当前位置:首页>文档>2021年数二真题答案速查公众号“考研小舟”持续更新中公众号:考研小舟_27考研真题_考研数学一、二、三历年真题+考研数学资料(1994-2026)_考研数学真题(1987-2026)_数学二

2021年数二真题答案速查公众号“考研小舟”持续更新中公众号:考研小舟_27考研真题_考研数学一、二、三历年真题+考研数学资料(1994-2026)_考研数学真题(1987-2026)_数学二

  • 2026-04-16 18:31:21 2026-04-16 13:56:17

文档预览

2021年数二真题答案速查公众号“考研小舟”持续更新中公众号:考研小舟_27考研真题_考研数学一、二、三历年真题+考研数学资料(1994-2026)_考研数学真题(1987-2026)_数学二
2021年数二真题答案速查公众号“考研小舟”持续更新中公众号:考研小舟_27考研真题_考研数学一、二、三历年真题+考研数学资料(1994-2026)_考研数学真题(1987-2026)_数学二
2021年数二真题答案速查公众号“考研小舟”持续更新中公众号:考研小舟_27考研真题_考研数学一、二、三历年真题+考研数学资料(1994-2026)_考研数学真题(1987-2026)_数学二
2021年数二真题答案速查公众号“考研小舟”持续更新中公众号:考研小舟_27考研真题_考研数学一、二、三历年真题+考研数学资料(1994-2026)_考研数学真题(1987-2026)_数学二
2021年数二真题答案速查公众号“考研小舟”持续更新中公众号:考研小舟_27考研真题_考研数学一、二、三历年真题+考研数学资料(1994-2026)_考研数学真题(1987-2026)_数学二
2021年数二真题答案速查公众号“考研小舟”持续更新中公众号:考研小舟_27考研真题_考研数学一、二、三历年真题+考研数学资料(1994-2026)_考研数学真题(1987-2026)_数学二

文档信息

文档格式
pdf
文档大小
2.764 MB
文档页数
3 页
上传时间
2026-04-16 13:56:17

文档内容

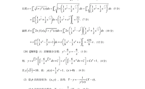
2021 考研数学试卷答案速查(数学二) 一、选择题 (1)(C) (2)(D) (3)(C) (4)(A) (5)(D) (6)(C) (7)(B) (8)(B) (9)(D) (10)(C) 二、填空题 (11) (12) (13) (14) (15) (16) 三、解答题 (17)【解析】原式 (2分) (4分) (7分) (9分) (10分) (18)【解析】 , .(4分) 凹区间: ; 凸区间: (6分) ,垂直渐近线: .(7分), ,(9分) , ,(11分) 斜渐近线: 和 .(12分) (19)【解析】等式左右两边对 求导, , (2分) 长度 (5分) .(7分) 面积 (10分) .(12分) (20)【解析】(1)求解微分方程: ,(1分) 则: ,(4分) 且 ,故: , .(6分) (2)设 点的坐标为: ,法线: , 过 点的法线方程为: ,(8分) 时, 轴上的截距: ,(9分) 令 ,得驻点: ,唯一的极值点为最值点,(11分) 则 最小时, 的坐标为 .(12分) (21)【解析】(6分) (9分) . (12分) (22)【解析】 (2分) (1)当 时, , 相似于对角矩阵,则 , (4分) , , 令可逆矩阵 ,使得 .(7分) (2)当 时, , 相似于对角矩阵,则 , (9 分) , , 令可逆矩阵 ,使得 .(12分)