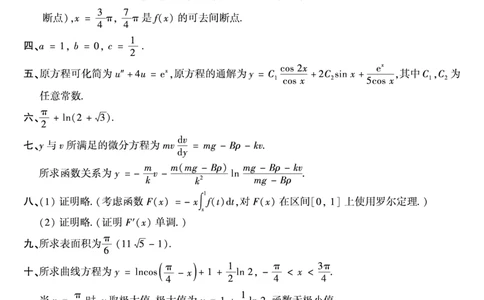
当前位置:首页>文档>1998年数二真题答案速查公众号“考研小舟”持续更新中公众号:考研小舟_27考研真题_考研数学一、二、三历年真题+考研数学资料(1994-2026)_考研数学真题(1987-2026)_数学二

1998年数二真题答案速查公众号“考研小舟”持续更新中公众号:考研小舟_27考研真题_考研数学一、二、三历年真题+考研数学资料(1994-2026)_考研数学真题(1987-2026)_数学二

  • 2026-04-16 09:25:31 2026-04-16 09:16:52

文档预览

1998年数二真题答案速查公众号“考研小舟”持续更新中公众号:考研小舟_27考研真题_考研数学一、二、三历年真题+考研数学资料(1994-2026)_考研数学真题(1987-2026)_数学二
1998年数二真题答案速查公众号“考研小舟”持续更新中公众号:考研小舟_27考研真题_考研数学一、二、三历年真题+考研数学资料(1994-2026)_考研数学真题(1987-2026)_数学二

文档信息

文档格式
pdf
文档大小
0.239 MB
文档页数
1 页
上传时间
2026-04-16 09:16:52