当前位置:首页>文档>浙江省金丽衢十二校2024-2025学年高三上学期第一次联考化学试题Word版含解析_2025年1月_250117浙江省金丽衢十二校2024-2025学年高三上学期第一次联考(全科)

浙江省金丽衢十二校2024-2025学年高三上学期第一次联考化学试题Word版含解析_2025年1月_250117浙江省金丽衢十二校2024-2025学年高三上学期第一次联考(全科)

  • 2026-04-02 11:41:09 2026-02-11 11:54:22

文档预览

浙江省金丽衢十二校2024-2025学年高三上学期第一次联考化学试题Word版含解析_2025年1月_250117浙江省金丽衢十二校2024-2025学年高三上学期第一次联考(全科)
浙江省金丽衢十二校2024-2025学年高三上学期第一次联考化学试题Word版含解析_2025年1月_250117浙江省金丽衢十二校2024-2025学年高三上学期第一次联考(全科)
浙江省金丽衢十二校2024-2025学年高三上学期第一次联考化学试题Word版含解析_2025年1月_250117浙江省金丽衢十二校2024-2025学年高三上学期第一次联考(全科)
浙江省金丽衢十二校2024-2025学年高三上学期第一次联考化学试题Word版含解析_2025年1月_250117浙江省金丽衢十二校2024-2025学年高三上学期第一次联考(全科)
浙江省金丽衢十二校2024-2025学年高三上学期第一次联考化学试题Word版含解析_2025年1月_250117浙江省金丽衢十二校2024-2025学年高三上学期第一次联考(全科)
浙江省金丽衢十二校2024-2025学年高三上学期第一次联考化学试题Word版含解析_2025年1月_250117浙江省金丽衢十二校2024-2025学年高三上学期第一次联考(全科)
浙江省金丽衢十二校2024-2025学年高三上学期第一次联考化学试题Word版含解析_2025年1月_250117浙江省金丽衢十二校2024-2025学年高三上学期第一次联考(全科)
浙江省金丽衢十二校2024-2025学年高三上学期第一次联考化学试题Word版含解析_2025年1月_250117浙江省金丽衢十二校2024-2025学年高三上学期第一次联考(全科)
浙江省金丽衢十二校2024-2025学年高三上学期第一次联考化学试题Word版含解析_2025年1月_250117浙江省金丽衢十二校2024-2025学年高三上学期第一次联考(全科)
浙江省金丽衢十二校2024-2025学年高三上学期第一次联考化学试题Word版含解析_2025年1月_250117浙江省金丽衢十二校2024-2025学年高三上学期第一次联考(全科)
浙江省金丽衢十二校2024-2025学年高三上学期第一次联考化学试题Word版含解析_2025年1月_250117浙江省金丽衢十二校2024-2025学年高三上学期第一次联考(全科)
浙江省金丽衢十二校2024-2025学年高三上学期第一次联考化学试题Word版含解析_2025年1月_250117浙江省金丽衢十二校2024-2025学年高三上学期第一次联考(全科)
浙江省金丽衢十二校2024-2025学年高三上学期第一次联考化学试题Word版含解析_2025年1月_250117浙江省金丽衢十二校2024-2025学年高三上学期第一次联考(全科)
浙江省金丽衢十二校2024-2025学年高三上学期第一次联考化学试题Word版含解析_2025年1月_250117浙江省金丽衢十二校2024-2025学年高三上学期第一次联考(全科)
浙江省金丽衢十二校2024-2025学年高三上学期第一次联考化学试题Word版含解析_2025年1月_250117浙江省金丽衢十二校2024-2025学年高三上学期第一次联考(全科)
浙江省金丽衢十二校2024-2025学年高三上学期第一次联考化学试题Word版含解析_2025年1月_250117浙江省金丽衢十二校2024-2025学年高三上学期第一次联考(全科)
浙江省金丽衢十二校2024-2025学年高三上学期第一次联考化学试题Word版含解析_2025年1月_250117浙江省金丽衢十二校2024-2025学年高三上学期第一次联考(全科)
浙江省金丽衢十二校2024-2025学年高三上学期第一次联考化学试题Word版含解析_2025年1月_250117浙江省金丽衢十二校2024-2025学年高三上学期第一次联考(全科)
浙江省金丽衢十二校2024-2025学年高三上学期第一次联考化学试题Word版含解析_2025年1月_250117浙江省金丽衢十二校2024-2025学年高三上学期第一次联考(全科)
浙江省金丽衢十二校2024-2025学年高三上学期第一次联考化学试题Word版含解析_2025年1月_250117浙江省金丽衢十二校2024-2025学年高三上学期第一次联考(全科)
浙江省金丽衢十二校2024-2025学年高三上学期第一次联考化学试题Word版含解析_2025年1月_250117浙江省金丽衢十二校2024-2025学年高三上学期第一次联考(全科)
浙江省金丽衢十二校2024-2025学年高三上学期第一次联考化学试题Word版含解析_2025年1月_250117浙江省金丽衢十二校2024-2025学年高三上学期第一次联考(全科)
浙江省金丽衢十二校2024-2025学年高三上学期第一次联考化学试题Word版含解析_2025年1月_250117浙江省金丽衢十二校2024-2025学年高三上学期第一次联考(全科)
浙江省金丽衢十二校2024-2025学年高三上学期第一次联考化学试题Word版含解析_2025年1月_250117浙江省金丽衢十二校2024-2025学年高三上学期第一次联考(全科)
浙江省金丽衢十二校2024-2025学年高三上学期第一次联考化学试题Word版含解析_2025年1月_250117浙江省金丽衢十二校2024-2025学年高三上学期第一次联考(全科)
浙江省金丽衢十二校2024-2025学年高三上学期第一次联考化学试题Word版含解析_2025年1月_250117浙江省金丽衢十二校2024-2025学年高三上学期第一次联考(全科)
浙江省金丽衢十二校2024-2025学年高三上学期第一次联考化学试题Word版含解析_2025年1月_250117浙江省金丽衢十二校2024-2025学年高三上学期第一次联考(全科)

文档信息

文档格式
docx
文档大小
0.597 MB
文档页数
23 页
上传时间
2026-02-11 11:54:22

文档内容

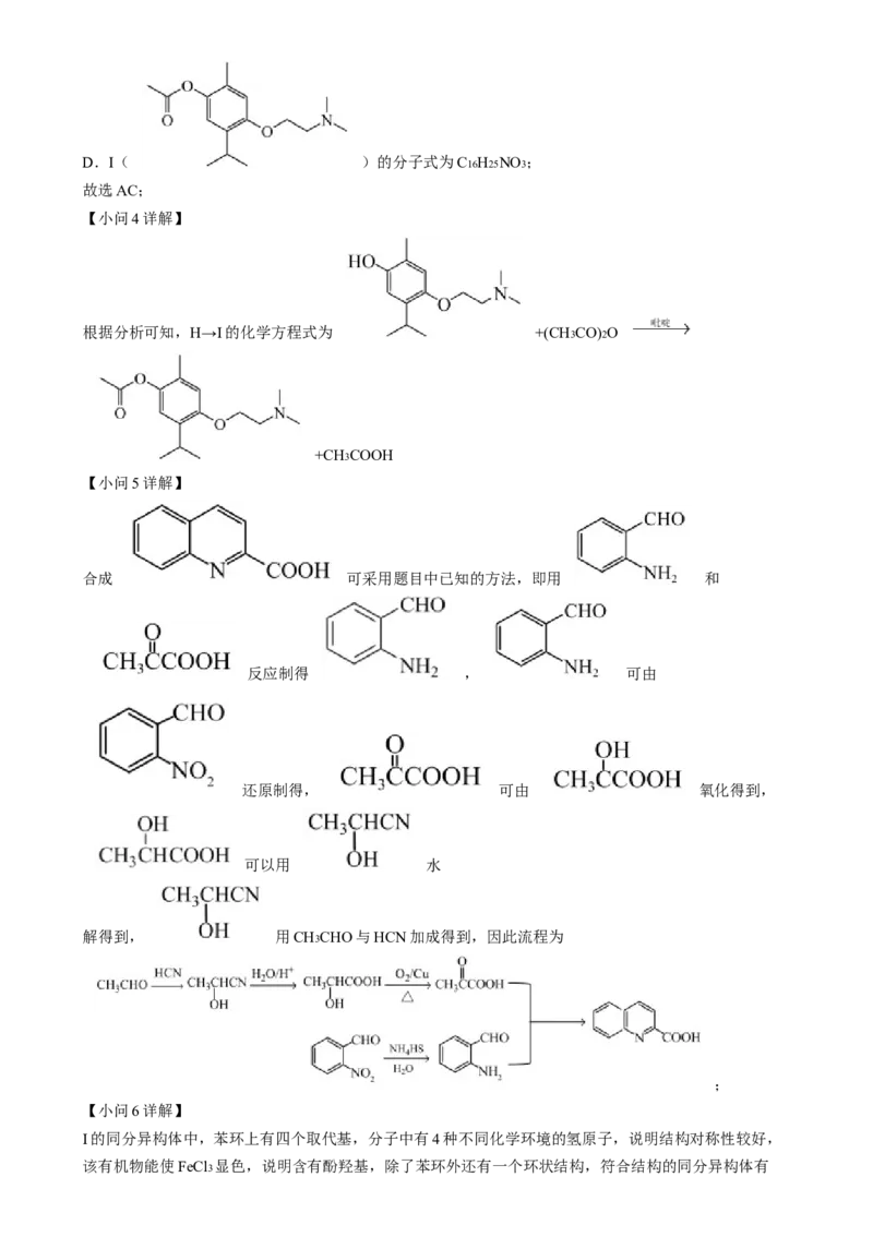
金丽衢十二校 2024 学年高三第一次联考 化学试题 考生须知: 1.本卷共8页满分100分,考试时间90分钟。 2.答题前,在答题卷指定区域填写班级、姓名、考场号、座位号及准考证号并填涂相应数 字。 3.所有答案必须写在答题纸上,写在试卷上无效。 4.考试结束后,只需上交答题纸。 5.可能用到的相对原子质量: 一、选择题(本大题共16小题,每小题3分,共48分。每个小题列出的四个备选项中只有一 个是符合题目要求的,不选、多选、错选均不得分) 1. 下列物质中不属于酸性氧化物的是 A. B. C. D. 【答案】B 【解析】 【分析】酸性氧化物即是能和碱反应生成盐和水的氧化物,反应为复分解反应; 【详解】A. 能与碱溶液反应生成盐和水,是复分解反应,属于酸性氧化物,A不符合题意; B. 与碱反应,发生歧化反应,不属于酸性氧化物,B符合题意; C. 能与碱溶液反应生成盐和水,是复分解反应,属于酸性氧化物,C不符合题意; D. 能与碱溶液反应生成盐和水,是复分解反应,属于酸性氧化物,D不符合题意; 故选B。 2. 下列说法不正确的是 A. 液氨汽化时要吸收大量的热,可用作制冷剂 B. 硫酸的沸点高,主要是因为分子间形成了氢键 C. 碳酸钠和碳酸氢钠的溶液均显碱性,可用作食用碱或工业用碱 D. 工业上将氯气通入石灰水中制漂白粉 【答案】D 【解析】 【详解】A.液氨常用作制冷剂是由于液氨汽化时吸收大量的热,A正确; B.硫酸分子间可形成氢键,使硫酸沸点较高,B正确; C.碳酸钠和碳酸氢钠均为强碱弱酸盐,水解使溶液均显碱性,可用作食用碱或工业用碱,C正确; D.工业制备漂白粉是向石灰乳中通入氯气,D错误; 故选D。 3. 下列表示不正确的是 A. 的电子式:B. 的 键电子云图: C. 的空间结构:直线形 D. 基态 原子的价层电子轨道表示式: 【答案】A 【解析】 【详解】A.氮原子最外层电子数为5,故 的电子式为 ,A不正确; B.H原子s能级的电子云轮廓图为球形,Cl原子p能级的电子云轮廓图呈哑铃形,则HCl中H原子和Cl 原子形成 键,该键电子云图为 ,B正确; C. 中N原子的价层电子对数为 ,无孤电子对,空间构型为直线形,C 正确; D. 为24号元素,价电子排布式为 ,故其价层电子轨道表示式为 ,D正确; 故选A。 4. 下列实验装置能达到实验目的的是 A. 装置①验证 与水反应的能量变化 B. 装置②证明乙炔能使溴水褪色 C. 装置③排出盛有 溶液的滴定管尖嘴内的气泡 D. 装置④干燥氨气 【答案】A 【解析】 【详解】A.将Na2O2 与H2O反应,若观察到U型管左低右高,则说明Na2O2 与H2O的反应为放热反应, 若U型管左高右低则说明为吸热反应,故A正确; B.电石中含有的CaC2 、CaS等能与水反应生成C2H2 、H2S等,乙炔中混有的H2S也能使溴水褪色,不能 证明乙炔能使溴水褪色,故B错误; C.酸性高锰酸钾具有强氧化性,应用酸式滴定管盛装,故C错误; D.P2O5 不仅吸收H2O(g)、而且吸收NH3 ,不能用P2O5 干燥NH3 ,可用碱石灰干燥NH3 ,故D错误; 答案选A。 5. 下列说法不正确的是A. 现代石油化工采用银作催化剂,用乙烯和氧气制备环氧乙烷的反应是原子经济性反应 B. 硬铝是一种铝合金,其密度小强度高,是制造飞机的理想材料 C. 煤的干馏是指将煤在空气中加强热使之分解的过程 D. 港口、码头的钢制管桩会受到海水的长期侵袭,常用外加电流法对其进行保护 【答案】C 【解析】 【详解】A.现代石油化工采用银作催化剂,用乙烯和氧气制备环氧乙烷,原子利用率为 100%,是原子 经济性反应,A正确; B.硬铝是一种铝合金,其密度小、强度高,具有较强的抗腐蚀能力,是制造飞机的理想材料,B正确; C.煤的干馏是指将煤隔绝空气加强热使之分解的过程,C错误; D.港口、码头的钢制管桩会受到海水的长期侵袭,常用外加电流法使钢制管桩与电源负极相连,使其被 迫成为阴极而受到保护,D正确; 故选C。 6. 过二硫酸钠( )是工业上常用的强氧化剂, 与过二硫酸钠反应的离子方程式为: (未配平)。下列说法不正确的是 A. 过二硫酸钠中O( 价)和O( 价)含量之比为 B. 反应中氧化剂和还原剂的物质的量之比是 C. 氧化性: D. 若生成 ,则反应转移的电子数为 ( 表示阿伏加德罗常数的值) 【答案】D 【解析】 【分析】离子方程式为: ,据此作答。 【详解】A.过二硫酸钠中过氧链上的2个氧为-1,两端的6个氧为-2,所以O( 价)和O( 价) 含量之比为 ,故A正确; B.反应中过二硫酸根为氧化剂,二价锰离子为还原剂,根据分析可知氧化剂和还原剂的物质的量之比是 ,故B正确; C.氧化剂的氧化性大于氧化产物的氧化性,所以氧化性: ,故C正确; D.根据分析可知,若生成 ,则反应转移的电子数为 ( 表示阿伏加德罗常数 的值),故D错误; 答案选D。 7. 下列结构或性质不能解释其用途的是 选 结构或性质 用途 项 A 电解质溶液能使蛋白质聚沉 盐卤点豆腐 B 碳化硅具有金刚石类似的结构 碳化硅可用作耐高温结构材料 一个 分子周围有12个紧邻分子干冰中 干冰在工业上广泛用作制 C 冷剂 分子的空间利用率高 橡胶硫化后,分子中碳碳双键被打开,线型结构变成 硫化后的橡胶可用于制造 D 网状结构 轮胎 A. A B. B C. C D. D 【答案】C 【解析】 【详解】A.盐卤点豆腐与胶体的聚沉有关,A正确; B.碳化硅与金刚石类似结构,属于共价晶体,熔点高,可用作耐高温结构材料,B正确; C.干冰升华吸热,在工业上广泛用作制冷剂,与其空间利用率无关,C错误; D.网状高分子具有热固性,可于制造轮胎,D正确; 答案选C。 8. 下列离子方程式正确的是 A. 溶液与浓盐酸混合: B. 将足量 溶液滴入 浊液中: C. 将 通入含 的溶液中: D. 白色固体 加入氨水中得到无色溶液: 【答案】B 【解析】 【详解】A. 溶液与浓盐酸混合生成氯气,离子方程式为 ,A错误; B.将足量 溶液滴入 浊液中生成氢氧化铁沉淀和硫酸镁,离子方程式为 ,B正确; C.还原性 ,故将 通入含 的溶液中的离子反应为: ,C错误; D . 白 色 固 体 加 入 氨 水 中 得 到 无 色 溶 液 , 离 子 方 程 式 为 ,D错误; 故选B。 9. 黄酮哌酯是一种解痉药,以下物质是合成黄酮哌酯的中间体,其结构如下图。下列说法正确的是A. 分子中存在5种官能团 B. 一定条件下,能发生水解反应 C. 分子中的碳原子有可能全部共平面 D. 与足量 发生加成反应后,该分子中官能团的种类减少3种 【答案】C 【解析】 【详解】A.分子中含有羧基、羰基、醚键、碳碳双键共4种官能团,A错误; B.该分子中含有羧基、羰基、醚键、碳碳双键,不能发生水解反应,B错误; C.该分子中苯环和双键均为平面结构,其上C原子均为sp2 杂化,甲基的碳原子连在双键碳原子上,由 于单键可以旋转,故分子中的碳原子可能全部共平面,C正确; D.羰基、碳碳双键和苯环均能与氢气发生加成反应,故与足量 发生加成反应后,该分子中官能 团的种类减少羰基、碳碳双键2种,其中羰基又转化为羟基,即官能团的种类减少不是3种,D错误; 故选C。 10. X、Y、Z、W四种短周期主族元素,原子序数依次增大。W与其他元素不在同一周期, X、Y、Z处 于同一周期。X的s能级电子数量是p能级的两倍,Z的第一电离能小于同周期相邻元素,W原子的半径 在同周期主族元素中最小。下列说法正确的是 A. 键角: B. Z元素的对应的单质一定是非极性分子 C. 空间构型为三角锥形 D. Y的简单氢化物的沸点高于X的沸点 【答案】CD 【解析】 【分析】X的s能级电子数量是p能级的两倍,1s22s22p2 ,即X为C元素,Z的第一电离能都小于同周期 相邻元素,又Z处于第二周期,可推知Z为O元素,则Y为N元素,W与其他元素不在同一周期,W原 子的半径在同周期主族元素中最小,为Cl元素,据此作答。 【详解】A.通过价层电子对计算,可知 结构为三角锥形, 结构为正四面体,所以 ,故A错误; B.O3 是极性分子,故B错误; C. 价层电子对为4,孤对电子数为1,所以空间构型为三角锥形,故C正确; D.NH3 中存在分子间氢键,所以沸点高于CH4 的沸点,故D正确; 答案选CD。 11. 某浓度碳酸钠溶液的 随温度的变化如图所示。下列说法不正确的是A. a点 的水解程度最小 B. b点水的电离程度最大 C. 向上述溶液中通入 , 减小 D. c点溶液中存在 【答案】B 【解析】 【分析】加热碳酸钠溶液,存在碳酸根离子的水解平衡和水的电离平衡,温度升高平衡均正向移动,pH 先上升说明,碳酸根离子水解平衡占主导,碱性增强,随后pH下降,说明水的电离平衡占主导,由于Kw 变大,c(OH-)、c(H+)浓度均变大,pH变小。 【详解】A.升高温度促进 水解平衡正向移动,故a点 的水解程度最小,A正 确; B.升高温度促进水的电离,故c点水的电离程度最大,B不正确; C.向上述溶液中通入 , 与水反应生成一水合氨,电离出氢氧根离子,抑制 离子水解, 浓度变大, 浓度不变,故 减小,C正确; D.根据物料守恒,c点溶液中存在 ,D正确; 故选B。 12. 电化学合成氨进一步提高了人类合成氨的产量。现采用双极膜( 解离出 、 分 别移至两级室溶液),通过电解 溶液制取氨,该装置的工作原理如图所示。下列说法正确的是A. 电极b接电源的负极 B. 电解一段时间后I室的 值增大 C. 双极膜中 解离出的 向电极b极移动 D. 理论上电极a与电极b上产生的气体的物质的量之比为 【答案】B 【解析】 【分析】该装置为电解池装置,I室中a电极发生电极反应: ,为 电解池阴极,则II室中b电极为电解池阳极,发生电极反应: 。 【详解】A.根据分析可知,电极b为阳极,应与电源正极相连,A错误; B.根据分析,I室中a电极发生电极反应: ,溶液中氢离子浓度 减少,则电解一段时间后I室的 值增大,B正确; C.电解池中阳离子向阴极移动,即双极膜中 解离出的 向电极a极移动,C错误; D.结合a电极发生电极反应: ,b电极发生电极反应: ,根据得失电子守恒可知,电极a与电极b上产生的气体的物质的量之比 为 1:2,D错误; 答案选B。 13. 已知: (1) (2)同一个C原子连接着一个 和 的物质不稳定,会失去一个 分子。下列说法 不正确的是 A. 与 在一定条件下可生成 B. 欲使正反应完全,需不断将水从反应体系中蒸出 C. 是该反应的催化剂,溶液酸性越强,催化效果越好 D. 以 和 为原料可合成乌洛托品( ) 【答案】C 【解析】【详解】A. 根据题中信息可知 最终转化为 , 与 在一定条件下可生成 ,A正确; B.在平衡体系中不断将水从反应体系中蒸出,使反应正向进行,B正确; C. 开始参与反应,最后生成 , 是该反应的催化剂,溶液酸性越强,不利于最后一 步产物的生成,催化效果不一定好,C错误; D.以 和 为原料反应发生 ,可以合 成乌洛托品 ( ),D正确; 故答案为:C。 14. 在电子工业中有广泛的应用,氯化物有 、 、 等,实验证实 为共价化合物, 为离子化合物(含一种简单阳离子和一种复杂阴离子且基态阳离子中 没有未成对电子),下列说法不正确的是 A. 中 元素的化合价为 价 B. 中阴离子的中心原子采用 杂 化方式 C. 的熔点可能低于 D. 中每个原子最外层均满足8电子稳定 结构 【答案】A 【解析】 【详解】A.根据题意,基态镓原子电子排布式为 , 含有一 种简单阳离子和一种复杂阴离子,且阳离子没有未成对电子,则阳离子为 ,阴离子为 ,则阳离子Ga的化合价为+1,阴离子Ga的化合价为+3,没有+2价,A错误; B.由 A 项可知,阴离子为 ,该阴离子 σ 成键电子对数为 4,孤对电子数为 ,则阴离子中心原子的杂化方式为 杂化,B正确; C.氯化镓为共价化合物,属于分子晶体,F的电负性强于Cl,氟化镓为离子晶体,离子晶体熔点高于分 子晶体,C正确; D. 为共价化合物,Ga与3个Cl共用电子对,Ga2Cl6 以GaCl3 的二聚体形式存在,结构中存在配位键,结构式为 ,因此每个原子最外层均满足8电子稳定结 构,D正确; 故选A。 15. 已知 , , , 。 下列说法正确的是 A. 向漂白粉溶液中通入少量 气体的离子方程式为 B. 向 的 溶液中加入等体积的 的 溶液可生成白色沉 淀 C. 室温下,向 溶液中通入 气体至 ,此时溶液中的 D. 向物质的量浓度均为 的 和 的混合溶液中无论滴加少量的 还是 溶液,均可导致溶液的 值出现较大变化。 【答案】B 【解析】 【分析】根据电离常数可知酸性 。 【详解】A.酸性 ,向漂白粉溶液中通入少量 气体生成碳酸钙沉 淀、次氯酸,对应的离子方程式为 ,A错误; B.向 的 溶液中加入等体积的 的 溶液混合后溶液 中 , ,根据 可知 , , , , ;根据 可知 ,溶液中 , ,计算可得 ,此时溶液中, ,有白色沉淀生成,B正确; C.向 溶液中通入 气体至 , , , ,即 ,C错误; D.物质的量浓度均为 的 和 的混合溶液存在 、 、 , 使得溶液具有缓冲能力,滴加少量的 还是 溶液,均可导致溶液的 值变化不 大,D错误; 故答案为:B。 16. 根据实验目的设计方案并进行实验,观察到相关现象,其中方案设计或结论不正确的是 实验目的 方案设计 现象 结论 探究实验室 的 最终无白 取少量溶液于洁净试管中,加入 溶 A 色沉淀存 溶液没 液后再加入足量盐酸 溶液是否变 在 有变质 质 探究 是 不能催 向 的 溶液中加入几滴 无明显现 B 否能够催化 化 象 1mol/L的 溶液 分解 分解 证明 前者 分别测定等浓度盐酸和 溶液的 C 是弱电 小 是弱电解质 解质 探究淀粉是 向淀粉溶液中加入少量稀硫酸,加热一段时间 淀粉有 D 溶液变蓝 否完全水解 后冷却,向冷却液中直接加入几滴碘水 剩余 A. A B. B C. C D. D 【答案】B 【解析】 【详解】A.加入足量盐酸后无白色沉淀,说明不含有硫酸钡,则 溶液没有变质,故A正确; B.向 的 溶液中加入几滴的1mol/L 溶液,无明显现象,只能说明 不能催化 分解,不能说明 不能催化 分解,故B错误; C.测定等浓度的盐酸和 溶液的 ,前者 小,可以说明 是 弱电解质,故C正确; D.向淀粉溶液中加入少量稀硫酸,加热一段时间后冷却,这个过程会促使淀粉水解,向冷却液中直接加 入几滴碘水,溶液变蓝,说明还有淀粉剩余,故D正确; 答案选B。 二、非选择题(共5大题,共52分) 17. 著名的 催化剂的主要成分是 和 。请回答: (1) 的晶体类型是___________, 遇水剧烈反应,写出该反应的化学方 程式:___________。 (2) 与 在一定条件下反应生成 , 一定要存放于 等惰性气体中,请从结构的角度解释原因:___________。 (3)在其他条件相同时, 的水解反应速率___________ 的 水解反应速率(填“>”、“<”或“=”),理由是:___________。 (4)下列说法正确的是___________。 A. 基态 的价层电子排布式为 B. 的第三电离能小于 的第三电离能 C. 比 更易水解 D. 在一定条件下可与 发生反应 (5) 的某种氧化物晶胞如图所示,该氧化物的化学式为___________; 的配位数是 ___________。 【答案】(1) . 分子晶体 . (2)Ti3+ 的价层电子 ① 排布式为3d1 ,容 ② 易失去1个电子形成3d轨道全空的稳定结构,故容易被空气中的氧 气氧化 (3) . > . 对比-CH3 ,-CF3 为吸电子基,使得CH3COOCH2CF3 中C-O键的极性更强,更易断 裂 (4)BD ① ② (5) TiO2 . 6 【解析】 ① ② 【小问1详解】Al(C2H5)3 中Al与-CH2CH3 通过共价键相连,故晶体类型为分子晶体,与水剧烈反应,根据Al元素性质可 知,反应生成Al(OH)3 ,根据原子守恒可知,另一个产物为乙烷,故反应方程式为 ,该空分别填分子晶体, ; 【小问2详解】 Ti核外电子排布式为1s22s22p63s23p63d24s2 ,Ti3+ 的价层电子排布式为3d1 ,容易失去1个电子形成3d轨道 全空的稳定结构,故容易被空气中的氧气氧化,因此需要被保存在惰性气体中,该空填Ti3+ 的价层电子排 布式为3d1 ,容易失去1个电子形成3d轨道全空的稳定结构,故容易被空气中的氧气氧化; 【小问3详解】 CH3COOCH2CF3 和CH3COOCH2CH3 均能发生酯的水解反应,对比-CH3 ,-CF3 为吸电子基,使得 CH3COOCH2CF3 中C-O键的极性更强,更易断裂,故其水解反应速率更快,该空分别填>,对比-CH3 ,- CF3 为吸电子基,使得CH3COOCH2CF3 中C-O键的极性更强,更易断裂; 【小问4详解】 A.Cl- 的价层电子排布式为3s23p6 ,A错误; B.Fe2+ 的价层电子排布式为3d6 ,易失去1个电子,形成半满的稳定状态,Mn2+ 的价层电子排布式为 3d5 ,为半满的稳定状态,其第三电离能更高,B正确; C.C2H5-为推电子基,使N的电子云密度变大,对周围H+ 的吸引力更强,而其水解需要与水电离出的 OH- 结合,因此其较铵根离子更稳定,故其水解能力比 的弱,C错误; D.NH3 水溶液为弱碱性,可与AlCl3 反应,化学方程式为 ,D正确; 本题选BD; 【小问5详解】 由晶胞结构可知,该晶胞中Ti原子个数为 ,O原子个数为 ,故该氧化 物化学式为TiO2 ,如图可知晶胞体心Ti与周围6个O相连,故Ti的配位数为6,该空分别填TiO2 ,6。 18. 常用作杀虫剂和媒染剂,光气( )是有机合成中的重要原料,它们 有如下转化关系: 已知:①CCl4+2SO3 +E; ②激光拉曼光谱和红外光谱显示A晶体中含有两种阳离子和一种阴离子,其中一种阳离子呈正四面体构 型,阴离子呈三角锥形,且A中 。 请回答以下问题: (1)气体D的化学式为___________;溶液C中溶质的组成为___________(用化学式表式)。(2)写出 溶液与足量 反应的化学方程式___________。 (3)下列说法正确的是___________。 A. 在酸性条件下水解生成 和 B. 化合物E在潮湿环境中能腐蚀某些金属 C. 在水溶液中最多可消耗 D. 气体D在一定条件下可能和 发生反应 (4)验证A中存在N元素的实验方案。 ①实验方案:取少量A完全溶于稀 ,然后___________(请将实验方案补充完整)。 ②写出A与稀 反应的离子方程式___________(已知:A溶于稀 生成红色沉淀,溶 液变为蓝色)。 【答案】(1) . NH3 . Na2SO3 、Na2SO4 、NaOH ① ② (2) (3)BD (4) . 加入过量的氢氧化钠溶液,加热,用湿润的红色石蕊试纸检验产生的气体,若试纸变蓝则 ① 说明是A中含有氮元素,反之则无。 . 【解析】 ② 【分析】 溶液与足量的SO2 反应生成白色沉淀A,根据已知②得A晶体中含有两种 阳离子和一种阴离子,其中一种阳离子呈正四面体构型,结合反应物元素组成,该阳离子为 , 阴离子呈三角锥形为 ,且A中 ,可推出另外一种阳离子为Cu+ ,则 A是亚硫酸亚铜铵 ,据此解题。 【小问1详解】 ① 溶液与足量的SO2 反应生成 和 ,溶液B中含 ,加入过量NaOH溶液加热,产生气体为NH3 ,故答案为:NH3 ; ② 溶液与足量的SO2 反应后,溶液B中含 和H2SO3 ,加入过量 NaOH溶液加热得到溶液C,溶液C中的溶质为Na2SO3 、Na2SO4 、NaOH,故答案为:Na2SO3 、Na2SO4 、 NaOH; 【小问2详解】 据分析得, 溶液与足量的SO2 反应的化学方程式为 ,故答案为: ; 【小问3详解】A. 水解生成 和 ,但酸性环境下NH3 能与酸发生反应,A错误; B.根据已知①原子守恒得,化合物E为Cl2O5S2 ,Cl2O5S2 溶于水可以得到H2SO4 和HCl,故化合物E在 潮湿环境中能腐蚀某些金属,B正确; C. 在水溶液中与NaOH反应,氯原子被羟基取代得到H2CO3 消耗 2molNaOH,H2CO3 再与2molNaOH反应得到Na2CO3 , 在水溶液中最多可消耗 4molNaOH,C错误; D.气体D为NH3 ,氢元素的化合价为+1价,AlH3 中金属无负价,所以AlH3 中氢元素的化合价为-1价, AlH3 和NH3 之间可以发生氧化还原反应生成H2 ,D正确; 故选BD; 【小问4详解】 ①A为 ,证明N元素,可证明A中的 ,检验方法为加入过量的氢氧化钠溶液, 加热,用湿润的红色石蕊试纸检验产生的气体,若试纸变蓝则说明是A中含有氮元素,反之则无,故答 案为:加入过量的氢氧化钠溶液,加热,用湿润的红色石蕊试纸检验产生的气体,若试纸变蓝则说明是A 中含有氮元素,反之则无; ②已知A溶于稀 生成红色沉淀,溶液变为蓝色,故A与稀 反应的离子方程式为 ,故答案为: 。 19. 氢气是一种清洁能源,工业制氢有多种途径。 (1)利用水煤气转化法制氢涉及的反应如下: 反应I: 反应Ⅱ: 在一定温度下,向容积固定为 的密闭容器中加入足量的 和 ,起始压强 为 ,发生反应I和Ⅱ。 后达到平衡,此时 的转化率为 , 的物质的量为 。 ①反应I能自发进行 条件是___________(填“高温”、“低温”或“任意温度”)。 ②下列说法正确的是___________。 a.增大 的用量,反应I生成 的速率增大 b.混合气体的密度保持不变时,说明反应Ⅱ已达到平衡 c.平衡时 的体积分数可能大于三分之二 d.除去体系中的 可提高平衡时 的含量 ③此温度下反应Ⅱ的化学平衡常数 ___________(用平衡分压代替平衡浓度,气体分压=总压×气 体的物质的量分数)。(2)另一种绿色环保制氢技术“ 热循环制氢和甲酸”的原理为:在密闭容器中,铁粉 与吸收 制得的 溶液反应,生成 、 和 ; 再经生物柴油副产品转化为 。实验中发现,在 时,密闭容器中 溶液与铁 粉反应初期有 生成并放出 。随着反应进行, 迅速转化为活性 ,活性 是 转化为 的催化剂,其可能反应机理如图所示。 ①下列叙述正确的是___________。 a.电负性 ,因此吸附在 上的H略带正电 b.升高温度生成 的反应速率一定加快 c.吸附在 上的H原子在步骤Ⅰ后生成了水 d.该制氢技术绿色环保原因之一是铁可以循环利用 ②在其他条件相同时,测得 的转化率、 的产率随 变化如图所示。 请分析 的产率随 增加而增大的可能原因是___________。 (3)电解水制“绿氢”的技术也不断被突破,科技工作者设计了耦合 高效制 的方法, 相同电量下 理论产量是传统电解水的2倍,其装置如下图所示。则阳极电极反应式为 ___________。【答案】(1) . 高温 . bd . 7 (2) . acd ① . 碳酸氢根②与铁反应③生成的碳酸铁转化为 作为反应的催化剂 ① ② (3) 【解析】 【分析】(1)根据 判断反应自发进行所需条件;有气体参与的可逆反应,密度、压 强均可能影响反应平衡; (2)铁粉与碳酸氢钠在催化剂存在下反应生成氢气和甲酸,根据题目所给示意图分析,步骤Ⅰ碳酸氢根 离子与铁反应生成碳酸铁和氢气,随着反应进行,碳酸氢根通过活性 转化为 ; (3)根据题目所给示意图,b区甲醛反应生成 ,发生氧化反应,产生氢气,已知相同电量下 氢气的理论产量事传统电解水的2倍,则该电解池每转移2mol电子,产生2mol氢气,据此分析; 【小问1详解】 根据 ,反应Ⅰ是熵增,焓变大于0的反应,即 , ,则高温 条件下有利于反应自发进行; ① a.增大C(s)的用量,由于碳单质是固体,增大碳的用量,不能增大浓度,生成一氧化碳速率不增加,a 错误; ② b.根据 ,反应Ⅰ由固体参与,随着反应的进行,气体整体质量增大,当密度保持不变时,气 体质量不变,则反应Ⅱ已达到平衡,b正确; c.反应中 水只能转化为氢气,水的转化率为70%,则氢气的物质的量为0.7mol,一氧化碳的物质 的量为0.1mol,则此时氢气的体积分数为 ,二氧化碳的体积未知, 故氢气的体积分数必定小于三分之二,c错误; d.除去体系中的二氧化碳,反应Ⅱ平衡向正反应方向移动,一氧化碳减少,反应Ⅰ平衡也向正反应方向 进行,可以提高平衡时氢气的含量,d正确; 综上所述,选bd; 分别设反应Ⅰ和反应Ⅱ消耗的水的物质的量为x、ymol,列出三段式: ③ 、,已知平衡时,水的转化率为70%,一氧化碳的 物质的量为0.1mol,即1-x-y=0.3mol,x-y=0.1,解得x=0.4,y=0.3,故平衡时二氧化碳的物质的量为 0.3mol,反应前总压强为2MPa,气体的物质的量共为1mol,反应后气体总量为1.4mol,则反应后总压强 为 ,利用分压计算反应Ⅱ的平衡常数 ; 【小问2详解】 a.根据元素周期律,电负性O>H,而H元素可以接受1个电子形成稳定结构,Fe则不行,故电负性 大小:O>H>Fe,根据流程图示意,氢气断裂,一个氢原子吸附在氧负离子上,氧带负电,H略带正 ① 电,a正确; b.升高温度反应速率增加,但可能导致催化剂失活,导致反应速率降低,b错误; c.根据题目所给流程图,氢气断裂出两个氢原子,一个吸附在氧负离子上,一个吸附在亚铁离子上,经 过步骤Ⅰ,吸附在亚铁离子上的H形成了水分子,c正确; d.该技术原理中,Fe可以循环利用,是绿色环保原因之一,d正确; 综上所述,选acd; 铁先与碳酸氢根反应生成氢气和碳酸铁,随着反应的进行,碳酸铁迅速转化为活性 ,作为 生产甲酸的催化剂,故碳酸氢根的浓度增大,导致甲酸的产率增大; ② 【小问3详解】 根据分析,甲醛被氧化为 ,则b电极区为阳极,a电极区为阴极,已知相同电量下,该电解 技术氢气的理论产量是传统电解水的2倍,则阳极的电极反应式推理为甲醛失去2mol电子形成甲酸根离 子和1mol氢气,阴极的电极反应式为氢氧根得到2mol电子形成1mol氢气,故阳极的电极反应式为 。 20. 实验室利用 和亚硫酰氯( )制备无水 的装置如图所示(加热及夹 持装置略)。已知 沸点为 ,遇水极易反应生成两种酸性气体。回答下列问题: (1)仪器a的名称是___________;装置f中的试剂是___________;装置c的作用是___________。 (2)请将下列部分操作步骤进行排序:___________; 组装装置→检查装置气密性→加入药品→通冷凝水→( )→( )→( ) A.加热装置b B.加热装置a C.通入一段时间 (3)现有含少量杂质的 ,为测定n值进行如下实验: 实验I:称取 样品,用足量稀硫酸溶解后,用 标准溶液滴定 达终 点时消耗 (滴定过程中 号转化为 , 不反应)。 实验Ⅱ:另取 样品,利用上述装置与足量 反应后,固体质量为 。则: ① ___________。(用 、 、c、V表示) ②下列对于滴定实验中仪器 使用以及操作过程,说法正确的是___________。 a.用标准液润洗滴定管时,润洗液从滴定管上口放出 b.注入或放出液体后,需等 后才能读数 c.若使用烧杯滴定,滴定管下端伸入烧杯内约 ,右手持玻璃棒搅拌溶液,左手操作滴定管 d. 标准溶液滴定 时应选用 为指示剂 【答案】(1) . 三颈烧瓶 . 浓硫酸 . 冷凝回流 ,提高其转化率 ① ② ③ (2)C→B→A (3) . . bc 【解析】 ① ② 【分析】SOCl2 与H2O反应生成两种酸性气体,FeCl2•4H2O与SOCl2 制备无水FeCl2 的反应原理为:SOCl2 吸收FeCl2•4H2O受热失去的结晶水生成SO2 和HCl,HCl可抑制FeCl2 的水解;实验开始先通N2 。一段时 间后,先加热装置 a使SOCl2 挥发,b中SOCl2 和FeCl2·4H2O反应生成 FeCl2 、SO2 、HCl,未反应的 SOCl2 在冷凝管c中冷凝、回流到a中,SO2 、HCl通过浓硫酸,最后用氢氧化钠溶液吸收。 【小问1详解】 根据装置图,仪器a的名称是三颈烧瓶; 遇水极易反应生成两种酸性气体,为防止水进入装置 中,装置f中的试剂是浓硫酸;装置c是冷凝管, 沸点低,c的作用是冷凝回流 , 提高其转化率。 【小问2详解】 实验开始时先通N2 ,排尽装置中的空气,一段时间后,先加热装置a,产生SOCl2 气体充满b装置后再加 热b装置,装置b中发生反应的化学方程式为FeCl2∙4H2O+4SOCl2(g) FeCl2+4SO2+8HCl,所以操作 步骤为:组装装置→检查装置气密性→加入药品→通冷凝水→通入一段时间 →加热装置a→加热装 置b。 小问3详解】①滴定过程中 将Fe2+ 氧化成Fe3+ ,自身被还原成Cr3+ ,反应的离子方程式为6Fe2++ +14H+=6Fe3++2Cr3++7H2O;则m1g样品中n(FeCl2)=6n( )=6cV×10-3mol;m1g样品中结晶水的质 量为(m1-m2)g,结晶水物质的量为 mol,n(FeCl2):n(H2O)=1:n=(6cV×10-3mol): mol,解得n= ; ②a.用标准液润洗滴定管时,润洗液从滴定管下口放出,故A错误; b.注入或放出液体后,使附着在内壁上的溶液流下后再取读数,所以需等 后才能读数,故 b正确; c.若使用烧杯滴定,滴定管下端伸入烧杯内约 ,右手持玻璃棒搅拌溶液,左手操作滴定管,故c 正确; d. 遇Fe3+溶液立即变为血红色, 标准溶液滴定 时, 不能指 示滴定终点,所以不能用 作指示剂,故d错误; 选bc。 21. 化合物I是一种治疗脑血管疾病的药物,其合成路线如下: 已知: (1)化合物G中含氧官能团名称是___________。 (2)化合物F的结构简式是___________。 (3)下列说法正确的是___________。 A. C→D的反应类型为还原反应 B. 与浓硫酸共热可得C. 化合物A的酸性弱于 D. I的分子式为 (4)写出H→I的化学方程式___________。 (5)设计以 和 为原料合成喹啉衍生物( )的路线(用流程图表示,无机试剂和有机溶剂任选)___________。 (6)写出4种符合下列条件的I的同分异构体的结构简式___________。 i.苯环上有四个取代基: ii.分子中有4种不同化学环境的氢原子; iii.该有机物能使 显色,且除了苯环外还有一个环状结构。 【答案】(1)醚键、酰胺基 (2) (3)AC (4) +(CH3CO)2O +CH3COOH ( 5 ) (6) 【解析】 【分析】由有机物的转化关系可知,氯化铝作用下A( )与 发生取代反应生成B( ),盐酸作用下B与亚硝酸钠反应生成C( ),C与硫氢化铵 溶液发生还原反应生成 D( ),D 与乙酸酐发生取代反应生成 E( ) , E 与 F ( ) 发 生 取 代 反 应 生 成 G ( ),G经过多步反应生成H( ),H在吡啶存 在的条件下乙酸酐发生取代反应生成I( )。 【小问1详解】 根据分析,G为 ,含氧官能团名称是醚键、酰胺基; 【小问2详解】 根据分析,F为 ; 【小问3详解】 A.根据分析,C→D时-NO转化为-NH2 ,反应类型为还原反应,A正确; B. 为卤代烃,需在NaOH的醇溶液中加热发生消去反应生成丙烯,B错误; C.A为 ,甲基为推电子基团,连接苯环后使-OH中的O-H键极性减小,导致H+ 不容易 电离,因此酸性小于 ,C正确;D.I( )的分子式为C16H25NO3 ; 故选AC; 【小问4详解】 根据分析可知,H→I的化学方程式为 +(CH3CO)2O +CH3COOH 【小问5详解】 合成 可采用题目中已知的方法,即用 和 反应制得 , 可由 还原制得, 可由 氧化得到, 可以用 水 解得到, 用CH3CHO与HCN加成得到,因此流程为 ; 【小问6详解】 I的同分异构体中,苯环上有四个取代基,分子中有4种不同化学环境的氢原子,说明结构对称性较好, 该有机物能使FeCl3 显色,说明含有酚羟基,除了苯环外还有一个环状结构,符合结构的同分异构体有。