当前位置:首页>文档>数学答案-江西省2026届上进稳派联考高三11月一轮复习阶段检测_251114江西省2026届上进稳派联考高三11月一轮复习阶段检测(全科)

数学答案-江西省2026届上进稳派联考高三11月一轮复习阶段检测_251114江西省2026届上进稳派联考高三11月一轮复习阶段检测(全科)

  • 2026-04-12 13:50:13 2026-02-08 19:42:55

文档预览

数学答案-江西省2026届上进稳派联考高三11月一轮复习阶段检测_251114江西省2026届上进稳派联考高三11月一轮复习阶段检测(全科)
数学答案-江西省2026届上进稳派联考高三11月一轮复习阶段检测_251114江西省2026届上进稳派联考高三11月一轮复习阶段检测(全科)
数学答案-江西省2026届上进稳派联考高三11月一轮复习阶段检测_251114江西省2026届上进稳派联考高三11月一轮复习阶段检测(全科)
数学答案-江西省2026届上进稳派联考高三11月一轮复习阶段检测_251114江西省2026届上进稳派联考高三11月一轮复习阶段检测(全科)
数学答案-江西省2026届上进稳派联考高三11月一轮复习阶段检测_251114江西省2026届上进稳派联考高三11月一轮复习阶段检测(全科)
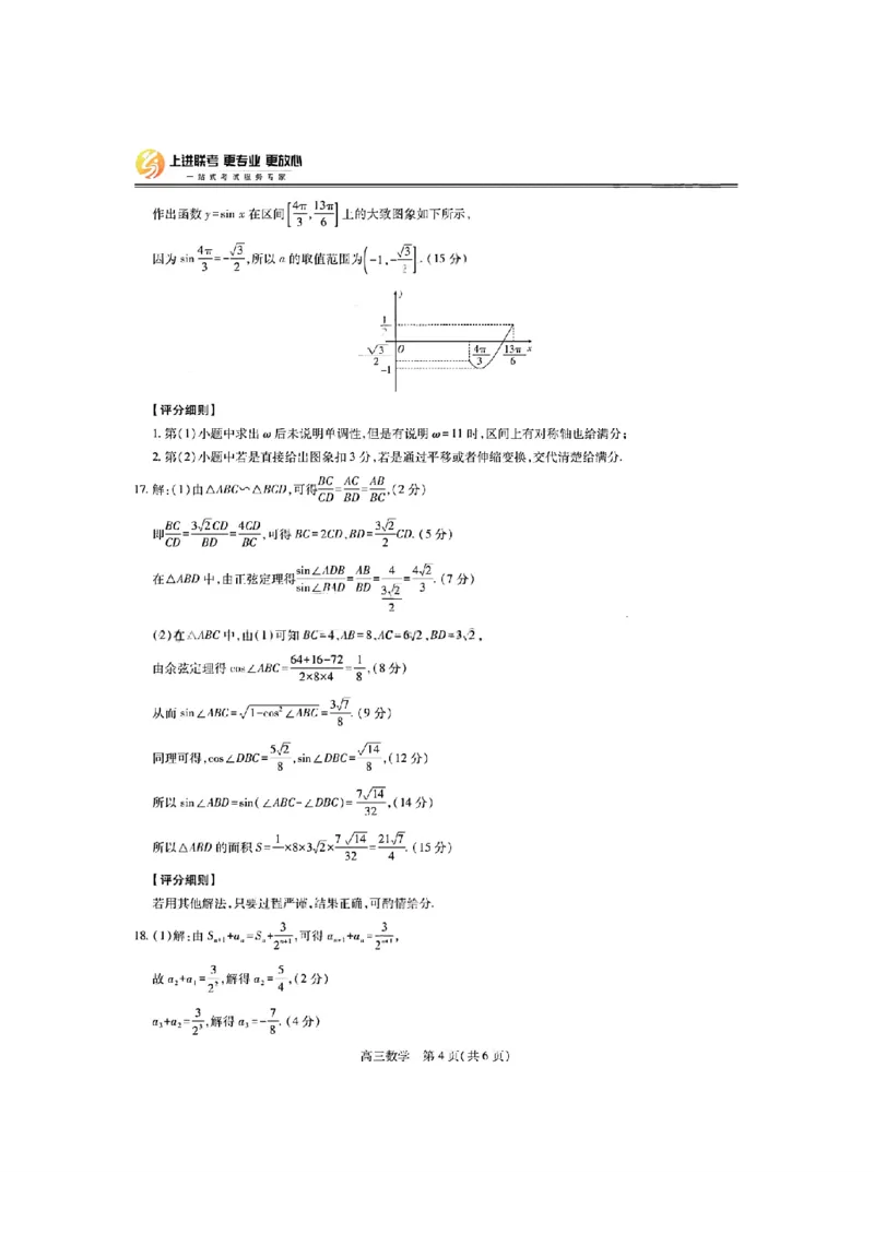
数学答案-江西省2026届上进稳派联考高三11月一轮复习阶段检测_251114江西省2026届上进稳派联考高三11月一轮复习阶段检测(全科)
数学答案-江西省2026届上进稳派联考高三11月一轮复习阶段检测_251114江西省2026届上进稳派联考高三11月一轮复习阶段检测(全科)
数学答案-江西省2026届上进稳派联考高三11月一轮复习阶段检测_251114江西省2026届上进稳派联考高三11月一轮复习阶段检测(全科)
数学答案-江西省2026届上进稳派联考高三11月一轮复习阶段检测_251114江西省2026届上进稳派联考高三11月一轮复习阶段检测(全科)
数学答案-江西省2026届上进稳派联考高三11月一轮复习阶段检测_251114江西省2026届上进稳派联考高三11月一轮复习阶段检测(全科)

文档信息

文档格式
pdf
文档大小
1.575 MB
文档页数
6 页
上传时间
2026-02-08 19:42:55