新教材新高考)(练)解析版_02高考数学_新高考复习资料_2022年新高考资料
专题4.1导数的概念、运算及导数的几何意义2022年高考数学一轮复习讲练测(新教材新高考)(练)解析版_02高考数学_新高考复习资料_2022年新高考资料
专题4.1导数的概念、运算及导数的几何意义2022年高考数学一轮复习讲练测(新教材新高考)(练)解析版_02高考数学_新高考复习资料_2022年新高考资料
专题4.1导数的概念、运算及导数的几何意义2022年高考数学一轮复习讲练测(新教材新高考)(练)解析版_02高考数学_新高考复习资料_2022年新高考资料
专题4.1导数的概念、运算及导数的几何意义2022年高考数学一轮复习讲练测(新教材新高考)(练)解析版_02高考数学_新高考复习资料_2022年新高考资料
专题4.1导数的概念、运算及导数的几何意义2022年高考数学一轮复习讲练测(新教材新高考)(练)解析版_02高考数学_新高考复习资料_2022年新高考资料
专题4.1导数的概念、运算及导数的几何意义2022年高考数学一轮复习讲练测(新教材新高考)(练)解析版_02高考数学_新高考复习资料_2022年新高考资料
专题4.1导数的概念、运算及导数的几何意义2022年高考数学一轮复习讲练测(新教材新高考)(练)解析版_02高考数学_新高考复习资料_2022年新高考资料
专题4.1导数的概念、运算及导数的几何意义2022年高考数学一轮复习讲练测(新教材新高考)(练)解析版_02高考数学_新高考复习资料_2022年新高考资料
专题4.1导数的概念、运算及导数的几何意义2022年高考数学一轮复习讲练测(新教材新高考)(练)解析版_02高考数学_新高考复习资料_2022年新高考资料
专题4.1导数的概念、运算及导数的几何意义2022年高考数学一轮复习讲练测(新教材新高考)(练)解析版_02高考数学_新高考复习资料_2022年新高考资料
专题4.1导数的概念、运算及导数的几何意义2022年高考数学一轮复习讲练测(新教材新高考)(练)解析版_02高考数学_新高考复习资料_2022年新高考资料
专题4.1导数的概念、运算及导数的几何意义2022年高考数学一轮复习讲练测(新教材新高考)(练)解析版_02高考数学_新高考复习资料_2022年新高考资料
专题4.1导数的概念、运算及导数的几何意义2022年高考数学一轮复习讲练测(新教材新高考)(练)解析版_02高考数学_新高考复习资料_2022年新高考资料
专题4.1导数的概念、运算及导数的几何意义2022年高考数学一轮复习讲练测(新教材新高考)(练)解析版_02高考数学_新高考复习资料_2022年新高考资料
专题4.1导数的概念、运算及导数的几何意义2022年高考数学一轮复习讲练测(新教材新高考)(练)解析版_02高考数学_新高考复习资料_2022年新高考资料
专题4.1导数的概念、运算及导数的几何意义2022年高考数学一轮复习讲练测(新教材新高考)(练)解析版_02高考数学_新高考复习资料_2022年新高考资料
专题4.1导数的概念、运算及导数的几何意义2022年高考数学一轮复习讲练测(新教材新高考)(练)解析版_02高考数学_新高考复习资料_2022年新高考资料
专题4.1导数的概念、运算及导数的几何意义2022年高考数学一轮复习讲练测(新教材新高考)(练)解析版_02高考数学_新高考复习资料_2022年新高考资料

文档信息

文档格式
docx
文档大小
0.686 MB
文档页数
19 页
上传时间
2026-04-14 01:41:45

文档内容

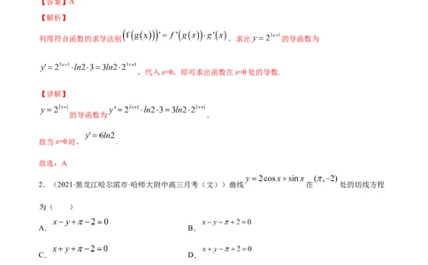
专题 4.1 导数的概念、运算及导数的几何意义 练基础 1.(2021·浙江高三其他模拟)函数 在 处的导数是( ) A. B. C.6 D.2 【答案】A 【解析】 利用符合函数的求导法则 ,求出 的导函数为 ,代入x=0,即可求出函数在x=0处的导数. 【详解】 的导函数为 , 故当x=0时, . 故选:A 2.(2021·黑龙江哈尔滨市·哈师大附中高三月考(文))曲线 在 处的切线方程 为( ) A. B. C. D. 【答案】D 【解析】 先求得导函数,根据切点求得斜线的斜率,再由点斜式即可求得方程. 【详解】 当 时,所以在点 处的切线方程,由点斜式可得 化简可得 故选:D 3.(2021·全国高三其他模拟(理))曲线 在点 处的切线方程为( ) A. B. C. D. 【答案】D 【解析】 根据切点和斜率求得切线方程. 【详解】 因为 ,所以 ,当 时, ,所以曲线 在点 处的切线的斜率 ,所以所求切线方程为 ,即 . 故选:D 4.(2021·山西高三三模(理))已知 ,设函数 的图象在点 处的切线为 l,则l过定点( ) A. B. C. D. 【答案】A 【解析】 根据导数几何意义求出切线方程,化成斜截式,即可求解 【详解】由 , , ,故过 处的切线方程为: ,故l过定点 故选:A 5.(2021·云南曲靖一中高三其他模拟(理))设曲线 和曲线 在它们 的公共点 处有相同的切线,则 的值为( ) A. B. C. D. 【答案】D 【解析】 利用导数的几何意义可知 ,可求得 ;根据 为两曲线公共点可构造方程求得 , 代入可得结果. 【详解】 , , , , , 又 为 与 公共点, , ,解得: , . 故选:D. 6.(2021·重庆高三其他模拟)曲线 在点 处的切线与直线 垂直,则 ( ) A. B.0 C.1 D.2 【答案】D 【解析】求得 的导数,可得切线的斜率,由两直线垂直的条件,可得 的方程,解方程可得所求值. 【详解】 解: 的导数为 , 可得在点 处的切线的斜率为 , 由切线与直线 垂直,可得 , 解得 , 故选: . 7.(2021·重庆八中高三其他模拟)已知定义在 上的函数 满足 ,若曲线 在点 处的切线斜率为2,则 ( ) A.1 B. C.0 D.2 【答案】C 【解析】 先由换元法求出 的解析式,然后求导,利用导数的几何意义先求出 的值,然后可得出 的值. 【详解】 设 ,则 , . 由 ,解得 ,从而 , 故选: C. 8.(2018·全国高考真题(理))设函数 .若 为奇函数,则曲线 在 f (x)=x3+(a−1)x2+ax f (x) y=f (x) 点(0,0)处的切线方程为( ) A.y=−2x B.y=−x C.y=2x D.y=x 【答案】D 【解析】分析:利用奇函数偶此项系数为零求得a=1,进而得到f(x)的解析式,再对f(x)求导得出切线 的斜率k,进而求得切线方程.详解:因为函数f(x)是奇函数,所以a−1=0,解得a=1, 所以 , , f(x)=x3+x f '(x)=3x2+1 所以f '(0)=1,f(0)=0, 所以曲线y=f(x)在点(0,0)处的切线方程为y−f(0)=f '(0)x, 化简可得y=x,故选D. 9.(2021·河南洛阳市·高三其他模拟(理))设曲线 在点 处的切线与直线 平 行,则 等于( ) A. B. C. D. 【答案】B 【解析】 利用导数求出曲线 在点 处的切线的斜率,利用两直线平行可得出实数 的值. 【详解】 对函数 求导得 , 由已知条件可得 ,所以, . 故选:B. 10.(2020·河北高三其他模拟(文))已知曲线 在点 处的切线斜率为2,则 ___________. 【答案】1 【解析】 求导数,由导数的几何意义,可得切线的斜率,解方程即可求解. 【详解】 解: 的导数为 , 可得曲线 在点 处的切线斜率为 ,解得 . 故答案为:1. 练提升 TIDHNE 1.(2021·浙江金华市·高三三模)已知点P在曲线 上, 为曲线在点P处的切线的倾斜角,则 的取值范围是( ) A. B. C. D. 【答案】D 【解析】 首先根据导数的几何意义求得切线斜率的取值范围,再根据倾斜角与斜率之间的关系求得倾斜角的取值范 围. 【详解】 因为 , 由于 , 所以 , 根据导数的几何意义可知: , 所以 , 故选:D. 2.(2021·四川成都市·石室中学高三三模)已知函数 的图象在点 处的切线方程是 ,那么 ( ) A.2 B.1 C. D. 【答案】D 【解析】 根据导数的几何意义确定斜率与切点即可求解答案. 【详解】 因为 ,所以 ,因此切线方程的斜率 , 所以有 ,得 , 又切点在切线上,可得切点坐标为 , 将切点代入 中,有 ,得 , 所以 . 故选:D. 3.(2021·四川成都市·成都七中高三月考(文))已知直线 为曲线 在 处的切线, 则在直线 上方的点是( ) A. B. C. D. 【答案】C 【解析】 利用导数的几何意义求得切线的方程,进而判定点与切线的位置关系即可. 【详解】 , ,又 当 时, , 所以切线的方程为 , 对于A,当 时, ,故点 在切线上; 对于B,当 时, ,故点 在切线下 方; 对于C,当 时, ,故点 在切线上方; 对于D,当 1时, ,故点 在切线下方. 故选:C. 4.(2021·甘肃高三二模(理))已知函数 , ,若经过点 存在一条直线 与 图象和 图象都相切,则 ( ) A.0 B.-1 C.3 D.-1或3 【答案】D 【解析】 先求得过 且于 相切的切线方程,然后与 联立,由 求解. 【详解】 设直线 与 相切的切点为 , 由 的导数为 , 可得切线的斜率为 , 则切线的方程为 ,将 代入切线的方程可得 , 解得 ,则切线 的方程为 , 联立 ,可得 , 由 ,解得 或3, 故选:D. 5.(2021·安徽省泗县第一中学高三其他模拟(理))若点 是曲线 上任意一点,则点 到直线 的最小距离为( ) A. B. C. D. 【答案】C 【解析】 由已知可知曲线 在点 处的切线与直线 平行,利用导数求出点 的坐标,利用 点到直线的距离公式可求得结果. 【详解】 因为点 是曲线 任意一点,所以当点 处的切线和直线 平行时,点 到直线的 的距离最小, 因为直线 的斜率等于 ,曲线 的导数 , 令 ,可得 或 (舍去),所以在曲线 与直线 平行的切线经过的 切点坐标为 ,所以点 到直线 的最小距离为 . 故选:C. 6.(2021·安徽省舒城中学高三三模(理))若函数 与 的图象有一条公共 切线,且该公共切线与直线 平行,则实数 ( ) A. B. C. D. 【答案】A 【解析】 设函数 图象上切点为 ,求出函数的导函数,根据 求出切点坐标与切线 方程,设函数 的图象上的切点为 ,根据 ,得到 , 再由 ,即可求出 ,从而得解; 【详解】 解:设函数 图象上切点为 ,因为 ,所以 ,得 , 所以 ,所以切线方程为 ,即 ,设函数 的图象上的切点为 ,因为 ,所以 ,即 ,又 ,即 ,所以 ,即 ,解得 或 (舍),所以 . 故选:A 7.(2021·全国高三其他模拟)已知直线y=2x与函数f(x)=﹣2lnx+xex+m的图象相切,则m= _________. 【答案】 【解析】 设出切点 ,根据切线方程的几何意义,得到 , 解方程组即可. 【详解】 因为 ,所以 设切点为 ,所以切线的斜率为 又因为切线方程为y=2x,因此 , 由 ,得 , 因为 ,所以 ,又 , 所以 ,得 . 故答案为: .8.(2021·黑龙江佳木斯市·佳木斯一中高三三模(理))若两曲线y=x2+1与y=alnx+1存在公切线,则正 实数a的取值范围是_________. 【答案】(0,2e] 【解析】 设公切线与曲线y=x2+1和y=alnx+1的交点分别为(x,x2+1),(x,alnx+1),其中x>0,然后分别 1 1 2 2 2 求出切线方程,对应系数相等,可以得到 ,然后转化为﹣ =alnx﹣a,,然后 2 参变分离得到a=4x2﹣4x2lnx,进而构造函数求值域即可. 【详解】 解:设公切线与曲线y=x2+1和y=alnx+1的交点分别为(x,x2+1),(x,alnx+1),其中x>0, 1 1 2 2 2 对于y=x2+1,y′=2x,所以与曲线y=x2+1相切的切线方程为:y﹣(x2+1)=2x(x﹣x),即y=2xx﹣ 1 1 1 1 x2+1, 1 对于y=alnx+1,y′= , 所以与曲线y=alnx+1相切的切线方程为y﹣(alnx+1)= (x﹣x),即y= x﹣a+1+alnx, 2 2 2 所以 ,即有﹣ =alnx﹣a, 2 由a>0,可得a=4x2﹣4x2lnx, 记f(x)=4x2﹣4x2lnx(x>0),f′(x)=8x﹣4x﹣8xlnx=4x(1﹣2lnx), 当x< 时,f′(x)>0,即f(x)在(0, )上单调递增,当x> 时,f′(x)<0,即f(x)在( ,+∞)上 单调递减, 所以f(x) =f( )=2e,又x→0时,f(x)→0,x→+∞时,f(x)→﹣∞, max 所以0<a≤2e. 故答案为:(0,2e].9.(2021·湖南永州市·高三其他模拟)已知函数 ,点 为函数 图象上一动点,则 到直线 距离的最小值为___________.(注 ) 【答案】 【解析】 求出导函数,利用导数的几何意义求出切线与已知直线平行时切点坐标,然后转化为求点到直线的距离即 可求解. 【详解】 解: , , 与直线 平行的切线斜率 ,解得 或 , 当 时, ,即切点为 , 此时点 到直线 的距离为 ; 当 时, ,即切点为 , 此时点 到直线 的距离为 , 故答案为: . 10.(2021·湖北荆州市·荆州中学高三其他模拟)已知 , 是曲线 上的两点,分别以 , 为切点作曲线C的切线 , ,且 ,切线 交y轴于A点,切线 交y轴于B点,则线段 的长度为___________.【答案】 【解析】 由两切线垂直可知, , 两点必分别位于该函数的两段上,故可设出切点坐标 , 表示出两条切线方程,根据两切线垂直,可得 ,又两切线分别与 轴交于 , ,则可求出 . 【详解】 曲线 ,则 , 设 ,两切线斜率分别为 , , 由 得 ,则不妨设 , , , , 令 ,得 , , , 令 ,得 由 ,即 ,得 , 则 . 故答案为: .练真题 TIDHNE 1.(2021·全国高考真题)若过点 可以作曲线 的两条切线,则( ) A. B. C. D. 【答案】D 【解析】 解法一:根据导数几何意义求得切线方程,再构造函数,利用导数研究函数图象,结合图形确定结果; 解法二:画出曲线 的图象,根据直观即可判定点 在曲线下方和 轴上方时才可以作出两条切 线. 【详解】 在曲线 上任取一点 ,对函数 求导得 , 所以,曲线 在点 处的切线方程为 ,即 , 由题意可知,点 在直线 上,可得 , 令 ,则 . 当 时, ,此时函数 单调递增, 当 时, ,此时函数 单调递减, 所以, , 由题意可知,直线 与曲线 的图象有两个交点,则 , 当 时, ,当 时, ,作出函数 的图象如下图所示:由图可知,当 时,直线 与曲线 的图象有两个交点. 故选:D. 解法二:画出函数曲线 的图象如图所示,根据直观即可判定点 在曲线下方和 轴上方时才可 以作出两条切线.由此可知 .故选:D. f(x)x4 2x3 (1,f(1)) 2.(2020·全国高考真题(理))函数 的图像在点 处的切线方程为( ) y 2x1 y 2x1 A. B. y 2x3 y 2x1 C. D. 【答案】B 【解析】  f x x4 2x3  fx4x36x2  f 11 f12 , , , , y12x1 y 2x1 因此,所求切线的方程为 ,即 . 故选:B. 3.(2020·全国高考真题(理))若直线l与曲线y= 和x2+y2= 都相切,则l的方程为( ) A.y=2x+1 B.y=2x+ C.y= x+1 D.y= x+ 【答案】D 【解析】设直线 在曲线 上的切点为 ,则 , 函数 的导数为 ,则直线 的斜率 , 设直线 的方程为 ,即 , 由于直线 与圆 相切,则 , 两边平方并整理得 ,解得 , (舍), 则直线 的方程为 ,即 . 故选:D. ex e f(x) f(1) 4.(2020·全国高考真题(文))设函数 xa .若 4 ,则a=_________. 【答案】1 【解析】 exxaex exxa1 fx  由函数的解析式可得: xa2 xa2 , e11a1 ae ae e f1   则: 1a2 a12 ,据此可得:a12 4 , a2 2a10 a1 整理可得: ,解得: . 故答案为:1. y 3(x2 x)ex (0,0) 5.(2019·全国高考真题(文))曲线 在点 处的切线方程为___________. 3x y0 【答案】 . 【解析】y/ 3(2x1)ex 3(x2 x)ex 3(x23x1)ex, k  y/ | 3 所以, x0 y 3(x2 x)ex (0,0) y3x 3x y0 所以,曲线 在点 处的切线方程为 ,即 . 6.(2020·全国高考真题(文))曲线 的一条切线的斜率为2,则该切线的方程为 ______________. 【答案】 【解析】 设切线的切点坐标为 , ,所以切点坐标为 , 所求的切线方程为 ,即 . 故答案为: .