当前位置:首页>文档>数学-2024届高三1月大联考考后强化卷(新课标II卷)(全解全析)_2024届高三1月大联考考后强化卷(新课标II卷)_2024届高三1月大联考考后强化卷(新课标II卷)数学

数学-2024届高三1月大联考考后强化卷(新课标II卷)(全解全析)_2024届高三1月大联考考后强化卷(新课标II卷)_2024届高三1月大联考考后强化卷(新课标II卷)数学

  • 2026-03-19 14:43:47 2026-02-09 03:32:53

文档预览

数学-2024届高三1月大联考考后强化卷(新课标II卷)(全解全析)_2024届高三1月大联考考后强化卷(新课标II卷)_2024届高三1月大联考考后强化卷(新课标II卷)数学
数学-2024届高三1月大联考考后强化卷(新课标II卷)(全解全析)_2024届高三1月大联考考后强化卷(新课标II卷)_2024届高三1月大联考考后强化卷(新课标II卷)数学
数学-2024届高三1月大联考考后强化卷(新课标II卷)(全解全析)_2024届高三1月大联考考后强化卷(新课标II卷)_2024届高三1月大联考考后强化卷(新课标II卷)数学
数学-2024届高三1月大联考考后强化卷(新课标II卷)(全解全析)_2024届高三1月大联考考后强化卷(新课标II卷)_2024届高三1月大联考考后强化卷(新课标II卷)数学
数学-2024届高三1月大联考考后强化卷(新课标II卷)(全解全析)_2024届高三1月大联考考后强化卷(新课标II卷)_2024届高三1月大联考考后强化卷(新课标II卷)数学
数学-2024届高三1月大联考考后强化卷(新课标II卷)(全解全析)_2024届高三1月大联考考后强化卷(新课标II卷)_2024届高三1月大联考考后强化卷(新课标II卷)数学
数学-2024届高三1月大联考考后强化卷(新课标II卷)(全解全析)_2024届高三1月大联考考后强化卷(新课标II卷)_2024届高三1月大联考考后强化卷(新课标II卷)数学
数学-2024届高三1月大联考考后强化卷(新课标II卷)(全解全析)_2024届高三1月大联考考后强化卷(新课标II卷)_2024届高三1月大联考考后强化卷(新课标II卷)数学
数学-2024届高三1月大联考考后强化卷(新课标II卷)(全解全析)_2024届高三1月大联考考后强化卷(新课标II卷)_2024届高三1月大联考考后强化卷(新课标II卷)数学
数学-2024届高三1月大联考考后强化卷(新课标II卷)(全解全析)_2024届高三1月大联考考后强化卷(新课标II卷)_2024届高三1月大联考考后强化卷(新课标II卷)数学
数学-2024届高三1月大联考考后强化卷(新课标II卷)(全解全析)_2024届高三1月大联考考后强化卷(新课标II卷)_2024届高三1月大联考考后强化卷(新课标II卷)数学
数学-2024届高三1月大联考考后强化卷(新课标II卷)(全解全析)_2024届高三1月大联考考后强化卷(新课标II卷)_2024届高三1月大联考考后强化卷(新课标II卷)数学
数学-2024届高三1月大联考考后强化卷(新课标II卷)(全解全析)_2024届高三1月大联考考后强化卷(新课标II卷)_2024届高三1月大联考考后强化卷(新课标II卷)数学
数学-2024届高三1月大联考考后强化卷(新课标II卷)(全解全析)_2024届高三1月大联考考后强化卷(新课标II卷)_2024届高三1月大联考考后强化卷(新课标II卷)数学
数学-2024届高三1月大联考考后强化卷(新课标II卷)(全解全析)_2024届高三1月大联考考后强化卷(新课标II卷)_2024届高三1月大联考考后强化卷(新课标II卷)数学
数学-2024届高三1月大联考考后强化卷(新课标II卷)(全解全析)_2024届高三1月大联考考后强化卷(新课标II卷)_2024届高三1月大联考考后强化卷(新课标II卷)数学
数学-2024届高三1月大联考考后强化卷(新课标II卷)(全解全析)_2024届高三1月大联考考后强化卷(新课标II卷)_2024届高三1月大联考考后强化卷(新课标II卷)数学
数学-2024届高三1月大联考考后强化卷(新课标II卷)(全解全析)_2024届高三1月大联考考后强化卷(新课标II卷)_2024届高三1月大联考考后强化卷(新课标II卷)数学
数学-2024届高三1月大联考考后强化卷(新课标II卷)(全解全析)_2024届高三1月大联考考后强化卷(新课标II卷)_2024届高三1月大联考考后强化卷(新课标II卷)数学

文档信息

文档格式
docx
文档大小
1.116 MB
文档页数
15 页
上传时间
2026-02-09 03:32:53

文档内容

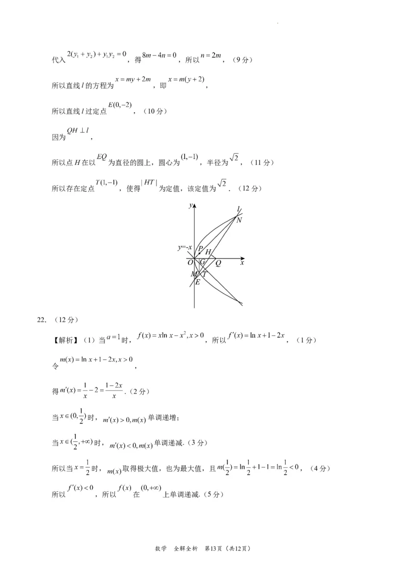
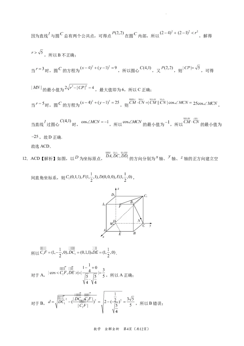
2024届高三1月大联考考后强化卷(新课标II卷) 数学·全解全析 1 2 3 4 5 6 7 8 9 10 11 12 B A D C D B C B AC ABD ACD ACD 一、选择题:本题共8小题,每小题5分,共40分。在每小题给出的四个选项中,只有一项是符合题目要 求的。 1.B【解析】由题意,知 , ,所以 .故选B. 2.A【解析】因为 ,所以 ,所以 的虚部为 .故选 A. 3.D【解析】因为 , ,所以 , , 设 与 的夹角为 , ,因为 , 所以 ,解得 ,所以 ,故选D. 4.C【解析】设该建筑的母线长为 ,高为 ,则由其侧面积为 ,可得 ,解得 ,所以 .故选C. 5.D【解析】因为 ,所以 , 所以 , 又 ,所以 ,所以 , 所以 ,两边同时平方,得 ,所以 . 故选D. 6.B 【解析】设双曲线 的半焦距为 ,如图,延长 与双曲线 交于点 ,因为 ,根据对 数学 全解全析 第1页(共12页) 学科网(北京)股份有限公司称性知 ,设 ,则 , ,可得 ,即 ,所以 ,则 , , 即 ,可知 , 在 中,由勾股定理得 ,即 ,解得 . 故选B. 7.C【解析】由 ,得 ,设切点为 ,所以直线 的斜率为 ,所以直线 的方程为 ,代入点 ,则 ,解得 ,即斜率为 , 由 ,得 ,结合图形知 . 令 , ,则 ,所以 在 上单调递减,在 上单调递增. 因为 , ,所以 . 故选C. 数学 全解全析 第2页(共12页) 学科网(北京)股份有限公司8.B【解析】依题意,甲、乙随机选择一条线路去研学的试验有 个基本事件,事件A含有的基本事件数 是 ,则 ,事件 含有的基本事件数为 ,则 , 所以 .故选B. 二、选择题:本题共4小题,每小题5分,共20分。在每小题给出的选项中,有多项符合题目要求,全部 选对的得5分,部分选对的得2分,有选错的得0分。 9.AC【解析】 . 对于A, 的最小正周期为 ,故A正确; 对于B,当 时, ,所以直线 不是 的图象的对称轴,故B错误; 对于C,由 ,得 ,所以 ,所以 ,故C正确; 对于D,由 ,得 ,所以函数 的单 调递增区间为 ,故D错误. 故选AC. 10.ABD【解析】由题知 ,解得 ,所以 ,当 时, ,故 A正确; ,由 知 ,即 ,故当原始成绩低于150分时,折算成绩 均高于原始成绩,即除150分不变外,其余成绩折算后均提高,所以将原始成绩和折算成绩分别从小 到大依次排序后,它们的中位数的序号相同,故B,D均正确; , 故折算成绩的方差必小于原始成绩的方差,故C错误.故选ABD. 11.ACD【解析】 可化为 ,即直线 过定点 ,所以A正确; 数学 全解全析 第3页(共12页) 学科网(北京)股份有限公司因为直线 与圆 总有两个公共点,可得点 在圆 内部,所以 ,解得 ,所以B不正确; 当 时,圆 的方程为 ,所以圆心 ,又 ,则 ,可得 的最小值为 ,最大值即为6,所以C正确; 当 时,圆 的方程为 ,则 , 当直线 过圆心 时, ,所以 的最小值为 ,所以 的最小值为 ,故D正确. 故选ACD. 12.ACD【解析】如图,以 为坐标原点, 的方向分别为 轴、 轴、 轴的正方向建立空 间直角坐标系,则 , 所以 . 对于A, ,所以A正确; 对于B, ,所以B错误; 数学 全解全析 第4页(共12页) 学科网(北京)股份有限公司对于C, , 因为 //平面 ,所以 ,即 ,所以C正确; 对于D,由题意,知 , , 设 , 则 , , 解得 , 所以 , 所以当 时, ,所以D正确. 故选ACD. 三、填空题:本题共4小题,每小题5分,共20分。 13. 【解析】 的通项为 , 当 时, . 故答案为: . 14. 【解析】∵ ,∴ . ∵ ,∴ . ∴ ,解得 , 数学 全解全析 第5页(共12页) 学科网(北京)股份有限公司∴ 的取值范围是 . 故答案为: . 15.55【解析】由题意,得 因为 为等差数列,且公差为 ,首项为2,所以 , 故 , 因此 累加可得 所以 故答案为:55. 16. ; 【解析】设点 , ,因为点 在椭圆 上, 所以 ①, ②, 因为 , 所以 ③, 由 ,得 ,即 ,所以 , 数学 全解全析 第6页(共12页) 学科网(北京)股份有限公司由③得 , 所以 ,则 . 因为 , 所以 , 所以 . 设直线BC的方程为 , 联立 ,整理,得 , 所以 ,则 , 所以 即 , 由题意 ,所以 , 所以 即直线 的方程为 . 故答案为: ; . 四、解答题:本题共6小题,共70分。解答应写出文字说明、证明过程或演算步骤。 17.(10分) 【解析】(1)根据频率分布直方图可估计该校学生一周使用手机上网时间的平均数为 .(4分) (2)由频率分布直方图可得上网时间在 和 内的人数之比为 , 所以可得 列联表为 近视 不近视 合计 数学 全解全析 第7页(共12页) 学科网(北京)股份有限公司长时间使用手机 不长时间使用手 机 合计 n (7分) 若 为100,则 列联表为 不近 近视 合计 视 长时间使用手机 不长时间使用手 机 合计 100 (8分) 零假设为 :该校学生一周使用手机上网时间与近视程度无关. 根据列联表中的数据,经计算,得到 ,(9分) 根据小概率值 的独立性检验,我们推断 不成立,即该校学生一周使用手机上网时间与近 视程度有关,此推断犯错误的概率不大于0.001.(10分) 18.(12分) 【解析】(1)因为 , 所以 ,(1分) 即 ,(2分) 由正弦定理,得 ,(3分) 因为 , 所以 ,(4分) 因为 ,所以 ,所以 ,(5分) 数学 全解全析 第8页(共12页) 学科网(北京)股份有限公司又 ,所以 .(6分) (2)由余弦定理,得 ,即 ,(7分) 所以 ,即 ,(8分) 因为 , , 所以 ,(9分) 所以 ,(10分) 又 (当且仅当 时取等号), 所以 (当且仅当 时取等号), 所以 (当且仅当 时取等号),(11分) 所以 (当且仅当 时取等号), 即 的最大值为 .(12分) 19.(12分) 【解析】(1)如图,连接 , 因为四边形 为正方形,所以 .(1分) 在直三棱柱 中,平面 平面 , 由 得 ,又平面 平面 , 所以 平面 ,(3分) 数学 全解全析 第9页(共12页) 学科网(北京)股份有限公司又 平面 ,所以 , 又 , 平面 , 平面 , 所以 平面 ,(4分) 又 平面 , 所以 .(5分) (2)以 为原点, , , 所在直线分别为 轴、 轴、 轴建立如图所示的空间直角坐标 系, 设 ,则 , , , , , , .(6分) 设 是平面ABD的一个法向量, 则 ,即 ,得 ,令 ,则 , 所以 为平面ABD的一个法向量,(7分) 由题意,得 ,解得 , 所以 , . 设 为平面BCD的法向量, 数学 全解全析 第10页(共12页) 学科网(北京)股份有限公司则 ,即 , 令 ,则 , ,即 为平面BCD的一个法向量,(9分) 易知平面ABC的一个法向量为 .(10分) 设平面 和平面 的夹角为 , 则 ,(11分) 所以 , 所以平面 与平面 的夹角的正弦值为 .(12分) 20.(12分) 【解析】(1)当 为奇数时,由 ,得 ,(1分) 所以数列 的奇数项成等差数列,且公差为2,又 ,所以 .(2分) 当 为偶数时,由 ,可得 ,(3分) 所以数列 的偶数项成等比数列,且公比为4,又 ,所以 .(4分) 所以数列 的通项公式为 .(5分) (2)当 为奇数时, (6分) ,(8分) 当 为偶数时, 数学 全解全析 第11页(共12页) 学科网(北京)股份有限公司(9分) .(10分) 综上, .(12分) 21.(12分) 【解析】(1)因为抛物线 过点 ,所以 ,又 ,所以 ,(2 分) 所以抛物线C的方程为 .(3分) (2)设点 , ,联立 ,得 ,(4分) 又因为点M关于点G的对称点为P, 所以点 ,(5分) 由O,N,P三点共线,可得 ,即 , 化简得 .(6分) 设直线l的方程为 , 联立 ,消去x,得 ,(7分) 则 ,即 , 根据根与系数的关系,得 , ,(8分) 数学 全解全析 第12页(共12页) 学科网(北京)股份有限公司代入 ,得 ,所以 ,(9分) 所以直线l的方程为 ,即 , 所以直线l过定点 ,(10分) 因为 , 所以点H在以 为直径的圆上,圆心为 ,半径为 ,(11分) 所以存在定点 ,使得 为定值,该定值为 .(12分) 22.(12分) 【解析】(1)当 时, ,所以 ,(1分) 令 , 得 .(2分) 当 时, 单调递增; 当 时, 单调递减.(3分) 所以当 时, 取得极大值,也为最大值,且 ,(4分) 所以 ,所以 在 上单调递减.(5分) 数学 全解全析 第13页(共12页) 学科网(北京)股份有限公司(2)由 ,得 , 即 在 上恒成立.(6分) 令 ,则 ,(7分) 令 ,可得 , 令 ,得 , 令 ,得 , 所以 在 单调递减,在 单调递增,(8分) 又 , 所以在 中存在唯一的 使得 , 在 中存在唯一的 使得 , 即有 .(9分) 因为 在 单调递减,在 单调递增, 所以当 时, ,当 时, , 当 时, ,当 时, . 又 , 所以当 时, ,当 时, , 当 时, ,当 时, , 数学 全解全析 第14页(共12页) 学科网(北京)股份有限公司所以 在 上单调递减,在 上单调递增, 在 上单调递减,在 上单调递增,(10分) 所以 时, 的极小值为 时, 的极小值为 因为 , 所以 ,所以 , 所以 . 代入 和 , 则有 , 同理可得 ,(11分) 所以 , 所以 , 所以 ,即实数 的取值范围为 .(12分) 数学 全解全析 第15页(共12页) 学科网(北京)股份有限公司