当前位置:首页>文档>浙江省温州市普通高中2026届高三第一次适应性考试数学参考答案_2025年11月_251122浙江温州一模浙江省温州市普通高中2026届高三第一次适应性考试(全科)

浙江省温州市普通高中2026届高三第一次适应性考试数学参考答案_2025年11月_251122浙江温州一模浙江省温州市普通高中2026届高三第一次适应性考试(全科)

  • 2026-04-12 08:21:02 2026-02-11 14:17:12

文档预览

浙江省温州市普通高中2026届高三第一次适应性考试数学参考答案_2025年11月_251122浙江温州一模浙江省温州市普通高中2026届高三第一次适应性考试(全科)
浙江省温州市普通高中2026届高三第一次适应性考试数学参考答案_2025年11月_251122浙江温州一模浙江省温州市普通高中2026届高三第一次适应性考试(全科)
浙江省温州市普通高中2026届高三第一次适应性考试数学参考答案_2025年11月_251122浙江温州一模浙江省温州市普通高中2026届高三第一次适应性考试(全科)
浙江省温州市普通高中2026届高三第一次适应性考试数学参考答案_2025年11月_251122浙江温州一模浙江省温州市普通高中2026届高三第一次适应性考试(全科)
浙江省温州市普通高中2026届高三第一次适应性考试数学参考答案_2025年11月_251122浙江温州一模浙江省温州市普通高中2026届高三第一次适应性考试(全科)
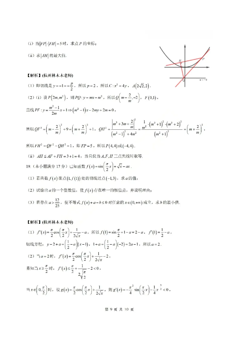
浙江省温州市普通高中2026届高三第一次适应性考试数学参考答案_2025年11月_251122浙江温州一模浙江省温州市普通高中2026届高三第一次适应性考试(全科)
浙江省温州市普通高中2026届高三第一次适应性考试数学参考答案_2025年11月_251122浙江温州一模浙江省温州市普通高中2026届高三第一次适应性考试(全科)
浙江省温州市普通高中2026届高三第一次适应性考试数学参考答案_2025年11月_251122浙江温州一模浙江省温州市普通高中2026届高三第一次适应性考试(全科)
浙江省温州市普通高中2026届高三第一次适应性考试数学参考答案_2025年11月_251122浙江温州一模浙江省温州市普通高中2026届高三第一次适应性考试(全科)
浙江省温州市普通高中2026届高三第一次适应性考试数学参考答案_2025年11月_251122浙江温州一模浙江省温州市普通高中2026届高三第一次适应性考试(全科)
浙江省温州市普通高中2026届高三第一次适应性考试数学参考答案_2025年11月_251122浙江温州一模浙江省温州市普通高中2026届高三第一次适应性考试(全科)
浙江省温州市普通高中2026届高三第一次适应性考试数学参考答案_2025年11月_251122浙江温州一模浙江省温州市普通高中2026届高三第一次适应性考试(全科)
浙江省温州市普通高中2026届高三第一次适应性考试数学参考答案_2025年11月_251122浙江温州一模浙江省温州市普通高中2026届高三第一次适应性考试(全科)
浙江省温州市普通高中2026届高三第一次适应性考试数学参考答案_2025年11月_251122浙江温州一模浙江省温州市普通高中2026届高三第一次适应性考试(全科)

文档信息

文档格式
pdf
文档大小
13.497 MB
文档页数
10 页
上传时间
2026-02-11 14:17:12