当前位置:首页>文档>《计算》公式类完全平方公式-1星题(含详解)全国通用版_小学数学母题大全一二三四五六年级上下册一题多解题母题解_《公式类计算》(含详解)

《计算》公式类完全平方公式-1星题(含详解)全国通用版_小学数学母题大全一二三四五六年级上下册一题多解题母题解_《公式类计算》(含详解)

  • 2026-04-18 15:42:23 2026-02-01 16:36:53

文档预览

《计算》公式类完全平方公式-1星题(含详解)全国通用版_小学数学母题大全一二三四五六年级上下册一题多解题母题解_《公式类计算》(含详解)
《计算》公式类完全平方公式-1星题(含详解)全国通用版_小学数学母题大全一二三四五六年级上下册一题多解题母题解_《公式类计算》(含详解)
《计算》公式类完全平方公式-1星题(含详解)全国通用版_小学数学母题大全一二三四五六年级上下册一题多解题母题解_《公式类计算》(含详解)
《计算》公式类完全平方公式-1星题(含详解)全国通用版_小学数学母题大全一二三四五六年级上下册一题多解题母题解_《公式类计算》(含详解)
《计算》公式类完全平方公式-1星题(含详解)全国通用版_小学数学母题大全一二三四五六年级上下册一题多解题母题解_《公式类计算》(含详解)
《计算》公式类完全平方公式-1星题(含详解)全国通用版_小学数学母题大全一二三四五六年级上下册一题多解题母题解_《公式类计算》(含详解)
《计算》公式类完全平方公式-1星题(含详解)全国通用版_小学数学母题大全一二三四五六年级上下册一题多解题母题解_《公式类计算》(含详解)
《计算》公式类完全平方公式-1星题(含详解)全国通用版_小学数学母题大全一二三四五六年级上下册一题多解题母题解_《公式类计算》(含详解)
《计算》公式类完全平方公式-1星题(含详解)全国通用版_小学数学母题大全一二三四五六年级上下册一题多解题母题解_《公式类计算》(含详解)
《计算》公式类完全平方公式-1星题(含详解)全国通用版_小学数学母题大全一二三四五六年级上下册一题多解题母题解_《公式类计算》(含详解)
《计算》公式类完全平方公式-1星题(含详解)全国通用版_小学数学母题大全一二三四五六年级上下册一题多解题母题解_《公式类计算》(含详解)

文档信息

文档格式
docx
文档大小
0.046 MB
文档页数
7 页
上传时间
2026-02-01 16:36:53

文档内容

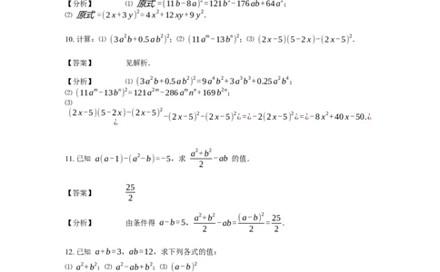
计算-公式类计算-完全平方公式-1 星 题 课程目标 知识点 考试要求 具体要求 考察频率 完全平方公式 B 1.熟悉完全平方公式 少考 2.能够运用完全平方公式进行计 算。 知识提要 完全平方公式  完全平方公式 (a+b) 2=a2+2ab+b2 (a-b) 2=a2-2ab+b2 精选例题 完全平方公式 1. 已知 a+b=3,a2b+ab2=-30,则 a2-ab+b2+11= . 【答案】 50 【分析】 a2b+ab2=ab(a+b)=3ab=-30,所以 ab=-10, a2-ab+b2+11=(a+b) 2-3ab+11=50. 2. 如图所示的几何图形可以表示的公式是 .【答案】 (a+b) 2=a2+2ab+b2 【分析】 如图,整个大正方形的面积为 (a+b) 2,而四个小图形的面积之和为 a2+2ab+b2,因此验证的公式为:(a+b) 2=a2+2ab+b2. 3. 设 a,b 为有理数,且 a+b=20,设 a2+b2 的最小值为 m,ab 的最大值为 n,则 m+n= . 【答案】 300 (a+b) 2+(a-b) 2 1 【分析】 a2+b2= = [202+(a-b) 2], 2 2 (a+b) 2-(a-b) 2 1 因为 (a-b) 2 ⩾0,所以 a2+b2 最小值 m=200;ab= = [400-(a-b) 2], 4 4 所以 ab 的最大值 n=100,故 m+n=300. 4. 如图,四张全等的矩形纸片拼成的图形,请利用图中空白部分面积的不同表示方法,写出 一个关于 a、b 的恒等式 . 【答案】 见解析.【分析】 (a-b) 2=(a+b) 2-4ab 或 4ab=(a+b) 2-(a-b) 2. 5. 填空: ⑴ a2+b2=(a+b) 2- ; ⑵ a2+b2=(a-b) 2+ ; 1 ⑶ a2+b2= [ + ]; 2 ⑷ (a-b) 2=(a+b) 2- ; ⑸ ab= = = . 【答案】 见解析. 【分析】 ⑴ 2ab; ⑵ 2ab; 1 ⑶ a2+b2= [(a+b) 2+(a-b) 2] ; 2 ⑷ 4ab; 1 1 1 ⑸ [(a+b) 2-a2-b2] , [a2+b2-(a-b) 2] , [(a+b) 2-(a-b) 2] . 2 2 4 6. 若 (x+2) 2+(x-3) 2=13,则 (x+2)(3-x)= . 【答案】 6 【分析】 (x+2) 2+(x-3) 2 =(x+2) 2+(3-x) 2 ¿ =25-2(x+2)(3-x) ¿ ¿ 所以 2(x+2)(3-x)=12,(x+2)(3-x)=6. 7. 计算:314×31.4+628×68.6+68.6×686= . 【答案】 100000 【分析】 原式 =10×(31.42+2×31.4×68.6+68.62 ) ¿ =10×1002 ¿ ¿ 本题利用到完全平方和公式 a2+2ab+b2=(a+b) 2. 8. 37×37+2×63×37+63×63= .【答案】 10000 【分析】 原式=(37+63) 2=1002=10000. 9. 计算:⑴ (-8a+11b) 2;⑵ (-2x-3 y) 2. 【答案】 见解析. 【分析】 ⑴ 原式=(11b-8a) 2=121b2-176ab+64a2; ⑵ 原式=(2x+3 y) 2=4x2+12xy+9 y2. 10. 计算:⑴ (3a2b+0.5ab2 ) 2;⑵ (11am-13bn ) 2;⑶ (2x-5)(5-2x)-(2x-5) 2. 【答案】 见解析. 【分析】 ⑴ (3a2b+0.5ab2 ) 2=9a4b2+3a3b3+0.25a2b4; ⑵ (11am-13bn ) 2=121a2m-286amnn+169b2n; ⑶ (2x-5)(5-2x)-(2x-5) 2 -(2x-5) 2-(2x-5) 2 ¿=¿-2(2x-5) 2 ¿=¿-8x2+40x-50.¿ ¿ a2+b2 11. 已知 a(a-1)-(a2-b)=-5,求 -ab 的值. 2 25 【答案】 2 a2+b2 (a-b) 2 25 【分析】 由条件得 a-b=5, -ab= = . 2 2 2 12. 已知 a+b=3,ab=12,求下列各式的值: ⑴ a2+b2;⑵ a2-ab+b2;⑶ (a-b) 2 【答案】 ⑴ 33;⑵ 45;⑶ 57 【分析】 ⑴ a2+b2 =a2+2ab+b2-2ab ¿ =32-2×(-12) ¿ ¿ ⑵a2-ab+b2 =a2+2ab+b2-3ab ¿ =45; ⑶ (a-b) 2 =a2-2ab+b2 ¿ =(a+b) 2-4ab ¿ ¿ 13. 计算:⑴ (a+b+c) 2;⑵ (a-b-c) 2;⑶ (a-2b+3c) 2. 【答案】 见解析. 【分析】 ⑴ 原式=a2+b2+c2+2ab+2ac+2bc; ⑵ 原式=a2+b2+c2-2ab-2ac+2bc; ⑶ 原式=a2+2b3+3c2-4ab+6ac-18bc. ( 1) 2 ( 1) 2 14. 计算:⑴ (4m+n) 2;⑵ x- ;⑶ (3x-2y) 2;⑷ -4 y- . 2 4 【答案】 见解析. 【分析】 ⑴ (4m+n) 2=(4m) 2+2×4mn+n2=16m2+8mn+n2; 1 1 1 1 ⑵ (x- ) 2=x2-2x +( ) 2=x2-x+ ; 2 2 2 4 ⑶ (3x-2y) 2=(3x) 2-2×3x×2y+(2y) 2=9x2-12xy+4 y2; ⑷ ( 1) 2 [ ( 1)] 2 -4 y- = - 4 y+ 4 4 ¿ =(4 y) 2+2×4 y× 1 + (1) 2 4 4 ¿ ¿ 15. 请设计一个几何图形,验证 (a-b) 2=a2-2ab+b2.【答案】 见解析. 【分析】 如图整个大正方形的面积为 a2,两个小正方形的面积分别为 (a-b) 2、b2, 另外两个长方形的面积均为 b(a-b),故 (a-b) 2=a2-b2-2(a-b)b=a2-2ab+b2,这就 是差的完全平方公式的几何意义. 16. 计算: (1)(-2x+3 y) 2; (2)(a-2b)(2b-a); (3)(a2+ab+b2 )(a2-ab+b2 ); (4)(2x- y+2)(y-2x+2). 【答案】 (1)4x2-12xy+9 y2; (2)-a2+4ab-4b2; (3)a4+a2b2+b4; (4)4-4x2+4xy- y2 【分析】 (1)原式=(2x-3 y) 2=4x2-12xy+9 y2; (2) 原式 =-(a-2b) 2 ¿ =-a2+4ab-4b2; (3) 原式 =[(a2+b2 )+ab][(a2+b2 )-ab] ¿ ¿ (4) 原式 =[2+(2x- y)][2-(2x- y)] ¿ =4-4x2+4xy- y2.17. 已知实数 a、b 满足 (a+b) 2=1,(a-b) 2=25,求 a2+b2+ab 的值. 【答案】 7 (a+b) 2+(a-b) 2 (a+b) 2-(a-b) 2 【分析】 a2+b2= =13,ab= =-6, 2 4 a2+b2+ab=7. 18. 计算: ⑴ (x- y) 2-(x+ y)(x- y); ( 3 1 )(3 1 ) ⑵ 2x- y- z y- z+2x ; 5 3 5 3 ⑶ (a2+ab+b2 )(a2-ab+b2 ). 【答案】 ⑴ 2y2-2xy; 4 1 9 ⑵ 4x2- xz+ z2- y2 ; 3 9 25 ⑶ a4+a2b2+b4 【分析】 ⑴ (x- y) 2-(x+ y)(x- y) x2-2xy+ y2-(x2- y2 )¿=¿2y2-2xy;¿ ¿ ⑵ ( 2x- 3 5 y- 3 1 z )(3 5 y- 3 1 z+2x ) ( 2x- 1 z ) 2 - (3 y ) 2 ¿=¿4x2- 4 xz+ 1 z2- 9 y2;¿ 3 5 3 9 25 ¿ ⑶ 原式 =[(a2+b2 )+ab][(a2+b2 )-ab] ¿ ¿