当前位置:首页>文档>题型觉醒01历史选择题解题思路与方法(练习)(原卷版)_07高考历史_2025年新高考资料_二轮复习_01高考语文等多个文件_上好课2025年高考历史二轮复习讲练测(新高考通用)

题型觉醒01历史选择题解题思路与方法(练习)(原卷版)_07高考历史_2025年新高考资料_二轮复习_01高考语文等多个文件_上好课2025年高考历史二轮复习讲练测(新高考通用)

  • 2026-04-22 10:29:21 2026-04-22 10:29:21

文档预览

题型觉醒01历史选择题解题思路与方法(练习)(原卷版)_07高考历史_2025年新高考资料_二轮复习_01高考语文等多个文件_上好课2025年高考历史二轮复习讲练测(新高考通用)
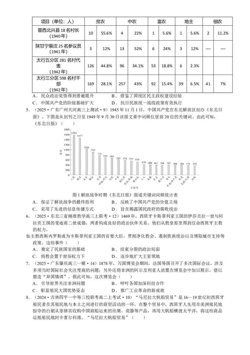
题型觉醒01历史选择题解题思路与方法(练习)(原卷版)_07高考历史_2025年新高考资料_二轮复习_01高考语文等多个文件_上好课2025年高考历史二轮复习讲练测(新高考通用)
题型觉醒01历史选择题解题思路与方法(练习)(原卷版)_07高考历史_2025年新高考资料_二轮复习_01高考语文等多个文件_上好课2025年高考历史二轮复习讲练测(新高考通用)
题型觉醒01历史选择题解题思路与方法(练习)(原卷版)_07高考历史_2025年新高考资料_二轮复习_01高考语文等多个文件_上好课2025年高考历史二轮复习讲练测(新高考通用)
题型觉醒01历史选择题解题思路与方法(练习)(原卷版)_07高考历史_2025年新高考资料_二轮复习_01高考语文等多个文件_上好课2025年高考历史二轮复习讲练测(新高考通用)
题型觉醒01历史选择题解题思路与方法(练习)(原卷版)_07高考历史_2025年新高考资料_二轮复习_01高考语文等多个文件_上好课2025年高考历史二轮复习讲练测(新高考通用)
题型觉醒01历史选择题解题思路与方法(练习)(原卷版)_07高考历史_2025年新高考资料_二轮复习_01高考语文等多个文件_上好课2025年高考历史二轮复习讲练测(新高考通用)
题型觉醒01历史选择题解题思路与方法(练习)(原卷版)_07高考历史_2025年新高考资料_二轮复习_01高考语文等多个文件_上好课2025年高考历史二轮复习讲练测(新高考通用)
题型觉醒01历史选择题解题思路与方法(练习)(原卷版)_07高考历史_2025年新高考资料_二轮复习_01高考语文等多个文件_上好课2025年高考历史二轮复习讲练测(新高考通用)
题型觉醒01历史选择题解题思路与方法(练习)(原卷版)_07高考历史_2025年新高考资料_二轮复习_01高考语文等多个文件_上好课2025年高考历史二轮复习讲练测(新高考通用)
题型觉醒01历史选择题解题思路与方法(练习)(原卷版)_07高考历史_2025年新高考资料_二轮复习_01高考语文等多个文件_上好课2025年高考历史二轮复习讲练测(新高考通用)
题型觉醒01历史选择题解题思路与方法(练习)(原卷版)_07高考历史_2025年新高考资料_二轮复习_01高考语文等多个文件_上好课2025年高考历史二轮复习讲练测(新高考通用)
题型觉醒01历史选择题解题思路与方法(练习)(原卷版)_07高考历史_2025年新高考资料_二轮复习_01高考语文等多个文件_上好课2025年高考历史二轮复习讲练测(新高考通用)
题型觉醒01历史选择题解题思路与方法(练习)(原卷版)_07高考历史_2025年新高考资料_二轮复习_01高考语文等多个文件_上好课2025年高考历史二轮复习讲练测(新高考通用)
题型觉醒01历史选择题解题思路与方法(练习)(原卷版)_07高考历史_2025年新高考资料_二轮复习_01高考语文等多个文件_上好课2025年高考历史二轮复习讲练测(新高考通用)
题型觉醒01历史选择题解题思路与方法(练习)(原卷版)_07高考历史_2025年新高考资料_二轮复习_01高考语文等多个文件_上好课2025年高考历史二轮复习讲练测(新高考通用)
题型觉醒01历史选择题解题思路与方法(练习)(原卷版)_07高考历史_2025年新高考资料_二轮复习_01高考语文等多个文件_上好课2025年高考历史二轮复习讲练测(新高考通用)
题型觉醒01历史选择题解题思路与方法(练习)(原卷版)_07高考历史_2025年新高考资料_二轮复习_01高考语文等多个文件_上好课2025年高考历史二轮复习讲练测(新高考通用)
题型觉醒01历史选择题解题思路与方法(练习)(原卷版)_07高考历史_2025年新高考资料_二轮复习_01高考语文等多个文件_上好课2025年高考历史二轮复习讲练测(新高考通用)
题型觉醒01历史选择题解题思路与方法(练习)(原卷版)_07高考历史_2025年新高考资料_二轮复习_01高考语文等多个文件_上好课2025年高考历史二轮复习讲练测(新高考通用)
题型觉醒01历史选择题解题思路与方法(练习)(原卷版)_07高考历史_2025年新高考资料_二轮复习_01高考语文等多个文件_上好课2025年高考历史二轮复习讲练测(新高考通用)
题型觉醒01历史选择题解题思路与方法(练习)(原卷版)_07高考历史_2025年新高考资料_二轮复习_01高考语文等多个文件_上好课2025年高考历史二轮复习讲练测(新高考通用)
题型觉醒01历史选择题解题思路与方法(练习)(原卷版)_07高考历史_2025年新高考资料_二轮复习_01高考语文等多个文件_上好课2025年高考历史二轮复习讲练测(新高考通用)
题型觉醒01历史选择题解题思路与方法(练习)(原卷版)_07高考历史_2025年新高考资料_二轮复习_01高考语文等多个文件_上好课2025年高考历史二轮复习讲练测(新高考通用)
题型觉醒01历史选择题解题思路与方法(练习)(原卷版)_07高考历史_2025年新高考资料_二轮复习_01高考语文等多个文件_上好课2025年高考历史二轮复习讲练测(新高考通用)
题型觉醒01历史选择题解题思路与方法(练习)(原卷版)_07高考历史_2025年新高考资料_二轮复习_01高考语文等多个文件_上好课2025年高考历史二轮复习讲练测(新高考通用)

文档信息

文档格式
docx
文档大小
1.401 MB
文档页数
22 页
上传时间
2026-04-22 10:29:21

文档内容

题型觉醒 01 历史选择题解题思路与方法 目 录 01 技巧运用练 【一】三审题干 【二】四辨选项 【三】遵循六原则 02 真题实战练 一、三审题干 1.明确选择范围——定时空 1.(2025·吉林“BEST”合作体高三上联考·2)春秋时代,在贤臣大夫的谏君行为中,有一种以“臣 闻(之)”和其他“自称闻(之)”等领起的征引现象,可称之为“闻言”。这些“闻言”大多以 第三方权威话语的形式出现,建构自身话语的权威性、合理性,具有很强的现实指向。此举旨在( ) A.维护君主专制集权 B.提升君主个人修养 C.捍卫周朝礼乐观念 D.服务君主治国理政 2.(2025·吉林“BEST”合作体高三上联考·9)甲午战争之后,清政府在国库亏空的情况下,多次向 外国银行筹措军事借款和赔款借款,达341457485两之巨。据下表可知( ) 1894—1898年军事借款和赔款借款(单位:折成库平银两) 1894年 1895年 1895年 1895年 1895年 1896年 1898年 德国国家 伦敦克萨银行 贷款 银行(瑞 俄法财团 汇丰银行 汇丰银行 汇丰银行 汇丰银行 (麦加利银行 者 记洋行经 十家银行 德华银行 德华银行 经手) 手) 数额 10000000 18653961 6217987 6217987 98968370 97622400 112776780 货厘、盐 担保 关税 关税 盐厘 盐课、厘金 关税 关税 厘 A.此举加剧清政府半殖民地化 B.皆为抵押担保借款利息高昂 C.列强资本输出威胁民族工业 D.借款激化了列强之间的矛盾 3.(2025·吉林“BEST”合作体高三上联考·14)1929年10月后,闽浙赣根据地逐渐形成了一套比 较完善、比较正确的土地政策。如在没收对象与范围方面,规定“没收豪绅地主阶级的土地、财 产”,寺庙、 祠堂等公共土地与财产,富农“给予别人种而自己收租的田”,而不是没收一切土地。又如在分配的土 地归属上,规定土地“可以自由买卖,可以出租出典,可以雇人耕种”,肯定农民的土地私有。根 据地的这些举措旨在( ) A.开辟中国革命的新道路 B.推动党的工作重心的转移 C.建立抗日民族统一战线 D.促进根据地的巩固与发展 4.(2025·安徽合肥一中高三上联考·8)如表是抗战时期敌后抗日根据地部分地区乡村政权成员阶层 构成分析统计表。据如表可知,当时根据地( )项目(单位:人) 贫农 中农 富农 地主 佃农 晋西北兴县18名村长 10 55.6% 4 22% 1 5.6% 1 5.6% 2 11.2% (1940年) 陕甘宁裴庄25名参议员 3 12% 13 52% 6 24% 3 12% — — (1941年) 太行五分区281名村代 表 126 44.8% 96 34.1% 53 18.8% 6 2.3% (1942年) 太行三分区598名村干 部 169 28.1% 257 43% 92 15.4% 39 6.5% 41 7% (1942年) A.民众政治觉悟得到普遍提升 B.借鉴了国统区民主政权建设经验 C.中国共产党的阶级基础扩大 D.抗日民族统一战线政策有效执行 5.(2025·广东广州天河高三上测试·9)1945年11月1日,中国共产党在东北解放区创办《东北日 报》。下图是从创刊之日至1949年9月30日该报文章中词频位居前20位的关键词。由此可知, 《东北日报》( ) 图1解放战争时期《东北日报》报道关键词词频统计表 A.保证了解放战争的最终胜利 B.反映了中国共产党的价值立场 C.采用了先进的信息传播方式 D.旨在揭露国民政府的腐败统治 6.(2025·东北三省精准教学高三上联考·12)1469年,西班牙卡斯蒂利亚王国的伊莎贝拉一世与阿 拉贡王国的斐迪南二世成婚,两者构成良好的政治伙伴关系。他们从教皇那里得到任命西班牙主教 的权力, 如主教西斯内罗斯成为卡斯蒂利亚王国的首要大臣,贯彻净化教会、遏制贵族统治以及博取城市支持等 政策。这些事件( ) A.奠定了民族国家的基础 B.结束分裂的政治局面 C.将教会置于世俗权力下 D.逐步地扩大王室领地 7.(2025·广东肇庆高三一模·14)1878年,万国博览会期间,法国等国召开了多次国际会议,涉及 多项当时国际社会关注度高的问题;另外还将非洲的阿尔及利亚人放置在博览会中加以展示,借以 塑造“异国情调”。据此可知,这次博览会( ) A.引导世界关注非洲问题 B.呼吁各国加深科技合作 C.彰显殖民大国优势姿态 D.推广工业革命的新成就 8.(2024·吉林四平一中等三校联考高二上考试·10)“马尼拉大帆船贸易”是16—19世纪初西班牙 殖民者在其殖民地与本土之间进行的商贸活动的一环。在整个贸易中,西班牙人先用在美洲殖民地 掠夺的白银从菲律宾收购中国商船运来的丝绸、瓷器等产品,再用大帆船横渡太平洋,将这些商品 运抵殖民地阿卡普尔科港。“马尼拉大帆船贸易”( )A.促进美洲生产方式的转变 B.推动亚洲贸易新中心形成 C.根本改变了中国国内经济结构 D.将中国卷入资本主义世界市场 9.(2025·广东广州天河高三上测试·12)下为古代世界四个帝国的疆域示意图。其中属于15—16世 纪奥斯曼帝国的是( ) 10.(2025·湖北华中师大新高考联盟高三上11月测评·16)1983年3月,在印度新德里召开了第七次 不结盟运动会议,并发表了政治宣言,其内容如下表所示。据此推知,不结盟运动( ) 构成不结盟政策精髓的一向是反对帝国主义、殖民主义、新殖民主义、种族隔 离,包括犹太复国主义在内的种族主义的斗争;反对一切形式的外国侵略、占 领、统治、干涉或霸权的斗争;以及反对把世界永远分为集团的大国集团政策的 斗争。 A.使国际合作从经济领域转向政治领域 B.促进了两大阵营的逐步分化 C.加速了世界帝国主义殖民体系的瓦解 D.成为国际舞台重要政治力量 2.关键词句-中心词(主语、主体或重心) 11.(2025·山东威海文登高三上模拟·1)北京琉璃河遗址西周墓地中,墓葬分为大、中、小三类,部 分大、中型墓袝葬有车马坑。墓葬间没有明确界标,分为6个组群,组群中以大墓为中心,布局有一 定规则,很少相互打破。这反映了西周时期( ) A.伦理道德观念加强 B.宗法制度等级森严 C.儒家思想影响深远 D.神权与族权相契合 12.(2025·东北三省精准教学高三上联考·4)蒙古早期的宫廷音乐风格简朴,成吉思汗时把西夏旧乐 引人宫廷,蒙哥汗时逐渐采用一部分中原音乐。元世祖以后,宋朝的雅乐在祭祀中被采用,宴乐则是 汉、党项等多个民族的乐队同陈并奏,逐步形成了恢宏、灿烂且独具特色的音乐风格。这一变化反映 出( ) A.军事征服导致文化趋同 B.双向交流促进音乐创新 C.文化交融推动艺术发展 D.宗教信仰影响贵族审美13.(2025·山东威海文登高三上模拟·6)1906年,在华游历的英国人布鲁斯曾记述:“兰州有一个雇 用了约100人的兵工厂,由一名曾在著名的上海兵工厂培训过的工头看管着。每名工人每月的薪水为 8两银子,这在中国是相当丰厚的”。他所记述的历史现象( ) A.符合晚清工业化的发展特点 B.说明洋务企业分布范围广泛 C.解释了工人阶级诞生的原因 D.反映了实业救国思潮的兴起 14.(2025·贵州黔南高三上模拟·13)到16、17世纪,一些西欧国家以政府名义担保,募集资金,设 立国家银行,这些新式银行开展存贷款业务,发布市场信息及与市场有关的政治新闻。这一时期,政 府更加支持财产私有权,支持股份公司在海外的经营活动,并为它们颁发“特许状”。这反映了( ) A.工业资本急需开拓海外市场 B.自由主义逐渐成为基本国策 C.早期资产阶级垄断国家政权 D.国家意志与商业利益的结合 15.(2025·安徽合肥一中高三上联考·15)二战后美国对外援助十分广泛,涵盖了美国对众多类型国家 在安全、经济社会治理和科教文卫等领域内的帮助。下表为战后各时期美国对外援助情况。由此可知 美 国对外援助( ) 1949—2007年美国对外援助主要情况(单位:百万美元) 时期 经济援助 军事援助 小计 马歇尔计划时期(1949—1952) 18634.30 10064.20 28698.50 共同安全法案时期(1953—1961) 24050.00 19302.20 43352.20 对外援助法时期(1962—2007) 465347.9 207352.8 672700.7 A.仅涉及经济军事领域 B.援助对象是欧洲国家 C.服务于国家战略发展 D.持续进行且规模缩小 2.审关键词句-题干语气(转折、递进、条件、肯定或否定) 16.【转折】(2025·湖南三湘名校联盟联考·8)宋以前,汉代名将卫青以为国家开疆拓土的功劳、为 人谦和的品行,受到了高度评价;然而,宋代的文人墨客对卫青的评价则转变得更加辩证;既肯定其 历史功绩,也对其政治方面有所诟病,如曾巩就提到“卫青非有罪,而身不免”。这一转变反映了宋 代( ) A.统治政策的调整 B.民族交融的进一步发展 C.边防压力的加剧 D.儒学统治地位受到冲击 17.【递进】(2025·重庆一中高三上期中·6)自秦以降,历代都实行过公私皆禁的禁酒政策。宋朝不 仅没有禁过酒,而且鼓励酿酒、饮酒。北宋开封有72座大酒楼,南宋杭州也是官私酒楼林立,批发 零售分店更是遍布大街小巷。宋朝实行这一政策,意在( ) A.促进商品经济繁荣 B.加强中央集权统治 C.提高国家赋税收入 D.丰富民众日常生活 18.【条件】(2025·湖南天一联考高三联考·16)1871年9月,第一国际伦敦代表会议通过的由马克 思、恩格斯起草的《关于工人阶级政治任务的决议》指出:“工人阶级在它反对有产阶级联合权力的 斗争中,只有组织成为与有产阶级建立的一切旧政党对立的独立政党,才能作为一个阶级来行动。这 揭示了( ) A.巴黎公社失败的教训 B.资本主义制度的腐朽 C.无产阶级的历史使命 D.工人阶级的力量薄弱 19.【假设】(2025·河北沧县中学高三上11月月考·14)在古代雅典,梭伦担任执政官前,死者所有 的财富和产业全部属于他的家族。梭伦担任执政官后,新修订法律规定;任何人要是没有子女,可以 将财产遗赠给他所属意的人。梭伦此举( ) A.解决了民主政治的弊端 B.一定范围内削弱了贵族势力 C.体现了法律至上的原则 D.一定程度上维护了公民利益20.【转折】(2025·贵州黔南高三上模拟·6)甲午中日战争前,谭嗣同对西学盲目排斥。但面对日本 师法西方自强进而打败中国的惨痛现实,他“风气之所溺,非守文因旧所能挽回者”,从此思想大 变,愤而 创作《仁学》,轰动一时。这一转变( ) A.受近代中国的时代主题影响 B.受西方社会风气的影响 C.本质上受到明治维新的启发 D.有利于革命思想的传播 2.审关键词句-标题符号(括号、省略号、分号、双引号) 21.【双引号】(2025·东北三省精准教学高三上联考·15)塞内加尔首任总统桑戈尔年轻时是非洲著名 诗人,他在诗作中用“蓝色金属的眼睛”“冰冻的微笑”“符号和计算的时代”等意象代指西方文 明,用“达姆鼓(非洲本土乐器)的血液”“黑女人”等来象征非洲。这些意象( ) A.揭示了两种文明的本质差异 B.突出了对非洲传统文化的保护 C.体现出对国家工业化的期待 D.意在强调民族认同与文化复兴 22.【括号】(2025·广东肇庆高三一模·5)如表为明代匠户制度的相关信息。这种变化( ) 类别 要求 明初规定每三年到京服役三个月;自嘉靖四十一年(1562年)起,一 轮班匠 律征银,政府则以银雇工 明初规定固定做工,每月有1/3的时间为官府做工,月粮由国家支给, 住坐匠 其余2/3的时间自由支配;后来,逐渐放松了对匠户的人身控制 A.降低了官营手工产品的品质 B.放弃了重农抑商的政策 C.有利于推动商品经济的发展 D.开启了白银货币化进程 23.【括号】(2025·东北三省精准教学高三上联考·3)下表中的史料记载了魏晋南北朝至隋初人口流 动现象,造成这些现象的共同原因是( ) 太康元年(公元280年),晋武帝将“孙氏大将战亡之 《晋书·武帝纪》 家徙于寿阳,将吏渡江复(免除赋税)十年,百姓及百 工复二十年” 魏咸熙元年(公元264年),“(蜀)后主既东迁,内 《华阳国志·大同志》 移蜀大臣宗预、廖化及诸葛显等并三万家于(河)东及 关中” 《陈书·世祖九王列 “宗室王侯在都者百余人……因从(陈)后主入关……隋 传》 文帝并配于陇右及河西诸州,各给田业以处之。” A.江南得到开发 B.北方战乱 C.民族交流交融 D.政权更迭 24.【省略号】(2025·吉林“BEST”合作体高三上联考·8)中国近代著名社会活动家容闳盛赞洪仁 玕“见闻稍广,……凡欧洲各大强国所以富强之故,亦能知其秘钥所在。”1861年,曾国藩的机密 幕僚赵烈文读过《资政新篇》后说:“其中所言,颇有见识……观此一书,则贼中不为无人。志 云:‘知己知彼,百战百胜。’有志之士尚无忽诸。”由此可知《资政新篇》( ) A.得到知识分子的普遍赏识 B.为洋务运动提供理论依据 C.带有较强的民主政治色彩 D.将学习西方推到了新高度 25.【分号】(2025·广东广州天河高三上测试·1)春秋战国时期,老子主张“人法地,地法天,天法 道,道法自然”;孟子主张“尽其心者,知其性也,知其性则知天矣。”其共同思想内涵在于 ( ) A.主张敬天保民 B.倡导人性本善 C.推崇厚德载物 D.崇尚天人合一 3.审设问,明确题型 26.【本质实质类】(2025·四川德阳高三上诊断·14)1980年,北京市的部分青年自谋出路,他们有的开办个体煎饼铺,有的开办个体小卖部……这一情况被北京市领导得知后,不仅表扬了这些青年, 还让工商业管理部门给他们发了营业执照。这反映出当时( ) A.城市经济体制改革全面展开 B.传统经济模式遭到摒弃 C.单一所有制结构出现了松动 D.社会思想观念全面解放 27.【本质实质类】(2025·甘肃靖远一中高三11月月考·8)1941年5月1日,陕甘宁边区中央局发布 《陕甘宁边区施政纲领》,实行“三三制”,宣布自当年始,中共领导下的各边区将采取“三步 走”的方式渐次开展参议员选举,召开各级参议会,最后改选政府。这表明( ) A.抗日民主政权性质发生改变 B.边区政府的组织结构出现调整 C.社会各阶层的权益得到保障 D.中共致力于抗日民主政权建设 28.【本质实质类】(2025·四川德阳高三上诊断·12)表2中的信息可以用来说明( ) 表2 1927年江西、福建省部分地区地租比例统计表 地区 田租占全部收获量的比重 寻邬 50%—56% 兴国 50%—70% 闽西 60% 长汀 70% 连城乡 80% A.国民革命失败的必然性 B.农民参加革命的潜在性 C.地区经济发展的失衡性 D.实行土地改革的重要性 29.【本质实质类】(2025·贵州贵阳高三上11月监测·14)1920年的苏俄,“背口袋的人”(从农村 背着粮食到城里售卖的人)在民间比较流行,但属于政府严厉打击的对象;1921年5月,苏维埃政 权通过关于交换的法令,承认这一民间经济活动的合法性。材料体现当时的苏俄( ) A.突破了国家新经济政策的限制 B.积极探索社会主义建设的道路 C.消除了工农业发展失衡的弊端 D.农业集体化运动得到全面推行 30.【推断推理类】(2025·广东广州天河高三上测试·4)“玄武门之变”后不久,唐太祖李渊颁布 《禅位 皇太子诏》,自称“英华已竭”“深求闲逸”,又称赞(李世民)“功格穹苍,德孚宇宙,雄才宏略,振 古莫俦”,禅位于皇太子李世民。这次“禅让”( ) A.维护了儒学的伦理秩序 B.体现了贵族的权力博弈 C.反映了政府的尚贤观念 D.保证了经济的长期繁荣 26.【原因目的类】(2025·江苏盐城高三期中·4)据《汉书·食货志》记载,当民众祭祀或处理丧事 时,如缺乏资金,官府“以所入工商之贡但之,祭祀无过旬日,丧纪毋过三月”,如置办产业需要资 金,官府“均授之”,且“计所得受息”。官府此举主要是为了( ) A.稳定经济秩序 B.缓解民生之困 C.打击投机行为 D.增加财政收入 27.【本质实质类】(2025·福建部分学校高三上期中·12)19世纪初,在欧洲成品钟表的销售领域, 购买商更重视数量而不是质量,因为价格便宜的简单钟表很容易找到买家。这反映了( ) A.经济发展影响人们生活节奏 B.工业革命提高全民生活质量 C.大生产导致钟表质量的下降 D.启蒙运动推动了社会的进步 28.【本质实质类】(2025·湖南天一联考高三联考·14)西方学者在评价“哥白尼革命”时说,其不仅 带来了“天文学基本概念的革新”,还标志着“人类对大自然理解的一次根本性变更”,构成了“西 方人价值观转变的一部分”。这表明,“哥白尼革命”( ) A.引发了文艺复兴 B.冲击了封建制度 C.促进了思想解放 D.完善了力学体系 29.【影响作用类】(2025·吉林“BEST”合作体高三上联考·11)民国初年,在中国市场上,棉纱、 火柴、面粉等行业获得较快发展。全国华商纱厂从1914年的21家猛增至1921年的51家;华商火柴厂从1913年的52家发展至1922年的135家;华商新办面粉厂1914年至1921年间增加100家。这一 时期民族工业发展带来的影响是( ) A.抵制了日美在华势力的扩张 B.为新民主主义革命积蓄力量 C.推动了实业救国思潮的兴起 D.推动民族资本主义初步发展 30.【推断推理类】(2025·江苏泰兴高三上期中·13)1829年成立的“联合王国工厂纺纱工总工 会”是英国第一个全国性的工会组织,也是工厂工人组建工会的最早尝试。1833—1834年又建立起 建筑工人工会、纺织工人工会、陶器工人工会等大批工会。1834年,由欧文出面组织了“全国大团 结工会联合会”,它支持各地的罢工活动,一时间罢工活动遍及全国。由此可知,这一时期英国( ) A.工人待遇得到了显著改善 B.马克思主义指导了工人运动 C.工人的阶级意识有所提高 D.工人为建立自身政权而斗争 二 四辨选项 1.史实错误、基本常识 31.(2025·广东肇庆高三一模·1)距今7200—6900年前的江苏省草堰港遗址,目前已出土陶、骨、 石、木、玉、蚌等各类遗物2800余件。其中,陶器中釜占主导地位,其次为罐、钵;骨器数量众 多、打磨精美;木器有钻木取火器、纺轮、浮漂等。由此可推知( ) A.当时渔猎采集已被取代 B.人类生产生活渐趋稳定 C.早期国家形态初步形成 D.该区成为中华文明核心 32.(2025·江苏扬州高三上期中·3)唐朝推行两税法,实施“上供、留使、留州”三分制财政体系, 其中“上供”确保中央财力稳固,而“留使、留州”则赋予地方一定的财政自主性。该体系( ) A.有利于地方经济发展 B.减轻了农民赋税和徭役负担 C.消除藩镇割据的局面 D.解决了中央和地方经济矛盾 33.(2025·安徽皖北五校高三11月期中·13)1953年10月,李维汉在全国工商联代表会议上指 出:“我们决不应当也不能走资本主义工业化的道路,就是用极少数人剥削大多数人的办法,来保证 最大限度的资本主义的利润。这是与中国革命的目标相违反的、与中国人民的利益相违反的。”为 此,我国( ) A.利用私营工商业,促进生产力发展 B.壮大公有制经济,推进工业化战略 C.消灭地主阶级,满足农民土地要求 D.坚持抗美援朝,应对美国军事威胁 34.(2025·广东广州天河高三上测试·11)公元前3世纪,托勒密一世统治埃及时,将当时盛行于埃及 的三位一体神(即奥西里斯、伊西丝和荷鲁斯)创造为新的三位一体神(即赛拉比斯、伊西丝和荷鲁 斯),供全体居民崇拜。其中,赛拉比斯神的形象酷似希腊主神宙斯,后两位神的形象没有多大变 化。这一做法( ) A.中断了埃及的传统文明 B.扩大了区域间的文化差异 C.促进了欧洲文化的传播 D.实现了帝国内的民族融合 35.(2025·湖南天一联考高三联考·15)1826年,英国议员提出议案,把两个议会名额转让给曼彻斯 特和伯明翰,工厂主欣喜不已,但未达成。1830年下议院提出多给工业区名额遭到首相拒绝。1831 年工厂主派代表提出新方案又遭拒绝。1832年改革法案顺利通过,工厂主最终取得胜利。工厂主开 展不懈的斗争是因为( ) A.君主专制的弊端显露 B.工业化进程发展缓慢 C.工人阶级的抗争剧烈 D.议会是国家权力中心 2.题干主旨 36.(2025·四川高三上诊断·3)北齐官修的《魏书》,仿《汉书》体例对西域史事单独列传,精确记 录了西域诸国的地理方位及其与北魏都城、北魏西部军镇的距离,对诸国物产、风俗及其与北魏王朝 的关系亦多有记录。《魏书》对西域的历史书写反映出( ) A.“华夷”界限的逐步固化 B.中原与西域的战事频繁C.人口迁移促进西域的开发 D.大一统观念的历史传承 37.(2025·东北三省精准教学高三上联考·9)下图是1948年2月15日《东北画报》刊载的年画作 品。据此分析,该作品的创作主题是( ) A.边区政府治理下民生得到改善 B.辽沈战役中群众积极参军 C.土地改革后农民踊跃支援前线 D.东北的社会生产逐步恢复 38.(2025·辽宁锦州高三上期中·14)1979年1月,《人民日报》先后报道了四川省广汉县、贵州省 开阳县、云南省元谋县、安徽省和广东省普遍实行“五定一奖”的情况,其基本做法是,把生产队划 分为若干作业组,给作业组规定劳力、地段、产量、工分、成本等,超产给予奖励。这可用于佐证当 时( ) A.农村生产关系发生了根本性变革 B.农村基层自治模式的创新 C.中央统一了经济体制改革的模式 D.对解放农村生产力的探索 39.(2025·湖北部分学校高三上12月联考·13)进入19世纪后,西欧城市兴建的建筑中,传统的宫 殿、庙宇、教堂等建筑占比较小,而仓库、码头、厂房、办公楼、车站、图书馆、剧院等新型建筑不 断涌现。在建筑材料上,巴黎歌剧院采用了钢铁框架结构,伦敦水晶宫则展示了铁和玻璃结合的轻型 结构。这反映出当时西欧( ) A.古典建筑制约了城市化发展 B.交通拥堵影响市民生活体验 C.工业革命引发建筑观念变迁 D.城市住房问题加剧社会矛盾 40.(2025·安徽合肥一中高三上联考·16)从2024年1月1日起,沙特、埃及、阿联酋、伊朗、埃塞 俄比亚成为金砖国家正式成员,金砖成员国数量从5个增加到10个。未来将有更多国家加入金砖国 家。金砖合作机制凝聚力日益增强,影响力持续提升,已成为国际事务中一支积极、稳定、向善的力 量。金砖国家的发展( ) A.获得发展中国家广泛支持 B.满足南北合作的需求 C.符合新兴市场的利益要求 D.违背经济全球化潮流 3.政治原理(唯物史观) 41.(2025·江西鹰潭余江一中高三期中·1)《中国古代音乐史稿》中关于西周乐队的规定:“王宫 县”,即 排列成东西南北四面;“诸侯轩县”,排列三面;“大夫判县”,排列两面;“士特县”,只排列一面。 歌舞队的规定是:天子“八佾”,即八列六十四人;诸侯“六佾”,即三十六人;卿大夫“四佾”, 即十六人;士“二偷”,即四人。这些规定( ) A.反映出周天子牢固管控地方政治权力 B.表明西周敬祖习俗非常盛行 C.体现出宗法分封制下等级鲜明的特征 D.突显出西周社会生活的奢侈 42.(2025·福建龙岩非一级达标校高三期中·5)北宋时期,位于河南的应天书院和嵩阳书院,是全国性的学术中心和教育中心。南宋时期,开封、睢阳等城市虽是文化重镇,但以书法、绘画、诗词等成 就为主,而福建、江西一带则成为学术研究的高地。这一转变( ) A.由政治局势所决定 B.迟滞于人口的南迁 C.加速了理学的形成 D.得益于江南的发展 43.(2025·河北邢台质检联盟高三月考·14)陈毅曾说:南昌起义回答了人民要进行武装斗争的问题, 但却没有解决怎样进行武装斗争的问题。知道搞武装斗争不容易,知道怎样搞法更不容易……八一起 义提出了问题,是毛主席在井冈山解决了问题。毛泽东“解决了问题”,根本上得益于他( ) A.推动马克思主义的中国化 B.科学总结国民革命的教训 C.发扬紧密联系群众的作风 D.得天独厚的军事指挥才能 44.(2025·山东“枫叶杯”第三次模拟·10)《赫梯法典》第六十一条提到,“假如任何人获得良种的 马而消除它的烙印,它的主人发现了它,则消除烙印的人应交付七匹马……同时用自己的房屋担 保。”除此,对于牛、羊均有涉及;比较而言,在《汉谟拉比法典》中,牛、羊都出现过,而马从未 出现。由此可以直接得出二者( ) A.生活环境差异 B.经济模式的区分 C.法典侧重不同 D.战争策略的分歧 45.(2025·广东江门高三调研·16)20世纪初,德国大学进行了教学改革,课程上强调科学、技术、 商业、现代外国语和管理学等;增设科学实验室;教学方法上注意采用讲座和报告、讨论和练习、调 查和实验等。这折射出当时德国( ) A.近代自然科学开始兴起 B.科技创新水平领先于世界 C.大学教育体制逐渐完善 D.工业革命对社会影响深远 4.逻辑推理 46.(2025·吉林“BEST”合作体高三上联考·7)明清阅读海图长卷遵循自右而左的顺序。明朝海图方 位“以海为上”,沿海编排依次为广东、福建、浙江、直隶(江苏)、山东、辽阳(辽东);而清中 期以后, 海图方位“以陆为上”,沿海编排依次为盛京(辽东)、直隶、山东、江南(江苏)、浙江、福建、广 东。据此可知( ) A.明朝仍遵循天朝上国的传统 B.制图理念背后彰显时局变迁 C.清朝海防严峻局势得以缓解 D.海外贸易推动社会观念转型 47.(2025·四川德阳高三上诊断·5)宋代书籍中通常有“版权页”,该页一般会印有出版方的“牌 记”,载有出版人、刻书人等信息。图1是南宋淳祐九年晦明轩刻本《重修政和经史证类备用草 本》。据此可知,宋代( ) 图1 A.政府重视保护医书版权 B.著作人的权利意识增强 C.活字印刷术已广泛使用 D.著作侵权纠纷比较普遍48.(2025·东北三省精准教学高三上联考·10)1964年至1980年,西部地区的机械工业初步形成了以 重庆为中心的西南基地;在西北地区则建成了汉中、天水、银川、西宁等工业城市,在汽车、重型机 器、仪表、机床、农机等方面都形成了较为完备的体系。这有助于( ) A.东西部之间的物资流通 B.科研与技术人才的储备 C.现代产业体系初步形成 D.区域经济布局相对平衡 49.(2025·福建部分学校高三上期中·10)1611年,墨西哥总督呼吁禁止中国丝货进口。到了1637 年,中国丝货流入反而越发严重,墨西哥的丝织业工厂都以中国丝为原料,墨西哥本土的蚕丝生产几 乎被消灭了。这主要缘于当时( ) A.美洲经济的落后 B.列强竞争的加剧 C.中国工业的发达 D.世界市场的拓展 50.(2024·广西钦州高二期中·16)据国际劳工局的研究报告,1980年,美国老年人口赡养比(老年 人口数与劳动年龄人口数之比)为16.9%,日本为13.4%,英国为23.5%,法国为21.9%。2000年, 美国老年人口赡养比为19.0%,日本为25%,英国为24.6%,法国为24.4%。到2050年,美国老年人 口赡养 比预计将提高到35.5%,日本为58.4%,英国为42.2%,法国为44.2%。由此可推知,这些国家( ) A.社会保障体系改革具有必要性 B.使老龄化渐成人类共同难题 C.社会效率与公平难以得到平衡 D.竞争力呈现持续下降的趋势 三 、遵循六原则 1.简化原则 51.(2025·广东肇庆高三一模·2)秦朝在征服岭南后,在岭南地区修建了不少的城池和关隘,譬如 《史记》中记载的岭南三关,分别控制着五岭山脉的险要关口,卡住了从中原进入岭南地区的通道。 这一措施( ) A.阻止了岭南地区与北方的往来 B.反映了秦朝刑法的严酷性 C.导致了岭南地区出现割据政权 D.加强了对岭南的直接控制 52.(2025·广东肇庆高三一模·9)1938年,晋察冀边区开展了冬学运动,把广大分散的个体农民组织 起来,学习政治、文化知识,包括识字、学习救亡歌曲以及一些军事常识等。这一运动的开展 ( ) A.巩固了中央苏区的政治地位 B.反映出抗日救亡运动的起步 C.有利于增强抗日救亡的力量 D.适应了党的工作重心的转移 53.(2025·广东肇庆高三一模·10)1961年9月,国家计划委员会下发文件要求重视节水工作;次年5 月,建筑工程部又发出通知要求各省、自治区建工厅(局)等“协助大工业用户合理安排用水,做好 冷却水、空调水及部分洗涤水的循环使用、重复利用”。此举旨在( ) A.满足经济体制全面转型需要 B.提升废水处理的技术 C.为大规模工业建设准备条件 D.适应国民经济的调整 54.(2025·湖北部分学校高三上12月联考·14)一战前,印度民族运动领导者普遍以民族自由为第一 目标,认为罢工运动只是业界争端。但到1920年,国大党主导召开了全印度工会大会,并警告英国 当局:“国家的全部“年轻人”不可能永远被压制。”据此推知,当时的印度( ) A.国大党的性质发生根本变化 B.民族运动受到十月革命影响 C.已进入到无产阶级革命阶段 D.非暴力不合作运动走向失败 55.(2025·广东肇庆高三一模·15)1958年,法国总统戴高乐推行经济改革,将金融系统置于国家控 制之下,引导资金投资高精尖制造业,防止金融家为了片面追逐利润搞空实体经济。这些措施表明( ) A.二战后经济安全仍然面临着挑战 B.马歇尔计划实施的成效显著 C.加强国际经济协调成为世界潮流 D.金融成为现代经济的命脉 2.全面原则56.(2025·重庆一中高三上期中·7)明清时期,福建棉布生产发展较快,其所需的棉花全部来自江 南。在江苏太仓,“闽商大至,州赖以饶”。清初,一度出现福建棉商不至,苏松棉区农民“门里 妻孥相向 啼”,后闽中棉商又挟重资到太仓,“举州叹为祥瑞”。这可用于说明( ) A.福建已成为棉纺织业中心 B.江南地区农业结构出现变动 C.跨区域长途贩运开始兴起 D.福建地区孕育资本主义萌芽 57.(2025·安徽合肥一中高三上联考·9)在党的八大上,最高人民法院院长董必武发言指出:“律 师制度是审判工作中保护当事人诉讼权利不可缺少的一项制度……应该逐步建立起来。”随后新中 国仿效苏联建立起律师制度。新中国建立律师制度的主要目的在于( ) A.完善社会主义民主法治 B.促进经济的恢复与发展 C.确保社会主义司法公正 D.巩固中苏友好同盟关系 58.(2025·贵州贵阳高三上11月监测·7)第一次世界大战期间,全国性工人罢工108次;1918年, 蔡元培喊出“劳工神圣”的口号,李大钊指出“须知今后的世界,变成劳工的世界”;1922年— 1923年,全国发生大小罢工2100余次,参加人数达到30万人次。这表明了( ) A.中国民族民主革命的不断深入 B.中国工人阶级登上政治舞台 C.党的中心任务是开展工人运动 D.马克思主义劳动学说的普及 59.(2025·广西百校联考高三11月月考·13)马丁·路德在研究《圣经》原典时,受到“义人必因信 得生”启发,便萌生信仰重于仪式的想法。1536年,加尔文编订《基督教原理》时,力图使该书内 容符合罗马帝国早期的基督教教义,极力反对天主教的等级观念。这表明,欧洲宗教改革( ) A.彰显人文思想 B.迎合世俗王权 C.蕴含理性精神 D.带有复古色彩 60.(2024·江苏苏州高三上期中·12)1871年,日本派遣伊藤博文等官员赴欧美考察,声称“移此开 明之风于我国,将使我国国民迅速进步至同等化域”;1905年,以载泽为首的五大臣赴东西洋考 察,声称“考求一切政治,以期择善而从”。中日派遣出洋考察团,其目的在于( ) A.师夷长技 B.变法图强 C.移风易俗 D.君主立宪 3.主体一致原则 61.(2025·湖北华中师大新高考联盟高三上11月测评·2)秦代法律规定,父母具有杀、刑其子的权 利,而子因受父母杀、刑而状告官府,官府不予受理,如果子坚持诉讼,则子有罪。即父母对子 (女)有人身伤害的权利,但子女如果因此诉讼父母,便有了“不孝”之罪。上述规定表明秦代( ) A.实行严刑峻法 B.认同儒家道德价值取向 C.推崇外儒内法 D.运用家庭观念教化民众 62.(2025·湖南百师联盟高三联考·6)清前期,政府在财政方面实行奏销制度,即国家的一切财务 收支都必须按照定例上报皇上,只有经过户部的审核,才准予报销。19世纪中后期,各省督抚开 始“自为出入”,户部失去了全国财政资源统一调度中心的角色。这一现象( ) A.表明中国的半殖民地化程度加深 B.缘于鸦片战争对财政制度的冲击 C.说明晚清中央集权体制面临危机 D.反映了政府财政收支结构的变化 63.(2025·河北承德高三11月模拟·4)1982年经国务院批准,大庆油田超产原油在国内按每吨644 元出售,其他油田超产的原油均按超产油价每吨532元出售。当时计划内生产的原油,国家定价均为 每吨100元,价差收入,作为“勘探开发基金”用于弥补石油勘探开发投资的不足。这一决策 ( ) A.保证了石油工业的持续发展 B.促进了生产资料的合理配置 C.说明中国积极地融入全球化 D.是市场经济改革的必然结果 64.(2025·江苏泰兴高三上期中·14)19世纪末,印度国大党领袖提拉克从印度教的经典中选择了 《薄伽梵歌》作为他的理论依据,他宣称《薄伽梵歌》不仅是印度“吠陀宗教树上所结的最甜蜜而 不朽的果实”,而且蕴含了“东西方一切形而上学和伦理的原则”。提拉克意在( ) A.推动东西方文化的融合 B.唤起人民的民族自信心C.抨击印度种族歧视制度 D.谋求国大党的执政地位 65.(2025·湖北部分学校高三上12月联考·13)进入19世纪后,西欧城市兴建的建筑中,传统的宫 殿、庙宇、教堂等建筑占比较小,而仓库、码头、厂房、办公楼、车站、图书馆、剧院等新型建筑不 断涌现。在建筑材料上,巴黎歌剧院采用了钢铁框架结构,伦敦水晶宫则展示了铁和玻璃结合的轻型 结构。这反映出当时西欧( ) A.古典建筑制约了城市化发展 B.交通拥堵影响市民生活体验 C.工业革命引发建筑观念变迁 D.城市住房问题加剧社会矛盾 4.最近原则 66.(2025·四川德阳高三上诊断·8)1842年上海开埠,在清政府默许下,各国向上海地主进行租赁活 动,租界区人口不过千人。19世纪五六十年代,上海的地价飙升,租界人口暴增至54.4万人,但 整个上海本地人口却无太大变化。导致这一现象的主要原因是( ) A.租界政策的开放 B.时局动荡的推动 C.洋务运动的扩展 D.工业崛起的吸引 67.(2025·重庆一中高三上期中·11)刘少奇指出,晋察冀和晋冀鲁豫两边区之间所存在的分界线,严 重妨害了经济、政治、军事及文化的发展。为此,两个边区应进行合并,两区统一后,可发动5000 万人民的力量,去支援西北、中原和华东。这一主张提出的背景是( ) A.工农武装割据发展迅速 B.抗日民族统一战线建立 C.国民党全面进攻解放区 D.解放战争不断取得胜利 68.(2025·河南青桐鸣高三11月联考·9)20世纪30年代后期至40年代中期,淮北抗日根据地运 用“无声的文字”和“有声的表演”等方式控诉日本帝国主义的侵略罪行。“无声的文字”,就是以 文学形式揭批日本帝国主义的侵略罪行。“有声的表演”,就是通过表演剧目,向基层民众揭露日本 帝国主义的累累罪行。这些做法旨在( ) A.巩固全民族抗战的局面 B.提高抗日军民文化修养 C.突出敌后战场的重要性 D.创新民族文化宣传形式 69.(2025·山东潍坊高三调研监测·13)19世纪法国入侵阿尔及利亚后,将关干拿破仑三世的小册子 翻译为阿拉伯语,并在部落中散发,以便使“在一个共同领袖领导下的统一理想和民族理想充满他们 的想象”;同时,还成立了多个研究组织,加强对殖民地本土社会的研究。这些做法意在( ) A.宣传西方文化价值理念 B.构建殖民地对宗主国认同 C.加强东西方的文化交流 D.促进非洲传统社会的转型 70.(2025·四川新高考八省高三适考·13)17世纪上半叶,英、荷、葡三国激烈争夺非洲殖民地。 1630年,荷兰执政者下令制作当时最详尽的非洲地图,重点标记各国的殖民区域;地图制作完成 后,在欧洲各国广泛流传。荷兰执政者的目的是( ) A.展示荷兰先进地图制作工艺 B.依靠地图售卖来增加财政收入 C.界定荷兰在非洲的势力范围 D.向欧洲人普及非洲的地理知识 5.过程反映趋势原则 71.(2025·浙江诸暨高三上12月诊断·9)新中国成立以来,中国十分重视与非洲国家的交往:20世 纪50—60年代,在万隆会议精神的推动下,中国先后同埃及等12个国家建立了外交关系。整个70 年代,我国同25个非洲国家建交,并对许多非洲国家进行了无偿的经济援助。中共十八大以来,提 出“真实亲诚”的外交理念,进一步加强与非洲国家之间的团结合作。这主要是为了( ) A.消除分歧增进互信 B.构建均衡发展格局 C.深化合作共谋发展 D.改善全球治理体系 72.(2025·贵州黔南高三上模拟·3)公元前207年,刘邦进入咸阳后,对属下约法三章,严肃军纪, 赢得百姓拥护;后以太牢祀孔子,史官书而美之。《汉书·武帝纪》记载:“元朔元年……广教化, 美风俗也。夫本仁祖义,褒德禄贤,劝善刑暴。”由此可知( ) A.刘邦的军队军纪涣散 B.汉朝统治者注重礼法并用 C.统治者推行儒学教化 D.汉武帝罢黜百家尊崇儒术73.(2025·山东威海文登高三上模拟·9)下表为1979年和1985年我国进出口领域部分产品的所占比 例情况。这一变化( ) 进口机器等制造业产品所占比例 出口农产品等初级产品所占比例 1979年 71.8% 53.6% 1985年 87.4% 51.5% A.得益于工业体系的完善 B.促成了国企改革的到来 C.有利于产业结构的调整 D.体现了外贸规模的扩大 74.(2025·安徽合肥一中高三上联考·16)从2024年1月1日起,沙特、埃及、阿联酋、伊朗、埃塞 俄比亚成为金砖国家正式成员,金砖成员国数量从5个增加到10个。未来将有更多国家加入金砖国 家。 金砖合作机制凝聚力日益增强,影响力持续提升,已成为国际事务中一支积极、稳定、向善的力量。金砖 国家的发展( ) A.获得发展中国家广泛支持 B.满足南北合作的需求 C.符合新兴市场的利益要求 D.违背经济全球化潮流 75.(2025·山东威海文登高三上模拟·13)据统计,1870年,英国在拉美的投资为8500万英镑,1909 年增至42570万英镑,1913年达76000万英镑(1英镑约等于4.8美元);1914年美国对拉美的投资 为12亿美元,德国资本为9亿多美元。这一现象( ) A.反映了列强实力对比的变化 B.造成了拉美单一经济体系的形成 C.加速了世界殖民体系的形成 D.阻碍了拉美民族资本主义的发展 6.绝对性原则 76.(2025·河北十县联考高三期中·9)自汉朝以后,中国女性服饰逐渐转变为上衣下裳式,袍衫成为 男性的专利。到了民国时期,由于旗袍具有流动的形体、潇洒的画意和浓郁的诗情,对女性典雅、温 柔性情气质的体现具有重要作用,因而成为当时最为典型、最受女性欢迎的一类服饰。这一变化反映 了( ) A.移风易俗成为社会潮流 B.当时女性意识的觉醒 C.民众思想得到彻底解放 D.妇女社会地位的提高 77.(2025·贵州贵阳高三上11月监测·14)1920年的苏俄,“背口袋的人”(从农村背着粮食到城里 售卖的人)在民间比较流行,但属于政府严厉打击的对象;1921年5月,苏维埃政权通过关于交换 的法令,承认这一民间经济活动的合法性。材料体现当时的苏俄( ) A.突破了国家新经济政策的限制 B.积极探索社会主义建设的道路 C.消除了工农业发展失衡的弊端 D.农业集体化运动得到全面推行 78.(2025·贵州黔南高三上模拟·2)古代封泥直接反映了古人的玺印原貌,图是秦朝一种官印的封 泥,为当时缄封简牍而钤盖印章以防私拆的信验物。由此可知,秦封泥( ) A.体现了汉字的演变历程 B.有助于文书的秘密传递 C.提高了官员的办事效率 D.保证了政令的上传下达 79.(2024·江苏苏州高三上期中·15)2011年,俄罗斯总统授予戈尔巴乔夫国家最高勋章。俄罗斯共 产党认为“这个决定是侮辱性的”;执政的统一俄罗斯党认为“授勋是当之无愧的”;公正俄罗斯党 表示“我们的后代将作出客观的评价”。授勋事件的争议,反映了( ) A.戈尔巴乔夫是苏联解体的罪魁祸首 B.戈尔巴乔夫是结束冷战的英雄 C.转型时期俄罗斯社会存在重大分歧 D.政党利益决定历史人物的评价 80.(2025·湖南三湘名校教育联盟高三月考·3)南朝刘宋时期,大量山川湖泽为豪强所占夺,他 们“愾(焚烧)山封水,保为家利”,以至于“贫弱者薪苏无托”,甚至连捕鱼为业都难以为继。这 一现象出现的原因是( ) A.北民南迁补充了南方劳动力 B.北方农耕技术刺激南方开发 C.豪强势力完全架空中央皇权 D.庄园经济具有自给自足特征 一、三审题干 1.明确选择范围——定时空 1.(2023·福建高考·2)东汉前期,许慎在编撰《说文解字》时,征引全国各地的政区地名资料,用 以分析字形、考辨字义。其中提及次数较多的郡、国如图1所示。这反映了该时期( ) 图1 A.行政制度的重大调整 B.豪强势力的地方割据 C.儒家思想的主导地位 D.经济发展的南北差异 2.(2024·江苏高考·2)魏晋南北朝时期,传统儒学受到佛教、道教的挑战,但世家大族依然尊奉儒 家思想,并以儒家经学为家学的核心内容,形成了以南朝会稽贺氏、北朝范阳卢氏为代表的经学世 家。这一时期经学世家的形成( ) A.源于北方士族南迁 B.影响南北方政权频繁更替 C.有利于儒学的复兴 D.导致“三教合归儒”的局面 3.(2024·广西高考·8)辛亥革命后,中国的商业银行发展迅速。据统计,1912年设立银行14家, 至1927年共设立银行185家,其中1917—1923年尤为繁荣,共设立131家。这反映了( ) A.北洋政府大力发展近代金融业 B.列强加大对华资本输出 C.民族工商业对资本的需求增加 D.民众积极支持国货运动 2.关键词句-中心词(主语、主体或重心) 4.(2024·福建高考·2)魏晋时期,地方撰写的有关名士和豪强的人物传记,是州郡长官了解地方社会 的重要信息来源,也是中正评定士人资品的主要依据之—。这反映了该时期( ) A.士人社会地位的提高 B.历史书写对象的转移 C.地方豪强势力的兴起 D.国家治理方式的调适5.(2024·安徽高考·3)唐朝文学家段成式《酉阳杂俎》所记植物近二百种,包括唐代传入的龙胆香、 安息香、波斯枣、巴旦杏、无花果等。其子段公路《北户录》则主要记载了岭南地区的动植物,其中 写道:茉莉花“本出外国,大同二年(536),始来中土,今番禺士女,多以彩缕贯花卖之”。这反 映了( ) A.唐朝文化兼收并蓄 B.大唐风俗远播异域 C.市民生活悠闲雅致 D.文学体裁多种多样 6.(2024·全国高考甲卷·33)有学者评论,当一个手织女工从织机旁站起来休息时,没有其他人等着 接她的活去完成下一个工序,但是“在棉纺厂中,所有的机器都是开动着的,时刻都需要有人照 看”“是机器迫使工人接受工厂纪律的”。这可以表明工业革命期间( ) A.生产组织方式发生深刻变革 B.机器大生产推动人身解放 C.工厂纪律保障工人劳动权益 D.工人劳动自主性极大提高 2.审关键词句-题干语气(转折、递进、条件、肯定或否定) 7.【递进】(2024·海南高考·7)鲁迅曾说早期中国新诗大多数是“眼看的”,而不是“嘴唱的”,他 认为新诗必须要“容易记,又顺口,唱得出来”。抗战时期,不仅有了适合朗诵的新诗,还有了直接 谱成歌曲的“歌诗”,如《黄河大合唱》《游击队歌》等。新诗的发展( ) A.由地域文化所推动 B.受个人喜好左右 C.由文人审美所决定 D.受时代因素影响 8.【假设】(2024·北京高考·9)1937年3月,毛泽东在讨论同国民党的谈判时说,谈判的方针,无 疑是无产阶级政党与资产阶级政党的合作的方向,而不是无产阶级做资产阶级的尾巴。如果这样,我 们便要失去信仰。这表明( ) A.中国共产党决定国共和谈解决西安事变 B.中国共产党强调其在统一战线中的地位 C.抗日民主政府应遵循“三三制”原则 D.民主联合政府应由国共两党合作建立 9.【条件】(2024·天津高考·3)在编撰《资治通鉴》过程中,面对多政权并存时期如何确定编年标准 的问题,司马光认为,政权无论华夷大小强弱,须同等对待,不能独尊一国为正统,“而其余皆为僭 伪”,从中可以看出司马光( ) A.坚持务实治史的追求 B.推进华夏认同的志向 C.强调民族对立的意图 D.独尊中原王朝的立场 2.审关键词句-标题符号(括号、省略号、分号、双引号) 10.【括号、双引号】(2024·安徽高考·12)意大利政治哲学家马基雅维利(1469—1527)曾撰写《君 主论》献给佛罗伦萨的统治者,认为荣誉是君主建功立业的目的;后来又著有《论李维》,主张通过 共和制恢复和维护人的自由。由此可见,马基雅维利( ) A.试图构建未来理性王国蓝图 B.注重比较君主制与共和制异同 C.表达了基于人性的思想主张 D.描绘了欧洲地区二元政治格局 11.【省略号】(2024·湖北高考·2)《岳麓书院藏秦简》记载:“丞相其以制明告郡县……毋令吏以 苛徭夺黔首春夏时。令皆明焉,以为恒。不从令者,赀(处罚)丞、令、令史、尉、尉史、士吏、发 弩各二甲(甲胄)”。这表明秦朝( ) A.相权挑战皇权 B.延续秦国耕战国策 C.统治残暴严苛 D.崇尚儒家民本思想 12.【双引号】(2024·江苏高考·15)寒山子是唐代一个充满神奇色彩的诗人,长年在山洞中隐居避 世。他写的诗流露出一种超尘脱俗的空灵感。20世纪50年代,寒山子的诗被译成英文。至60年代, 他的诗在美国受到一些蓄长发、光着脚的大学生欢迎,风靡一时,形成了“寒山热”。这反映出,当 时美国( ) A.青年认同中国生活方式 B.经济出现“滞胀”现象 C.政府调整对华外交政策 D.民众对社会现实的失望24.【双引号】(2024·广东高考·7)1884年中法《简明新约》规定:“此约缮中法文各两份,各执一 份为据,应按公法通例,以法文为正。”1885年续谈正式约章时,以法文文本为准的条款被慈禧太 后“勾掉”,最后签署的中法《越南条款》没有“以法文为正”字样。这表明清政府( ) A.意图抵制西方强权 B.拒绝融入国际社会 C.有效遏制边疆危机 D.固守天朝上国观念 3.审设问,明确题型 13.【实质、本质】(2024·天津高考·6)下图表现了劳动人民边生产边学习的情景,它反映出( ) A.统一战线受到了广泛拥护 B.土地革命赢得了农民支持 C.抗日民主根据地巩固发展 D.敌后战场开始成为主战场 14.【实质、本质】(2024·福建高考·16)1968年,加勒比自由贸易协会成立,该组织在成立初期规 定,“发达”和“不发达”成员国分别在5年和10年内取消其他成员国的进口税。这说明该组织( ) A.具有反殖民主义性质 B.打破两极格局的束缚 C.主张成员国公平合作 D.提倡资本全球化流动 15.【实质、本质】(2024·福建高考·11)前王朝时期,埃及出现了刻有国王名字的印章;古王国时 期,出现了王室编年记;新王国时期,出现了按年代顺序罗列众多国王名字的王表(如图3所示)上 述变化体现了古埃及( ) 图3 A.记史传统的形成 B.统治权力合法性的强化 C.文字体系的改进 D.王位传承延续性的稳定 16.【背景、原因、目的】(2024·福建高考·15)表2呈现了19世纪中后期到20世纪初不同时段内, 西方国家政治军事类同盟和协定的数量。这一数量变化表明该时期( ) 表2 单位:个 时段 同盟和协定数量1870—1879 20 1880—1889 31 1890—1899 61 1900—1904 108 A.世界性国际组织涌现 B.旧有国际秩序崩溃 C.区域一体化进程加速 D.西方各国矛盾激化 17.【背景、原因、目的】(2024·江西高考·10)1990年12月4日《人民日报》报道,中国的家电行 业产值从1985年的59亿元飞跃到1990年的250亿元。中国生产的电冰箱、洗衣机、电风扇等十多 种轻工产品的数量均居世界首位。这是因为我国( ) A.初步进入国际分工体系 B.逐步摆脱计划经济体制 C.基本确立市场经济体制 D.推动家电企业集群发展 18.【背景、原因、目的】(2024·天津高考·11)16世纪,西属拉丁美洲的波托西成为世界重要的银 矿开采中心,其人口高达12万人,比西班牙任何城市都多,印第安矿工艰难劳动生产的银锭和劳工 生产的银子流入世界各地。导致波托西繁荣的直接原因是( ) A.种植园制的盛行 B.奴隶贸易的兴盛 C.商业革命的发展 D.殖民掠夺的疯狂 19.【背景、原因、目的】(2024·山东高考·8)1979年,中国科学院将办院方针概括为“侧重基础、 侧重提高,为国民经济和国防建设服务”;1984年,提出的新办院方针是“大力加强应用研究,积 极而有选择地参加发展工作,继续重视基础研究”。办院方针的调整旨在( ) A.服务国家经济建设大局 B.提升自主创新能力 C.促进科学技术人才流动 D.贯彻“科教兴国”战略 20.【影响、意义】(2024·河北高考·4)南宋,一些官员发现县令或官员私向收印地契,私向印卖, 朝廷为了遏止,颁布《天圣令》规定人民到官府进行登记,向官府买卖,后登记录。这有利于 ( ) A.增加官田数量 B.规范土地贸易 C.促进土地制度改革 D.遏制土地兼并 21.【推断推理】(2024·福建高考·3)唐代河朔地区藩镇割据的节度使,一度热衷于阅读《春秋》 《左传》,并以春秋时期的诸侯自比。据此可知,当时( ) A.中央朝廷丧失权威 B.儒家理念深入人心 C.崇文抑武风气渐显 D.一统秩序受到挑战 二 四辨选项 1.史实错误、基本常识 22.(2024·天津高考·13)1830—1896年美国生产1蒲小麦由3小时变为10分钟;1869年美国运输1 蒲小麦到英国需37美分,1905年缩短到5美分。上述变化的主要物质支持是( ) A.农业技术的进步 B.电力应用的普及 C.生产工具的更新 D.劳动技术的提升 23.(2024·福建高考·1)考古发现,二里头的宫城遗址中,二号宫庙与一号宫殿呈东西分布,二者各 有一条南北向的轴线;偃师商城的宫城遗址也有“左庙右宫”及“双轴线”。这可以说明我国早期国 家( ) A.血缘关系与权力中心相互维系 B.祭祀制度日趋完备 C.内服王畿与外服方国相互对立 D.都城布局已成定式24.(2024·河北高考·10)图4所示年画描绘了新民主主义革命时期的某一历史场景,并题有对 联:“想当年,地主掌权,吃喝穷人血肉,苦害小户,缺吃缺用缺衣裳;到如今,农民翻身,清算粮 户家底,砍倒大树,分地分房分财宝。” 该年画反映的历史事件( ) A.实现了耕者有其田 B.揭开了工农武装割据序幕 C.废除了土地私有制 D.配合了抗日民主政权建设 2.题干主旨 25.(2024·江西高考·3)后凉、北凉时期,自西域传入的龟兹乐与“胡、戎”音乐相结合形成了西凉 乐,当时号称秦汉伎。北魏平定河西之后,认为秦汉伎的乐器“并出自西域”“悉与书史不同”,又 将秦汉伎改称为西凉乐。这反映了北魏的( ) A.地域认同 B.民族政策 C.艺术审美 D.华夏观念 26.(2024·江西高考·16)在美国《1965年选举权法》生效后的几个月里,亚拉巴马州达拉斯县黑人 登记选民的人数从不到1000人增至8500多人。在该法通过之后的4年里,南部成年黑人中有近4/5 进行了选民登记。这说明该法( ) A.废除了南部的种族隔离 B.扩大了公民的政治参与 C.放宽了选民居住地限制 D.实现了成年公民普选权 27.(2024·全国高考甲卷·26)明弘治年间(1488—1505),进士邝璠编撰《便民图纂》,内容强 调“以衣食生人为本”,涉及生产、生活、医疗等,同时将所引图幅中一些艰涩的诗歌改写成通俗易 懂的民歌。明中后期,此类日用之书十分流行。这反映出当时( ) A.朝廷强化社会控制 B.士大夫生活平民化 C.知识受众范围扩大 D.四民社会结构打破 3.政治原理(唯物史观) 28.(2024·海南高考·4)南宋初年在邕州(今广西南宁一带)设有买马司,专门负责从大理等地区买 马的事宜。在贸易中除使用银钱以外,还以盐和锦、彩等丝织品进行交换。陆游诗中咏道:“国家一 从失西陲,年年买马西南夷。”这一举措( ) A.加深了民族间的交融 B.缓解了南宋财政危机 C.体现了羁縻政策失效 D.推动了南宋文化繁荣29.(2024·福建高考·12)马达加斯加岛靠近非洲大陆东岸,岛上居民现在使用的马达加斯加语的词汇 来自梵语、班图语等;该岛还发现了9至10世纪伊斯兰教徒的坟墓和波斯风格的陶器。这些现象反 映了( ) A.环印度洋贸易的影响 B.古代语言的融合发展 C.非洲本土文化的演变 D.阿拉伯人的优势地位 30.(2024·福建高考·14)17世纪下半叶,莫斯科发行了大量语言文法、算术、拉丁语、哲学及医学 等书籍,甚至出现两千余套识字课本一天售罄的情况。这反映了当时( ) A.启蒙运动的延伸 B.印刷技术的进步 C.西欧文化的扩展 D.国民教育的普及 4.逻辑推理 31.(2024·海南高考·1)西藏地区考古资料显示:距今5000年前后的卡若遗址出现了粟的栽培和猪的 饲养;在昌果沟遗址发现了距今3370年前后的炭化粟和上百粒青稞;在故如甲木和曲踏遗址发现了 2—4世纪的茶叶、丝绸以及青铜与铁等金属制品遗存。这有力佐证了西藏地区( ) A.生态环境受到新物种引进的严重影响 B.与其他地区存在持续的物质文化交流 C.在旧石器时代就已经出现了人类活动 D.青铜铸造是手工业生产中的主要部门 32.(2024·河北高考·6)图1、图2为不同朝代的中国北方部分驻所分布示意图。 图1到图2的变化表明( ) A.地方行政制度出现重大变革 B.部分城市主要功能发生转变 C.闭关自守政策执行更为严格 D.改土归流实施范围有所扩展 33.(2024·江西高考·14)普法战争后,法国体操协会数量由1873年的9个增加到了1899年的809 个,地方体操协会的名称有哨兵、尚武、传令兵、先锋等;在体操运动中开始编排集体演唱来推动活 动进展。这表明法国的体操运动( ) A.采取了军事管理方式 B.体现了爱国主义色彩 C.普及了公平竞争意识 D.推动了国防力量提升 三 、遵循六原则 1.简化原则 34.(2024·山东高考·3)图1为《宋史·王猎传》中的相关记载。王猎的经历反映出宋代( ) 王猎,字得之,长垣人。累应进士不第,乃治生积钱,既而叹 曰:“此败吾志也。”悉以班(分发)诸亲族。庆历用兵,诏求遗 逸,范仲淹荐之,得出身为永兴蓝田主薄。…… 图1 A.士人价值取向发生变化 B.传统观念制约阶层流动 C.商人政治地位得到提高 D.经济发展影响选官方式35.(2024·安徽高考·6)1899年,《万国公报》称:广学会翻译的《泰西新史揽要》《中东战纪本 末》《时事新论》《列国变通兴盛记》等,“初印时,人鲜顾问,往往随处分赠,继而渐有乐购者, 近三年来,几于四海风行”。这一现象表明( ) A.“师夷之长技”成为时代潮流 B.民众普遍认同西方资产阶级革命思想 C.“戊戌政变”促进了新学传播 D.有识之士借鉴异邦兴衰探索救亡道路 36.(2024·安徽高考·9)1986年6月17日《光明日报》报道:湖南某国企一副总工程师,因工作不顺 不辞而别,欲入职以高薪相邀的江苏某乡镇企业;在经历诸多波折后,他最终被湖北某偏远山区县委 书记“用事业吸引人,用工作挽留人,用诚意感动人”的做法打动而入职当地企业。这体现出 ( ) A.国有企业改革取得显著成效 B.私有制经济有效补充公有制经济 C.改革开放缩小城乡经济差距 D.经济体制改革拓宽人才流动空间 2.全面原则 37.(2024·江苏高考·3)表1为宋神宗熙宁年间(1068—1077)常平仓的部分支出情况。这些支出反 映了北宋政府( ) 表1 时间 支出及用途 熙宁六年十一月 3万石谷,淮南西路招募饥民兴修水利 熙宁七年五月 5万石谷,真定府路减价出粜 熙宁九年二月 10万缗钱,广南西路转运司以备军需 A.力图发展农业平抑物价 B.运用经济手段稳定秩序 C.鼓励民间组织救济灾民 D.增加军费缓解边防压力 38.(2024·重庆高考·2)北魏均田令规定,奴婢按编户民标准授田,但要求“奴从耕,婢从织”。北 齐均田令规定“奴婢限外不课田者皆不输”。隋承齐制,大业元年(605)又规定“除妇人及奴婢、 部曲(依附民)之课”。这意味着( ) A.均田制逐渐遭到破坏 B.北齐奴婢不再授田 C.承担赋役是授田前提 D.隋代废除定额租调 3.主体一致原则 39.(2024·甘肃高考·8)大生产运动中,陕甘宁边区政府动员妇女参加纺织生产。当时有报道称:白 三老婆参加纺织组解决了全家穿衣的困难,丈夫更尊敬她了。参加纺织组的妇女身上都有几十块钱, 有 了财产使用权,不像以前完全依赖公婆丈夫。根据以上材料可知,妇女在大生产运动中( ) A.家庭经济地位得到提高 B.实现性别平等同工同酬 C.成为边区劳动生产主力 D.物质需求达到高度自足 40.(2024·山东高考·11)13世纪以前,西欧的行会具有明显的开放性,学徒、帮工不论家庭出身, 只要合乎资格就可以成为行会成员;13世纪以后,掌握着资本和生产的富人阶层控制了行会,出身 贫寒的学徒、帮工面临着更高的入会门槛,行会成员逐渐成为世袭身份。这反映出( ) A.技术革新速度加快 B.市场竞争日益加剧 C.城市管理体制逐步完善 D.王权对城市的控制加强 41.(2024·北京高考·11)书信是研究古代两河流域历史的重要材料。古巴比伦国王汉谟拉比给地方总 督写了大量泥版书信,命令其征收椰枣、谷物、芝麻、皮毛服装,如数上缴征收的货币,清理运河便 于灌溉,为王室牧场派遣剪羊毛工人,查办官员贿赂事件,组织审理经济纠纷,协助调兵等。以上材 料反映出的有关古巴比伦的信息包括( ) ①行业种类多样 ②国家重视农业生产③地方资源的所有权归总督 ④书信是国王处理事务的一种方式 A.①②③ B.①②④ C.①③④ D.②③④ 4.最近原则 42.【时间最近原则】(2024·黑吉辽高考·7)图1是刊登在1909年《图画日报》上的系列寓意画。 图1 该系列寓意画反映了( ) A.国人振兴经济救国强国的愿望 B.一战期间民族经济发展较快 C.帝国主义的经济侵略日益加深 D.清政府解决财政危机的信心 43.【目的最近原则】(2024·江苏高考·14)1930年,苏联《共青团真理报》以“每个工人都需要强 壮的肌肉和敏锐的眼睛”为题刊发文章,号召青年积极参加体育运动。在政府鼓励下,成千上万的苏 联人学会了射击、游泳、滑雪、跳伞等运动技能。此时,苏联重视体育旨在( ) A.弥补技术人才的不足 B.冲破帝国主义的经济封锁 C.增强国家的综合国力 D.争取反法西斯战争的胜利 44.【目的最近原则】(2024·黑吉辽高考·6)1878年,左宗棠上《复陈新疆情形折》,建议在新疆广 设义塾,教授汉文,使民众“略识字义”,“征收所用券票,其户民数目,汉文居中,旁行兼注回 字,令户民易晓”。这一建议旨在( ) A.改革税收制度 B.改进教育方法 C.增强国家认同 D.引导社会风尚 45.【时间最近原则】(2024·湖北高考·7)下表是1925年中国部分省份的岁入、岁出总额及军费数据 (单位:银元) 省份 奉天 直隶 山西 江苏 广西 云南 名目 岁入总额 12393554 9342163 7335692 16777315 4104141 2218068 岁出总额 10131248 10961692 8021263 14892393 7469452 4260138 军费 6918538 6692844 5636044 6122374 5673435 2131416 该表可论证( ) ①民族资本主义发展 ②北洋政府收支失衡③国民革命的迫切性 ④南北军阀一丘之貉 A.①② B.①④ C.②③ D.③④ 5.过程反映趋势原则 46.(2024·广东高考·14)19世纪20年代,英国棉布涌入伊朗。随后几十年间,物美价廉的英国棉制 品比伊朗的丝绸更受欢迎。1890年,伊斯法罕的丝绸织机数量仅为1830年的1/10。 伊朗停止出口 丝绸和棉布,转而出口生丝和原棉。这反映伊朗( ) A.沦为英国独占的殖民地 B.封建统治得到巩固 C.经济的对外依附性加强 D.民族工业初步发展 47.(2024·全国高考新课标卷·33)1897年,西非黄金海岸成立“土著居民权利保护协会”,主要成 员是地方首领和受过西式教育的上层人士。他们成功抵制了殖民者将大片土地宣布为“无人居住土 地”的 企图。20世纪初,类似团体在非洲其他殖民地也相继成立。这些团体的存在( ) A.促使和平抗争成为主要斗争形式 B.推动了非洲首个政党的诞生 C.帮助大多数地区免于沦为殖民地 D.促进了民族独立思想的传播 6.绝对性原则 48.(2024·江苏高考·11)据统计,1774年至1852年,日本翻译的欧洲医学、天文学等书籍达470余 种,从事西洋书籍翻译的学者有117人,出现了以杉田玄白为代表的新派学者。当时“执政者虽亦关 心西欧科学,但西学的输入及研究却以民间为主”。这一现象表明日本( ) A.摒弃闭关锁国政策 B.全面吸纳西方近代文明 C.社会观念出现变化 D.政府推行“文明开化”政策 49.(2024·湖南高考·15)1919年,美国总统威尔逊表示:“世界大战要求毫不延缓地研究劳资关系 中出现的困难,迫使我们把自己家里的事情整顿好。坦白地说,在没有承认工人长期为之斗争的基本 权利之前,是不可能经常地、稳定地调整好劳资关系的。”这表明( ) A.十月革命产生了世界性影响 B.美国国内革命形势渐趋成熟 C.世界大战有利于各国改善工人待遇 D.法西斯主义威胁到美国社会的稳定 50.(2024·山东高考·13)图4为1918年10月23日英国《笨拙》杂志刊登的一幅漫画《大兵与文 官》。该漫画揭示出( ) A.英国对德国的强烈担忧 B.第一次世界大战的非正义性 C.战后国际关系体系的脆弱 D.英、法、美利益诉求的一致性