当前位置:首页>文档>考点12复数(6种题型5个易错考点)(解析版)_02高考数学_新高考复习资料_2024年新高考资料_一轮复习资料_一轮复习讲义2024年高考数学复习全程规划(新高考)_核心考点讲义

考点12复数(6种题型5个易错考点)(解析版)_02高考数学_新高考复习资料_2024年新高考资料_一轮复习资料_一轮复习讲义2024年高考数学复习全程规划(新高考)_核心考点讲义

  • 2026-04-20 05:18:26 2026-04-20 05:18:26

文档预览

考点12复数(6种题型5个易错考点)(解析版)_02高考数学_新高考复习资料_2024年新高考资料_一轮复习资料_一轮复习讲义2024年高考数学复习全程规划(新高考)_核心考点讲义
考点12复数(6种题型5个易错考点)(解析版)_02高考数学_新高考复习资料_2024年新高考资料_一轮复习资料_一轮复习讲义2024年高考数学复习全程规划(新高考)_核心考点讲义
考点12复数(6种题型5个易错考点)(解析版)_02高考数学_新高考复习资料_2024年新高考资料_一轮复习资料_一轮复习讲义2024年高考数学复习全程规划(新高考)_核心考点讲义
考点12复数(6种题型5个易错考点)(解析版)_02高考数学_新高考复习资料_2024年新高考资料_一轮复习资料_一轮复习讲义2024年高考数学复习全程规划(新高考)_核心考点讲义
考点12复数(6种题型5个易错考点)(解析版)_02高考数学_新高考复习资料_2024年新高考资料_一轮复习资料_一轮复习讲义2024年高考数学复习全程规划(新高考)_核心考点讲义
考点12复数(6种题型5个易错考点)(解析版)_02高考数学_新高考复习资料_2024年新高考资料_一轮复习资料_一轮复习讲义2024年高考数学复习全程规划(新高考)_核心考点讲义
考点12复数(6种题型5个易错考点)(解析版)_02高考数学_新高考复习资料_2024年新高考资料_一轮复习资料_一轮复习讲义2024年高考数学复习全程规划(新高考)_核心考点讲义
考点12复数(6种题型5个易错考点)(解析版)_02高考数学_新高考复习资料_2024年新高考资料_一轮复习资料_一轮复习讲义2024年高考数学复习全程规划(新高考)_核心考点讲义
考点12复数(6种题型5个易错考点)(解析版)_02高考数学_新高考复习资料_2024年新高考资料_一轮复习资料_一轮复习讲义2024年高考数学复习全程规划(新高考)_核心考点讲义
考点12复数(6种题型5个易错考点)(解析版)_02高考数学_新高考复习资料_2024年新高考资料_一轮复习资料_一轮复习讲义2024年高考数学复习全程规划(新高考)_核心考点讲义
考点12复数(6种题型5个易错考点)(解析版)_02高考数学_新高考复习资料_2024年新高考资料_一轮复习资料_一轮复习讲义2024年高考数学复习全程规划(新高考)_核心考点讲义
考点12复数(6种题型5个易错考点)(解析版)_02高考数学_新高考复习资料_2024年新高考资料_一轮复习资料_一轮复习讲义2024年高考数学复习全程规划(新高考)_核心考点讲义
考点12复数(6种题型5个易错考点)(解析版)_02高考数学_新高考复习资料_2024年新高考资料_一轮复习资料_一轮复习讲义2024年高考数学复习全程规划(新高考)_核心考点讲义
考点12复数(6种题型5个易错考点)(解析版)_02高考数学_新高考复习资料_2024年新高考资料_一轮复习资料_一轮复习讲义2024年高考数学复习全程规划(新高考)_核心考点讲义
考点12复数(6种题型5个易错考点)(解析版)_02高考数学_新高考复习资料_2024年新高考资料_一轮复习资料_一轮复习讲义2024年高考数学复习全程规划(新高考)_核心考点讲义
考点12复数(6种题型5个易错考点)(解析版)_02高考数学_新高考复习资料_2024年新高考资料_一轮复习资料_一轮复习讲义2024年高考数学复习全程规划(新高考)_核心考点讲义
考点12复数(6种题型5个易错考点)(解析版)_02高考数学_新高考复习资料_2024年新高考资料_一轮复习资料_一轮复习讲义2024年高考数学复习全程规划(新高考)_核心考点讲义
考点12复数(6种题型5个易错考点)(解析版)_02高考数学_新高考复习资料_2024年新高考资料_一轮复习资料_一轮复习讲义2024年高考数学复习全程规划(新高考)_核心考点讲义
考点12复数(6种题型5个易错考点)(解析版)_02高考数学_新高考复习资料_2024年新高考资料_一轮复习资料_一轮复习讲义2024年高考数学复习全程规划(新高考)_核心考点讲义
考点12复数(6种题型5个易错考点)(解析版)_02高考数学_新高考复习资料_2024年新高考资料_一轮复习资料_一轮复习讲义2024年高考数学复习全程规划(新高考)_核心考点讲义
考点12复数(6种题型5个易错考点)(解析版)_02高考数学_新高考复习资料_2024年新高考资料_一轮复习资料_一轮复习讲义2024年高考数学复习全程规划(新高考)_核心考点讲义
考点12复数(6种题型5个易错考点)(解析版)_02高考数学_新高考复习资料_2024年新高考资料_一轮复习资料_一轮复习讲义2024年高考数学复习全程规划(新高考)_核心考点讲义
考点12复数(6种题型5个易错考点)(解析版)_02高考数学_新高考复习资料_2024年新高考资料_一轮复习资料_一轮复习讲义2024年高考数学复习全程规划(新高考)_核心考点讲义
考点12复数(6种题型5个易错考点)(解析版)_02高考数学_新高考复习资料_2024年新高考资料_一轮复习资料_一轮复习讲义2024年高考数学复习全程规划(新高考)_核心考点讲义
考点12复数(6种题型5个易错考点)(解析版)_02高考数学_新高考复习资料_2024年新高考资料_一轮复习资料_一轮复习讲义2024年高考数学复习全程规划(新高考)_核心考点讲义
考点12复数(6种题型5个易错考点)(解析版)_02高考数学_新高考复习资料_2024年新高考资料_一轮复习资料_一轮复习讲义2024年高考数学复习全程规划(新高考)_核心考点讲义
考点12复数(6种题型5个易错考点)(解析版)_02高考数学_新高考复习资料_2024年新高考资料_一轮复习资料_一轮复习讲义2024年高考数学复习全程规划(新高考)_核心考点讲义
考点12复数(6种题型5个易错考点)(解析版)_02高考数学_新高考复习资料_2024年新高考资料_一轮复习资料_一轮复习讲义2024年高考数学复习全程规划(新高考)_核心考点讲义
考点12复数(6种题型5个易错考点)(解析版)_02高考数学_新高考复习资料_2024年新高考资料_一轮复习资料_一轮复习讲义2024年高考数学复习全程规划(新高考)_核心考点讲义
考点12复数(6种题型5个易错考点)(解析版)_02高考数学_新高考复习资料_2024年新高考资料_一轮复习资料_一轮复习讲义2024年高考数学复习全程规划(新高考)_核心考点讲义
考点12复数(6种题型5个易错考点)(解析版)_02高考数学_新高考复习资料_2024年新高考资料_一轮复习资料_一轮复习讲义2024年高考数学复习全程规划(新高考)_核心考点讲义
考点12复数(6种题型5个易错考点)(解析版)_02高考数学_新高考复习资料_2024年新高考资料_一轮复习资料_一轮复习讲义2024年高考数学复习全程规划(新高考)_核心考点讲义
考点12复数(6种题型5个易错考点)(解析版)_02高考数学_新高考复习资料_2024年新高考资料_一轮复习资料_一轮复习讲义2024年高考数学复习全程规划(新高考)_核心考点讲义
考点12复数(6种题型5个易错考点)(解析版)_02高考数学_新高考复习资料_2024年新高考资料_一轮复习资料_一轮复习讲义2024年高考数学复习全程规划(新高考)_核心考点讲义
考点12复数(6种题型5个易错考点)(解析版)_02高考数学_新高考复习资料_2024年新高考资料_一轮复习资料_一轮复习讲义2024年高考数学复习全程规划(新高考)_核心考点讲义
考点12复数(6种题型5个易错考点)(解析版)_02高考数学_新高考复习资料_2024年新高考资料_一轮复习资料_一轮复习讲义2024年高考数学复习全程规划(新高考)_核心考点讲义
考点12复数(6种题型5个易错考点)(解析版)_02高考数学_新高考复习资料_2024年新高考资料_一轮复习资料_一轮复习讲义2024年高考数学复习全程规划(新高考)_核心考点讲义
考点12复数(6种题型5个易错考点)(解析版)_02高考数学_新高考复习资料_2024年新高考资料_一轮复习资料_一轮复习讲义2024年高考数学复习全程规划(新高考)_核心考点讲义
考点12复数(6种题型5个易错考点)(解析版)_02高考数学_新高考复习资料_2024年新高考资料_一轮复习资料_一轮复习讲义2024年高考数学复习全程规划(新高考)_核心考点讲义
考点12复数(6种题型5个易错考点)(解析版)_02高考数学_新高考复习资料_2024年新高考资料_一轮复习资料_一轮复习讲义2024年高考数学复习全程规划(新高考)_核心考点讲义
考点12复数(6种题型5个易错考点)(解析版)_02高考数学_新高考复习资料_2024年新高考资料_一轮复习资料_一轮复习讲义2024年高考数学复习全程规划(新高考)_核心考点讲义
考点12复数(6种题型5个易错考点)(解析版)_02高考数学_新高考复习资料_2024年新高考资料_一轮复习资料_一轮复习讲义2024年高考数学复习全程规划(新高考)_核心考点讲义
考点12复数(6种题型5个易错考点)(解析版)_02高考数学_新高考复习资料_2024年新高考资料_一轮复习资料_一轮复习讲义2024年高考数学复习全程规划(新高考)_核心考点讲义
考点12复数(6种题型5个易错考点)(解析版)_02高考数学_新高考复习资料_2024年新高考资料_一轮复习资料_一轮复习讲义2024年高考数学复习全程规划(新高考)_核心考点讲义
考点12复数(6种题型5个易错考点)(解析版)_02高考数学_新高考复习资料_2024年新高考资料_一轮复习资料_一轮复习讲义2024年高考数学复习全程规划(新高考)_核心考点讲义
考点12复数(6种题型5个易错考点)(解析版)_02高考数学_新高考复习资料_2024年新高考资料_一轮复习资料_一轮复习讲义2024年高考数学复习全程规划(新高考)_核心考点讲义
考点12复数(6种题型5个易错考点)(解析版)_02高考数学_新高考复习资料_2024年新高考资料_一轮复习资料_一轮复习讲义2024年高考数学复习全程规划(新高考)_核心考点讲义
考点12复数(6种题型5个易错考点)(解析版)_02高考数学_新高考复习资料_2024年新高考资料_一轮复习资料_一轮复习讲义2024年高考数学复习全程规划(新高考)_核心考点讲义
考点12复数(6种题型5个易错考点)(解析版)_02高考数学_新高考复习资料_2024年新高考资料_一轮复习资料_一轮复习讲义2024年高考数学复习全程规划(新高考)_核心考点讲义
考点12复数(6种题型5个易错考点)(解析版)_02高考数学_新高考复习资料_2024年新高考资料_一轮复习资料_一轮复习讲义2024年高考数学复习全程规划(新高考)_核心考点讲义
考点12复数(6种题型5个易错考点)(解析版)_02高考数学_新高考复习资料_2024年新高考资料_一轮复习资料_一轮复习讲义2024年高考数学复习全程规划(新高考)_核心考点讲义
考点12复数(6种题型5个易错考点)(解析版)_02高考数学_新高考复习资料_2024年新高考资料_一轮复习资料_一轮复习讲义2024年高考数学复习全程规划(新高考)_核心考点讲义
考点12复数(6种题型5个易错考点)(解析版)_02高考数学_新高考复习资料_2024年新高考资料_一轮复习资料_一轮复习讲义2024年高考数学复习全程规划(新高考)_核心考点讲义

文档信息

文档格式
docx
文档大小
1.353 MB
文档页数
49 页
上传时间
2026-04-20 05:18:26

文档内容

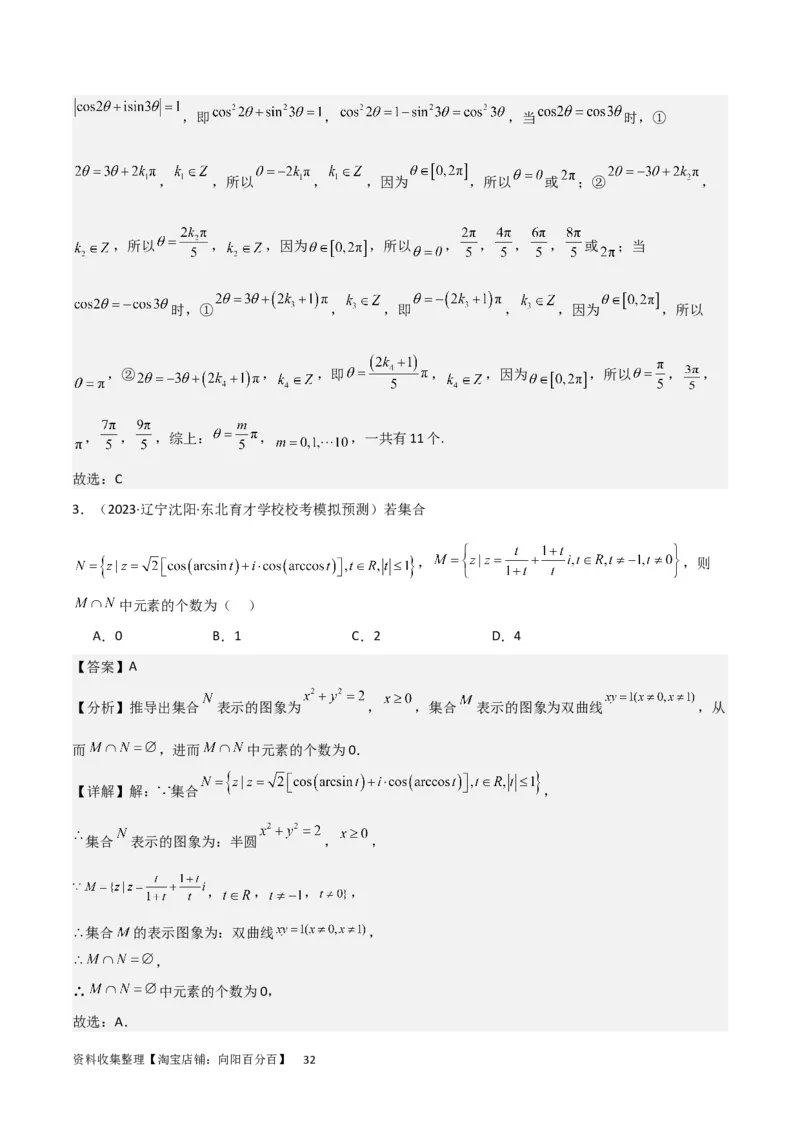
考点 12 复数(6 种题型 5 个易错考点) 一、 真题多维细目表 考题 考点 考向 2022新高考1,第2题 复数的运算 复数的加法运算 2022新高考2,第2题 复数的运算 复数的乘法运算 2021新高考1,第2题 复数的运算 复数的乘法运算 2021全国甲,理3文3 复数的运算 复数的乘除运算 2021全国乙理,第1题 复数的运算 复数加,减运算 2021全国乙文,第2题 复数的运算 复数的乘法运算 2020新高考2,第2题 复数的运算 复数的乘法运算 2020新高考1,第2题 复数的运算 复数的除法运算 二、命题规律与备考策略 本章是高考的热点,一般出现在选择题前两题中,比较简单,分值为 5分。高考命题主要集中于: (1)复数的相关概念,如虚数、纯虚数、共轭复数等;(2)复数的几何意义及复数的模的最值问题; (3)复数的四则运算,常考察乘、除运算;(4)虚数单位i的性质。 备考时要掌握常见的知识与解题方法,加强对复数的概念的理解,提高运算求解能力。 三、 2023 真题抢先刷,考向提前知 一.复数的代数表示法及其几何意义(共1小题) 1.(2023•新高考Ⅱ)在复平面内,(1+3i)(3﹣i)对应的点位于( ) A.第一象限 B.第二象限 C.第三象限 D.第四象限 【分析】直接利用复数代数形式的乘除运算化简得答案. 【解答】解:(1+3i)(3﹣i)=3﹣i+9i+3=6+8i, 则在复平面内,(1+3i)(3﹣i)对应的点的坐标为(6,8),位于第一象限. 故选:A. 【点评】本题考查复数代数形式的乘除运算,考查复数的代数表示法及其几何意义,是基础题. 二.复数的运算(共6小题) 2.(2023•甲卷)若复数(a+i)(1﹣ai)=2,a R,则a=( ) A.﹣1 B.0 C∈.1 D.2 资料收集整理【淘宝店铺:向阳百分百】 1【分析】根据复数的运算法则和复数相等的定义,列方程组求出a的值. 【解答】解:因为复数(a+i)(1﹣ai)=2, 所以2a+(1﹣a2)i=2, 即 ,解得a=1. 故选:C. 【点评】本题考查了复数的运算法则和复数相等的应用问题,是基础题. 3.(2023•新高考Ⅰ)已知z= ,则z﹣ =( ) A.﹣i B.i C.0 D.1 【分析】根据已知条件,结合复数的四则运算,以及共轭复数的定义,即可求解. 【解答】解:z= = = , 则 , 故 =﹣i. 故选:A. 【点评】本题主要考查复数的四则运算,以及共轭复数的定义,属于基础题. 4.(2023•甲卷) =( ) A.﹣1 B.1 C.1﹣i D.1+i 【分析】直接利用复数的运算法则化简求解即可. 【解答】解: = =1﹣i. 故选:C. 【点评】本题考查复数的运算法则的应用,是基础题. 5.(2023•乙卷)设z= ,则 =( ) A.1﹣2i B.1+2i C.2﹣i D.2+i 资料收集整理【淘宝店铺:向阳百分百】 2【分析】先对z进行化简,再根据共轭复数概念写出即可. 【解答】解:∵i2=﹣1,i5=i, ∴z= = =1﹣2i, ∴ =1+2i. 故选:B. 【点评】本题考查了复数的运算及共轭复数的概念,属简单题. 6.(2023•上海)已知复数z=1﹣i(i为虚数单位),则|1+iz|= . 【分析】根据复数的基本运算,即可求解. 【解答】解:∵z=1﹣i, ∴|1+iz|=|1+i(1﹣i)|=|2+i|= . 故答案为: . 【点评】本题考查复数的基本运算,属基础题. 7.(2023•天津)已知i是虚数单位,化简 的结果为 4+ i . 【分析】直接利用复数代数形式的乘除运算化简求解即可. 【解答】解: = = =4+i. 故答案为:4+i. 【点评】本题主要考查了复数代数形式的乘除运算,属于基础题. 三.共轭复数(共3小题) 8.(2023•北京)在复平面内,复数z对应的点的坐标是(﹣1, ),则z的共轭复数 =( ) A.1+ i B.1﹣ i C.﹣1+ i D.﹣1﹣ i 【分析】根据复数的几何意义、共轭复数的定义即可得出结论. 资料收集整理【淘宝店铺:向阳百分百】 3【解答】解:∵在复平面内,复数z对应的点的坐标是(﹣1, ), ∴z=﹣1+ i, 则z的共轭复数 =﹣1﹣ i, 故选:D. 【点评】本题考查了复数的几何意义、共轭复数的定义,考查了推理能力与计算能力,属于基础题. 9.(2023•全国)已知(2+i) =5+5i,则|z|=( ) A. B. C.5 D.5 【分析】把已知等式变形,利用复数代数形式的乘除运算化简,再由共轭复数即复数的模的概念得答案. 【解答】解:由(2+i) =5+5i, 得 = = = =3+i, 则z=3﹣i,|z|= = . 故选:B. 【点评】本题考查复数代数形式的乘除运算,考查复数的基本概念,是基础题. 10.(2023•上海)已知z ,z C且z =i (i为虚数单位),满足|z ﹣1|=1,则|z ﹣z |的取值范围为 1 2 1 1 1 2 ∈ [0 , ] . 【分析】引入复数的三角形式,将问题转化为三角函数的值域问题求解. 【解答】解:设z ﹣1=cos +isin ,则z =1+cos +isin , 1 1 θ θ θ θ 因为z =i• ,所以z =sin +i(cos +1), 1 2 θ θ 资料收集整理【淘宝店铺:向阳百分百】 4所以|z ﹣z |= 1 2 = = , 显然当 = 时,原式取最小值0, 当 =﹣1时,原式取最大值2 , 故|z ﹣z |的取值范围为[0, ]. 1 2 故答案为:[0, ]. 【点评】本题考查复数的三角形式以及三角恒等变换,同时考查了复数的模长公式,属于中档题. 四.复数的模(共1小题) 11.(2023•乙卷)|2+i2+2i3|=( ) A.1 B.2 C. D.5 【分析】直接利用复数的模的运算求出结果. 【解答】解:由于|2+i2+2i3|=|1﹣2i|= . 故选:C. 【点评】本题考查的知识要点:复数的运算,复数的模,主要考查学生的理解能力和计算能力,属于基 础题. 四、考点清单 1.复数的有关概念 (1)复数的定义 形如a+bi(a,b∈R)的数叫做复数,其中实部是a,虚部是b. (2)复数的分类 复数z=a+bi(a,b∈R) (3)复数相等 a+bi=c+di⇔ a = c 且 b = d (a,b,c,d∈R). (4)共轭复数 a+bi与c+di共轭⇔ a = c 且 b =- d (a,b,c,d∈R). (5)复数的模 资料收集整理【淘宝店铺:向阳百分百】 5向量OZ的模叫做复数z=a+bi的模,记作 | z |或 | a + b i |,即|z|=|a+bi|=r=(r≥0,a,b∈R). 2.复数的几何意义 (1)复数z=a+bi 复平面内的点Z(a,b)(a,b∈R). (2)复数z=a+bi(a,b∈R) 平面向量OZ. 3.复数的运算 (1)复数的加、减、乘、除运算法则 设z=a+bi,z=c+di(a,b,c,d∈R),则 1 2 ①加法:z+z=(a+bi)+(c+di)= ( a + c ) + ( b + d ) i ; 1 2 ②减法:z-z=(a+bi)-(c+di)= ( a - c ) + ( b - d ) i ; 1 2 ③乘法:z·z=(a+bi)·(c+di)= ( ac - bd ) + ( ad + bc ) i ; 1 2 ④除法:=== + i(c+di≠0). (2)复数加法的运算定律 复数的加法满足交换律、结合律,即对任何z ,z ,z∈C,有z +z =z + z ,(z +z)+z =z + ( z + 1 2 3 1 2 2 1 1 2 3 1 2 z). 3 <常用结论> 1.三个易误点 (1)两个虚数不能比较大小. (2)利用复数相等a+bi=c+di列方程时,注意a,b,c,d∈R的前提条件. (3)注意不能把实数集中的所有运算法则和运算性质照搬到复数集中来.例如,若z ,z∈C,z+z= 1 2 0,就不能推出z=z=0;z2<0在复数范围内有可能成立. 1 2 2.复数代数运算中常用的三个结论 在进行复数的代数运算时,记住以下结论,可提高计算速度. (1)(1±i)2=±2i;=i;=-i. (2)-b+ai=i(a+bi). (3)i4n=1,i4n+1=i,i4n+2=-1,i4n+3=-i,i4n+i4n+1+i4n+2+i4n+3=0,n∈N*. 五、题型方法 一.虚数单位i、复数(共5小题) 1.(2023•阿拉善盟一模)已知复数z满足(z﹣2)i=1+i,那么复数z的虚部为( ) A.1 B.﹣1 C.i D.﹣i 【分析】利用复数Z的代数形式,根据复数根据等于实部,乘除运算化简复数为a+bi即可得到结果. 【解答】解:复数z满足(z﹣2)i=1+i,z= =﹣i(1+i)+2=﹣i+3; 故选:B. 资料收集整理【淘宝店铺:向阳百分百】 6【点评】本题是基础题,考查复数的基本概念,复数的乘除运算,考查计算能力. 2.(2023•芦溪县校级一模)设复数 =a+bi(a,b R)则a+b=( ) A.1 B.2 C.﹣1∈ D.﹣2 【分析】利用两个复数相等的充要条件,先利用复数的除法化简,得到a、b的值,从而可求a+b. 【解答】解: ,∴ ,∴a+b=1, 故选:A. 【点评】本题考查两个复数相等的充要条件,考查复数的概念,属于基础题. 3.(2023•琼山区校级一模)设a,b为实数,若复数 ,则( ) A. B.a=3,b=1 C. D.a=1,b=3 【分析】先化简,然后用复数相等的条件,列方程组求解. 【解答】解:由 可得1+2i=(a﹣b)+(a+b)i,所以 ,解得 , , 故选:A. 【点评】本题考查了复数相等的概念及有关运算,考查计算能力.是基础题. 4.(2023•绵阳模拟)复数z=2﹣i(i是虚数单位)的虚部为( ) A.﹣i B.i C.﹣1 D.2 【分析】直接利用复数的基本概念得答案. 【解答】解:复数z=2﹣i的虚部为﹣1. 故选:C. 【点评】本题考查复数的基本概念,是基础的概念题. 5.(2023•南关区校级模拟)已知a,b R,a+3i=(b+i)i(i为虚数单位),则( ) A.a=1,b=﹣3 B.a=﹣1,b=∈ 3 C.a=﹣1,b=﹣3 D.a=1,b=3 【分析】利用复数的乘法运算化简,再利用复数的相等求解. 【解答】解:∵a+3i=(b+i)i=﹣1+bi,a,b R, ∴a=﹣1,b=3, ∈ 故选:B. 【点评】本题考查复数代数形式的乘法运算,考查了复数的相等,是基础题. 二.复数的代数表示法及其几何意义(共15小题) 资料收集整理【淘宝店铺:向阳百分百】 76.(2023•长宁区二模)设复平面上表示2﹣i和3+4i的点分别为点A和点B,则表示向量 的复数在复 平面上所对应的点位于( ) A.第一象限 B.第二象限 C.第三象限 D.第四象限 【分析】根据条件可写出表示向量 的复数,然后即可得出该复数所位于的象限. 【解答】解:根据题意知,表示向量 的复数为1+5i, ∴在复平面上所对应的点为(1,5)位于第一象限. 故选:A. 【点评】本题考查了复数和复平面内的点的对应关系,复数和向量的对应关系,考查了计算能力,属于 基础题. 7.(2023•秀英区校级三模)复数z= 在复平面内对应的点位于( ) A.第一象限 B.第二象限 C.第三象限 D.第四象限 【分析】先利用复数的运算法则求出复数z,然后得到对应的点的坐标,从而可判断点所在的象限. 【解答】解:复数 z= = 复平面内对应的点为 , 故复数z= 在复平面内对应的点位于第一象限. 故选:A. 【点评】本题考查了复数的运算和复数的几何意义,属于基础题. 8.(2023•广西模拟)在复平面内,复数i(2﹣i)对应的点位于( ) A.第一象限 B.第二象限 C.第三象限 D.第四象限 【分析】首先进行复数的乘法运算,得到复数的代数形式的标准形式,根据复数的实部和虚部写出对应 的点的坐标,看出所在的象限. 【解答】解:∵复数z=i(2﹣i)=﹣i2+2i=1+2i ∴复数对应的点的坐标是(1,2) 资料收集整理【淘宝店铺:向阳百分百】 8这个点在第一象限, 故选:A. 【点评】本题考查复数的代数表示法及其几何意义,本题解题的关键是写成标准形式,才能看出实部和 虚部的值. 9.(2023•天津模拟)已知复数z= (i是虚数单位),则复数z在复平面内对应的点位于第 一 象限. 【分析】先化简复数z,进而判断其在复平面内对应的点所在的象限. 【解答】解: ,其在复平面内对应的点为(2,1),位于第一象限. 故答案为:一. 【点评】本题考查复数的运算以及复数的几何意义,属于基础题. 10.(2023•河南模拟)已知a为实数,若复数z=a2﹣3a﹣4+(a+1)i为纯虚数,则复数a﹣ai在复平面 内对应的点位于( ) A.第一象限 B.第二象限 C.第三象限 D.第四象限 【分析】利用纯虚数的定义求出a,即可判断作答. 【解答】解:因为复数z=a2﹣3a﹣4+(a+1)i为纯虚数,则 ,解得a=4, 所以复数4﹣4i在复平面内对应的点(4,﹣4)位于第四象限. 故选:D. 【点评】本题主要考查纯虚数的定义,属于基础题. 11.(2023•江苏模拟)若复数z满足(1﹣i)z=i,则在复平面内z表示的点所在的象限为( ) A.第一象限 B.第二象限 C.第三象限 D.第四象限 【分析】化z为a+bi的形式,结合复数的几何意义确定z所在象限. 【解答】解:依题意 , 复数z的对应点 在第二象限. 故选:B. 【点评】本题主要考查复数的几何意义,属于基础题. 12.(2023•河南模拟)若复数z满足|z+1|=|z﹣i|,且z在复平面内对应的点为(x,y),则( ) A.x=1 B.y=1 C.x+y=0 D.x﹣y=0 资料收集整理【淘宝店铺:向阳百分百】 9【分析】由已知可得z=x+yi(x,y R),代入|z+1|=|z﹣i|,利用复数的模相等列式化简得答案. 【解答】解:由题意,z=x+yi(x,∈y R), ∈ 由|z+1|=|z﹣i|,得 , 整理得:x+y=0, 故选:C. 【点评】本题考查复数的代数表示法及其几何意义,考查复数模的求法,是基础题. 13.(2023•渭南二模)棣莫弗公式(cos +isin )n=cosn +isinn (i为虚数单位)是由法国数学家棣莫弗 θ θ θ θ (1667﹣1754)发现的.若复数z满足 ,复数z对应的点在复平面内 的( ) A.第一象限 B.第二象限 C.第三象限 D.第四象限 【分析】根据复数运算求得z,进而确定z对应点所在象限. 【 解 答 】 解 : , , , , , 复数z对应的点 在复平面内位于第四象限. 故选:D. 【点评】本题主要考查复数的四则运算,以及复数的几何意义,属于基础题. 14.(2023•江西模拟)如果一个复数的实部和虚部相等,则称这个复数为“等部复数”,若复数 z= (2+ai)i(其中a R)为“等部复数”,则复数 在复平面内对应的点在( ) A.第一象限 ∈ B.第二象限 C.第三象限 D.第四象限 【分析】根据复数的四则运算,以及等部复数的定义,求出 z,再结合共轭复数的定义,以及复数的几 何意义,即可求解. 【解答】解:z=(2+ai)i=﹣a+2i为“等部复数”, 资料收集整理【淘宝店铺:向阳百分百】 10则﹣a=2,解得a=﹣2, 故z=2+2i, , 所以复数 在复平面内对应的点(2,﹣2)在第四象限. 故选:D. 【点评】本题主要考查复数的四则运算,以及复数的性质,属于基础题. (多选)15.(2023•武进区校级二模)18世纪末期,挪威测量学家威塞尔首次利用坐标平面上的点来表 示复数,使复数及其运算具有了几何意义,例如|z|=|OZ|,也即复数z的模的几何意义为z对应的点Z到 原点的距离.下列说法正确的是( ) A.若|z|=1,则z=±1或z=±i B.复数6+5i与﹣3+4i分别对应向量 与 ,则向量 对应的复数为9+i C.若点Z的坐标为(﹣1,1),则 对应的点在第三象限 D.若复数z满足 ,则复数z对应的点所构成的图形面积为 π 【分析】对于A,结合特殊值法,即可求解, 对于B,结合向量的运算法则,即可求解, 对于C,结合共轭复数的定义,以及复数的几何意义,即可求解, 对于D,结合复数的几何意义,即可求解. 【解答】解:令z= ,满足|z|=1,故A错误, 复数6+5i与﹣3+4i分别对应向量 与 , 则 ,故B正确, ∵点Z的坐标为(﹣1,1), ∴ 对应的点(﹣1,﹣1)在第三象限,故C错误, 设z=a+bi,a,b R, ∈ ∵复数z满足 , ∴1≤a2+b2≤2, 资料收集整理【淘宝店铺:向阳百分百】 11∴复数z对应的点所构成的图形面积为 ,故D正确. 故选:BCD. 【点评】本题主要考查复数的几何意义,考查向量的运算,属于基础题. 16.(2023•鼓楼区校级模拟)已知复数z=1+2i,若in⋅z(n N*)在复平面内对应的点位于第四象限,写 出一个满足条件的n= 3 (答案不唯一) . ∈ 【分析】根据已知条件,结合复数的几何意义,以及复数的四则运算,即可求解. 【解答】解:当n=3时, i3•z=(﹣i)•(1+2i)=2﹣i,其在复平面内对应的点(2,﹣1)位于第四象限. 故答案为:3(答案不唯一). 【点评】本题主要考查复数的几何意义,以及复数的四则运算,属于基础题. 17.(2023•益阳模拟)在复平面内,复数z=i(a+i)对应的点在直线x+y=0上,则实数a= 1 . 【分析】利用复数的运算法则、几何意义即可得出. 【解答】解:在复平面内,复数z=i(a+i)=﹣1+ai对应的点(﹣1,a)在直线x+y=0上, ∴﹣1+a=0,解得a=1. 故答案为:1. 【点评】本题考查了复数的运算法则、几何意义,考查了推理能力与计算能力,属于基础题. 18.(2023•黄州区校级二模)已知复数z满足|z|=1,则|z+3﹣4i|(i为虚数单位)的最大值为( ) A.4 B.5 C.6 D.7 【分析】求出圆心O(0,0)与点P(﹣3,4)的距离d.可得|z+3﹣4i|(i为虚数单位)的最大值为 d+r. 【解答】解:圆心O(0,0)与点P(﹣3,4)的距离d= =5. ∴|z+3﹣4i|(i为虚数单位)的最大值为5+1=6. 故选:C. 【点评】本题考查了复数几何意义、圆的方程、两点之间的距离公式,考查了推理能力与计算能力,属 于基础题. 19.(2023•宝鸡三模)设i是虚数单位,复数 为复数z的共轭复数,若满足 ,则复数z在复 平面内对应的点在( ) A.第一象限 B.第二象限 C.第三象限 D.第四象限 资料收集整理【淘宝店铺:向阳百分百】 12【分析】根据复数的乘、除法运算可得 ,由共轭复数的概念可得z=1﹣i,结合复数的几何意义 即可求解. 【解答】解:由题意知, , 所以z=1﹣i,在复平面内对应的点为(1,﹣1),在第四象限. 故选:D. 【点评】本题主要考查复数的四则运算,以及共轭复数的定义,属于基础题. 20.(2023•株洲一模)已知 i为虚数单位,若复数 z满足 z•i=2+3i,则在复平面内 z对应的点位于 ( ) A.第一象限 B.第二象限 C.第三象限 D.第四象限 【分析】根据已知条件,结合复数的四则运算,求出z,再结合复数的几何意义,即可求解. 【解答】解:z•i=2+3i, 则z= , 故在复平面内z对应的点(3,﹣2)位于第四象限. 故选:D. 【点评】本题主要考查复数的四则运算,复数的几何意义,属于基础题. 三.纯虚数(共9小题) 21.(2023•重庆模拟)若复数 (i为虚数单位,a,b R且b≠0)为纯虚数,则 =( ) ∈ A. B. C. D. 【分析】根据已知条件,结合纯虚数的定义,以及复数的四则运算,即可求解. 【解答】解: = = i为纯虚数, 则 ,即4a+3b=0, 故 . 故选:D. 【点评】本题主要考查纯虚数的定义,以及复数的四则运算,属于基础题. 资料收集整理【淘宝店铺:向阳百分百】 1322.(2023•重庆模拟)设复数z= (a R,i为虚数单位),若z为纯虚数,则a=( ) A.﹣1 B.0 ∈ C.1 D.2 【分析】根据复数的基本运算,即可得到结论. 【解答】解:z= = = , 若z为纯虚数,则 且 , 解a=1, 故选:C. 【点评】本题主要考查复数的有关概念,利用复数的基本运算先化简是解决本题的关键. 23.(2023•陕西模拟)复数z=(a2﹣1)+(a+1)i(a R)为纯虚数,则a的取值是( ) A.3 B.﹣2 C.﹣1∈ D.1 【分析】实部为0而虚部不为0的虚数被称为纯虚数,由此定义建立关系式,不难得到本题的答案. 【解答】解:∵z=(a2﹣1)+(a+1)i是纯虚数 ∴a2﹣1=0且a+1≠0,解之得a=1 故选:D. 【点评】本题给出含字母参数的虚数为纯虚数,求参数a的值,着重考查了复数的代数形式和纯虚数的 定义等知识,属于基础题. 24.(2023•桃城区校级模拟)已知复数(m2+3m﹣4)+(m2﹣2m﹣24)i(m R)是纯虚数,则m= 1 . ∈ 【分析】由纯虚数的定义可得m2+3m﹣4=0,m2﹣2m﹣24≠0,解出即可得结论. 【解答】解:∵(m2+3m﹣4)+(m2﹣2m﹣24)i(m R)是纯虚数, 则m2+3m﹣4=0,m2﹣2m﹣24≠0, ∈ 解得m=1. 故答案为:1. 【点评】本题考查了纯虚数的定义、方程与不等式的解法,考查了推理能力与计算能力,属于基础题. 25.(2023•天津模拟)若复数 为纯虚数,则|2+ai|= . 【分析】根据已知条件,结合纯虚数的定义,以及复数模公式,即可求解. 【解答】解:∵ = = 为纯虚数, 资料收集整理【淘宝店铺:向阳百分百】 14则 ,解得a=1, 故|2+ai|=|2+i|= . 故答案为: . 【点评】本题主要考查纯虚数的定义,以及复数模公式,属于基础题. 26.(2023•红山区模拟)已知纯虚数z=(1+i)m2﹣(4+i)m+3,其中i为虚数单位,则实数m的值为( ) A.1 B.3 C.1或3 D.0 【分析】根据已知条件,结合纯虚数的定义,即可求解. 【解答】解:纯虚数z=(1+i)m2﹣(4+i)m+3=m2﹣4m+3+(m2﹣m)i, 则 ,解得m=3. 故选:B. 【点评】本题主要考查纯虚数的定义,属于基础题. 27.(2023•威海一模)若 是纯虚数,则a=( ) A.﹣1 B.1 C.﹣9 D.9 【分析】先将复数化简,再根据纯虚数列出方程组求解即可. 【解答】解: , 因为 是纯虚数, 故 ,解得a=﹣1. 故选:A. 【点评】本题主要考查纯虚数的定义,属于基础题. 28.(2023•毕节市模拟)已知复数z=a2+a+(a+1)i为纯虚数,则实数a的值为( ) A.0 B.0或﹣1 C.1 D.﹣1 【分析】根据复数的类型可得出关于a的等式与不等式,解之即可. 资料收集整理【淘宝店铺:向阳百分百】 15【解答】解:因为复数z=a2+a+(a+1)i为纯虚数,则 ,解得a=0. 故选:A. 【点评】本题主要考查纯虚数的定义,属于基础题. 29.(2023•和平区校级二模)i是虚数单位,若复数 为纯虚数,则b= ﹣ 1 . 【分析】复数 化为a+bi的形式,它是纯虚数,则a=0且b≠0即可求出答案. 【解答】解: = = ,它是纯虚数,只需b=﹣1. 故答案为:﹣1 【点评】本题是复数代数形式的运算,以及复数的分类,特别注意复数的除法运算实质是分母实数化的 过程,是基础题.也是高考考点. 四.复数的运算(共16小题) 30.(2023•宜章县二模)已知复数z是一元二次方程x2﹣2x+2=0的一个根,则|z|的值为( ) A.1 B. C.0 D.2 【分析】根据题意,设复数z=a+bi,把z代入x2﹣2x+2=0中求出a、b的值,再计算|z|. 【解答】解:设复数z=a+bi,a、b R,i是虚数单位, 由z是x2﹣2x+2=0的复数根, ∈ ∴(a+bi)2﹣2(a+bi)+2=0, 即(a2﹣b2﹣2a+2)+(2ab﹣2b)i=0, ∴ , 解得a=1,b=±1, ∴z=1±i, ∴|z|= . 故选:B. 【点评】本题考查了复数的代数运算和模长公式问题,是基础题. 31.(2023•鄠邑区模拟) 的值为( ) 资料收集整理【淘宝店铺:向阳百分百】 16A.1 B.﹣1 C.i D.﹣i 【分析】首先进行复数的除法运算,分子和分母同乘以分母的共轭复数,整理成最简形式,是一个纯虚 数. 【解答】解:∵ ∴ = , 故选:C. 【点评】本题考查复数的求模,本题解题的关键是把复数整理成复数的代数形式的标准形式,得到实部 和虚部,求出模长. 32.(2023•茂南区校级三模)复数 的虚部为( ) A. B. C. D. 【分析】化简复数 为a+bi的形式,写出它的虚部即可. 【解答】解:复数 = =﹣ ﹣ i, 该复数的虚部为﹣ . 故选:C. 【点评】本题考查了复数的代数形式运算问题,是基础题. 33.(2023•深圳一模)已知i为虚数单位,(1+i)z=2,则z=( ) A.1+i B.1﹣i C.﹣1+i D.﹣1﹣i 【分析】利用复数的性质化简求值即可. 【解答】解:∵(1+i)z=2, ∴z= = =1﹣i, 故选:B. 【点评】本题考查复数的运算,考查学生计算能力,属于基础题. 34.(2023•福田区校级模拟)已知复数z满足(1﹣i)z=2,则z=( ) A.﹣1﹣i B.﹣1+i C.1﹣i D.1+i 【分析】利用复数的运算法则即可得出. 资料收集整理【淘宝店铺:向阳百分百】 17【解答】解:z= , 故选:D. 【点评】本题考查了复数的运算法则,属于基础题. 35.(2023•开封三模)已知z(2+i)=1,则复数z的虚部为( ) A. B. C. D. 【分析】利用复数的四则运算及定义计算即可. 【解答】解:由z(2+i)=1可得 ,即虚部为 . 故选:A. 【点评】本题主要考查复数的四则运算,以及虚部的定义,属于基础题. 36.(2023•贵阳模拟)在复平面内,复数z对应的点的坐标为(1,2),则zi=( ) A.2+i B.﹣2+i C.﹣2﹣i D.1+2i 【分析】由复数的几何意义确定复数z,再由复数乘法求zi. 【解答】解:因为复数z对应的点的坐标为(1,2), 所以z=1+2i, 所以zi=i+2i2=﹣2+i. 故选:B. 【点评】本题主要考查复数的四则运算,以及复数的几何意义,属于基础题. 37.(2023•沈阳三模)在复平面内,复数z ,z 对应的点分别是(2,﹣1),(1,﹣3),则 的虚部 1 2 是( ) A.i B.﹣i C.1 D.﹣1 【分析】由复数z ,z 对应的点分别求出z ,z ,代入 化简计算,进而可得 的虚部. 1 2 1 2 【解答】解:复数z ,z 对应的点分别是(2,﹣1),(1,﹣3), 1 2 则z =2﹣i,z =1﹣3i, 1 2 ,其虚部为﹣1. 故选:D. 资料收集整理【淘宝店铺:向阳百分百】 18【点评】本题主要考查复数的四则运算,复数的几何意义,属于基础题. 38.(2023•海阳市校级模拟)若复数z满足(1+z)(1﹣i)=2,则复数z的虚部为( ) A.i B.﹣i C.1 D.﹣1 【分析】根据复数的除法法则得到z=i,求出虚部. 【解答】解:由(1+z)(1﹣i)=2得 , 故复数z的虚部为1. 故选:C. 【点评】本题主要考查复数的四则运算,属于基础题. 39.(2023•全国三模)已知i3=a﹣bi(a,b R),则a+b的值为( ) A.﹣1 B.0 ∈ C.1 D.2 【分析】由复数相等的充要条件可得a,b的值. 【解答】解:因为i3=a﹣bi(a,b R),所以﹣i=a﹣bi, 由复数相等的充要条件得a=0,b=∈1,所以a+b=1. 故选:C. 【点评】本题主要考查复数相等的充要条件,属于基础题. 40.(2023•海淀区校级模拟)已知复数 =2+i,x,y R,则x+y=( ) A.2 B.3 C.4 ∈ D.5 【分析】根据复数的除法运算法则,可得 = ﹣ i,再利用复数相等的条件,即可得解. 【解答】解: = = = ﹣ i, 因为 =2+i, 所以 ﹣ i=2+i, 所以 ,解得 , 所以x+y=4. 故选:C. 资料收集整理【淘宝店铺:向阳百分百】 19【点评】本题考查复数的运算,熟练掌握复数的代数运算法则是解题的关键,考查逻辑推理能力和运算 能力,属于基础题. 41.(2023•红桥区一模)已知(a﹣i)2=2i,其中i是虚数单位,那么实数a= ﹣ 1 . 【分析】直接化简方程,利用复数相等条件即可求解. 【解答】解:a2﹣2ai﹣1=a2﹣1﹣2ai=2i,a=﹣1 故答案为:﹣1 【点评】考查复数的代数形式的混合运算,复数相等条件,易错处增根a=1没有舍去.高考基本得分 点. 42.(2023•镇安县校级模拟)已知i为虚数单位,则 =( ) A. B. C. D. 【分析】由复数的四则运算法则计算可得. 【解答】解: = = = . 故选:D. 【点评】本题考查复数的运算,属于基础题. 43.(2023•皇姑区校级模拟) =( ) A. B. C. D. 【分析】根据已知条件,结合欧拉公式,以及复数的几何意义,即可求解. 【解答】解: =[cos(﹣45°)+sin(﹣45°)i]9=cos(﹣405°)+sin(﹣405)°i, 故 =(cos75°+isin75°)[cos(﹣405°)+sin(﹣405)°i] =cos(﹣330°)+sin(﹣330°)i= . 故选:A. 【点评】本题主要考查复数的四则运算,属于中档题. 资料收集整理【淘宝店铺:向阳百分百】 2044.(2023•宝鸡二模)设z ,z 为复数,则下列说法正确的为( ) 1 2 A.若 ,则z =z =0 1 2 B.若|z |=|z |,则z ,z 互为共轭复数 1 2 1 2 C.若a R,i为虚数单位,则(a+1)•i为纯虚数 ∈ D.若z ≠0,则| |= 2 【分析】由z =1,z =i,可判断A;由z =1+2i,z =2+i,可判断B;当a=﹣1时,可判断C;设z = 1 2 1 2 1 a+bi,(a,b R且不同时为0),z =c+di(c,d R),运算可判断D. 2 【解答】解:∈对于A:当z =1,z =i时,z 2+z 2=∈0,故A选项错误; 1 2 1 2 对于B:当z =1+2i,z =2+i,可得|z |=|z |= ,z ,z 不为共轭复数,故B错误; 1 2 1 2 1 2 对于C:当a=﹣1时,(a+1)•i=0,不为纯虚数,故C错误; 对于D:设z =a+bi,(a,b R且不同时为0),z =c+di(c,d R), 1 2 ∈ ∈ | |=| |=| |=| |= = = = ,故D正确. 故选:D. 【点评】本题主要考查复数模的计算,考查计算能力,属中档题. (多选)45.(2023•沙坪坝区校级模拟)定义复数的大小关系:已知复数 z =a +b i,z =a +b i,a , 1 1 1 2 2 2 1 a ,b ,b R.若a >a 或(a =a 且b >b ),称z >z ;若a =a 且b =b ,称z =z .其余情形均 2 1 2 1 2 1 2 1 2 1 2 1 2 1 2 1 2 ∈ 为z <z .复数u,v,w分别满足:u2+u+1=0, ,|w+1|=1,则( ) 1 2 A.u<v<w B.u=v=w C.v>u=w D.w<u<v 【分析】此题定义了复数大小的比较方式,只需分别解出u,v,以及w满足的条件,即可根据定义比 较大小. 【解答】解:设u=a+bi(a R,b R), 由u2+u+1=0可得:(a+bi)∈2+a+b∈i+1=0, 资料收集整理【淘宝店铺:向阳百分百】 21即a2﹣b2+a+1+(2ab+b)i=0, ∴ ,解得a=﹣ ,b=± , ∴u=﹣ + i或u=﹣ ﹣ i; v= = =1+ ; 设w=m+ni(m R,n R),由|w+1|=1可得: (m+1)2+n2=1∈,由复∈数的几何意义可知, w在复平面上对应的点位于以(﹣1,0)为圆心,半径为1的圆上. ∴﹣2≤m≤0,﹣1≤n≤1, ∵1+ >﹣ ,1+ >m,由题意知:v>u,v>w, 又当m=﹣ 时,n=± ,此时,u=w, 当﹣2≤m<﹣ 时,由题意得:u>w, 当﹣ <m≤0时,由题意得:u<w, 综上所述,三者的大小关系可能是v>u>w或v>w>u或v>u=w. 故选:CD. 【点评】本题属新定义型题目,紧扣定义,结合复数的意义,属中档题. 五.共轭复数(共8小题) 46.(2023•连云港模拟)复数 的共轭复数是( ) A.i+2 B.i﹣2 C.﹣2﹣i D.2﹣i 【分析】首先要对所给的复数进行整理,分子和分母同乘以分母的共轭复数,化简到最简形式,把得到 的复数虚部变为相反数,得到要求的共轭复数. 【解答】解:∵复数 = =﹣2﹣i, ∴共轭复数是﹣2+i 故选:B. 资料收集整理【淘宝店铺:向阳百分百】 22【点评】复数的加减乘除运算是比较简单的问题,在高考时有时会出现,若出现则是要我们一定要得分 的题目. 47.(2023•锦江区校级模拟)已知复数z= 为虚数单位),则 的虚部为( ) A. B. C. D. 【分析】化简复数z,求出共轭复数 ,再写出 的虚部. 【解答】解:复数z= ﹣2i= ﹣2i= ﹣2i= ﹣ i, 所以 = + i, 所以 的虚部为 . 故选:B. 【点评】本题考查了复数的定义与运算问题,也考查了运算求解能力,是基础题. 48.(2023•周至县三模)复数z满足(2+i)z=5+5i,则 =( ) A.﹣3+i B.﹣3﹣i C.3+i D.3﹣i 【分析】把已知等式变形,利用复数代数形式的乘除运算化简,再由共轭复数的概念得答案. 【解答】解:由(2+i)z=5+5i,得z= , 则 . 故选:D. 【点评】本题考查复数代数形式的乘除运算,考查复数的基本概念,是基础题. 49.(2023•阿勒泰地区三模)已知 a,b R,i 是虚数单位,若 a+2i 与 1+bi 互为共轭复数,则 b= ( ) ∈ A.1 B.﹣1 C.2 D.﹣2 【分析】由共轭复数的概念求解即可. 【解答】解:∵a+2i与1+bi互为共轭复数, ∴ . 资料收集整理【淘宝店铺:向阳百分百】 23故选:D. 【点评】本题主要考查共轭复数的定义,属于基础题. 50.(2023•广州一模)若复数z=3﹣4i,则 =( ) A. B. C. D. 【分析】根据已知条件,结合共轭复数的定义,以及复数模公式,即可求解. 【解答】解:z=3﹣4i, 则 , , 故 = . 故选:A. 【点评】本题主要考查共轭复数的定义,以及复数模公式,属于基础题. 51.(2023•福建模拟)已知z是方程x2﹣2x+2=0的一个根,则| |=( ) A.1 B. C. D.2 【分析】根据实系数一元二次方程的性质,结合共轭复数、复数模的性质进行求解即可. 【解答】解:因为方程x2﹣2x+2=0是实系数方程,且Δ=(﹣2)2﹣4×2=﹣4<0, 所以该方程有两个互为共轭复数的两个虚数根, 即 , 故 . 故选:B. 【点评】本题主要考查共轭复数的概念,以及复数模公式,属于基础题. 52.(2023•陕西三模)已知复数z满足 ,z在复平面内对应的点在第二象限,则z= ( ) A.﹣1﹣i B.1+i C.﹣1+i D.﹣2+i 【分析】设复数z=x+yi(x,y R),建立方程求出x,y的值,进而可以求解结论. ∈ 【解答】解:设复数z=x+yi(x,y R,且x<0,y>0),则 =x﹣yi, ∈ 资料收集整理【淘宝店铺:向阳百分百】 24由 ,可得2[x+yi﹣(x﹣yi)]+(x﹣yi)(x+yi)=2+4i, 解得x=﹣1(1舍),y=1, 所以z=﹣1+i, 故选:C. 【点评】本题考查了复数的运算性质,考查了学生的运算能力,属于基础题. 53.(2023•江西模拟)已知i为虚部单位,复数 为纯虚数,则 的虚部为( ) A.i B.1 C.﹣i D.﹣1 【分析】利用复数代数形式的乘除运算化简z,再由实部为0且虚部不为0求解a,则答案可求. 【解答】解:∵ = 为纯虚数, ∴ ,则a=±1, ∴z=i,则 ,即 的虚部为﹣1. 故选:D. 【点评】本题考查复数代数形式的乘除运算,考查复数的基本概念,是基础题. 六.复数的模(共7小题) 54.(2023•南江县校级模拟)已知复数z=(1+i)(1﹣2i),则|z|=( ) A. B.2 C. D.10 【分析】由复数的乘法公式和模的计算公式即可求解. 【解答】解:因为z=(1+i)(1﹣2i)=1﹣2i+i﹣2i2=3﹣i, 所以 . 故选:C. 【点评】本题主要考查复数的四则运算,以及复数模公式,属于基础题. 55.(2023•邢台一模)已知复数z=1﹣i,则|z2+z|=( ) A. B. C. D. 资料收集整理【淘宝店铺:向阳百分百】 25【分析】利用复数乘法的几何意义求复数的模即可. 【解答】解: . 故选:B. 【点评】本题考查复数的运算,属基础题. 56.(2023•驻马店三模)已知复数z满足 ,则|z|=( ) A.1 B. C. D. 【分析】直接根据复数的除法运算以及复数模的定义即可得到答案. 【解答】解: , 所以 . 故选:D. 【点评】本题主要考查复数的四则运算,属于基础题. 57.(2023•湖南三模)若z= +4﹣2i,则|z|=( ) A.5 B.4 C.3 D.2 【分析】先对已知复数进行化简,然后结合复数的模长公式求解即可. 【解答】解:因为z= +4﹣2i = +4﹣2i=4﹣3i; 所以|z|=5. 故选:A. 【点评】本题主要考查了复数的四则运算及复数模长公式,属于基础题. 58.(2023•东莞市校级三模)已知复数1+i是关于x的方程x2+px+q=0(p,q R)的一个根,则|p+qi|= ( ) ∈ A.4 B. C.8 D. 【分析】据实系数一元二次方程根与系数关系进行求解即可. 【解答】解:因为复数1+i是关于x的方程x2+px+q=0(p,q R)的一个根, ∈ 资料收集整理【淘宝店铺:向阳百分百】 26所以复数1﹣i也是关于x的方程x2+px+q=0(p,q R)的一个根, 所以有1+i+1﹣i=2=﹣p,(1+i)(1﹣i)=2=q,∈ 解得p=﹣2,q=2, 所以 . 故选:D. 【点评】本题主要考查复数的四则运算,属于基础题. 59.(2023•宁波一模)若 (a R,i为虚数单位),则|a﹣i|=( ) ∈ A. B. C. D. 【分析】把已知等式变形,再由复数代数形式的乘法运算化简,然后利用复数相等的条件求解a,再由 复数模的计算公式求解. 【解答】解:∴ ,∴a+i=(﹣1+2i)(1+i)=﹣3+i, 得a=﹣3, ∴ . 故选:B. 【点评】本题考查复数代数形式的乘除运算,考查复数相等的条件,考查复数模的求法,是基础题. (多选)60.(2023•思明区校级四模)已知复数z 对应的向量为 ,复数z 对应的向量为 ,下列 1 2 说法中正确的是( ) A.若|z +z |=|z ﹣z |,则 1 2 1 2 B.若 ,则|z |=|z | 1 2 C.若z 与z 在复平面上对应的点关于实轴对称,则z z =|z z | 1 2 1 2 1 2 D.若|z |=|z |,则 1 2 【分析】A.利用复数的几何意义求解判断;B.利用向量的数量积运算求解判断;C.设z =a+bi(a, 1 b R)求解判断;D.举例z =1+i,z =1﹣i判断. 1 2 ∈ 【解答】解:A.因为|z +z |=|z ﹣z |,所以| + |=| ﹣ |,则| + |2=| ﹣ | 1 2 1 2 资料收集整理【淘宝店铺:向阳百分百】 272,即4 • =0,则 ⊥ ,故A正确; B.因为( + )⊥( ﹣ ),所以( + )•( ﹣ )=0,即 2= 2,|z |=|z |,故B正确; 1 2 C.设 z =a+bi(a,b R),因为 z 与z 在复平面上对应的点关于实轴对称,则 z =a﹣bi(a, 1 1 2 2 b R),所以z z =a2+b∈2,|z z |=a2+b2,则z z =|z z |,故C正确; 1 2 1 2 1 2 1 2 ∈ D.如z =1+i,z =1﹣i,满足|z |=|z |,而z 2≠z 2,故D错误; 1 2 1 2 1 2 故选:ABC. 【点评】本题考查复数的模和复数的几何意义,是基础题. 六、易错分析 易错点1:纯虚数的条件不明晰 a  1、若复数 是纯虚数,则实数 ( ) A.1 B. 1 C. 0 D. 1 【错解】由复数 是纯虚数,得 ,解得: ,故选A. 【错因】复数 为纯虚数的充要条件是 ,错解中没有考虑实部不为零。 忽略了 . 【正解】B,由复数 是纯虚数,得 ,解得: , 易错点2:对复数的虚部理解错误 2、复数 ( 为虚数单位)的虚部是( ) 资料收集整理【淘宝店铺:向阳百分百】 281  5 A. B. C. D. 【错解】因为 ,故选B. 【错因】误认为复数 的虚部是 .虚部是 ,不是 . 【正解】复数 的虚部是 ,不是 . 的虚部是 ,不是 ,选B。 易错点3:乱用判别式 x2 (m2i)x(1mi)0 m 3、已知关于x的一元二次方程 有实数根,求 的取值范围. 【错解】由于一元二次方程有实数根,可得判别式: , 解得: 或 . 【错因】对于一元二次方程通过根的判别式来确定根的个数,这是在实数范围内才能成立的,在复数范围内 就不适用了.而本题中所给一元二次方程 ,其中含有虚数单位 ,则首先 要将其整理成复数的形式: ,利用复数相等的条件有: ,进而可求出 . 【正解】设方程的实数根为 ,代入方程有: , 整理化简可得: , 则有: , 可解得: 或 . 易错点4:忽略虚数不能比较大小 4、给出下列命题:① ;② ;③ ,其中正确命题的个数为 . A.0 B.1 C.2 D. 3 资料收集整理【淘宝店铺:向阳百分百】 29【错解】D 【错因】两个复数如果不全是实数,不能比较大小.本题易出现的错误是误认为②正确. 【正解】①正确;②错误,因为虚数不能比较大小;,③错误.故选B. 易错点5:利用 解题,忽略前提条件: 为实数 5、已知x为实数,y为纯虚数,且 ,求 的值. A.1 B. 1 C. 0 D. 1 【错解】由 得 ,所以 . 【错因】当 为实数时,有 . 错解中忽略了y为纯虚数. 【正解】因为x为实数,y为纯虚数,设 , 由 得 , 所以 ,所以 . 八.刷综合 一、单选题 1.(2021·江苏无锡·江苏省天一中学校考三模)已知复数 满足 ,且有 ,求 ( ) A. B. C. D.都不对 【答案】A 【解析】根据题意可设 ( 为虚数单位);然后再利用棣莫佛公式,可得 ,再根据复数的概念,可得 ,利用三角函数同角关系, 即可求出 的值,进而求出结果. 资料收集整理【淘宝店铺:向阳百分百】 30【详解】因为 ,设 ( 为虚数单位); 由棣莫佛公式,可得 , 所以 所以 ,即 因为 , 所以 ; 化简可得 ,即 所以 ,所以 ; 所以 . 故选:A. 【点睛】本题主要考查了复数模的运算,熟练掌握复数模的运算性质,是解决本题的关键. 2.(2022·上海奉贤·统考一模)复数 的模为1,其中 为虚数单位, ,则这样的 一共有( )个. A.9 B.10 C.11 D.无数 【答案】C 【分析】先根据复数 的模为1及复数模的运算公式,求得 即 ,接下来分 与 两种情况进行求解,结合 ,求出 的个数. 【详解】 ,其中 ,所以 资料收集整理【淘宝店铺:向阳百分百】 31,即 , ,当 时,① , ,所以 , ,因为 ,所以 或 ;② , ,所以 , ,因为 ,所以 , , , , 或 ;当 时,① , ,即 , ,因为 ,所以 ,② , ,即 , ,因为 ,所以 , , , , ,综上: , ,一共有11个. 故选:C 3.(2023·辽宁沈阳·东北育才学校校考模拟预测)若集合 , ,则 中元素的个数为( ) A.0 B.1 C.2 D.4 【答案】A 【分析】推导出集合 表示的图象为 , ,集合 表示的图象为双曲线 ,从 而 ,进而 中元素的个数为0. 【详解】解: 集合 , 集合 表示的图象为:半圆 , , , , , , 集合 的表示图象为:双曲线 , , ∴ 中元素的个数为0, 故选:A. 资料收集整理【淘宝店铺:向阳百分百】 32【点睛】本题主要考查交集中元素个数的求法,考查双曲线、圆、复数、反三角函数的性质等基础知识, 考查运算求解能力能力,属于难题. 4.(2022·辽宁沈阳·沈阳二十中校考三模)已知 ,且 为虚数单位,则 的最大值 是 ( ) A. B. C. D. 【答案】B 【分析】根据复数的几何意义,可知 中 对应点 的轨迹是以 为圆心, 为半径的圆, 而 表示圆上的点到 的距离,由圆的图形可得的 的最大值. 【详解】根据复数的几何意义,可知 中 对应点 的轨迹是以 为圆心, 为半径的圆. 表示圆C上的点到 的距离, 的最大值是 , 故选B 【点睛】本题主要考查了复数的几何意义,圆的性质,属于中档题. 5.(2020·上海闵行·统考二模)关于x的实系数方程 和 有四个不同的根,若 这四个根在复平面上对应的点共圆,则m的取值范围是( ) A. B. C. D. 【答案】D 【分析】根据条件分别设四个不同的解所对应的点为ABCD,讨论根的判别式,根据圆的对称性得到相应 判断. 【详解】解:由已知x2﹣4x+5=0的解为 ,设对应的两点分别为A,B, 得A(2,1),B(2,﹣1), 设x2+2mx+m=0的解所对应的两点分别为C,D,记为C(x ,y ),D(x ,y ), 1 1 2 2 (1)当△<0,即0<m<1时, 的根为共轭复数,必有C、D关于x轴对称,又因为A、B 关于x轴对称,且显然四点共圆; 资料收集整理【淘宝店铺:向阳百分百】 33(2)当△>0,即m>1或m<0时,此时C(x ,0),D(x ,0),且 =﹣m, 1 2 故此圆的圆心为(﹣m,0), 半径 , 又圆心O 到A的距离O A= , 1 1 解得m=﹣1, 综上:m∈(0,1)∪{﹣1}. 故选:D. 【点睛】本题考查方程根的个数与坐标系内点坐标的对应,考查一元二次方程根的判别式,属于难题. 6.(2023·全国·学军中学校联考模拟预测)已知复数 ,则 ( ) A.2022 B.2023 C. D. 【答案】B 【分析】根据题意结合复数运算可得 的方程 的根为 ,进而整理可得 ,取 即可得结果. 【详解】设 , 则 , 由题意可得: 可得关于 的方程 的根为 , 故 , 整理得 , 资料收集整理【淘宝店铺:向阳百分百】 34即 , 令 ,可得 , 且2022为偶数,所以 . 故选:B. 7.(2023·湖北·校联考模拟预测)设 是实系数一元二次方程 的两个根,若 是虚数, 是实数,则 ( ) A. B. C. D. 【答案】C 【分析】 是实系数一元二次方程 的两个根, 是共轭虚数, 是实数,结合共轭复数的 运算性质,可得 是1的立方虚根,再由1的立方虚根的特性,可得答案. 【详解】 是实系数一元二次方程 的两个虚数根, , 是实数, , ,即 或 ,而 资料收集整理【淘宝店铺:向阳百分百】 35. 故选:C 【点睛】本题考查实系数一元二次方程虚数根的关系,以及共轭复数的运算关系.对特殊复数的性质 的灵活应用是解题的关键,属于难题. 二、多选题 8.(2022·福建莆田·统考模拟预测)意大利数学家卡尔达诺(Cardano.Girolamo,1501-1576)发明了三次 方程的代数解法.17世纪人们把卡尔达诺的解法推广并整理为四个步骤: 第一步,把方程 中的 用 来替换,得到方程 ; 第二步,利用公式 将 因式分解; 第三步,求得 , 的一组值,得到方程 的三个根: , , (其中 , 为虚数单位); 第四步,写出方程 的根: , , . 某同学利用上述方法解方程 时,得到 的一个值: ,则下列说法正确的是 ( ) A. B. C. D. 【答案】ABC 【分析】根据三次方程的代数解法对选项进行分析,由此确定正确选项. 【详解】 依题意可知 是 次项系数,所以 ,A选项正确. 资料收集整理【淘宝店铺:向阳百分百】 36第一步,把方程 中的 ,用 来替换, 得 , 第二步,对比 与 , 可得 ,解得 ,B选项正确. 所以 ,C选项正确. ,D选项错误. 故选:ABC 三、双空题 9.(2022·江苏苏州·校联考模拟预测)任何一个复数 (其中a、 ,i为虚数单位)都可以表 示成: 的形式,通常称之为复数z的三角形式.法国数学家棣莫弗发现: ,我们称这个结论为棣莫弗定理.根据以上信息,若 , 时,则 ;对于 , . 【答案】 【分析】利用给定定理直接计算即得 ;令 ,求出等比数列 前 项的和, 再利用复数相等求解作答. 资料收集整理【淘宝店铺:向阳百分百】 37【详解】当 , 时, ,所以 ; ,令 ,则 , , , 而 ,则 , , 所以 . 故答案为:-i; 【点睛】思路点睛:涉及复数 的 次幂 的求和问题,可把 视为等比数列 的第n项,再借 助数列问题求解. 四、填空题 10.(2022·福建·校联考模拟预测)对任意三个模长小于1的复数 , , ,均有 恒成立,则实数 的最小可能值是 . 【答案】10 资料收集整理【淘宝店铺:向阳百分百】 38【分析】利用复数的三角形式结合余弦函数的性质可得 的取值范围,从而得到实 数 的最小可能值. 【详解】设 , , , 由题设有 . 又 , , 而 , 所以 , 而 ,当且仅当 终边相同时等号成立, 故 ,所以 , 故实数 的最小可能值为10, 故答案为:10. 11.(2022·江苏镇江·扬中市第二高级中学校考模拟预测)若 为虚数单位,复数 满足 , 则 的最大值为 . 【答案】 【分析】利用复数的几何意义知复数 对应的点 到点 的距离 满足 , 表示复数 对应的点 到点 的距离,数形结合可求得结果. 资料收集整理【淘宝店铺:向阳百分百】 39【详解】复数 满足 ,即 即复数 对应的点 到点 的距离 满足 设 , 表示复数 对应的点 到点 的距离 数形结合可知 的最大值 故答案为: 12.(2021·陕西咸阳·校考模拟预测)已知函数 为偶函数, 为奇 函数,其中 、 为常数,则 【答案】 【分析】由奇偶函数的定义列出关于 、 的方程组,求出它们的和与积的值,在转化为对应一元二次方 程的根,进而求出复数 和 ,再利用和与积的值和 求出 , , 等,找出具有 周期性 为3,再利用周期性求出式子的和. 【详解】解: 为偶函数, 为奇函数, , 即 , 资料收集整理【淘宝店铺:向阳百分百】 40解得 ; 复数 、 是方程 的两个根, 解得, , ; 已知 , ;则 , , 同理可求 , , , ,归纳出有周期性且 , 故答案为: . 【点睛】本题考查了奇(偶 函数的定义和复数的运算,再求复数的值时用到转化思想,求和式的值时利 用 找出每项的和的周期,利用周期性求所求和式的值. 13.(2023·河北·河北衡水中学校考模拟预测)若复数 ,且 ,则 . 【答案】 / 【分析】设 ,利用复数相等的性质得到点 轨迹是以 为 焦点,长轴为 的椭圆 ,从而利用图像平移变换的知识求得 点的坐标表示,进而利用三角换元法与 辅助角公式即可得解. 【详解】依题意,设 , 则 , 因为 ,所以 ,则 , 因为 ,即 , 所以 ,即 , 资料收集整理【淘宝店铺:向阳百分百】 41令 , , ,则 , 所以点 轨迹是以 为焦点,长轴为 的椭圆 , 因为 的中点为 ,记 ,则 , , 所以椭圆 的图像是由以 为焦点,长轴为 的椭圆 的图像先逆时针旋转 角度,再向 右平移4个单位,向下平移3个单位,得到的图像,椭圆 为实线部分,椭圆 为虚线部分,如图, . 因为在椭圆 中, ,则 , , 所以椭圆 的方程为 , 不妨设 为椭圆 上的点,则可设 , , 下面求 逆时针旋转 角度得到的点 , 以原点 为极点, 轴正半轴为极轴建立极坐标,则 ,其中 , 为 与 极轴所成角度, 所以 , 资料收集整理【淘宝店铺:向阳百分百】 42, 接着求 向右平移4个单位,向下平移3个单位得到的点 , 易得 , , 又因为 , , 所以 , , 所以 ,其中 , 因为 , 的最小正周期为 , 所以 ,则 , 所以 ,即 . 故答案为: . 【点睛】关皱点睛:本题的关键有两点: (1)利用椭圆的定义得到 的轨迹; (2)利用点的旋转平移得到 关于 的关系式. 五、解答题 14.(2022·黑龙江哈尔滨·哈尔滨三中校考模拟预测)在高等数学中,我们将 在 处可以用一 个多项式函数近似表示,具体形式为: (其中 表示 的n次导 数),以上公式我们称为函数 在 处的泰勒展开式. 资料收集整理【淘宝店铺:向阳百分百】 43(1)分别求 , , 在 处的泰勒展开式; (2)若上述泰勒展开式中的x可以推广至复数域,试证明: .(其中 为虚数单位); (3)若 , 恒成立,求a的范围.(参考数据 ) 【答案】(1)答案见解析 (2)证明见解析 (3) 【分析】(1)根据函数 在 处的泰勒展开式的公式即可求解; (2)把 在 处的泰勒展开式中的 替换为 ,利用复数的运算法则进行化简整理可得 ,从而即可证明; (3)根据 在 处的泰勒展开式,先证 恒成立,再证 , 恒成立,然后分 和 两种情况讨论即可求解. 【详解】(1)解:因为函数 在 处的泰勒展开式为 (其中 表示 的n次导 数), 所以 , , 在 处的泰勒展开式分别为: , , 资料收集整理【淘宝店铺:向阳百分百】 44; (2)证明:把 在 处的泰勒展开式中的 替换为 ,可得 , 所以 ,即 ; (3)解:由 在 处的泰勒展开式,先证 , 令 , ,易知 ,所以 在 上单调递增, 所以 ,所以 在 上单调递增,所以 , 所以 在 上单调递增,所以 , 再令 , ,易得 , 所以 在 上单调递增,在 上单调递减, 而 , 所以 恒成立, 当 时, ,所以 成立, 当 时,令 , ,易求得 , 所以必存在一个区间 ,使得 在 上单调递减, 资料收集整理【淘宝店铺:向阳百分百】 45所以 时, ,不符合题意. 综上所述, . 【点睛】关键点点睛:本题(3)问解题的关键是根据 在 处的泰勒展开式,先证 恒成立,再证 , 恒成立,从而即可求解. 15.(2022·上海浦东新·上海市实验学校校考模拟预测)设复平面上点 对应的复数 ( 为虚数单位)满足 ,点 的轨迹方程为曲线 . 双曲线 : 与 曲线 有共同焦点,倾斜角为 的直线 与双曲线 的两条渐近线的交点是 、 , , 为坐 标原点. (1)求点 的轨迹方程 ; (2)求直线 的方程; (3)设 PQR三个顶点在曲线 上,求证:当 是 PQR重心时, PQR的面积是定值. △ △ △ 【答案】(1) ;(2) ;(3)证明见解析. 【详解】试题分析:(1)【方法一】根据椭圆的定义可知,结合 ,即可求得点 的轨迹方程 ;【方法二】根据复数的性质,化简即可得点 的轨迹方程 ;(2)【方法一】根据双曲线 : 与曲线 有共同焦点,求得双曲线 的方程,进而可得双曲线 的渐近线方程,设直线 的方 程为 ,联立渐近线方程与直线 的方程,求得 , 的坐标,再根据 ,即可求得直线 的方程;【方法二】联立直线 的方程与双曲线的方程,结合韦达定理,再根据 ,即可求得直 资料收集整理【淘宝店铺:向阳百分百】 46线 的方程;(3)【方法一】设 , ,由 是△PQR重心可得 ,根据 ,即可求得定值; 【方法二】设 、 、 ,则有: ,推出 ,代入到椭圆 方程,结合 ,即可求得定值. 试题解析:(1)【方法一】由题意知,点 的轨迹为椭圆. ∵ ∴ ∴点 的轨迹方程 为 . 【方法二】由题意知 ,,整理得 . ∴点 的轨迹方程 为 (2)【方法一】∵ 与 有共同焦点 ∴ ,即 ∴双曲线 的方程为 ∴双曲线 的渐近线方程 设直线 的方程为 . 联立方程 ,得 . , ,即直线 的方程为 . 资料收集整理【淘宝店铺:向阳百分百】 47【方法二】∵ 与 有共同焦点 ∴ ,即 . ∴双曲线 的方程为 设直线 的方程为 ,联立方程 得到 . ∴ ∴ ,即直线 的方程为 . (3)【方法一】设 , . ∵ 为 的重心 ( . 不妨设 ,则 . 资料收集整理【淘宝店铺:向阳百分百】 48【方法二】设 、 、 ,则有: ,代入椭圆方程得: . 所以 . 点睛:定点、定值问题通常是通过设参数或取特殊值来确定“定点”是什么、“定值”是多少,或者将该 问题涉及的几何式转化为代数式或三角问题,证明该式是恒定的. 定点、定值问题同证明问题类似,在求 定点、定值之前已知该值的结果,因此求解时应设参数,运用推理,到最后必定参数统消,定点、定值显 现. 资料收集整理【淘宝店铺:向阳百分百】 49