当前位置:首页>文档>专题二 微重点1 三角函数中ω,φ的范围问题_02高考数学_2025年新高考资料_二轮复习_2025年高考数学大二轮_2025数学二轮专题复习学生用书Word版文档_专题强化练

专题二 微重点1 三角函数中ω,φ的范围问题_02高考数学_2025年新高考资料_二轮复习_2025年高考数学大二轮_2025数学二轮专题复习学生用书Word版文档_专题强化练

  • 2026-05-07 23:30:20 2026-04-14 08:45:13

文档预览

专题二 微重点1 三角函数中ω,φ的范围问题_02高考数学_2025年新高考资料_二轮复习_2025年高考数学大二轮_2025数学二轮专题复习学生用书Word版文档_专题强化练
专题二 微重点1 三角函数中ω,φ的范围问题_02高考数学_2025年新高考资料_二轮复习_2025年高考数学大二轮_2025数学二轮专题复习学生用书Word版文档_专题强化练
专题二 微重点1 三角函数中ω,φ的范围问题_02高考数学_2025年新高考资料_二轮复习_2025年高考数学大二轮_2025数学二轮专题复习学生用书Word版文档_专题强化练
专题二 微重点1 三角函数中ω,φ的范围问题_02高考数学_2025年新高考资料_二轮复习_2025年高考数学大二轮_2025数学二轮专题复习学生用书Word版文档_专题强化练
专题二 微重点1 三角函数中ω,φ的范围问题_02高考数学_2025年新高考资料_二轮复习_2025年高考数学大二轮_2025数学二轮专题复习学生用书Word版文档_专题强化练
专题二 微重点1 三角函数中ω,φ的范围问题_02高考数学_2025年新高考资料_二轮复习_2025年高考数学大二轮_2025数学二轮专题复习学生用书Word版文档_专题强化练
专题二 微重点1 三角函数中ω,φ的范围问题_02高考数学_2025年新高考资料_二轮复习_2025年高考数学大二轮_2025数学二轮专题复习学生用书Word版文档_专题强化练
专题二 微重点1 三角函数中ω,φ的范围问题_02高考数学_2025年新高考资料_二轮复习_2025年高考数学大二轮_2025数学二轮专题复习学生用书Word版文档_专题强化练
专题二 微重点1 三角函数中ω,φ的范围问题_02高考数学_2025年新高考资料_二轮复习_2025年高考数学大二轮_2025数学二轮专题复习学生用书Word版文档_专题强化练

文档信息

文档格式
docx
文档大小
2.437 MB
文档页数
5 页
上传时间
2026-04-14 08:45:13

文档内容

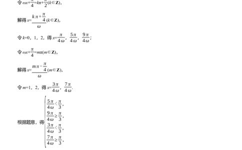
专题二 微重点 1 三角函数中 ω,φ 的范围问题 (分值:52分) 一、单项选择题(每小题5分,共30分) 1.(2024·桂林模拟)已知函数f(x)=cos ωx-2sin 2ωxsin ωx(ω>0)在(0,2π)上有最小值没有最大值,则ω的取值 范围是( ) (1 1] [1 1) A. , B. , 4 2 4 2 [1 1) (1 1] C. , D. , 6 3 6 3 [ π ] 2.(2024·张家口统考)已知函数f(x)=sin xcos x-√3cos2x,若f(x)在区间 - ,θ 上是单调函数,则实数θ的取 3 值范围是( ) [π π) [ π π) A. , B. - , 6 3 6 3 ( π π ] ( π π ] C. - ,- D. - , 3 12 3 12 ( π) 1 ( π) 3.(2024·沧州统考)已知函数y=sin2 ωx- - (ω>0)在区间 0, 上有且仅有3个零点,则实数ω的取值 6 4 2 范围是( ) (8 ) A.(2,4) B. ,4 3 (8 ] C. ,4 D.(2,4] 3 [π ] 4.(2024·郑州模拟)已知函数f(x)=√3sin ωx+cos ωx(ω>0),若存在x ,x ∈ ,π ,使得f(x )f(x )=-4,则ω 1 2 2 1 2 的最小值为( ) A.1 B.2 7 8 C. D. 3 3 [π π] 5.(2024·葫芦岛模拟)已知f(x)=sin ωx+√3cos ωx(ω>0)在区间 , 上单调递增,则ω的取值范围为( ) 6 4 ( 2] (2 ) A. 0, B. ,7 3 3 [ 26] ( 2] [ 26] C. 7, D. 0, ∪ 7, 3 3 3(π) 6.已知函数f(x)=cos(ωx-φ)(ω>0).若∀x∈R,f(x)≥f ,且f(x)在(0,2π)上恰有3个极值点,则实数ω的取 6 值范围为( ) ( 6 ] A. 0, B.(0,3] 11 (12 18] C. , D.(0,6] 11 11 二、多项选择题(每小题6分,共12分) ( π) ( √3) 7.已知函数f(x)=sin(ωx+φ) ω>0,|φ|< 的图象经过点 0, ,若函数f(x)在区间[0,π]上有3条对 2 2 称轴,下列说法正确的是( ) A.f(x)在区间[0,π]上有2个极大值点 B.f(x)在区间[0,π]上有2个零点 C.f(x)在区间[0,π]上零点个数不确定 [13 19) D.ω的取值范围为 , 6 6 ( π ) 8.(2024·莆田模拟)已知函数f(x)=3cos(ωx+φ)(ω>0,0<φ<π)的图象既关于点 - ,0 中心对称,也关于直线 2 3π [π 2π] x= 轴对称,且f(x)在 , 上单调,则ω的值可能是( ) 4 6 3 2 6 A. B. 5 5 14 C.2 D. 5 三、填空题(每小题5分,共10分) ( π) 9.(2024·德阳统考)若函数f(x)=sin ωx+cos ωx(ω>0)的图象在 0, 内有且仅有两条对称轴,一个对称中心, 3 则实数ω的取值范围是 . ( π) 10.(2024·信阳模拟)已知f(x)=Asin ωx- +B(A>0,ω>0,B为常数),f(x) =f(x )=3,f(x) =f(x )=-1,且|x - 3 max 1 min 2 1 π x |的最小值为 ,若f(x)在区间[a,b]上恰有8个零点,则b-a的最小值为 . 2 2答案精析 1.D 2.C 3.C 4.C 5.D 6.C 7.ACD 8.AB (15 21] 9. , 4 4 ( π) 解析 方法一 由题意,得f(x)=sin ωx+cos ωx=√2sin ωx+ , 4 π π 令ωx+ =kπ+ (k∈Z), 4 2 π kπ+ 解得x= 4 (k∈Z), ω π 5π 9π 令k=0,1,2,得x= , , ; 4ω 4ω 4ω π 令ωx+ =mπ(m∈Z), 4 π mπ- 解得x= 4 (m∈Z), ω 3π 7π 令m=1,2,得x= , . 4ω 4ω 5π π { < , 4ω 3 9π π ≥ , 4ω 3 根据题意,得 3π π < , 4ω 3 7π π ≥ , 4ω 3 15 21 解得 <ω≤ . 4 4 (15 21] 故ω的取值范围为 , . 4 4 ( π) 方法二 由题意得f(x)=sin ωx+cos ωx=√2sin ωx+ , 4 ( π) ∵x∈ 0, , 3π (π π π) ∴ωx+ ∈ , ω+ , 4 4 3 4 ( π) 又∵f(x)的图象在 0, 内有且仅有两条对称轴和一个对称中心, 3 3π π π ∴ < ω+ ≤2π, 2 3 4 15 21 解得 <ω≤ , 4 4 (15 21] 故ω的取值范围为 , . 4 4 10π 10. 3 { A+B=3, 解析 由题意得 -A+B=-1, {A=2, 解得 B=1, 设f(x)的最小正周期为T, 1 π 故 T= , 2 2 解得T=π,因为ω>0, 2π 所以ω= =2, T ( π) 故f(x)=2sin 2x- +1, 3 当x∈[a,b]时, π [ π π] 2x- ∈ 2a- ,2b- , 3 3 3 令f(x)=0, ( π) 1 得sin 2x- =- , 3 2 画出y=sin z的图象,如图, 要想在区间[a,b]上恰有8个零点, 且b-a取得最小值,( π) 1 故sin 2a- =- , 3 2 ( π) 1 sin 2b- =- , 3 2 π 17π {2a- =- +2kπ,k∈Z, 3 6 且 π 23π 2b- = +2kπ,k∈Z, 3 6 20π 10π 10π 两式相减得2(b-a)= ,b-a= .所以b-a的最小值为 . 3 3 3