当前位置:首页>文档>数学五年级第5讲分数与循环小数(教师版+学生版,含详细解析)全国通用_小学数学思维训练电子版举一反三奥数逻辑拓展专项图解强化_五年级

数学五年级第5讲分数与循环小数(教师版+学生版,含详细解析)全国通用_小学数学思维训练电子版举一反三奥数逻辑拓展专项图解强化_五年级

  • 2026-04-09 22:21:02 2026-02-02 22:12:59

文档预览

数学五年级第5讲分数与循环小数(教师版+学生版,含详细解析)全国通用_小学数学思维训练电子版举一反三奥数逻辑拓展专项图解强化_五年级
数学五年级第5讲分数与循环小数(教师版+学生版,含详细解析)全国通用_小学数学思维训练电子版举一反三奥数逻辑拓展专项图解强化_五年级
数学五年级第5讲分数与循环小数(教师版+学生版,含详细解析)全国通用_小学数学思维训练电子版举一反三奥数逻辑拓展专项图解强化_五年级
数学五年级第5讲分数与循环小数(教师版+学生版,含详细解析)全国通用_小学数学思维训练电子版举一反三奥数逻辑拓展专项图解强化_五年级
数学五年级第5讲分数与循环小数(教师版+学生版,含详细解析)全国通用_小学数学思维训练电子版举一反三奥数逻辑拓展专项图解强化_五年级
数学五年级第5讲分数与循环小数(教师版+学生版,含详细解析)全国通用_小学数学思维训练电子版举一反三奥数逻辑拓展专项图解强化_五年级
数学五年级第5讲分数与循环小数(教师版+学生版,含详细解析)全国通用_小学数学思维训练电子版举一反三奥数逻辑拓展专项图解强化_五年级
数学五年级第5讲分数与循环小数(教师版+学生版,含详细解析)全国通用_小学数学思维训练电子版举一反三奥数逻辑拓展专项图解强化_五年级
数学五年级第5讲分数与循环小数(教师版+学生版,含详细解析)全国通用_小学数学思维训练电子版举一反三奥数逻辑拓展专项图解强化_五年级
数学五年级第5讲分数与循环小数(教师版+学生版,含详细解析)全国通用_小学数学思维训练电子版举一反三奥数逻辑拓展专项图解强化_五年级
数学五年级第5讲分数与循环小数(教师版+学生版,含详细解析)全国通用_小学数学思维训练电子版举一反三奥数逻辑拓展专项图解强化_五年级
数学五年级第5讲分数与循环小数(教师版+学生版,含详细解析)全国通用_小学数学思维训练电子版举一反三奥数逻辑拓展专项图解强化_五年级
数学五年级第5讲分数与循环小数(教师版+学生版,含详细解析)全国通用_小学数学思维训练电子版举一反三奥数逻辑拓展专项图解强化_五年级
数学五年级第5讲分数与循环小数(教师版+学生版,含详细解析)全国通用_小学数学思维训练电子版举一反三奥数逻辑拓展专项图解强化_五年级

文档信息

文档格式
doc
文档大小
0.553 MB
文档页数
10 页
上传时间
2026-02-02 22:12:59

文档内容

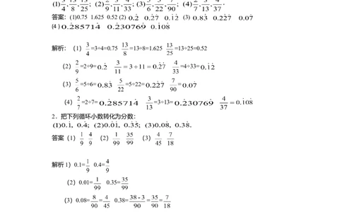
第 5 讲 分数与循环小数 内容概述 掌握分数与小数互相转化的方法,并在分数与循环小数混合运算中进行合理应用;学会 通过分数的形式判断相应的小数类型;注意利用周期性性分析循环小数的小数部分。 典型问题 兴趣篇 1.把下列分数化为小数: 答案:(1)0.75 1.625 0.52 (2) (3) (4 ) 解析:(1) =3÷4=0.75 =13÷8=1.625 =13÷25=0.52 (2) =2÷9= =4÷33= (3) =5÷6= =5÷22= = (4) =2÷7= =3÷13= 2.把下列循环小数转化为分数: 答案(1) (2) (3) 解析1)0.1= 0.4= (2)0.01= 0.35= (3)0.08= = 0.38= = = 3.把下列循环小数转化为分数: 答案: 解析:0.7= 0.12= = 0.123= = 0.123= = 4.计算:答案: 1 解析: = = = 5. 答案: 解析: 6.计算下列各式,并用小数表示计算结果: 答案: 解析:(1)原式= (2) 7.将算式 的计算结果用循环小数表示是多少? 答案: 解析: 8.将算式 的计算结果用循环小数表示是多少? 答案: 解析:原式9.冬冬将 乘以一个数口时,把 误看成1. 23,使乘积比正确结果减少0. 3.则 正确结果应该是多少? 答案:111 解析:由题意得: ,即: ,所以有: .解得 ,所以 . 10.真分数 化成小数后,如果从小数点后第一位起连续若干个数字之和是 2000.a应该 是多少? 答案:a=2 解析: 化成小数很神奇,都是有142857这六个数字组成,并循环的,而且六个数字 从左到右的相对顺序位置是不变的 , , , , , . 一个循环节的6位数字之和是 , ,循环 节的前几位数字之和是2的只有 ,此时a就是2. 拓展篇 1.将下列分数化为小数: 答案: 解析: 2.把下列循环小数转化为分数: 答案 : 解析:= 3.(1)把下面这些分数化为小数后,哪些是有限小数,哪些是纯循环小数,哪些是混循环 小数: 答案:能化成有限小数: 能化成纯循环小数: 能化成混循环小数: 解析:先化简分数,之后将分母分解质因数。如果分母只含有质因数2和5,那么这个分 数一定能化成有限小数;如果分母中只含有2与5以外的质因数,那么这个分数一定能化 成纯循环小数;如果分母中既含有质因数2或5,又含有2与5以外的质因数,那么这个分 数一定能化成混循环小数。 (2)把下列分数化成循环小数: 答案: 解析: 4.计算: 答案: 1 解析:(1)5计算 (2) 答案: 2.4 解析: 6.计算: 答案:(1) (2) 解析: 7.计算: (将结果表示为分数和小数两种形式)答案: 解 析 : 8.计算: (结果用循环小数表示) 答案: 解 析 : 原 式 9.将最简真分数 化成小数后,从小数点后第一位开始的连续 n位数之和为9006,a与n 分别为多少? 答案:a=1 n=2002 或a=2 n=2001 解析: 化成的小数都是有142857这六个数字组成,并循环的,而且六个数字从左到右的 相对顺序位置是不变的 , , , , , . 一个循环节的6位数字之和是 , ,循环节 的前几位数字之和是 15,在 中,1+4+2+8=15,那么 a 就是 1,此时 n=333×6+4=2002, 在 中,2+8+5=15,那么a就是2,此时n=333×6+3=2001.所以,a=1 n=2002 或 a=2 n=2001 。 10.冬冬写了一个错误的不等式: 请给式子中每 个小数都添加循环点,使不等号成立.请问:添加循环点后这四个数中最大数与最小数的 和等于多少? 解析:把0.2008添加循环点,可以变成4个循环小数: , , , . , , ,. 比较小数点后第5、6、7位,可知 11.(1) 化成小数后,两个循环小数的小数点后第2008位数字的和是多少? (2)把 化成小数后,两个循环小数的小数点后第2008位数字的和是多少? 答案 (1)9 (2) 9 (1)解析: (2)解析: 而 ,所以这两个数小数点对应数字之和都为9. 12.冬冬将 乘以一个数a时,看丢了一个循环点,使得乘积比正确结果减少了 正确结果应该是多少? 答案: 解析: ,乘数少了 , 乘积少了 说明a=300, 超越篇 1.将循环小数 与 相乘,取近似值,要求保留一百位小数.该近似 值的最后一位小数是多少? 答案:9 解析:先化成分数,相乘,分子分母约分,再化成小数。 o o o o o o 0.027×0.179672= × = × = =0.004856。 004856六个数字循环,100÷6=16…4,第100位是8,后面的5四舍五入进1,进位 后第100位(近似值的最后一位)是9。 2.有一个算式 ,算式左边的方格中都是整数,右边的结果为四舍五入到百分位后的近似值,那么方格中填人的三个数分别是多少? 答案:1 3 3 解析:分母为2和5的分数都是一位小数,因此百分位的7是分母是11的分数产生的,只 有 , =1.1,只有 =1.1,因此 + 1.37 3.划去0.5738367981的小数点后的六个数字,再添上表示循环节的两个圆点,可以得到 一个循环小数.这样的小数中最大的数为多少?最小的数为多少? 答案:最大 最小 解析:要使9为小数点后第一位,须划去七个数字,因此小数点后第一位最大是8,划去 573和367这六个数字后小数点后第二位是9,最大,为使循环小数最大,须把9设为循环 节的第一位,从而最大的数是 。显然不是小数点后前三位数字,因此小数点后第 一位最小是3,第二位最小是3,第三位最小是6,为使循环小数最小,须把第一个圆点添 在第一个3上,即最小的数是 。 4.给小数0.2138045976添加表示循环节的两个圆点,得到一个循环小数,要使得这个循 环小数的小数点后第100位数字是7,应该怎么添加? 答案: 解析:第100位是7,那么第101位是6,由于前面已经占用了10位,所以后面的完整循 环节有101-10=91位,则每个循环节的数字个数是91的约数,显然在2到10的范围内只有 7才是91的约数,所以循环节数字的个数是7,因此,应该标在数字8和6上 5.有两个循环小数a和b,a的循环节有3位,b的循环节有6位.这两个数之和的循环节 最多有多少位?最少有多少位? 答案:最多有6位,最少有2位 解析:两个循环小数的和或差的循环节的位数最多是这两个循环节位数的最小公倍数。 a的小数部分化为分数后为 ,b的小数部分化为分数后为 , 由 于 999999=999×1001 , a+b 的 小 数 部 分 即 + = ,循环节最多有6位,最少有2位,此时c为10101的倍数 6.只用数字1、2、3各一次可以组成很多不含重复数字的循环小数(循环点和小数点可以 任意添加,例如 , , ).这些小数的总和是多少? 答案:160解析:1. +1. +2. +2. +3. +3. =13 12. +13. +21. +23. +31. +32. =133 1.2 +1.3 +2.1 +2.3 +3.1 +3.2 =13 133 +13 +13 =160 7.写出一个最简真分数,它的分子是2,并且化成小数后是一个混循环小数,不循环部分 为2位,循环带为3位,那么这个分数最大是多少? 答案: 解析:满足条件的分母应该是99900的因数,分子是2,说明分母中没有2这个因数,说明 有2个5,,999的因数中不是99的因数的最小整数是27,因此是 8.我们把由数字0和7组成的小数叫做“特殊数”,例如 、77.007都是“特殊数”,如 果我们将l写成若干个“特殊数”的和,最少要写成多少个? 答案 8 解析:将7除以7变成1。若干个特殊数的和写成1,说明这样的特殊数都是小于1的。 o o 假设:a+a+…+a=1,则 (a+a+…+a)/7= =0.142857。 1 2 n 1 2 n o o 除以7后,每个数位上要么是0要么是1,142857中的8至少要有8个1相加才可以得 到,所以1最少要写成8个特殊数的和。 构造如下: 十分位 百分位 千分位 万分位 十万分位 百万分位 (1) 1 1 1 1 1 1 (2) 1 1 1 1 1 (3) 1 1 1 1 (4) 1 1 1 1 (5) 1 1 1 (6) 1 1 (7) 1 1 (8) 1 求和 1 4 2 8 5 7o o o o o o o o a=0.777777,a=0.077777,a=0.070777,a=0.070777, 1 2 3 4 o o o o o o o o a=0.000777,a=0.000707,a=0.000707,a=0.000700。 5 6 7 8