当前位置:首页>文档>第2单元 长句表达(一) 与细胞有关的概念、特点和作用的描述_2024年新高考资料_1.2024一轮复习_2024年高考生物一轮复习讲义(新人教版)_学生版在此文件夹_大一轮复习讲义

第2单元 长句表达(一) 与细胞有关的概念、特点和作用的描述_2024年新高考资料_1.2024一轮复习_2024年高考生物一轮复习讲义(新人教版)_学生版在此文件夹_大一轮复习讲义

  • 2026-04-29 10:48:15 2026-04-29 10:38:14

文档预览

第2单元 长句表达(一) 与细胞有关的概念、特点和作用的描述_2024年新高考资料_1.2024一轮复习_2024年高考生物一轮复习讲义(新人教版)_学生版在此文件夹_大一轮复习讲义
第2单元 长句表达(一) 与细胞有关的概念、特点和作用的描述_2024年新高考资料_1.2024一轮复习_2024年高考生物一轮复习讲义(新人教版)_学生版在此文件夹_大一轮复习讲义
第2单元 长句表达(一) 与细胞有关的概念、特点和作用的描述_2024年新高考资料_1.2024一轮复习_2024年高考生物一轮复习讲义(新人教版)_学生版在此文件夹_大一轮复习讲义
第2单元 长句表达(一) 与细胞有关的概念、特点和作用的描述_2024年新高考资料_1.2024一轮复习_2024年高考生物一轮复习讲义(新人教版)_学生版在此文件夹_大一轮复习讲义
第2单元 长句表达(一) 与细胞有关的概念、特点和作用的描述_2024年新高考资料_1.2024一轮复习_2024年高考生物一轮复习讲义(新人教版)_学生版在此文件夹_大一轮复习讲义
第2单元 长句表达(一) 与细胞有关的概念、特点和作用的描述_2024年新高考资料_1.2024一轮复习_2024年高考生物一轮复习讲义(新人教版)_学生版在此文件夹_大一轮复习讲义
第2单元 长句表达(一) 与细胞有关的概念、特点和作用的描述_2024年新高考资料_1.2024一轮复习_2024年高考生物一轮复习讲义(新人教版)_学生版在此文件夹_大一轮复习讲义
第2单元 长句表达(一) 与细胞有关的概念、特点和作用的描述_2024年新高考资料_1.2024一轮复习_2024年高考生物一轮复习讲义(新人教版)_学生版在此文件夹_大一轮复习讲义

文档信息

文档格式
docx
文档大小
0.701 MB
文档页数
4 页
上传时间
2026-04-29 10:38:14

文档内容

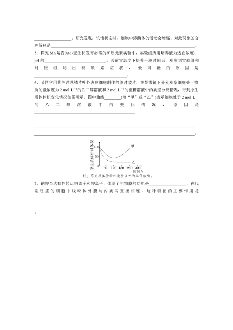
长句表达(一) 与细胞有关的概念、特点和作用的描述 1.(概念类)(经典高考题)根系是植物吸收水分的主要器官。根细胞内水分的主要作用有 ______________________________________________________________________________ ______________________________________________________________________________ _______________________________________________________________(答出两点即可)。 2.(分析原因类)(2019·海南,26节选)人体血液中有红细胞、白细胞和血小板。红细胞有运 输 氧 气 的 功 能 。 成 熟 红 细 胞 不 能 合 成 血 红 蛋 白 , 其 原 因 是 ________________________________ _______________________________________________________________________________ 。 3.(概念表述类)(经典高考题)用光学显微镜观察细胞,可以看到细胞核。细胞核的功能可概 括为____________________________________________________________________________ ______________________________________________________________________________。 4.(概念表述类)(2018·全国Ⅲ,30节选)分泌蛋白从合成至分泌到细胞外需要经过高尔基体, 此过程中高尔基体的功能是________________________________________________________ ______________________________________________________________________________。 5.(意义概括类、分析原因类)(江苏经典高考题)图1~3表示3种生物膜结构及其所发生的 部分生理过程。图 1 表示的生理过程是______________,其主要的生理意义在于 _____________。 图 2 中存在 3 种信号分子,但只有 1 种信号分子能与其受体蛋白结合,这说明 _____________。图1~3中生物膜的功能不同,从生物膜的组成成分分析,其主要原因是 __________________ _______________________________________________________________________________ 。6.(概念表述类)(2021·全国甲,29节选)(1)细胞外的K+可以跨膜进入植物的根细胞。细胞 膜和核膜等共同构成了细胞的生物膜系统,生物膜的结构特点是__________________。 (2)细胞外的K+能够通过离子通道进入植物的根细胞。离子通道是由________复合物构成的, 其运输的特点是__________________________________________________(答出1点即可)。 7.(概念表述类)(江苏经典高考题)如图为研究渗透作用的实验装置,图中半透膜模拟的是成 熟植物细胞中的__________________,两者在物质透过功能上的差异是_________________ ______________________________________________________________________________。 8.(说明依据类)(江苏经典高考题)在适宜温度下,采用完全营养液培养黄瓜幼苗,研究营养 液中氧含量变化对K+吸收速率的影响。实验结果如图,则黄瓜幼苗根系细胞吸收K+的方式 是________________,图中ab段为此提供的依据是__________________________________, 表明该过程需要能量。若在氧含量等条件稳定、适宜的情况下,研究在 10~40 ℃范围内的 温度变化对黄瓜幼苗 K+吸收速率的影响,预期 K+吸收速率变化的趋势是 ____________________ _______________________________________________________________________________ 。 9.(分析原因类)(2021·全国甲,29节选)细胞外的K+可以通过载体蛋白逆浓度梯度进入植物 的根细胞。在有呼吸抑制剂的条件下,根细胞对 K+的吸收速率降低,原因是 _______________ ______________________________________________________________________________。 概念表述类问题 概念表述类主要是针对教材中的核心概念,需要对教材基础知识非常熟悉,尤其是专业术语 的运用,概念类的以必修1、选择性必修1、选择性必修2为主。此类题目属于非选择题中的“事实性知识”设问,此类题目在语言表达题型中所占比例并不高,而且基本都是可以用 教材语言来回答的,解答此类题目的关键是熟悉教材中的核心概念、结论性语句,加强记忆, 表述准确。 以2022年全国甲31(1)为例:调查发现,某种哺乳动物种群的年龄结构属于增长型,得出这 一结论的主要依据是发现该种群中幼年个体数较多、中年个体数适中、老年个体数较少。 本题考查知识点:预测种群变化主要依据是年龄结构,是指不同年龄期的个体数目在种群内 的分布情况,当幼年个体数较多、中年个体数适中、老年个体数较少时呈增长型。本题虽然 没有直接问年龄结构的概念和作用,但实际要从年龄结构概念的角度答题,且答出增长型年 龄结构的特点。 1.研究人员将3H标记的亮氨酸注射到浆细胞中,以研究分泌蛋白形成和分泌的过程。亮氨 酸的结构式如图所示。用作原料的亮氨酸,若只有图中①号位的 H 被标记时, __________( 填 “ 能 ” 或 “ 不 能 ” ) 达 到 追 踪 蛋 白 质 的 目 的 , 原 因 是 __________________________________ ______________________________________________________________________________。 2.在细胞中合成蛋白质时,肽键是在__________上合成的,某些物理或化学因素可以导致 蛋 白 质 变 性 , 变 性 的 蛋 白 质 易 被 蛋 白 酶 水 解 , 原 因 是 蛋 白 质 变 性 后 __________________________使蛋白质降解。 3.若细胞内堆积错误折叠的蛋白质或损伤的细胞器,就会影响细胞的正常功能。研究发现, 细胞通过下图所示的机制进行相应调控。损伤的线粒体进入溶酶体后会被降解,原因是 __________________________________。细胞通过图示过程对细胞内部结构和成分所进行的 调控,其意义是_________________________________________________________________ ___________________________________________________________________(答出2点)。 4.溶酶体膜上存在一种具有ATP水解酶活性的载体蛋白——质子泵,有助于维持溶酶体内 酸性环境(pH约为5.0),据此分析,质子泵的具体作用是_____________________________ ______________________________________________________________________________。 溶酶体内含有多种水解酶。台-萨氏病是一种隐性遗传病,患者神经细胞的溶酶体中积累了 大量的神经节苷脂(GM2),从而造成精神呆滞。从溶酶体的功能分析,该病的致病机理是________________________________________________________________________________ __________________。研究发现,饥饿状态时,细胞中溶酶体的活动会增强。对此现象的合 理解释是______________________________________________________________________。 5.探究Mn是否为小麦生长发育必需的矿质元素实验中,实验组所用培养液为适宜浓度、 pH的______________________________。若适宜温度下培养一段时间后,观察到实验组和 对 照 组 均 出 现 缺 素 症 状 , 最 可 能 的 原 因 是 _____________________________________________。 6.某同学用紫色洋葱鳞片叶外表皮细胞制作的临时装片,在显微镜下分别观察细胞处于物 质的量浓度为2 mol·L-1的乙二醇溶液和2 mol·L-1的蔗糖溶液中的质壁分离情况,得到原生 质体体积变化情况如图所示。图中曲线________(填“甲”或“乙”)表示细胞处于2 mol·L-1 的 乙 二 醇 溶 液 中 的 变 化 情 况 , 原 因 是 _________________________________________________ ______________________________________________________________________________ ______________________________________________________________________________ ______________________________________________________________________________。 7.钠钾泵选择性转运钠离子和钾离子,体现了生物膜的功能是__________________,在代 谢 旺 盛 的 细 胞 中 线 粒 体 外 膜 与 内 质 网 直 接 相 连 , 这 种 特 征 的 主 要 作 用 是 ____________________ _______________________________________________________________________________ 。