当前位置:首页>文档>专题07函数与导数核心考点深度剖析与压轴题解答策略(练习)(原卷版)_2025年新高考资料_二轮复习_上好课2025年高考数学二轮复习讲练测(新高考通用)3379306

专题07函数与导数核心考点深度剖析与压轴题解答策略(练习)(原卷版)_2025年新高考资料_二轮复习_上好课2025年高考数学二轮复习讲练测(新高考通用)3379306

  • 2026-04-14 16:25:23 2026-04-14 15:42:45

文档预览

专题07函数与导数核心考点深度剖析与压轴题解答策略(练习)(原卷版)_2025年新高考资料_二轮复习_上好课2025年高考数学二轮复习讲练测(新高考通用)3379306
专题07函数与导数核心考点深度剖析与压轴题解答策略(练习)(原卷版)_2025年新高考资料_二轮复习_上好课2025年高考数学二轮复习讲练测(新高考通用)3379306
专题07函数与导数核心考点深度剖析与压轴题解答策略(练习)(原卷版)_2025年新高考资料_二轮复习_上好课2025年高考数学二轮复习讲练测(新高考通用)3379306
专题07函数与导数核心考点深度剖析与压轴题解答策略(练习)(原卷版)_2025年新高考资料_二轮复习_上好课2025年高考数学二轮复习讲练测(新高考通用)3379306
专题07函数与导数核心考点深度剖析与压轴题解答策略(练习)(原卷版)_2025年新高考资料_二轮复习_上好课2025年高考数学二轮复习讲练测(新高考通用)3379306
专题07函数与导数核心考点深度剖析与压轴题解答策略(练习)(原卷版)_2025年新高考资料_二轮复习_上好课2025年高考数学二轮复习讲练测(新高考通用)3379306
专题07函数与导数核心考点深度剖析与压轴题解答策略(练习)(原卷版)_2025年新高考资料_二轮复习_上好课2025年高考数学二轮复习讲练测(新高考通用)3379306
专题07函数与导数核心考点深度剖析与压轴题解答策略(练习)(原卷版)_2025年新高考资料_二轮复习_上好课2025年高考数学二轮复习讲练测(新高考通用)3379306
专题07函数与导数核心考点深度剖析与压轴题解答策略(练习)(原卷版)_2025年新高考资料_二轮复习_上好课2025年高考数学二轮复习讲练测(新高考通用)3379306
专题07函数与导数核心考点深度剖析与压轴题解答策略(练习)(原卷版)_2025年新高考资料_二轮复习_上好课2025年高考数学二轮复习讲练测(新高考通用)3379306
专题07函数与导数核心考点深度剖析与压轴题解答策略(练习)(原卷版)_2025年新高考资料_二轮复习_上好课2025年高考数学二轮复习讲练测(新高考通用)3379306
专题07函数与导数核心考点深度剖析与压轴题解答策略(练习)(原卷版)_2025年新高考资料_二轮复习_上好课2025年高考数学二轮复习讲练测(新高考通用)3379306
专题07函数与导数核心考点深度剖析与压轴题解答策略(练习)(原卷版)_2025年新高考资料_二轮复习_上好课2025年高考数学二轮复习讲练测(新高考通用)3379306
专题07函数与导数核心考点深度剖析与压轴题解答策略(练习)(原卷版)_2025年新高考资料_二轮复习_上好课2025年高考数学二轮复习讲练测(新高考通用)3379306
专题07函数与导数核心考点深度剖析与压轴题解答策略(练习)(原卷版)_2025年新高考资料_二轮复习_上好课2025年高考数学二轮复习讲练测(新高考通用)3379306
专题07函数与导数核心考点深度剖析与压轴题解答策略(练习)(原卷版)_2025年新高考资料_二轮复习_上好课2025年高考数学二轮复习讲练测(新高考通用)3379306
专题07函数与导数核心考点深度剖析与压轴题解答策略(练习)(原卷版)_2025年新高考资料_二轮复习_上好课2025年高考数学二轮复习讲练测(新高考通用)3379306
专题07函数与导数核心考点深度剖析与压轴题解答策略(练习)(原卷版)_2025年新高考资料_二轮复习_上好课2025年高考数学二轮复习讲练测(新高考通用)3379306
专题07函数与导数核心考点深度剖析与压轴题解答策略(练习)(原卷版)_2025年新高考资料_二轮复习_上好课2025年高考数学二轮复习讲练测(新高考通用)3379306
专题07函数与导数核心考点深度剖析与压轴题解答策略(练习)(原卷版)_2025年新高考资料_二轮复习_上好课2025年高考数学二轮复习讲练测(新高考通用)3379306
专题07函数与导数核心考点深度剖析与压轴题解答策略(练习)(原卷版)_2025年新高考资料_二轮复习_上好课2025年高考数学二轮复习讲练测(新高考通用)3379306
专题07函数与导数核心考点深度剖析与压轴题解答策略(练习)(原卷版)_2025年新高考资料_二轮复习_上好课2025年高考数学二轮复习讲练测(新高考通用)3379306
专题07函数与导数核心考点深度剖析与压轴题解答策略(练习)(原卷版)_2025年新高考资料_二轮复习_上好课2025年高考数学二轮复习讲练测(新高考通用)3379306
专题07函数与导数核心考点深度剖析与压轴题解答策略(练习)(原卷版)_2025年新高考资料_二轮复习_上好课2025年高考数学二轮复习讲练测(新高考通用)3379306

文档信息

文档格式
docx
文档大小
0.622 MB
文档页数
20 页
上传时间
2026-04-14 15:42:45

文档内容

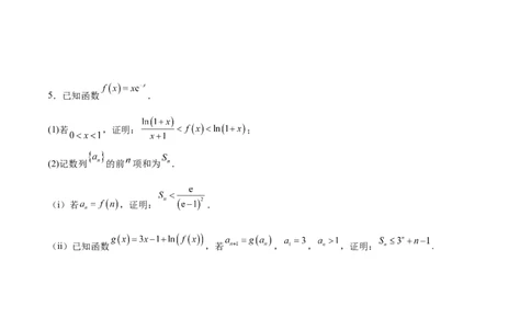
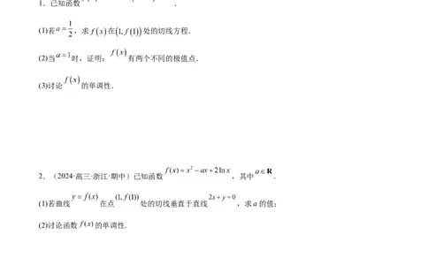
专题 07 函数与导数核心考点深度剖析与压轴题解答策略 目录 01 模拟基础练......................................................................................................................................2 题型一:含参数函数单调性讨论........................................................................................................2 题型二:导数与数列不等式的综合问题............................................................................................3 题型三:双变量问题............................................................................................................................4 题型四:证明不等式............................................................................................................................5 题型五:极最值问题............................................................................................................................6 题型六:零点问题................................................................................................................................7 题型七:不等式恒成立问题................................................................................................................8 题型八:极值点偏移问题与拐点偏移问题........................................................................................9 题型九:利用导数解决一类整数问题..............................................................................................10 题型十:导数中的同构问题..............................................................................................................11 题型十一:洛必达法则......................................................................................................................12 题型十二:导数与三角函数结合问题..............................................................................................13 重难点突破:函数与导数背景下的新定义压轴解答题..................................................................14 02 重难创新练....................................................................................................................................17题型一:含参数函数单调性讨论 1.已知函数 . (1)若 ,求 在 处的切线方程. (2)当 时,证明: 有两个不同的极值点. (3)讨论 的单调性. 2.(2024·高三·浙江·期中)已知函数 ,其中 . (1)若曲线 在点 处的切线垂直于直线 ,求a的值; (2)讨论函数 的单调性. 3.已知函数 ,讨论 的单调性.题型二:导数与数列不等式的综合问题 4.已知首项为1的正项数列 满足 . (1)探究数列 的单调性; (2)证明: . 5.已知函数 . (1)若 ,证明: ; (2)记数列 的前 项和为 . (i)若 ,证明: . (ii)已知函数 ,若 , , ,证明: . 6.(2024·高三·四川绵阳·开学考试)已知函数 . (1)当 时,证明: ; (2)现定义: 阶阶乘数列 满足 .若 ,证明: .题型三:双变量问题 7.已知函数 . (1)判断函数 的奇偶性; (2)若函数 在 处有极值,且关于 的方程 有3个不同的实根,求实数 的取值范 围; (3)记 .若对任意 且 时,均有 成立,求实数 的 取值范围. 8.(2024·山西·模拟预测)已知函数 . (1)若函数 在定义域上单调递增,求 的取值范围; (2)若 ;求证: ; (3)设 , 是函数 的两个极值点,求证: . 9.已知函数 .(1)若 ,求 的图象在 处的切线方程; (2)若 恰有两个极值点 , . (i)求 的取值范围; (ii)证明: . 题型四:证明不等式 10.当 时,证明: . 11.已知函数 . (1)若 ,且 恰有3个零点,求 的取值范围; (2)若 ,证明:当 时, . 12.设函数 . (1)当 时,证明: .(2)当 时,证明: . 题型五:极最值问题 13.已知函数 . (1)当 时,求 的单调性; (2)若函数 在 处取得极小值,求实数 的取值范围. 14.(2024·高三·湖南·期中)已知函数 . (1)证明: ; (2)设函数 ,证明:函数 有唯一的极值点. 15.已知函数 . (1)当 时,关于 的方程 在区间 内有两个不相等的实数根,求实数 的取值范围;(2)求函数 在区间 上的最小值. 题型六:零点问题 16.已知函数 有两个零点 , (1)求 的单调区间和极值; (2)当 时, 恒成立,求实数 的最小值; (3)证明: . 17.(2024·高三·江西上饶·期中)已知函数 . (1)若 的图象在 处的切线方程为 ,求 的值; (2)若 ,证明: ; (3)讨论 的零点的个数.18.已知函数 ,曲线 在 处的切线方程为 . (1)求 , 的值: (2)求证: 有且只有一个零点; (3)记 的零点为 ,曲线 在 处的切线 与 轴交于 .若 ,求 的取值范围. 题型七:不等式恒成立问题 19.已知函数 . (1)若 ,求曲线y=f(x)在x=1处的切线方程; (2)若 ,求实数 的取值范围. 20.已知函数 .(其中 是自然对数的底, , ). (1)讨论函数 的单调性; (2)当 时,若 恒成立,求整数 的最大值( ). 21.已知函数 .(1)当 时,求函数 在 处的切线方程; (2) 恒成立,求a的取值范围. 题型八:极值点偏移问题与拐点偏移问题 22.已知函数 , . (1)若 在 处取得极值,求 的值; (2)设 ,试讨论函数 的单调性; (3)当 时,若存在正实数 满足 ,求证: . 23.已知函数 . (1)若该函数在 单调递增,求 的取值范围. (2)当 时,若方程 有两个实数根 ,且 ,证明: . 24.已知函数 .(1)若函数 在 上单调递增,求实数 的取值范围; (2)若函数 恰有两个极值点 ,且 的最大值为 ,求证: . 25.已知函数 . (1)若对任意的 ,都有 恒成立,求实数 的取值范围; (2)设 、 是两个不相等的实数,且 .求证: . 题型九:利用导数解决一类整数问题 26.已知函数 . (1)当 时,求曲线 在 处的切线方程; (2)若 ,求k的值; (3)设m为整数,且对于任意正整数n, ,求m的最小值.27.(2024·陕西西安·模拟预测)已知函数 , 的图像在(1,f (1))处的切 线过原点. (1)求 的值; (2)设 , ,其中 ,若对 ,总 ,使 成 立,求整数 的取值范围. 28.已知函数 , ( ). (1)当 时,求曲线 在点 处的切线方程; (2)求函数 的单调区间; (3)若 对任意 恒成立,求整数a的最小值. 题型十:导数中的同构问题 29.已知关于x的不等式 在 上恒成立,求实数 的取值范围. 30.(2024·江西南昌·模拟预测)已知函数 和 有相同的最小值.(1)求 ; (2)是否存在直线 ,其与两条曲线 和 共有三个不同的交点且从左到右的三个交点的横 坐标成等差数列?说明理由. 31.已知函数 . 当 时,求函数 的单调增区间; 若函数 在 上是增函数,求实数a的取值范围; 若 ,且对任意 , , ,都有 ,求实数a的最小值. 32.已知函数 . (1)讨论函数 的零点的个数; (2)证明: . 33.(2024·江西宜春·一模)已知函数 , .(1)讨论 的单调性; (2)对任意的 , 恒成立,求 的取值范围. 题型十一:洛必达法则 34.(2024·浙江宁波·模拟预测)已知函数 . (1)讨论 的单调性; (2)若对任意的 恒成立,求 的范围. 35.已知函数 ,若当 时, ,求 的取值范围. 36.已知函数 ,如果当 ,且 时, ,求 的取值范围.题型十二:导数与三角函数结合问题 37.已知函数 与 分别是定义在 上的奇函数和偶函数,且 . (1)求函数 与 的解析式; (2)若对于 ,不等式 恒成立,求实数 的取值范围. 38.已知函数 , ,其中 . (1)试讨论函数 的单调性; (2)若 ,证明: . 39.(2024·高三·北京朝阳·期中)已知函数 . (1)求曲线 在点 处的切线方程; (2)讨论 在区间 上的零点个数; (3)若 ,其中 ,求证: .重难点突破:函数与导数背景下的新定义压轴解答题 40.若 为 上任意 个实数,满足 ,当且仅当 时等号成立,则称函数 在 上为“凸函数”.也可设可导函数 在 上的导 函数为f'(x),若f'(x)在区间 上单调递减,则称 为区间 上的凸函数. 若 为 上任意 个实数,满足 ,当且仅当 时等号成立,则称函数 在 上为“凹函数”.也可设可导函数 在 上的导 函数为f'(x).若f'(x)在区间 单调递增;则称 为区间 上的凹函数.(这里关于凹凸函数的不等 式即为著名的琴生不等式.) (1)讨论函数 , 的凹凸性,并求锐角 中,求 的最小值; (2)已知函数 . (ⅰ)当 时,讨论 的凹凸性; (ⅱ)平面直角坐标系中的点 称为函数 的“ 切点”,当且仅当过点 恰好能作曲线y=f (x)的 条切线,其中 .当 时,点 在 轴右侧且为 的“ 切点”,求点 的集合.(不需要写出求解 过程)41.(2024·上海奉贤·一模)若函数 的图象上存在 个不同点 、 、 、 处的 切线重合,则称该切线为函数 的一条 点切线,该函数具有 点切线性质. (1)判断函数 , 的奇偶性并写出它的一条 点切线方程(无需理由); (2)设 ,判断函数 是否具有 点切线性质,并说明理由; (3)设 ,证明:对任意的 , ,函数 具有 点切线性质,并求出所有相 应的切线方程. 42.记 , 分别为函数 , 的导函数.若存在 ,满足 且 ,则称 为函数 与 的一个“ 点”;若仅满足 则称 为 函数 与 的一个“ 点”. (1)证明:函数 与 不存在“ 点”,但存在“ 点”; (2)若函数 与 存在“ 点”,求实数 的值; (3)已知 , 其中实数 且 .若使函数 与 区间 内存在 三个“ 点”,求实数 的取值范围.1.已知函数 . (1)当 时,求曲线 在点 处的切线方程. (2)若 有两个不同的极值点 . (ⅰ)求实数 的取值范围; (ⅱ)证明: . 2.若函数 是定义在 上的函数,且存在 , ,使得 在 上的值域仍为 ,则 称 为 上的保值函数,区间 叫做 的保值区间. (1)求 在 上的所有保值区间; (2)证明: 在 上存在保值区间; (3)若 为 上的保值函数,证明: . 3.(2024·辽宁·模拟预测)已知函数 .(1)若 ,求 的单调区间; (2)若 在 上单调递增,求正实数 的取值范围; (3) 时,证明: . 4.(2024·高三·重庆·开学考试)已知 . (1)若存在两个不同的 使得 的最小值为0,证明: ; (2)设 ( 为常数),且当 恒成立时, 的最小值为 ,求 的取值集合. 5.(2024·高三·全国·单元测试)已知函数 . (1)讨论 的单调性; (2)从①②两组条件中选取一组作为已知条件,证明: 恰有一个零点. ① ; ② . 注:如果选择两组条件分别解答,按第一个解答计分.6.(2024·高三·上海·单元测试)设函数 ,其中 ,曲线 过 点 . (1)求a,b的值; (2)求证 在 时,恒大于零,其中 ; (3)证明:当 时, . 7.(2024·北京·三模)已知 . (1)若 ,求曲线 在点 处的切线方程; (2)若函数 存在两个不同的极值点 ,求证: . 8.(2024·浙江绍兴·三模)若函数 在区间 上有定义,且 , ,则称 是 的一个 “封闭区间”. (1)已知函数 ,区间 且 的一个“封闭区间”,求 的取值集合; (2)已知函数 ,设集合 . (i)求集合 中元素的个数; (ii)用 表示区间 的长度,设 为集合 中的最大元素.证明:存在唯一长度为 的闭区间 ,使得 是 的一个“封闭区间”. 9.已知函数 (1)若 ,且 ,求 的最小值; (2)证明:曲线 是中心对称图形; (3)若 当且仅当 ,求 的取值范围.