当前位置:首页>文档>数学(深圳卷)(参考答案及评分标准)_2数学总复习_赠送:2024中考模拟题数学_二模_数学(广东深圳卷)-:2024年中考第二次模拟考试

数学(深圳卷)(参考答案及评分标准)_2数学总复习_赠送:2024中考模拟题数学_二模_数学(广东深圳卷)-:2024年中考第二次模拟考试

  • 2026-04-12 23:30:37 2026-02-06 00:56:09

文档预览

数学(深圳卷)(参考答案及评分标准)_2数学总复习_赠送:2024中考模拟题数学_二模_数学(广东深圳卷)-:2024年中考第二次模拟考试
数学(深圳卷)(参考答案及评分标准)_2数学总复习_赠送:2024中考模拟题数学_二模_数学(广东深圳卷)-:2024年中考第二次模拟考试
数学(深圳卷)(参考答案及评分标准)_2数学总复习_赠送:2024中考模拟题数学_二模_数学(广东深圳卷)-:2024年中考第二次模拟考试
数学(深圳卷)(参考答案及评分标准)_2数学总复习_赠送:2024中考模拟题数学_二模_数学(广东深圳卷)-:2024年中考第二次模拟考试
数学(深圳卷)(参考答案及评分标准)_2数学总复习_赠送:2024中考模拟题数学_二模_数学(广东深圳卷)-:2024年中考第二次模拟考试
数学(深圳卷)(参考答案及评分标准)_2数学总复习_赠送:2024中考模拟题数学_二模_数学(广东深圳卷)-:2024年中考第二次模拟考试
数学(深圳卷)(参考答案及评分标准)_2数学总复习_赠送:2024中考模拟题数学_二模_数学(广东深圳卷)-:2024年中考第二次模拟考试
数学(深圳卷)(参考答案及评分标准)_2数学总复习_赠送:2024中考模拟题数学_二模_数学(广东深圳卷)-:2024年中考第二次模拟考试
数学(深圳卷)(参考答案及评分标准)_2数学总复习_赠送:2024中考模拟题数学_二模_数学(广东深圳卷)-:2024年中考第二次模拟考试
数学(深圳卷)(参考答案及评分标准)_2数学总复习_赠送:2024中考模拟题数学_二模_数学(广东深圳卷)-:2024年中考第二次模拟考试
数学(深圳卷)(参考答案及评分标准)_2数学总复习_赠送:2024中考模拟题数学_二模_数学(广东深圳卷)-:2024年中考第二次模拟考试
数学(深圳卷)(参考答案及评分标准)_2数学总复习_赠送:2024中考模拟题数学_二模_数学(广东深圳卷)-:2024年中考第二次模拟考试

文档信息

文档格式
docx
文档大小
0.341 MB
文档页数
8 页
上传时间
2026-02-06 00:56:09

文档内容

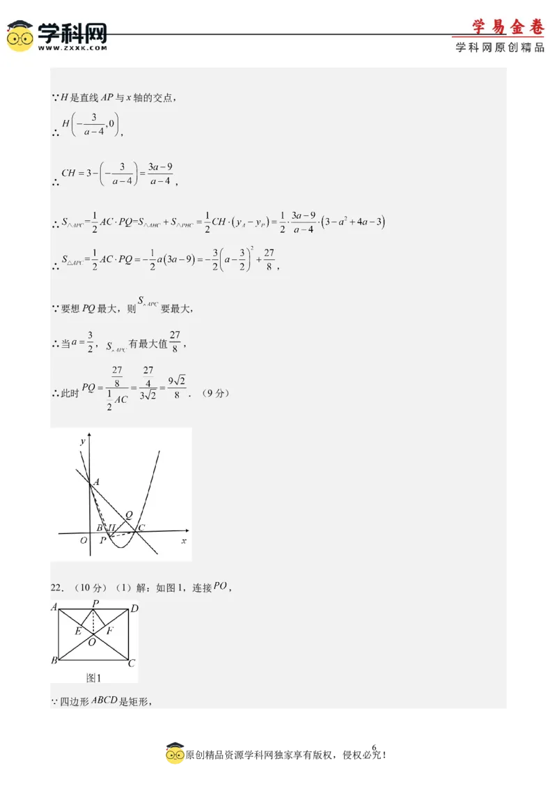
2024 年中考第二次模拟考试(深圳卷) 数学·全解全析 第一部分选择题 一、选择题(本大题共10小题,每题3分,共30分.每题给出4个选项,其中只有一种是正确旳) 1 2 3 4 5 6 7 8 9 10 A B B B A B A A C C 第二部分非选择题 二、填空题(本大题共5小题,每题3分,共15分) 11. 12. 30 74 13. / 26度 14. 15.①③④ 三、解答题(本大题共7小题,其中第16小题5分,第17题7分,第18题8分,第19题8分,第20题8 分,第21题9分,第22题10分,共55分) 16.(5分)解:原式 (3分) .(5分) 17.(7分)原式= = == = = = ,(5分) 原式= .(7分) 18.(8分)解:(1)本次抽查的人数为24÷20%=120(人), 故答案为120人;(2分) (2)扇形统计图中不及格学生所占的圆心角的度数为360°× =18°, 故答案为18;(4分) (3)良好的人数为120﹣(24+54+6)=36(人), 补全图形如下: (6分) (4)估计该校学生知识竞赛成绩为“优秀”和“良好”两个等级共有2000× =1000(人).(8 分) 19.(8分)(1)解:设A.,B两种品牌足球的单价分别为x元,y元, 2 原创精品资源学科网独家享有版权,侵权必究!根据题意.,得 ,(2分) 解得 , 答:A品牌足球单价为80元,B品牌足球单价为120元;(4分) (2)解:设购买A品牌足球a个,则购买B品牌足球 个, 根据题意.,得 , 解得 ,(7分) ∵a为整数, ∴ 所以共有8种方案(8分) 20.(8分)(1)证明:∵将△ABC沿直线AB折叠得到△ABD, ∴BC=BD. ∴点B在CD的垂直平分线上. 同理得:点A在CD的垂直平分线上. ∴AB⊥CD即OA⊥CD, ∵AG CD. ∴OA⊥GA. ∵OA是⊙O的半径, ∴直线GA是⊙O的切线;(2分) (2)证明:∵AB为⊙O的直径, ∴∠ACB=∠ADB=90°. ∴∠ABD+∠BAD=90°. ∵∠GAB=90°, ∴∠GAD+∠BAD=90°. ∴∠ABD=∠GAD. ∵∠ADB=∠ADG=90°, ∴△BAD∽△AGD.∴ . ∴AG•AD=GD•AB;(5分) (3)解:∵tan∠AGB= ,∠ADG=90°, ∴ = . ∴AD= GD. 由(2)知,△BAD∽△AGD, ∴ , ∴AD2=GD•BD, ∴BD=2GD. ∵ = , ∴∠GAD=∠GBA=∠PCD. ∵AG CD, ∴∠PAG=∠PCD. ∴∠PAG=∠PBA. ∵∠P=∠P, ∴△PAG∽△PBA. ∴PA2=PG•PB ∵PG=6,BD=2GD, ∴PA2=6(6+3GD). ∵∠ADP=90°, ∴PA2=AD2+PD2. ∴6(6+3GD)=( GD)2+(6+GD)2. 解得:GD=2或GD=0(舍去). 4 原创精品资源学科网独家享有版权,侵权必究!∴AD=2 ,AP=6 , ∴sin∠P= = .(8分) 21.(9分)解:(1)∵二次函数 的图象经过点 ,且对称轴是直线 , ∴ 解得 , ,(2分) ∴这个二次函数解析式为 ;(3分) (2)当 时, , 解得 , , 所以点B,C的坐标分别为 , ;(5分) (3)如图所示,连接CP,连接AP交x轴于H, ∵A(0,3),C(3,0), ∴OA=OC=3, ∴ , ∵PQ⊥AC, ∴ , 设 ,直线AP的解析式为 , ∴ , 解得 , ∴直线AP的解析式为 ,∵H是直线AP与x轴的交点, ∴ , ∴ , ∴ ∴ , ∵要想PQ最大,则 要最大, ∴当 , 有最大值 , ∴此时 .(9分) 22.(10分)(1)解:如图1,连接 , 四边形 是矩形, 6 原创精品资源学科网独家享有版权,侵权必究!, , , , , , , , , , 解得: ;(3分) (2)解: 四边形 是矩形, , , , , 连接 ,过点 作 于 ,如图2所示: 则四边形 是矩形, , 由折叠的性质得: , , , , , , 在 中, 由勾股定理得: , , , , ,, , , 的周长 ;(7分) (3)解:如图3,连接 , , , , , , , , .(10分) 8 原创精品资源学科网独家享有版权,侵权必究!