当前位置:首页>文档>2021年数学三真题(速查版)公众号“考研小舟”持续更新中公众号:考研小舟_27考研真题_考研数学一、二、三历年真题+考研数学资料(1994-2026)_考研数学真题(1987-2026)_数学三

2021年数学三真题(速查版)公众号“考研小舟”持续更新中公众号:考研小舟_27考研真题_考研数学一、二、三历年真题+考研数学资料(1994-2026)_考研数学真题(1987-2026)_数学三

  • 2026-04-16 18:21:14 2026-04-16 13:56:27

文档预览

2021年数学三真题(速查版)公众号“考研小舟”持续更新中公众号:考研小舟_27考研真题_考研数学一、二、三历年真题+考研数学资料(1994-2026)_考研数学真题(1987-2026)_数学三
2021年数学三真题(速查版)公众号“考研小舟”持续更新中公众号:考研小舟_27考研真题_考研数学一、二、三历年真题+考研数学资料(1994-2026)_考研数学真题(1987-2026)_数学三
2021年数学三真题(速查版)公众号“考研小舟”持续更新中公众号:考研小舟_27考研真题_考研数学一、二、三历年真题+考研数学资料(1994-2026)_考研数学真题(1987-2026)_数学三
2021年数学三真题(速查版)公众号“考研小舟”持续更新中公众号:考研小舟_27考研真题_考研数学一、二、三历年真题+考研数学资料(1994-2026)_考研数学真题(1987-2026)_数学三
2021年数学三真题(速查版)公众号“考研小舟”持续更新中公众号:考研小舟_27考研真题_考研数学一、二、三历年真题+考研数学资料(1994-2026)_考研数学真题(1987-2026)_数学三
2021年数学三真题(速查版)公众号“考研小舟”持续更新中公众号:考研小舟_27考研真题_考研数学一、二、三历年真题+考研数学资料(1994-2026)_考研数学真题(1987-2026)_数学三
2021年数学三真题(速查版)公众号“考研小舟”持续更新中公众号:考研小舟_27考研真题_考研数学一、二、三历年真题+考研数学资料(1994-2026)_考研数学真题(1987-2026)_数学三
2021年数学三真题(速查版)公众号“考研小舟”持续更新中公众号:考研小舟_27考研真题_考研数学一、二、三历年真题+考研数学资料(1994-2026)_考研数学真题(1987-2026)_数学三

文档信息

文档格式
pdf
文档大小
3.112 MB
文档页数
4 页
上传时间
2026-04-16 13:56:27

文档内容

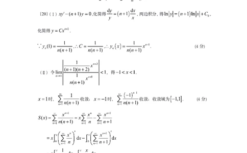
2021 考研数学试卷答案速查(数学三) 一、选择题 (1)C (2)D (3)A (4)C (5)B (6)D (7)C (8)D (9)B (10)A 二、填空题 (11) (12) (13) (14) (15) (16) 三、解答题 (17) ; (3分) ; (3分) 则其左极限等于右极限: ,解得 . (4分) (18)令 得驻点 和 . (4分) 在 处, ,所以有 极小值 ; (4分) 在 处, ,所以有 极小值 . (4分)(19) (4分) (4分) (4分) (20)(Ⅰ) ,化简得 ,两边积分,得 , 化简得 . , , . (4分) (Ⅱ)令 ,得 . 时, 收敛; 时, 收敛;收敛域为 . (4分) . (4分) (21) ,因为矩阵仅有两个不同的特征值,故 或 . 当 时, , , 因为 相似与对角矩阵,故 , (2分) 解 得 ,解 得 , 令 ,则 ; (4分) 当 时, , , 因为 相似与对角矩阵,故 , (2分) 解 得 ,解 得 , 令 ,则 . (4分) (22)易知 ,且 在 上服从均匀分布; (Ⅰ) 的概率密度 . (4分) (Ⅱ) 的分布函数 : 时, ; 时, ; 的概率密度为 . (4分) (Ⅲ)(4分)