当前位置:首页>文档>专题01集合与常用逻辑用语——2020年高考真题和模拟题文科数学分项汇编(学生版)_02高考数学_新高考复习资料_2022年新高考资料_2022年一轮复习各版本

专题01集合与常用逻辑用语——2020年高考真题和模拟题文科数学分项汇编(学生版)_02高考数学_新高考复习资料_2022年新高考资料_2022年一轮复习各版本

  • 2026-04-07 09:34:28 2026-04-07 09:33:46

文档预览

专题01集合与常用逻辑用语——2020年高考真题和模拟题文科数学分项汇编(学生版)_02高考数学_新高考复习资料_2022年新高考资料_2022年一轮复习各版本
专题01集合与常用逻辑用语——2020年高考真题和模拟题文科数学分项汇编(学生版)_02高考数学_新高考复习资料_2022年新高考资料_2022年一轮复习各版本
专题01集合与常用逻辑用语——2020年高考真题和模拟题文科数学分项汇编(学生版)_02高考数学_新高考复习资料_2022年新高考资料_2022年一轮复习各版本
专题01集合与常用逻辑用语——2020年高考真题和模拟题文科数学分项汇编(学生版)_02高考数学_新高考复习资料_2022年新高考资料_2022年一轮复习各版本
专题01集合与常用逻辑用语——2020年高考真题和模拟题文科数学分项汇编(学生版)_02高考数学_新高考复习资料_2022年新高考资料_2022年一轮复习各版本
专题01集合与常用逻辑用语——2020年高考真题和模拟题文科数学分项汇编(学生版)_02高考数学_新高考复习资料_2022年新高考资料_2022年一轮复习各版本
专题01集合与常用逻辑用语——2020年高考真题和模拟题文科数学分项汇编(学生版)_02高考数学_新高考复习资料_2022年新高考资料_2022年一轮复习各版本
专题01集合与常用逻辑用语——2020年高考真题和模拟题文科数学分项汇编(学生版)_02高考数学_新高考复习资料_2022年新高考资料_2022年一轮复习各版本
专题01集合与常用逻辑用语——2020年高考真题和模拟题文科数学分项汇编(学生版)_02高考数学_新高考复习资料_2022年新高考资料_2022年一轮复习各版本
专题01集合与常用逻辑用语——2020年高考真题和模拟题文科数学分项汇编(学生版)_02高考数学_新高考复习资料_2022年新高考资料_2022年一轮复习各版本
专题01集合与常用逻辑用语——2020年高考真题和模拟题文科数学分项汇编(学生版)_02高考数学_新高考复习资料_2022年新高考资料_2022年一轮复习各版本
专题01集合与常用逻辑用语——2020年高考真题和模拟题文科数学分项汇编(学生版)_02高考数学_新高考复习资料_2022年新高考资料_2022年一轮复习各版本

文档信息

文档格式
docx
文档大小
0.631 MB
文档页数
8 页
上传时间
2026-04-07 09:33:46

文档内容

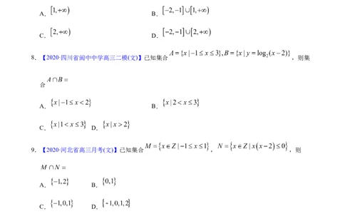
专题 01 集合与常用逻辑用语 1.【2020年高考全国Ⅰ卷文数】已知集合 则 A. B. C. D. 2.【2020年高考全国Ⅱ卷文数】已知集合A={x||x|<3,x∈Z},B={x||x|>1,x∈Z},则A∩B= A. B.{–3,–2,2,3) C.{–2,0,2} D.{–2,2} 3.【2020年高考全国Ⅲ卷文数】已知集合 , ,则A∩B中元素的个数为 A.2 B.3 C.4 D.5 4.【2020年高考天津】设全集 ,集合 ,则 A. B. C. D. 5.【2020年高考北京】已知集合 , ,则 A. B. C. D. 6.【2020年高考天津】设 ,则“ ”是“ ”的A.充分不必要条件 B.必要不充分条件 C.充要条件 D.既不充分也不必要条件 7.【2020年新高考全国Ⅰ卷】设集合A={x|1≤x≤3},B={x|2