当前位置:首页>文档>《计算》公式类平方和公式-0星题(含详解)全国通用版_小学数学母题大全一二三四五六年级上下册一题多解题母题解_《公式类计算》(含详解)

《计算》公式类平方和公式-0星题(含详解)全国通用版_小学数学母题大全一二三四五六年级上下册一题多解题母题解_《公式类计算》(含详解)

  • 2026-03-17 02:37:03 2026-02-01 16:38:40

文档预览

《计算》公式类平方和公式-0星题(含详解)全国通用版_小学数学母题大全一二三四五六年级上下册一题多解题母题解_《公式类计算》(含详解)
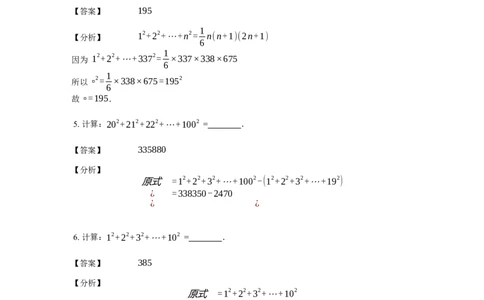
《计算》公式类平方和公式-0星题(含详解)全国通用版_小学数学母题大全一二三四五六年级上下册一题多解题母题解_《公式类计算》(含详解)
《计算》公式类平方和公式-0星题(含详解)全国通用版_小学数学母题大全一二三四五六年级上下册一题多解题母题解_《公式类计算》(含详解)
《计算》公式类平方和公式-0星题(含详解)全国通用版_小学数学母题大全一二三四五六年级上下册一题多解题母题解_《公式类计算》(含详解)
《计算》公式类平方和公式-0星题(含详解)全国通用版_小学数学母题大全一二三四五六年级上下册一题多解题母题解_《公式类计算》(含详解)
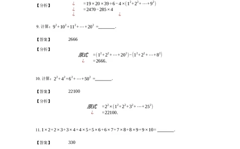
《计算》公式类平方和公式-0星题(含详解)全国通用版_小学数学母题大全一二三四五六年级上下册一题多解题母题解_《公式类计算》(含详解)
《计算》公式类平方和公式-0星题(含详解)全国通用版_小学数学母题大全一二三四五六年级上下册一题多解题母题解_《公式类计算》(含详解)
《计算》公式类平方和公式-0星题(含详解)全国通用版_小学数学母题大全一二三四五六年级上下册一题多解题母题解_《公式类计算》(含详解)
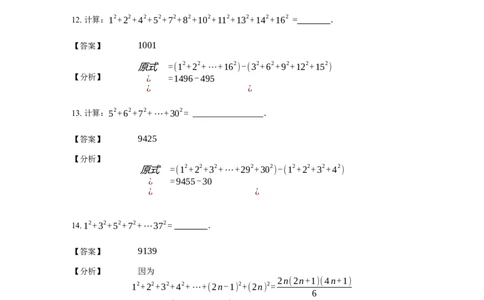
《计算》公式类平方和公式-0星题(含详解)全国通用版_小学数学母题大全一二三四五六年级上下册一题多解题母题解_《公式类计算》(含详解)
《计算》公式类平方和公式-0星题(含详解)全国通用版_小学数学母题大全一二三四五六年级上下册一题多解题母题解_《公式类计算》(含详解)
《计算》公式类平方和公式-0星题(含详解)全国通用版_小学数学母题大全一二三四五六年级上下册一题多解题母题解_《公式类计算》(含详解)
《计算》公式类平方和公式-0星题(含详解)全国通用版_小学数学母题大全一二三四五六年级上下册一题多解题母题解_《公式类计算》(含详解)
《计算》公式类平方和公式-0星题(含详解)全国通用版_小学数学母题大全一二三四五六年级上下册一题多解题母题解_《公式类计算》(含详解)
《计算》公式类平方和公式-0星题(含详解)全国通用版_小学数学母题大全一二三四五六年级上下册一题多解题母题解_《公式类计算》(含详解)
《计算》公式类平方和公式-0星题(含详解)全国通用版_小学数学母题大全一二三四五六年级上下册一题多解题母题解_《公式类计算》(含详解)

文档信息

文档格式
docx
文档大小
0.050 MB
文档页数
11 页
上传时间
2026-02-01 16:38:40

文档内容

计算-公式类计算-平方和公式-0 星题 课程目标 知识点 考试要求 具体要求 考察频率 平方和公式 B 1.熟悉平方和公式 少考 2.运用公式进行复杂的计算。 知识提要 平方和公式  平方和公式 n(n+1)(2n+1) 12+22+32+⋯+n2= 6 精选例题 平方和公式 1. 计算:36+49+64+81+⋯+400 = . 【答案】 2815 【分析】 原式 =62+72+82+⋯+202 ¿ =20×21×41÷6-5×6×11÷6 ¿ =2815. 2. 计算:102+122+142+⋯+502 = . 【答案】 21980 【分析】 原式 =(22+42+62+⋯+502 )-(22+42+62+82) ¿ =4×51×25×26÷6-4×30 ¿ ¿3. 计算:112+122+132+⋯+202= . 【答案】 2485 原式 =(12+22+⋯+202 )-(12+22+⋯+102 ) 【分析】 ¿ =2485. 4. 337×▫2=12+22+32+⋯+3372,则 ▫= . 【答案】 195 1 【分析】 12+22+⋯+n2= n(n+1)(2n+1) 6 1 因为 12+22+⋯+3372= ×337×338×675 6 1 所以 ▫2= ×338×675=1952 6 故 ▫=195. 5. 计算:202+212+222+⋯+1002 = . 【答案】 335880 【分析】 原式 =12+22+32+⋯+1002-(12+22+32+⋯+192) ¿ =338350-2470 ¿ ¿ 6. 计算:12+22+32+⋯+102 = . 【答案】 385 【分析】 原式 =12+22+32+⋯+102 ¿ =385. 7. 计算:12+22+32+⋯+992= . 【答案】 328350 【分析】原式 =12+22+32+⋯+992 ¿ =328350. 8. 计算:12+32+52+⋯+192= . 【答案】 1330 原式 =12+32+52+⋯+192 ¿ =19×20×39÷6-4×(12+22+⋯+92 ) 【分析】 ¿ =2470-285×4 ¿ ¿ 9. 计算:92+102+112+⋯+202 = . 【答案】 2666 【分析】 原式 =(12+22+⋯+202 )-(12+22+⋯+82) ¿ =2666. 10. 计算:22+42+62+⋯+502 = . 【答案】 22100 【分析】 原式 =22×(12+22+32+⋯+252 ) ¿ =22100. 11. 1×2+2×3+3×4+4×5+5×6+6×7+7×8+8×9+9×10= . 【答案】 330 【分析】 本题项数较少,可以直接将每一项乘积都计算出来再计算它们的和,但是对 于项数较多的情况显然不能这样进行计算.对于项数较多的情况,可以进行如下变形: n(n+1)(n+2)-(n-1)n(n+1) 1 1 n(n+1)= = n(n+1)(n+2)- (n-1)n(n+1) 3 3 3 所以原式 1 (1 1 ) (1 1 ) 1 = ×1×2×3+ ×2×3×4- ×1×2×3 +⋯+ ×9×10×11- ×8×9×10 = ×9×10×11=330 3 3 3 3 3 3另解:由于 n(n+1)=n2+n,所以 原式 1 1 =(12+1)+(22+2)+⋯+(92+9)=(12+22+⋯+92)+(1+2+⋯+9)= ×9×10×19+ ×9×10=330 6 2 采用此种方法也可以得到 1 1×2+2×3+⋯+n×(n+1)= n(n+1)(n+2) 3 12. 计算:12+22+42+52+72+82+102+112+132+142+162 = . 【答案】 1001 原式 =(12+22+⋯+162 )-(32+62+92+122+152 ) 【分析】 ¿ =1496-495 ¿ ¿ 13. 计算:52+62+72+⋯+302= . 【答案】 9425 【分析】 原式 =(12+22+32+⋯+292+302 )-(12+22+32+42 ) ¿ =9455-30 ¿ ¿ 14. 12+32+52+72+⋯372= . 【答案】 9139 【分析】 因为 2n(2n+1)(4n+1) 12+22+32+42+⋯+(2n-1) 2+(2n) 2= 6 22+42+⋯+(2n) 2 =4×(12+22+⋯+n2) ¿ ¿ 所以 2n(2n+1)(4n+1) 12+32+⋯+(2n-1) 2+22+42+⋯+(2n) 2= 6 1 12+32+52+⋯+(2n-1) 2= n(4n2-1). 3 当 n=19 时,1 原式 = ×19×(4×192-1) 3 ¿ ¿ 15. 计算:11×29+12×28+⋯+19×21= . 【答案】 3315 【分析】 原式 =(202-92)+(202-82)+⋯+(202-12) 1 ¿ =3600- ×9×10×19 6 ¿ ¿ 16. 12+32+52+⋯+192= . 【答案】 2185 【分析】 12+32+52+⋯+192 (12+22+32+⋯+192 )-(22+42+⋯+182 )¿=¿ 1 ×19×20×39-4×(12+22+⋯+92 )¿=¿2470- 1 ×9×10×19¿=¿2470-285¿=¿2185.¿ ¿ 6 6 17. 1×1+2×3+3×5+4×7+⋯+99×197= . 【答案】 651750 1 【分析】 12+22+⋯+n2= n(n+1)(2n+1). 6 1 1×2+2×3+3×4+⋯+n(n+1)= n(n+1)(n+2) 3 原式 =12+22+32+⋯+992+1×2+2×3+3×4+⋯+98×99 ¿ =328350+323400 ¿ ¿ 18. 规定 a△b=a×(a+2)-(a+1)-b,计算:(2△1)+⋯+(11△10)= . 【答案】 505 【分析】 这个题目直接套用定义给的公式非常麻烦,需要套用 10 次,然后再求和. 但是我们注意到要求的 10 项值有一个共同的特点就是在要我们求得这个式子中 b=a-1, 所以,我们不妨把 b=a-1 代入原定义. a△b=a×(a+2)-(a+1)-b 就变成了a△b=a×(a+2)-(a+1)-(a-1)=a2. 所以 2△1=22,3△2=32,⋯,3△2=112,则 原式 =22+32+42+⋯+112 ¿ =505. 19. 已知正整数 A 分解质因数可以写成 A=2α×3β×5γ,其中 α,β,γ 是自然数.如果 A 的二分之一是完全平方数,A 的三分之一是完全立方数,A 的五分之一是某个自然数的五次 方,那么 α+β+γ 的最小值是 . 【答案】 31 【分析】 A 的二分之一是完全平方数,α-1,β,γ 是 2 的倍数;A 的三分之一是 完全立方数,α,β-1,γ 是 3 的倍数;A 的五分之一是某个自然数的五次方,α,β,γ-1 是 5 的倍数;要 α+β+γ 的值最小,分别求满足条件的 α,β,γ 值:3×5-1 是 2 的倍数, α 的最小值为 15,2×3-1 是 5 的倍数,γ 的最小值为 6,2×5-1 是 3 的倍数,β 的 最小值为 10,所以 α+β+γ 的最小值是:15+6+10=31. 20. 计算:1×22+2×32+3×42+⋯+18×192+19×202 = . 【答案】 41230 【分析】 分拆(2-1)×22=23-22,(3-1)×32=33-32,⋯,再用公式, 原式 =(23-22 )+(33-32 )+⋯+(203-202 ) ¿ =202×212÷4-20×21×41÷6 ¿ ¿ 21. 计算:36+49+64+81+⋯+400= . 【答案】 2815 原式 =62+72+82+⋯+202 1 1 【分析】 ¿ = ×20×21×41- ×5×6×11 6 6 ¿ =2815. 22. 计算:1×3+2×4+3×5+⋯9×11= . 【答案】 375 【分析】原式 =(2-1)(2+1)+(3-1)(3+1)+⋯+(10-1)(10+1) ¿ =(22+32+⋯+102)-9 10×11×21 ¿ = -10 6 ¿ ¿ 23. 计算:102+112+122+⋯+2002= . 【答案】 2686415 【分析】 原式缺少前几项,可以先补上前几项,再减去前几项,再利用公式进行求解. 原式= (12+22+⋯+92+102+112+122+⋯+2002 )-200×(200+1)×(400+1) 9×10×19 - ¿=¿2686700-285¿=¿2686415.¿ ¿ ¿ 6 6 ( 1 1 1 ) ( 1 1 1 ) 24. 24× + +⋯+ - + +⋯+ = . 2×3 4×5 20×21 12 12+22 12+22+⋯+102 60 【答案】 11 3 1 10 75 【分析】 虽然很容易看出 = , = ⋯⋯ 可是再仔细一看,并没有什么效 7 3 21 2 果,因为这不象分数裂项那样能消去很多项.我们再来看后面的式子,每一项的分母容易让我 1 们想到公式 12+22+32+⋯+n2= ×n×(n+1)×(2n+1), 6 1 6 于是我们又有 = . 12+22+⋯+n2 n×(n+1)×(2n+1) 减号前面括号里的式子有 10 项,减号后面括号里的式子也恰好有 10 项,是不是“一个对 一个”呢?( 1 1 1 ) ( 1 1 1 ) 24× + +⋯+ - + +⋯+ 2×3 4×5 20×21 12 12+22 12+22+⋯+102 ( 1 1 1 ) ( 1 1 1 ) =24× + +⋯+ -6× + +⋯+ 2×3 4×5 20×21 1×2×3 2×3×5 10×11×21 ( 1 1 1 ) ( 1 1 1 ) =24× + +⋯+ -24× + +⋯+ 2×3 4×5 20×21 2×4×3 4×6×5 20×22×21 [( 1 1 ) ( 1 1 ) ( 1 1 )] =24× - + - +⋯+ - 2×3 2×4×3 4×5 4×6×5 20×21 20×22×21 ( 1 1 1 ) =24× + +⋯+ 2×4 4×6 20×22 ( 1 1 1 ) =6× + +⋯+ 1×2 2×3 10×11 ( 1 ) =6× 1- 11 60 = 11 25. 计算:1×4+3×7+5×10+⋯+99×151= . 【答案】 256225 【分析】 观察可知式子中每一项乘积的被乘数与乘数依次成等差数列,被乘数依次为 1,3,5,⋯,99,乘数依次为 4,7,10,⋯,151,根据等差数列的相关知识,被乘数可 以表示为 2n-1,乘数可以表示为 3n+1,所以通项公式为 (2n-1)×(3n+1)=6n2-n-1. 所以, 原式 =(6×12-1-1)+(6×22-2-1)+⋯+(6×502-50-1) 1 ¿ =50×51×101- ×50×51-50 2 ¿ ¿ 另解:如果不进行通项归纳,由于式子中每一项的被乘数与乘数的差是不相等,可以 先将这个差变为相等再进行计算. 1 原式= ×(3×8+9×14+15×20+⋯+297×302) 6 1 1 1 3 5 1 ׿(32+3×5+92+9×5+152+15×5+⋯+2972+297×5)¿=¿ ׿ [(32+92+152+⋯+2972)+5×(3+9+15+⋯+297)] ¿=¿ ׿ [9×(12+32+52+⋯+992)+5×3×(1+3+5+⋯+99)] ¿=¿ ×(12+32+52+⋯+992)+ ×(1+3+5+⋯+99).¿ = × 6 6 6 2 2 6 ¿ ¿ 而 12+32+52+⋯+992 和 1+3+5+⋯+99 都是我们非常熟悉的.12+32+52+⋯+992 (12+22+32+⋯+1002)-(22+42+62+⋯+1002)¿=¿ 1 ×100×101×201-4× 1 ×50×51×101¿=¿ 1 ×100×101×(201-102)¿=¿ 1 ×99×100×101¿=¿166650,¿ ¿ 6 6 6 6 1+3+5+⋯+99=502=2500, 所以 3 5 原式= ×166650+ ×2500=256225. 2 2 小结:从上面的计算过程中可以看出, 1 12+32+52+⋯+992= ×99×100×101, 6 而 1 1×2+2×3+⋯+99×100= ×99×100×101, 3 所以有 (12+32+52+⋯+992)×2=1×2+2×3+⋯+99×100. 26. 对自然数 a 和 n,规定 a∇n=an+an-1,例如 3∇2=32+3=12,那么: (1)1∇2+2∇2+3∇2+⋯+99∇2= ; (2)2∇1+2∇2+2∇3+⋯+2∇99= . 【答案】 (1)333300;(2)3×299-3 【分析】 (1) 原式 =12+1+22+2+32+3+⋯+992+99 ¿ =99×100×199÷6+4950 ¿ =333300; (2) 原式 =21+20+22+21+23+22+⋯+299+298 ¿ =(20+21+22+⋯298)×3 ¿ =3×299-3. 27. 围棋棋盘是由 19 条横线和 19 条竖线组成的正方形方阵,其中有多少个正方形呢? 【答案】 2109 个 【分析】 简答:按正方形的大小分类,共有 182+172+⋯+12=2109个. 28. 12+22+32+⋯+20012+20022 除以 7 的余数是多少? 【答案】 0 【分析】 由于12+22+32+⋯+20012+200222002×2003×4005 ¿=¿1001×2003×1335¿ ¿ 6 而 1001 是 7 的倍数,所以这个乘积也是 7 的倍数,故 12+22+32+⋯+20012+20022 除 以 7 的余数是 0; 29. 试求 1×2+2×3+3×4+4×5+5×6+⋯+99×100. 【答案】 333300 【分析】 方法一:整数裂项 原式= (1×2×3+2×3×3+3×4×3+4×5×3+5×6×3+ [1×2×3+2×3×(4-1)+3×4×(5-2)+4×5×(6-3)¿+5×6×(7-4)+⋯+99×100×(101-98)]÷÷3¿=¿(1×2×3+2×3×4-1×2×3+3×4×5-2×3×4+4×5×6¿-3×4×5+5×6×7-4×5×6+⋯+99×100×101-¿98×99×100)÷3¿=¿99×100×101÷3¿=¿33×101×100¿=¿3333×100¿=¿333300.¿ ¿ ¿ 方法二:利用平方和公式 n×(n+1)×(2n+1) 12+22+32+42+⋯+n2=n2= . 6 原式 =12+1+22+2+32+3+42+4+52+5+⋯+992+99 99×100×199 99×100 ¿ = + 6 2 ¿ =333300. 30. 我们知道:9=3×3,16=4×4,这里,9、16 叫做“完全平方数”,在前 300 个自然 数中,去掉所存的“完全平方数”,剩下的自然数的和是多少?. 【答案】 43365 【分析】 不超过 300 的完全平方数,有 1、4、9、16、25、36、49、64、81、 100、121、144、169、196、225、256、289,它们的和是 17×18×35 12+22+32+⋯+172= =1785.前 300 个自然数的和是: 6 1+2+3+⋯+300=45150,于是剩下的自然数的和 45150-1785=43365. 31. 看规律 13=12,13+23=32,13+23+33=62 ⋯,试求 63+73.+⋯+143. 【答案】 10800 原式 =(13+23+⋯+143)-(13+23.+⋯+53) 【分析】 ¿ =1052-152 ¿ =90×120 ¿ ¿32. 计算下列式子的值: 1 1 1 1 1 1 24×( + +⋯+ )-( + +⋯ ) 2×3 4×5 20×21 12 12+22 12+22+⋯+102 60 【答案】 11 1 1 1 1 1 1 【分析】 虽然很容易看出 = - , = - ⋅⋅⋅⋅⋅⋅ 可是再仔细一看, 2×3 2 3 4×5 4 5 并没有什么效果,因为这不像分数裂项那样能消去很多项.我们再来看后面的式子,每一项的 分母容易让我们想到公式 1 12+22+32+⋯+n2= ×n×(n+1)×(2n+1), 6 于是我们又有 1 6 = . 12+22+32+⋯+n2 n×(n+1)(2n-1) 减号前面括号里的式子有 10 项,减号后面括号里的式子也恰好有 10 项 1 1 1 1 1 1 24×( + +⋯+ )-( + +⋯+ ) 1 1 1 1 1 1 1 1 1 1 1 1 [ 1 1 1 1 1 1 ] 1 1 1 1 1 1 1 60 2×3 4×5 20×21 12 12+22 12+22+⋯+102 24×( + +⋯+ )-¿6×( + +⋯+ )¿=¿24×( + +⋯+ )-¿24×( + +⋯+ )¿=¿24× ( - )+( - )+¿⋯+( - ) ¿=¿24×( + +⋯+ )¿=¿6×( + +⋯+ )¿=¿6×(1- )¿=¿ ¿ 2×3 4×5 20×21 1×2×3 2×3×5 10×11×12 2×3 4×5 20×21 2×4×3 4×6×5 20×22×21 2×3 2×4×3 4×5 4×6×5 20×21 20×22×21 2×4 4×6 20×22 1×2 2×3 10×11 11 11 ¿