当前位置:首页>文档>2021年研学一真题答案(目前暂无详细解析,后续免费更新详细解析版)公众号“考研小舟”持续更新中公众号:考研小舟_27考研真题_考研数学真题(1987-2026)_数学一

2021年研学一真题答案(目前暂无详细解析,后续免费更新详细解析版)公众号“考研小舟”持续更新中公众号:考研小舟_27考研真题_考研数学真题(1987-2026)_数学一

  • 2026-04-16 18:17:33 2026-04-16 13:56:37

文档预览

2021年研学一真题答案(目前暂无详细解析,后续免费更新详细解析版)公众号“考研小舟”持续更新中公众号:考研小舟_27考研真题_考研数学真题(1987-2026)_数学一
2021年研学一真题答案(目前暂无详细解析,后续免费更新详细解析版)公众号“考研小舟”持续更新中公众号:考研小舟_27考研真题_考研数学真题(1987-2026)_数学一
2021年研学一真题答案(目前暂无详细解析,后续免费更新详细解析版)公众号“考研小舟”持续更新中公众号:考研小舟_27考研真题_考研数学真题(1987-2026)_数学一
2021年研学一真题答案(目前暂无详细解析,后续免费更新详细解析版)公众号“考研小舟”持续更新中公众号:考研小舟_27考研真题_考研数学真题(1987-2026)_数学一
2021年研学一真题答案(目前暂无详细解析,后续免费更新详细解析版)公众号“考研小舟”持续更新中公众号:考研小舟_27考研真题_考研数学真题(1987-2026)_数学一
2021年研学一真题答案(目前暂无详细解析,后续免费更新详细解析版)公众号“考研小舟”持续更新中公众号:考研小舟_27考研真题_考研数学真题(1987-2026)_数学一
2021年研学一真题答案(目前暂无详细解析,后续免费更新详细解析版)公众号“考研小舟”持续更新中公众号:考研小舟_27考研真题_考研数学真题(1987-2026)_数学一
2021年研学一真题答案(目前暂无详细解析,后续免费更新详细解析版)公众号“考研小舟”持续更新中公众号:考研小舟_27考研真题_考研数学真题(1987-2026)_数学一
2021年研学一真题答案(目前暂无详细解析,后续免费更新详细解析版)公众号“考研小舟”持续更新中公众号:考研小舟_27考研真题_考研数学真题(1987-2026)_数学一

文档信息

文档格式
pdf
文档大小
3.755 MB
文档页数
5 页
上传时间
2026-04-16 13:56:37

文档内容

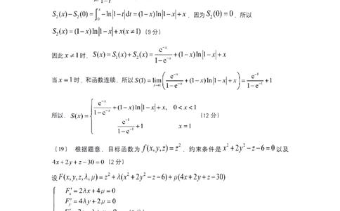
2021 考研数学试卷答案速查(数学一) 一、选择题 (1)(D) (2)(C) (3)(A) (4)(B) (5)(B) (6)(A) (7)(C) (8)(D) (9)(C) (10)(B) 二、填空题 (11) (12) (13) (14) (15) (16) 三、解答题 (17)原式 (2分) (4分) (7分) (9分) (10分) (18) (1) 设 , ,则 收敛区间为 , 收敛区间为 (3分) 时, ,级数发散 时, ,级数收敛 所以级数的收敛域为 .(4分)(2) (6分) 则 ,因为 ,所以 ,因为 ,所以 (9分) 因此 时, 当 时,和函数连续,所以 所以, (12分) (19) 根据题意,目标函数为 ,约束条件是 以及 (2分) 设 (6分) 解得 或者 (10分) , 因此距离的最大值为 (12分) (20)(1)根据题意,易知 (4分) (2) 补充曲线 (顺时针方向) 由格林公式可知, 其中 为 和 围成的封闭区域.(8分) 根据格林公式 其中 是 围成的封闭区域. 所以 (12分)(21) (1) 令 ,解得 (2分) ,解得 ,解得 (4分) 将 进行施密特正交化可得 (6分) 将 单位化,可得 可得正交矩阵 ,使 (8分) (2)因为 可知 , 因为 为正定矩阵,所以(12分) (22) 易知 ,且 在 上服从均匀分布; (Ⅰ) 的概率密度 . (4分) (Ⅱ) 的分布函数 : 时, ; 时, ; 的概率密度为 . (8分) (Ⅲ) (12分)